Das Benennen von Alkanen ist wie ein Rätsel lösen -... Mehr anzeigen
Alkane benennen: Verständliche Erklärung und Übungen mit Lösungen







Grundlagen der Alkan-Benennung
Die IUPAC-Nomenklatur für Alkane folgt einem klaren 7-Schritte-System, das du immer gleich anwendest. Zuerst suchst du die Hauptkette - das ist die längste Kette von Kohlenstoffatomen in einer Reihe.
Diese Hauptkette benennst du nach der Anzahl der C-Atome (Methan, Ethan, Propan, Butan, etc.). Danach markierst du alle Seitenketten und benennst sie (Methyl, Ethyl, Propyl).
Die Seitenketten schreibst du alphabetisch vor die Hauptgruppe. Zum Schluss nummerierst du die Hauptkette so durch, dass die Seitenketten die niedrigsten Positionszahlen bekommen.
Merktrick: Bei gleich langen Hauptketten wählst du immer die mit den meisten Seitenketten!

Komplexere Strukturen meistern
Bei schwierigeren Alkanen mit mehreren Seitenketten wird's etwas kniffliger, aber das Prinzip bleibt gleich. Du suchst wieder die längste Kohlenstoffkette und zählst alle Seitenketten.
Mehrere gleiche Seitenketten werden mit Zahlwörtern gekennzeichnet: Di- (2x), Tri- (3x), Tetra- (4x). Diese Zahlwörter zählen aber nicht bei der alphabetischen Reihenfolge mit!
Die Positionszahlen schreibst du vor jede Seitengruppe. Wenn du zwischen verschiedenen Nummerierungen wählen kannst, nimmst du die mit der niedrigeren Zahlensumme.
Praxis-Tipp: Zeichne dir die Hauptkette extra heraus und nummeriere von beiden Seiten - so siehst du sofort, welche Nummerierung besser ist!

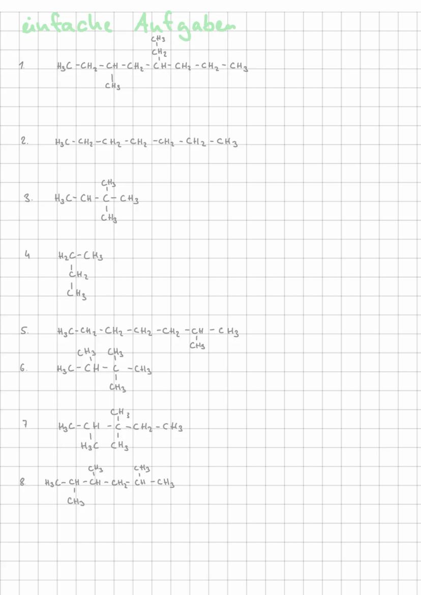
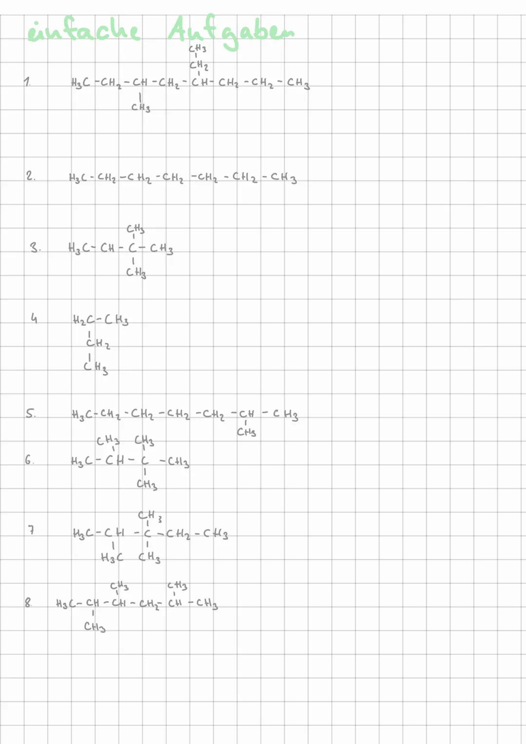
Übungsaufgaben - Einfacher Einstieg
Hier siehst du acht verschiedene Alkan-Strukturen, mit denen du das Benennen üben kannst. Die Moleküle werden schrittweise komplexer, sodass du dich langsam steigern kannst.
Bei den ersten Aufgaben hast du nur wenige Seitenketten zu beachten. Das sind perfekte Übungen, um die Grundregeln zu festigen und Sicherheit zu gewinnen.
Arbeite bei jeder Struktur systematisch vor: Hauptkette finden, nummerieren, Seitenketten benennen, alphabetisch ordnen. So machst du garantiert keine Fehler.
Lernstrategie: Löse erst alle einfachen Aufgaben, bevor du zu den schweren übergehst - das baut dein Selbstvertrauen auf!

Herausfordernde Strukturen
Diese komplexen Alkane haben mehrere verschiedene Seitenketten an unterschiedlichen Positionen. Hier zeigt sich, ob du die Regeln wirklich verstanden hast.
Die Moleküle enthalten längere Seitenketten wie Propyl und Butyl sowie mehrfache Methylgruppen. Bei solchen Strukturen ist systematisches Vorgehen besonders wichtig.
Lass dich nicht von der Komplexität einschüchtern - auch diese Riesenmoleküle folgen denselben Regeln wie die einfachen Beispiele vom Anfang.
Erfolgsgeheimnis: Zeichne dir die Struktur sauber ab und arbeite Schritt für Schritt - Hektik führt nur zu Fehlern!

Lösungen der einfachen Aufgaben
Die korrekten Namen zeigen dir, wie systematisches Benennen funktioniert. Bei Aufgabe 1 wird aus der 8-C-Kette mit Ethyl- und Methyl-Gruppen 5-Ethyl-3-methyl-octan.
n-Heptan (Aufgabe 2) ist eine unverzweigte Kette - das "n-" steht für "normal". Bei mehreren gleichen Seitenketten verwendest du Präfixe wie Dimethyl oder Trimethyl.
Vergleiche deine Antworten genau mit den Lösungen. Oft sind kleine Zahlenfehler oder vertauschte Reihenfolgen der Grund für falsche Namen.
Selbstcheck: Wenn deine Antwort abweicht, gehe die Schritte nochmal durch - meist findest du den Fehler schnell!

Lösungen der schweren Aufgaben
Diese komplexen Alkan-Namen zeigen, wie auch schwierige Strukturen systematisch benannt werden. Der längste Name "5-Butyl-6-ethyl-2,2,8-trimethyl-4-propyl-nonan" sieht kompliziert aus, folgt aber exakt den Regeln.
Die alphabetische Reihenfolge (Butyl vor Ethyl vor Methyl vor Propyl) und die korrekte Nummerierung sind entscheidend. Zahlwörter wie Di-, Tri- werden bei der Alphabetisierung ignoriert.
Mit diesen Lösungen kannst du überprüfen, ob du die IUPAC-Regeln richtig anwendest. Bei Fehlern wiederhole die entsprechenden Schritte - Übung macht den Meister!
Erfolgskontrolle: Wenn du diese Aufgaben schaffst, bist du bereit für jede Klausur zum Thema Alkan-Nomenklatur!
Wir dachten schon, du fragst nie...
Was ist der Knowunity KI-Begleiter?
Unser KI-Begleiter ist ein speziell für Schüler entwickeltes KI-Tool, das mehr als nur Antworten bietet. Basierend auf Millionen von Knowunity-Inhalten liefert er relevante Informationen, personalisierte Lernpläne, Quizze und Inhalte direkt im Chat und passt sich deinem individuellen Lernweg an.
Wo kann ich die Knowunity-App herunterladen?
Du kannst die App im Google Play Store und im Apple App Store herunterladen.
Ist Knowunity wirklich kostenlos?
Genau! Genieße kostenlosen Zugang zu Lerninhalten, vernetze dich mit anderen Schülern und hol dir sofortige Hilfe – alles direkt auf deinem Handy.
Ähnlicher Inhalt
Beliebtester Inhalt: Kohlenwasserstoffe
9Alkene und Alkine: Eigenschaften & Nomenklatur
Entdecken Sie die Eigenschaften und Nomenklatur von Alkenen und Alkinen in der organischen Chemie. Diese Zusammenfassung behandelt die Struktur, Isomerie, allgemeine Formeln und Reaktionen ungesättigter Kohlenwasserstoffe. Ideal für Studierende der Chemie, die sich auf Prüfungen vorbereiten oder ihr Wissen vertiefen möchten.
Verzweigte Alkane: Eigenschaften & Benennung
Entdecken Sie die Welt der verzweigten Alkane! Diese Zusammenfassung behandelt die Struktur, Eigenschaften (Siedetemperatur, Viskosität, Löslichkeit) und die korrekte Benennung von verzweigten Alkane. Ideal für Chemie-Studierende, die ein besseres Verständnis für Kohlenwasserstoffe entwickeln möchten.
Alkane Eigenschaften & Nomenklatur
Entdecken Sie die Eigenschaften und Nomenklatur von Alkanen, einschließlich der Van-der-Waals-Kräfte und Isomerie. Diese Zusammenfassung bietet eine klare Anleitung zur Benennung von Alkanen und deren Struktur, ideal für Chemie-Studierende. Lernen Sie die grundlegenden Konzepte der organischen Chemie und die Eigenschaften dieser wichtigen Stoffgruppe.
Erdöl & Erdgas: Prozesse
Erfahre alles über die Entstehung, Förderung, Verarbeitung und Veredlung von Erdöl und Erdgas. Diese Zusammenfassung behandelt die chemische Zusammensetzung, Eigenschaften und vielfältige Verwendung dieser fossilen Brennstoffe. Ideal für Studierende der Chemie und Umweltwissenschaften.
Kohlenwasserstoffe: Alkane, Alkene, Alkine
Entdecke die Welt der Kohlenwasserstoffe! Diese Zusammenfassung behandelt die Nomenklatur, Eigenschaften, Isomerie und Reaktionen von Alkanen, Alkenen und Alkinen. Ideal für Chemie-Studierende, die sich auf Klausuren vorbereiten. Themen: Strukturformeln, radikalische Substitution, alkoholische Gärung und mehr.
Erdöl und Erdgas: Grundlagen
Entdecken Sie die wesentlichen Aspekte von Erdöl und Erdgas in diesem umfassenden Vortrag. Erfahren Sie mehr über die Entstehung, chemische Zusammensetzung, Gewinnung, Verarbeitung und Nutzung dieser fossilen Brennstoffe. Der Vortrag behandelt auch die Bedeutung von Rohstoffen und die Herausforderungen des Rohstoffmangels. Ideal für Studierende der Chemie und Umweltwissenschaften.
Erdöl Crackverfahren
Entdecken Sie die Prozesse des Erdölcrackens in dieser detaillierten Präsentation. Erfahren Sie, wie langkettige Kohlenwasserstoffe in kurzkettige Moleküle umgewandelt werden, um den Anforderungen des Marktes gerecht zu werden. Die Präsentation behandelt katalytisches Cracken, die Bedeutung von Doppelbindungen, die Rolle von Radikalen und die Notwendigkeit des Entschwefelns. Ideal für Studierende der Chemie und Ingenieurwissenschaften.
Alkane Strukturformeln
Entdecken Sie die Struktur- und Summenformeln der Alkane, einschließlich Methan, Ethan, Propan, Butan, Pentan, Hexan, Heptan, Octan, Nonan und Decan. Diese Übersicht bietet eine klare Darstellung der chemischen Verbindungen und deren Nomenklatur, ideal für Chemie-Studierende.
Erdöl- und Erdgasgewinnung
Diese Präsentation behandelt die Gewinnung, Eigenschaften und Umweltauswirkungen von Erdöl und Erdgas. Sie umfasst die Primär-, Sekundär- und Tertiärförderung, die chemische Aufbereitung durch fraktionierte Destillation und Cracken sowie die Vor- und Nachteile fossiler Brennstoffe. Zudem werden alternative Energiequellen zur Reduzierung der Umweltbelastung vorgestellt.
Beliebtester Inhalt in Chemie
9Stoffwechselprozesse im Fokus
Entdecken Sie die zentralen Stoffwechselprozesse wie Fotosynthese, Zellatmung und Gärung. Dieser Lernzettel bietet eine umfassende Übersicht über den Calvin-Zyklus, die Lichtreaktionen, den Citratzyklus und die Regulation der Glykolyse. Ideal für die Vorbereitung auf das Abitur in Biologie. Enthält wichtige Konzepte wie C3- und C4-Pflanzen, chemiosmotische ATP-Produktion und die Rolle von Chloroplasten.
Säuren & Basen - Chemie LK/GK
Säuren & Basen Lernzettel für Chemie LK/GK. Unterthemen: Arrhenius/Brönsted,Protolyse,Säure-Base-Paare,Autoprotolyse,pH-Wert,pOH-Wert,Säurestärke,Basenstärke,starke/schwache Säuren/Basen,Titration. Weitere Lernzettel in Chemie sind auf meinem Profil.
Chemie LK Abitur 2025 Hessen Q3 chemische Gleichgewicht, Portlysereaktion, Puffer
Lernzettel für Chemie Abitur Q3 2025 Hessen, alle Themen von chemischen Gleichgewicht (auch Enthalpie/Entropie), Pod Lysereaktionen und Puffer (alle Berechnungen)
Isomerie und Reaktionen der Organischen Chemie
Diese Zusammenfassung behandelt die wichtigsten Konzepte der organischen Chemie, einschließlich Isomerie, Reaktionsmechanismen, Nachweisreaktionen für Aldehyde, Alkohole und Aromaten. Ideal für das Abitur 2023, bietet sie klare Erklärungen zu nucleophilen und elektrophilen Substitutionen sowie zur Nomenklatur von Alkoholen und Alkanen.
Elektrochemie: Grundlagen und Anwendungen
Entdecken Sie die wesentlichen Konzepte der Elektrochemie, einschließlich galvanischer Zellen, Elektrolyse, Redoxreaktionen und der Herstellung von Aluminium. Diese Zusammenfassung bietet einen klaren Überblick über Standardelektrodenpotentiale, elektrochemische Serien und die Funktionsweise von Batterien und Brennstoffzellen. Ideal für das Abi in Chemie.
Alkene und Alkine: Eigenschaften & Nomenklatur
Entdecken Sie die Eigenschaften und Nomenklatur von Alkenen und Alkinen in der organischen Chemie. Diese Zusammenfassung behandelt die Struktur, Isomerie, allgemeine Formeln und Reaktionen ungesättigter Kohlenwasserstoffe. Ideal für Studierende der Chemie, die sich auf Prüfungen vorbereiten oder ihr Wissen vertiefen möchten.
Proteinstrukturen und Aminosäuren
Erforschen Sie die vier Strukturebenen von Proteinen: Primär-, Sekundär-, Tertiär- und Quatärstruktur. Lernen Sie die Rolle von Aminosäuren und Peptidbindungen in der Proteinbildung kennen. Ideal für Biologie-Studierende, die ein tiefes Verständnis der Proteinarchitektur entwickeln möchten.
Konzentrationsberechnung im Gleichgewicht
Erfahren Sie alles über die Berechnung von Konzentrationen im chemischen Gleichgewicht, das Prinzip von Le Chatelier und die Gleichgewichtskonstante. Diese Zusammenfassung bietet eine klare Anleitung zur Aufstellung von Reaktionsgleichungen und zur Anwendung des Massenwirkungsgesetzes. Ideal für Chemie-Studierende, die sich auf Prüfungen vorbereiten.
Kunststoffchemie und Recycling
Entdecken Sie die Grundlagen der Kunststoffchemie, einschließlich der Synthese von Polyethylen, Polykondensation und den verschiedenen Recyclingmethoden. Diese Zusammenfassung behandelt wichtige Konzepte wie Thermoplaste, Duroplaste und die Umweltauswirkungen von Kunststoffen. Ideal für Studierende der Chemie und Umweltwissenschaften.
Beliebtester Inhalt
9Der zerbrochene Krug
Szenenzusammenfassunfen, Figurenkonstellationen, Aufbau des Stücks, Sprache und Stilbesonderheiten, Aussageabsicht, Thematik, Interpretation
Der zerbrochene Krug von Heinrich von Kleist
Hier steht so ziemlich alles drinnen von Zusammenfassungen der einzelnen Auftritte bis hin zu den einzelnen Perosn und noch einiges mehr
Der zerbrochne Krug
Ausführliche Lernzettel zu: Basisdaten, Handlung, ausführliche Zusammenfassungen der Auftritte, zentrale Themen, Symbolische Bedeutung, Merkmale der Komödie
Heimsuchung_JennyErpenbeck_Abitur
Zusammenfassungen für jedes Kapitel, Analysen und Zitate
Abilernzettel Heimsuchung 2025
Figurenkonstellation, Kapitel Zusammenfassung, Charaktere, Motive, Deutungsansätze,
Der zerbrochene Krug: Analyse
Diese umfassende Analyse von 'Der zerbrochene Krug' von Heinrich von Kleist bietet eine detaillierte Kapitelzusammenfassung, Charakterisierungen, historische Kontexte, sowie den Aufbau und die sprachlichen Merkmale des Dramas. Ideal für Studierende, die sich auf Prüfungen vorbereiten oder tiefere Einblicke in Kleists Werk gewinnen möchten.
Englisch LK Abitur 2025
Komplette Englisch LK Abi Zusammenfassung 2025
Heimsuchung - Jenny Erpenbeck
Inhalt, Entstehung und Quellen, Figuren, Geschichtliche Hintergründe, Motive, Erzählstruktur/- stil
Charaktere aus Heimsuchung von Jenny Erpenbeck
Mindmap, Allgemeines, Verlauf
Findest du nicht, was du suchst? Entdecke andere Fächer.
Schüler lieben uns — und du auch.
Die App ist sehr einfach zu bedienen und gut gestaltet. Ich habe bisher alles gefunden, wonach ich gesucht habe, und konnte viel aus den Präsentationen lernen! Ich werde die App definitiv für ein Schulprojekt nutzen! Und natürlich hilft sie auch sehr als Inspiration.
Diese App ist wirklich super. Es gibt so viele Lernzettel und Hilfen [...]. Mein Problemfach ist zum Beispiel Französisch und die App hat so viele Möglichkeiten zur Hilfe. Dank dieser App habe ich mich in Französisch verbessert. Ich würde sie jedem empfehlen.
Wow, ich bin wirklich begeistert. Ich habe die App einfach mal ausprobiert, weil ich sie schon oft beworben gesehen habe und war absolut beeindruckt. Diese App ist DIE HILFE, die man für die Schule braucht und vor allem bietet sie so viele Dinge wie Übungen und Lernzettel, die mir persönlich SEHR geholfen haben.
Alkane benennen: Verständliche Erklärung und Übungen mit Lösungen
Das Benennen von Alkanen ist wie ein Rätsel lösen - du musst nur ein paar einfache Regeln befolgen und schon kannst du jeden Kohlenwasserstoff korrekt benennen. Mit der systematischen Methode bekommst du auch die kompliziertesten Moleküle problemlos in den Griff.

Melde dich an, um den Inhalt zu sehen. Kostenlos!
- Zugriff auf alle Dokumente
- Verbessere deine Noten
- Schließ dich Millionen Schülern an
Grundlagen der Alkan-Benennung
Die IUPAC-Nomenklatur für Alkane folgt einem klaren 7-Schritte-System, das du immer gleich anwendest. Zuerst suchst du die Hauptkette - das ist die längste Kette von Kohlenstoffatomen in einer Reihe.
Diese Hauptkette benennst du nach der Anzahl der C-Atome (Methan, Ethan, Propan, Butan, etc.). Danach markierst du alle Seitenketten und benennst sie (Methyl, Ethyl, Propyl).
Die Seitenketten schreibst du alphabetisch vor die Hauptgruppe. Zum Schluss nummerierst du die Hauptkette so durch, dass die Seitenketten die niedrigsten Positionszahlen bekommen.
Merktrick: Bei gleich langen Hauptketten wählst du immer die mit den meisten Seitenketten!

Melde dich an, um den Inhalt zu sehen. Kostenlos!
- Zugriff auf alle Dokumente
- Verbessere deine Noten
- Schließ dich Millionen Schülern an
Komplexere Strukturen meistern
Bei schwierigeren Alkanen mit mehreren Seitenketten wird's etwas kniffliger, aber das Prinzip bleibt gleich. Du suchst wieder die längste Kohlenstoffkette und zählst alle Seitenketten.
Mehrere gleiche Seitenketten werden mit Zahlwörtern gekennzeichnet: Di- (2x), Tri- (3x), Tetra- (4x). Diese Zahlwörter zählen aber nicht bei der alphabetischen Reihenfolge mit!
Die Positionszahlen schreibst du vor jede Seitengruppe. Wenn du zwischen verschiedenen Nummerierungen wählen kannst, nimmst du die mit der niedrigeren Zahlensumme.
Praxis-Tipp: Zeichne dir die Hauptkette extra heraus und nummeriere von beiden Seiten - so siehst du sofort, welche Nummerierung besser ist!

Melde dich an, um den Inhalt zu sehen. Kostenlos!
- Zugriff auf alle Dokumente
- Verbessere deine Noten
- Schließ dich Millionen Schülern an
Übungsaufgaben - Einfacher Einstieg
Hier siehst du acht verschiedene Alkan-Strukturen, mit denen du das Benennen üben kannst. Die Moleküle werden schrittweise komplexer, sodass du dich langsam steigern kannst.
Bei den ersten Aufgaben hast du nur wenige Seitenketten zu beachten. Das sind perfekte Übungen, um die Grundregeln zu festigen und Sicherheit zu gewinnen.
Arbeite bei jeder Struktur systematisch vor: Hauptkette finden, nummerieren, Seitenketten benennen, alphabetisch ordnen. So machst du garantiert keine Fehler.
Lernstrategie: Löse erst alle einfachen Aufgaben, bevor du zu den schweren übergehst - das baut dein Selbstvertrauen auf!

Melde dich an, um den Inhalt zu sehen. Kostenlos!
- Zugriff auf alle Dokumente
- Verbessere deine Noten
- Schließ dich Millionen Schülern an
Herausfordernde Strukturen
Diese komplexen Alkane haben mehrere verschiedene Seitenketten an unterschiedlichen Positionen. Hier zeigt sich, ob du die Regeln wirklich verstanden hast.
Die Moleküle enthalten längere Seitenketten wie Propyl und Butyl sowie mehrfache Methylgruppen. Bei solchen Strukturen ist systematisches Vorgehen besonders wichtig.
Lass dich nicht von der Komplexität einschüchtern - auch diese Riesenmoleküle folgen denselben Regeln wie die einfachen Beispiele vom Anfang.
Erfolgsgeheimnis: Zeichne dir die Struktur sauber ab und arbeite Schritt für Schritt - Hektik führt nur zu Fehlern!

Melde dich an, um den Inhalt zu sehen. Kostenlos!
- Zugriff auf alle Dokumente
- Verbessere deine Noten
- Schließ dich Millionen Schülern an
Lösungen der einfachen Aufgaben
Die korrekten Namen zeigen dir, wie systematisches Benennen funktioniert. Bei Aufgabe 1 wird aus der 8-C-Kette mit Ethyl- und Methyl-Gruppen 5-Ethyl-3-methyl-octan.
n-Heptan (Aufgabe 2) ist eine unverzweigte Kette - das "n-" steht für "normal". Bei mehreren gleichen Seitenketten verwendest du Präfixe wie Dimethyl oder Trimethyl.
Vergleiche deine Antworten genau mit den Lösungen. Oft sind kleine Zahlenfehler oder vertauschte Reihenfolgen der Grund für falsche Namen.
Selbstcheck: Wenn deine Antwort abweicht, gehe die Schritte nochmal durch - meist findest du den Fehler schnell!

Melde dich an, um den Inhalt zu sehen. Kostenlos!
- Zugriff auf alle Dokumente
- Verbessere deine Noten
- Schließ dich Millionen Schülern an
Lösungen der schweren Aufgaben
Diese komplexen Alkan-Namen zeigen, wie auch schwierige Strukturen systematisch benannt werden. Der längste Name "5-Butyl-6-ethyl-2,2,8-trimethyl-4-propyl-nonan" sieht kompliziert aus, folgt aber exakt den Regeln.
Die alphabetische Reihenfolge (Butyl vor Ethyl vor Methyl vor Propyl) und die korrekte Nummerierung sind entscheidend. Zahlwörter wie Di-, Tri- werden bei der Alphabetisierung ignoriert.
Mit diesen Lösungen kannst du überprüfen, ob du die IUPAC-Regeln richtig anwendest. Bei Fehlern wiederhole die entsprechenden Schritte - Übung macht den Meister!
Erfolgskontrolle: Wenn du diese Aufgaben schaffst, bist du bereit für jede Klausur zum Thema Alkan-Nomenklatur!
Wir dachten schon, du fragst nie...
Was ist der Knowunity KI-Begleiter?
Unser KI-Begleiter ist ein speziell für Schüler entwickeltes KI-Tool, das mehr als nur Antworten bietet. Basierend auf Millionen von Knowunity-Inhalten liefert er relevante Informationen, personalisierte Lernpläne, Quizze und Inhalte direkt im Chat und passt sich deinem individuellen Lernweg an.
Wo kann ich die Knowunity-App herunterladen?
Du kannst die App im Google Play Store und im Apple App Store herunterladen.
Ist Knowunity wirklich kostenlos?
Genau! Genieße kostenlosen Zugang zu Lerninhalten, vernetze dich mit anderen Schülern und hol dir sofortige Hilfe – alles direkt auf deinem Handy.
Ähnlicher Inhalt
Beliebtester Inhalt: Kohlenwasserstoffe
9Alkene und Alkine: Eigenschaften & Nomenklatur
Entdecken Sie die Eigenschaften und Nomenklatur von Alkenen und Alkinen in der organischen Chemie. Diese Zusammenfassung behandelt die Struktur, Isomerie, allgemeine Formeln und Reaktionen ungesättigter Kohlenwasserstoffe. Ideal für Studierende der Chemie, die sich auf Prüfungen vorbereiten oder ihr Wissen vertiefen möchten.
Verzweigte Alkane: Eigenschaften & Benennung
Entdecken Sie die Welt der verzweigten Alkane! Diese Zusammenfassung behandelt die Struktur, Eigenschaften (Siedetemperatur, Viskosität, Löslichkeit) und die korrekte Benennung von verzweigten Alkane. Ideal für Chemie-Studierende, die ein besseres Verständnis für Kohlenwasserstoffe entwickeln möchten.
Alkane Eigenschaften & Nomenklatur
Entdecken Sie die Eigenschaften und Nomenklatur von Alkanen, einschließlich der Van-der-Waals-Kräfte und Isomerie. Diese Zusammenfassung bietet eine klare Anleitung zur Benennung von Alkanen und deren Struktur, ideal für Chemie-Studierende. Lernen Sie die grundlegenden Konzepte der organischen Chemie und die Eigenschaften dieser wichtigen Stoffgruppe.
Erdöl & Erdgas: Prozesse
Erfahre alles über die Entstehung, Förderung, Verarbeitung und Veredlung von Erdöl und Erdgas. Diese Zusammenfassung behandelt die chemische Zusammensetzung, Eigenschaften und vielfältige Verwendung dieser fossilen Brennstoffe. Ideal für Studierende der Chemie und Umweltwissenschaften.
Kohlenwasserstoffe: Alkane, Alkene, Alkine
Entdecke die Welt der Kohlenwasserstoffe! Diese Zusammenfassung behandelt die Nomenklatur, Eigenschaften, Isomerie und Reaktionen von Alkanen, Alkenen und Alkinen. Ideal für Chemie-Studierende, die sich auf Klausuren vorbereiten. Themen: Strukturformeln, radikalische Substitution, alkoholische Gärung und mehr.
Erdöl und Erdgas: Grundlagen
Entdecken Sie die wesentlichen Aspekte von Erdöl und Erdgas in diesem umfassenden Vortrag. Erfahren Sie mehr über die Entstehung, chemische Zusammensetzung, Gewinnung, Verarbeitung und Nutzung dieser fossilen Brennstoffe. Der Vortrag behandelt auch die Bedeutung von Rohstoffen und die Herausforderungen des Rohstoffmangels. Ideal für Studierende der Chemie und Umweltwissenschaften.
Erdöl Crackverfahren
Entdecken Sie die Prozesse des Erdölcrackens in dieser detaillierten Präsentation. Erfahren Sie, wie langkettige Kohlenwasserstoffe in kurzkettige Moleküle umgewandelt werden, um den Anforderungen des Marktes gerecht zu werden. Die Präsentation behandelt katalytisches Cracken, die Bedeutung von Doppelbindungen, die Rolle von Radikalen und die Notwendigkeit des Entschwefelns. Ideal für Studierende der Chemie und Ingenieurwissenschaften.
Alkane Strukturformeln
Entdecken Sie die Struktur- und Summenformeln der Alkane, einschließlich Methan, Ethan, Propan, Butan, Pentan, Hexan, Heptan, Octan, Nonan und Decan. Diese Übersicht bietet eine klare Darstellung der chemischen Verbindungen und deren Nomenklatur, ideal für Chemie-Studierende.
Erdöl- und Erdgasgewinnung
Diese Präsentation behandelt die Gewinnung, Eigenschaften und Umweltauswirkungen von Erdöl und Erdgas. Sie umfasst die Primär-, Sekundär- und Tertiärförderung, die chemische Aufbereitung durch fraktionierte Destillation und Cracken sowie die Vor- und Nachteile fossiler Brennstoffe. Zudem werden alternative Energiequellen zur Reduzierung der Umweltbelastung vorgestellt.
Beliebtester Inhalt in Chemie
9Stoffwechselprozesse im Fokus
Entdecken Sie die zentralen Stoffwechselprozesse wie Fotosynthese, Zellatmung und Gärung. Dieser Lernzettel bietet eine umfassende Übersicht über den Calvin-Zyklus, die Lichtreaktionen, den Citratzyklus und die Regulation der Glykolyse. Ideal für die Vorbereitung auf das Abitur in Biologie. Enthält wichtige Konzepte wie C3- und C4-Pflanzen, chemiosmotische ATP-Produktion und die Rolle von Chloroplasten.
Säuren & Basen - Chemie LK/GK
Säuren & Basen Lernzettel für Chemie LK/GK. Unterthemen: Arrhenius/Brönsted,Protolyse,Säure-Base-Paare,Autoprotolyse,pH-Wert,pOH-Wert,Säurestärke,Basenstärke,starke/schwache Säuren/Basen,Titration. Weitere Lernzettel in Chemie sind auf meinem Profil.
Chemie LK Abitur 2025 Hessen Q3 chemische Gleichgewicht, Portlysereaktion, Puffer
Lernzettel für Chemie Abitur Q3 2025 Hessen, alle Themen von chemischen Gleichgewicht (auch Enthalpie/Entropie), Pod Lysereaktionen und Puffer (alle Berechnungen)
Isomerie und Reaktionen der Organischen Chemie
Diese Zusammenfassung behandelt die wichtigsten Konzepte der organischen Chemie, einschließlich Isomerie, Reaktionsmechanismen, Nachweisreaktionen für Aldehyde, Alkohole und Aromaten. Ideal für das Abitur 2023, bietet sie klare Erklärungen zu nucleophilen und elektrophilen Substitutionen sowie zur Nomenklatur von Alkoholen und Alkanen.
Elektrochemie: Grundlagen und Anwendungen
Entdecken Sie die wesentlichen Konzepte der Elektrochemie, einschließlich galvanischer Zellen, Elektrolyse, Redoxreaktionen und der Herstellung von Aluminium. Diese Zusammenfassung bietet einen klaren Überblick über Standardelektrodenpotentiale, elektrochemische Serien und die Funktionsweise von Batterien und Brennstoffzellen. Ideal für das Abi in Chemie.
Alkene und Alkine: Eigenschaften & Nomenklatur
Entdecken Sie die Eigenschaften und Nomenklatur von Alkenen und Alkinen in der organischen Chemie. Diese Zusammenfassung behandelt die Struktur, Isomerie, allgemeine Formeln und Reaktionen ungesättigter Kohlenwasserstoffe. Ideal für Studierende der Chemie, die sich auf Prüfungen vorbereiten oder ihr Wissen vertiefen möchten.
Proteinstrukturen und Aminosäuren
Erforschen Sie die vier Strukturebenen von Proteinen: Primär-, Sekundär-, Tertiär- und Quatärstruktur. Lernen Sie die Rolle von Aminosäuren und Peptidbindungen in der Proteinbildung kennen. Ideal für Biologie-Studierende, die ein tiefes Verständnis der Proteinarchitektur entwickeln möchten.
Konzentrationsberechnung im Gleichgewicht
Erfahren Sie alles über die Berechnung von Konzentrationen im chemischen Gleichgewicht, das Prinzip von Le Chatelier und die Gleichgewichtskonstante. Diese Zusammenfassung bietet eine klare Anleitung zur Aufstellung von Reaktionsgleichungen und zur Anwendung des Massenwirkungsgesetzes. Ideal für Chemie-Studierende, die sich auf Prüfungen vorbereiten.
Kunststoffchemie und Recycling
Entdecken Sie die Grundlagen der Kunststoffchemie, einschließlich der Synthese von Polyethylen, Polykondensation und den verschiedenen Recyclingmethoden. Diese Zusammenfassung behandelt wichtige Konzepte wie Thermoplaste, Duroplaste und die Umweltauswirkungen von Kunststoffen. Ideal für Studierende der Chemie und Umweltwissenschaften.
Beliebtester Inhalt
9Der zerbrochene Krug
Szenenzusammenfassunfen, Figurenkonstellationen, Aufbau des Stücks, Sprache und Stilbesonderheiten, Aussageabsicht, Thematik, Interpretation
Der zerbrochene Krug von Heinrich von Kleist
Hier steht so ziemlich alles drinnen von Zusammenfassungen der einzelnen Auftritte bis hin zu den einzelnen Perosn und noch einiges mehr
Der zerbrochne Krug
Ausführliche Lernzettel zu: Basisdaten, Handlung, ausführliche Zusammenfassungen der Auftritte, zentrale Themen, Symbolische Bedeutung, Merkmale der Komödie
Heimsuchung_JennyErpenbeck_Abitur
Zusammenfassungen für jedes Kapitel, Analysen und Zitate
Abilernzettel Heimsuchung 2025
Figurenkonstellation, Kapitel Zusammenfassung, Charaktere, Motive, Deutungsansätze,
Der zerbrochene Krug: Analyse
Diese umfassende Analyse von 'Der zerbrochene Krug' von Heinrich von Kleist bietet eine detaillierte Kapitelzusammenfassung, Charakterisierungen, historische Kontexte, sowie den Aufbau und die sprachlichen Merkmale des Dramas. Ideal für Studierende, die sich auf Prüfungen vorbereiten oder tiefere Einblicke in Kleists Werk gewinnen möchten.
Englisch LK Abitur 2025
Komplette Englisch LK Abi Zusammenfassung 2025
Heimsuchung - Jenny Erpenbeck
Inhalt, Entstehung und Quellen, Figuren, Geschichtliche Hintergründe, Motive, Erzählstruktur/- stil
Charaktere aus Heimsuchung von Jenny Erpenbeck
Mindmap, Allgemeines, Verlauf
Findest du nicht, was du suchst? Entdecke andere Fächer.
Schüler lieben uns — und du auch.
Die App ist sehr einfach zu bedienen und gut gestaltet. Ich habe bisher alles gefunden, wonach ich gesucht habe, und konnte viel aus den Präsentationen lernen! Ich werde die App definitiv für ein Schulprojekt nutzen! Und natürlich hilft sie auch sehr als Inspiration.
Diese App ist wirklich super. Es gibt so viele Lernzettel und Hilfen [...]. Mein Problemfach ist zum Beispiel Französisch und die App hat so viele Möglichkeiten zur Hilfe. Dank dieser App habe ich mich in Französisch verbessert. Ich würde sie jedem empfehlen.
Wow, ich bin wirklich begeistert. Ich habe die App einfach mal ausprobiert, weil ich sie schon oft beworben gesehen habe und war absolut beeindruckt. Diese App ist DIE HILFE, die man für die Schule braucht und vor allem bietet sie so viele Dinge wie Übungen und Lernzettel, die mir persönlich SEHR geholfen haben.