Diese Klausur behandelt den Kaffeeanbau am Kilimandscharo und zeigt, wie... Mehr anzeigen
Melde dich an, um den Inhalt zu sehenKostenlos!
Zugriff auf alle Dokumente
Verbessere deine Noten
Schließ dich Millionen Schülern an
Knowunity KI
Fächer
Triangle Congruence and Similarity Theorems
Triangle Properties and Classification
Linear Equations and Graphs
Geometric Angle Relationships
Trigonometric Functions and Identities
Equation Solving Techniques
Circle Geometry Fundamentals
Division Operations and Methods
Basic Differentiation Rules
Exponent and Logarithm Properties
Alle Themen anzeigen
Human Organ Systems
Reproductive Cell Cycles
Biological Sciences Subdisciplines
Cellular Energy Metabolism
Autotrophic Energy Processes
Inheritance Patterns and Principles
Biomolecular Structure and Organization
Cell Cycle and Division Mechanics
Cellular Organization and Development
Biological Structural Organization
Alle Themen anzeigen
Chemical Sciences and Applications
Atomic Structure and Composition
Molecular Electron Structure Representation
Atomic Electron Behavior
Matter Properties and Water
Mole Concept and Calculations
Gas Laws and Behavior
Periodic Table Organization
Chemical Thermodynamics Fundamentals
Chemical Bond Types and Properties
Alle Themen anzeigen
European Renaissance and Enlightenment
European Cultural Movements 800-1920
American Revolution Era 1763-1797
American Civil War 1861-1865
Global Imperial Systems
Mongol and Chinese Dynasties
U.S. Presidents and World Leaders
Historical Sources and Documentation
World Wars Era and Impact
World Religious Systems
Alle Themen anzeigen
Classic and Contemporary Novels
Literary Character Analysis
Rhetorical Theory and Practice
Classic Literary Narratives
Reading Analysis and Interpretation
Narrative Structure and Techniques
English Language Components
Influential English-Language Authors
Basic Sentence Structure
Narrative Voice and Perspective
Alle Themen anzeigen
4,101
•
Aktualisiert Mar 12, 2026
•
Hannah
@han.grw
Diese Klausur behandelt den Kaffeeanbau am Kilimandscharo und zeigt, wie... Mehr anzeigen





Diese Erdkunde-Klausur aus der Q1 zeigt dir, wie geografische Analysen in der Oberstufe funktionieren. Du musst Orte lokalisieren, Zusammenhänge zwischen Natur und Landwirtschaft erklären und Zukunftsprobleme bewerten.
Die drei Hauptaufgaben decken typische Anforderungen ab: Lokalisierung von Moshi, Beschreibung und Vergleich verschiedener Anbauformen sowie Erklärung der naturräumlichen Bedingungen. Besonders spannend ist die dritte Aufgabe zum Klimawandel.
💡 Tipp: Bei solchen Aufgaben immer die Materialien systematisch auswerten und konkrete Beispiele aus den Karten und Texten verwenden.
Die verschiedenen Materialien liefern dir alle nötigen Informationen - von Klimadaten über Kaffeesorten bis hin zu Expertenaussagen zum Klimawandel.

Arabica-Kaffee ist extrem wählerisch, was seine Standortbedingungen angeht. Die Pflanze braucht Temperaturen zwischen 18-25°C, niemals über 30°C oder unter 13°C. Diese engen Grenzen erklären, warum Kaffee nur in bestimmten Höhenlagen gedeiht.
Der Niederschlagsbedarf liegt bei 1500-2000mm jährlich - deutlich mehr als in Deutschland. Außerdem benötigt Arabica Schatten und windgeschützte Lagen. Die Böden müssen tiefgründig und humos sein.
Eine große Gefahr stellt der Kaffeerost dar - ein Pilz, der bei 21-25°C optimale Bedingungen findet. Erst oberhalb von 900m lässt er sich erfolgreich bekämpfen, was die Anbaugebiete zusätzlich einschränkt.
⚡ Merke dir: Diese spezifischen Anforderungen machen den Kaffeeanbau sehr anfällig für Klimaveränderungen und erklären die begrenzte Verbreitung der Anbaugebiete.

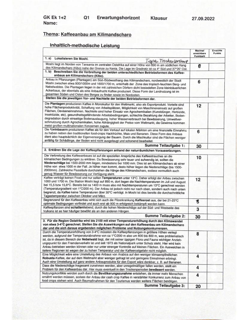
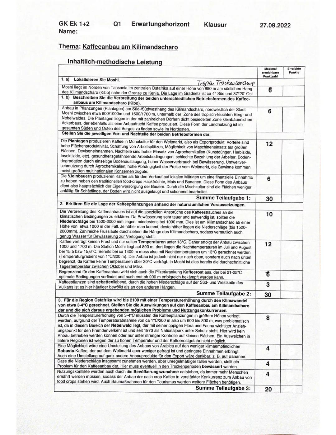
Die Lokalisierung von Moshi erfordert präzise Angaben: Nordtansania, 890m Höhe, südlicher Kilimandscharo-Hang, etwa 4°S und 37°20'O. So zeigst du, dass du verschiedene Orientierungssysteme beherrschst.
Bei den Betriebsformen unterscheidest du zwischen Plantagen (Monokultur für Export) und kleinbäuerlichem Anbau (Mischkultur für Eigenversorgung). Plantagen bringen höhere Erträge, belasten aber Umwelt und Arbeiter stärker.
Die klimatischen Erklärungen nutzen den Temperaturgradienten von 1°C pro 200m Höhe. Dadurch verstehst du, warum Kaffee nur zwischen 1000-1700m angebaut wird - darunter zu heiß, darüber zu kalt.
🎯 Praxistipp: Verknüpfe immer konkrete Zahlen aus den Materialien mit deinen Erklärungen. Das zeigt, dass du die Daten richtig interpretieren kannst.

Ein Temperaturanstieg von 3-4°C würde die Anbaugebiete um 600-800m nach oben verschieben - direkt in den geschützten Nebelwald des Nationalparks. Das schafft massive Nutzungskonflikte zwischen Naturschutz und Landwirtschaft.
Die Lösung könnte ein Wechsel zu Robusta-Kaffee sein, der weniger temperaturempfindlich ist. Allerdings erzielt er niedrigere Preise am Weltmarkt, was die Einkommen der Bauern reduziert.
Bevölkerungsdruck verschärft die Probleme zusätzlich: Mehr Menschen brauchen mehr Nahrung, wodurch der profitable Kaffeeanbau mit der Grundversorgung konkurriert. Gleichzeitig führt Abholzung zu weiteren Umweltproblemen.
🌍 Zukunftsperspektive: Solche komplexen Wechselwirkungen zwischen Klima, Wirtschaft und Bevölkerung findest du in vielen Entwicklungsländern - ein Schlüsselthema für dein Abitur.
Unser KI-Begleiter ist ein speziell für Schüler entwickeltes KI-Tool, das mehr als nur Antworten bietet. Basierend auf Millionen von Knowunity-Inhalten liefert er relevante Informationen, personalisierte Lernpläne, Quizze und Inhalte direkt im Chat und passt sich deinem individuellen Lernweg an.
Du kannst die App im Google Play Store und im Apple App Store herunterladen.
Genau! Genieße kostenlosen Zugang zu Lerninhalten, vernetze dich mit anderen Schülern und hol dir sofortige Hilfe – alles direkt auf deinem Handy.
App Store
Google Play
Die App ist sehr einfach zu bedienen und gut gestaltet. Ich habe bisher alles gefunden, wonach ich gesucht habe, und konnte viel aus den Präsentationen lernen! Ich werde die App definitiv für ein Schulprojekt nutzen! Und natürlich hilft sie auch sehr als Inspiration.
Stefan S
iOS-Nutzer
Diese App ist wirklich super. Es gibt so viele Lernzettel und Hilfen [...]. Mein Problemfach ist zum Beispiel Französisch und die App hat so viele Möglichkeiten zur Hilfe. Dank dieser App habe ich mich in Französisch verbessert. Ich würde sie jedem empfehlen.
Samantha Klich
Android-Nutzerin
Wow, ich bin wirklich begeistert. Ich habe die App einfach mal ausprobiert, weil ich sie schon oft beworben gesehen habe und war absolut beeindruckt. Diese App ist DIE HILFE, die man für die Schule braucht und vor allem bietet sie so viele Dinge wie Übungen und Lernzettel, die mir persönlich SEHR geholfen haben.
Anna
iOS-Nutzerin
Beste App der Welt! Keine Worte, weil sie einfach zu gut ist
Thomas R
iOS-Nutzer
Einfach genial. Lässt mich 10x besser lernen, diese App ist eine glatte 10/10. Ich empfehle sie jedem. Ich kann Lernzettel anschauen und suchen. Ich kann sie im Fachordner speichern. Ich kann sie jederzeit wiederholen, wenn ich zurückkomme. Wenn du diese App noch nicht ausprobiert hast, verpasst du wirklich was.
Basil
Android-Nutzer
Diese App hat mich so viel selbstbewusster in meiner Klausurvorbereitung gemacht, nicht nur durch die Stärkung meines Selbstvertrauens durch die Features, die es dir ermöglichen, dich mit anderen zu vernetzen und dich weniger allein zu fühlen, sondern auch durch die Art, wie die App selbst darauf ausgerichtet ist, dass du dich besser fühlst. Sie ist einfach zu bedienen, macht Spaß und hilft jedem, der in irgendeiner Weise Schwierigkeiten hat.
David K
iOS-Nutzer
Die App ist einfach super! Ich muss nur das Thema in die Suche eingeben und bekomme sofort eine Antwort. Ich muss nicht mehr 10 YouTube-Videos schauen, um etwas zu verstehen, und spare dadurch richtig viel Zeit. Sehr empfehlenswert!
Sudenaz Ocak
Android-Nutzerin
In der Schule war ich echt schlecht in Mathe, aber dank der App bin ich jetzt besser geworden. Ich bin so dankbar, dass ihr die App gemacht habt.
Greenlight Bonnie
Android-Nutzerin
sehr zuverlässige App, um deine Ideen in Mathe, Englisch und anderen verwandten Themen zu verbessern. bitte nutze diese App, wenn du in bestimmten Bereichen Schwierigkeiten hast, diese App ist dafür der Schlüssel. wünschte, ich hätte früher eine Bewertung geschrieben. und sie ist auch kostenlos, also mach dir darüber keine Sorgen.
Rohan U
Android-Nutzer
Ich weiß, dass viele Apps gefälschte Accounts nutzen, um ihre Bewertungen zu pushen, aber diese App verdient das alles. Ursprünglich hatte ich eine 4 in meinen Englisch-Klausuren und dieses Mal habe ich eine 2 bekommen. Ich wusste erst drei Tage vor der Klausur von dieser App und sie hat mir SEHR geholfen. Bitte vertrau mir wirklich und nutze sie, denn ich bin sicher, dass auch du Fortschritte sehen wirst.
Xander S
iOS-Nutzer
DIE QUIZZE UND KARTEIKARTEN SIND SO NÜTZLICH UND ICH LIEBE Knowunity KI. ES IST AUCH BUCHSTÄBLICH WIE CHATGPT ABER SCHLAUER!! HAT MIR AUCH BEI MEINEN MASCARA-PROBLEMEN GEHOLFEN!! SOWIE BEI MEINEN ECHTEN FÄCHERN! NATÜRLICH 😍😁😲🤑💗✨🎀😮
Elisha
iOS-Nutzer
Diese App ist echt der Hammer. Ich finde Lernen so langweilig, aber diese App macht es so einfach, alles zu organisieren und dann kannst du die kostenlose KI bitten, dich abzufragen, so gut, und du kannst einfach deine eigenen Sachen hochladen. sehr empfehlenswert als jemand, der gerade Probeklausuren schreibt
Paul T
iOS-Nutzer
Die App ist sehr einfach zu bedienen und gut gestaltet. Ich habe bisher alles gefunden, wonach ich gesucht habe, und konnte viel aus den Präsentationen lernen! Ich werde die App definitiv für ein Schulprojekt nutzen! Und natürlich hilft sie auch sehr als Inspiration.
Stefan S
iOS-Nutzer
Diese App ist wirklich super. Es gibt so viele Lernzettel und Hilfen [...]. Mein Problemfach ist zum Beispiel Französisch und die App hat so viele Möglichkeiten zur Hilfe. Dank dieser App habe ich mich in Französisch verbessert. Ich würde sie jedem empfehlen.
Samantha Klich
Android-Nutzerin
Wow, ich bin wirklich begeistert. Ich habe die App einfach mal ausprobiert, weil ich sie schon oft beworben gesehen habe und war absolut beeindruckt. Diese App ist DIE HILFE, die man für die Schule braucht und vor allem bietet sie so viele Dinge wie Übungen und Lernzettel, die mir persönlich SEHR geholfen haben.
Anna
iOS-Nutzerin
Beste App der Welt! Keine Worte, weil sie einfach zu gut ist
Thomas R
iOS-Nutzer
Einfach genial. Lässt mich 10x besser lernen, diese App ist eine glatte 10/10. Ich empfehle sie jedem. Ich kann Lernzettel anschauen und suchen. Ich kann sie im Fachordner speichern. Ich kann sie jederzeit wiederholen, wenn ich zurückkomme. Wenn du diese App noch nicht ausprobiert hast, verpasst du wirklich was.
Basil
Android-Nutzer
Diese App hat mich so viel selbstbewusster in meiner Klausurvorbereitung gemacht, nicht nur durch die Stärkung meines Selbstvertrauens durch die Features, die es dir ermöglichen, dich mit anderen zu vernetzen und dich weniger allein zu fühlen, sondern auch durch die Art, wie die App selbst darauf ausgerichtet ist, dass du dich besser fühlst. Sie ist einfach zu bedienen, macht Spaß und hilft jedem, der in irgendeiner Weise Schwierigkeiten hat.
David K
iOS-Nutzer
Die App ist einfach super! Ich muss nur das Thema in die Suche eingeben und bekomme sofort eine Antwort. Ich muss nicht mehr 10 YouTube-Videos schauen, um etwas zu verstehen, und spare dadurch richtig viel Zeit. Sehr empfehlenswert!
Sudenaz Ocak
Android-Nutzerin
In der Schule war ich echt schlecht in Mathe, aber dank der App bin ich jetzt besser geworden. Ich bin so dankbar, dass ihr die App gemacht habt.
Greenlight Bonnie
Android-Nutzerin
sehr zuverlässige App, um deine Ideen in Mathe, Englisch und anderen verwandten Themen zu verbessern. bitte nutze diese App, wenn du in bestimmten Bereichen Schwierigkeiten hast, diese App ist dafür der Schlüssel. wünschte, ich hätte früher eine Bewertung geschrieben. und sie ist auch kostenlos, also mach dir darüber keine Sorgen.
Rohan U
Android-Nutzer
Ich weiß, dass viele Apps gefälschte Accounts nutzen, um ihre Bewertungen zu pushen, aber diese App verdient das alles. Ursprünglich hatte ich eine 4 in meinen Englisch-Klausuren und dieses Mal habe ich eine 2 bekommen. Ich wusste erst drei Tage vor der Klausur von dieser App und sie hat mir SEHR geholfen. Bitte vertrau mir wirklich und nutze sie, denn ich bin sicher, dass auch du Fortschritte sehen wirst.
Xander S
iOS-Nutzer
DIE QUIZZE UND KARTEIKARTEN SIND SO NÜTZLICH UND ICH LIEBE Knowunity KI. ES IST AUCH BUCHSTÄBLICH WIE CHATGPT ABER SCHLAUER!! HAT MIR AUCH BEI MEINEN MASCARA-PROBLEMEN GEHOLFEN!! SOWIE BEI MEINEN ECHTEN FÄCHERN! NATÜRLICH 😍😁😲🤑💗✨🎀😮
Elisha
iOS-Nutzer
Diese App ist echt der Hammer. Ich finde Lernen so langweilig, aber diese App macht es so einfach, alles zu organisieren und dann kannst du die kostenlose KI bitten, dich abzufragen, so gut, und du kannst einfach deine eigenen Sachen hochladen. sehr empfehlenswert als jemand, der gerade Probeklausuren schreibt
Paul T
iOS-Nutzer
Hannah
@han.grw
Diese Klausur behandelt den Kaffeeanbau am Kilimandscharo und zeigt, wie Geografie, Klima und menschliche Aktivitäten zusammenwirken. Du lernst hier, warum bestimmte Orte perfekt für den Kaffeeanbau sind und welche Herausforderungen der Klimawandel mit sich bringt.

Zugriff auf alle Dokumente
Verbessere deine Noten
Schließ dich Millionen Schülern an
Diese Erdkunde-Klausur aus der Q1 zeigt dir, wie geografische Analysen in der Oberstufe funktionieren. Du musst Orte lokalisieren, Zusammenhänge zwischen Natur und Landwirtschaft erklären und Zukunftsprobleme bewerten.
Die drei Hauptaufgaben decken typische Anforderungen ab: Lokalisierung von Moshi, Beschreibung und Vergleich verschiedener Anbauformen sowie Erklärung der naturräumlichen Bedingungen. Besonders spannend ist die dritte Aufgabe zum Klimawandel.
💡 Tipp: Bei solchen Aufgaben immer die Materialien systematisch auswerten und konkrete Beispiele aus den Karten und Texten verwenden.
Die verschiedenen Materialien liefern dir alle nötigen Informationen - von Klimadaten über Kaffeesorten bis hin zu Expertenaussagen zum Klimawandel.

Zugriff auf alle Dokumente
Verbessere deine Noten
Schließ dich Millionen Schülern an
Arabica-Kaffee ist extrem wählerisch, was seine Standortbedingungen angeht. Die Pflanze braucht Temperaturen zwischen 18-25°C, niemals über 30°C oder unter 13°C. Diese engen Grenzen erklären, warum Kaffee nur in bestimmten Höhenlagen gedeiht.
Der Niederschlagsbedarf liegt bei 1500-2000mm jährlich - deutlich mehr als in Deutschland. Außerdem benötigt Arabica Schatten und windgeschützte Lagen. Die Böden müssen tiefgründig und humos sein.
Eine große Gefahr stellt der Kaffeerost dar - ein Pilz, der bei 21-25°C optimale Bedingungen findet. Erst oberhalb von 900m lässt er sich erfolgreich bekämpfen, was die Anbaugebiete zusätzlich einschränkt.
⚡ Merke dir: Diese spezifischen Anforderungen machen den Kaffeeanbau sehr anfällig für Klimaveränderungen und erklären die begrenzte Verbreitung der Anbaugebiete.

Zugriff auf alle Dokumente
Verbessere deine Noten
Schließ dich Millionen Schülern an
Die Lokalisierung von Moshi erfordert präzise Angaben: Nordtansania, 890m Höhe, südlicher Kilimandscharo-Hang, etwa 4°S und 37°20'O. So zeigst du, dass du verschiedene Orientierungssysteme beherrschst.
Bei den Betriebsformen unterscheidest du zwischen Plantagen (Monokultur für Export) und kleinbäuerlichem Anbau (Mischkultur für Eigenversorgung). Plantagen bringen höhere Erträge, belasten aber Umwelt und Arbeiter stärker.
Die klimatischen Erklärungen nutzen den Temperaturgradienten von 1°C pro 200m Höhe. Dadurch verstehst du, warum Kaffee nur zwischen 1000-1700m angebaut wird - darunter zu heiß, darüber zu kalt.
🎯 Praxistipp: Verknüpfe immer konkrete Zahlen aus den Materialien mit deinen Erklärungen. Das zeigt, dass du die Daten richtig interpretieren kannst.

Zugriff auf alle Dokumente
Verbessere deine Noten
Schließ dich Millionen Schülern an
Ein Temperaturanstieg von 3-4°C würde die Anbaugebiete um 600-800m nach oben verschieben - direkt in den geschützten Nebelwald des Nationalparks. Das schafft massive Nutzungskonflikte zwischen Naturschutz und Landwirtschaft.
Die Lösung könnte ein Wechsel zu Robusta-Kaffee sein, der weniger temperaturempfindlich ist. Allerdings erzielt er niedrigere Preise am Weltmarkt, was die Einkommen der Bauern reduziert.
Bevölkerungsdruck verschärft die Probleme zusätzlich: Mehr Menschen brauchen mehr Nahrung, wodurch der profitable Kaffeeanbau mit der Grundversorgung konkurriert. Gleichzeitig führt Abholzung zu weiteren Umweltproblemen.
🌍 Zukunftsperspektive: Solche komplexen Wechselwirkungen zwischen Klima, Wirtschaft und Bevölkerung findest du in vielen Entwicklungsländern - ein Schlüsselthema für dein Abitur.
Unser KI-Begleiter ist ein speziell für Schüler entwickeltes KI-Tool, das mehr als nur Antworten bietet. Basierend auf Millionen von Knowunity-Inhalten liefert er relevante Informationen, personalisierte Lernpläne, Quizze und Inhalte direkt im Chat und passt sich deinem individuellen Lernweg an.
Du kannst die App im Google Play Store und im Apple App Store herunterladen.
Genau! Genieße kostenlosen Zugang zu Lerninhalten, vernetze dich mit anderen Schülern und hol dir sofortige Hilfe – alles direkt auf deinem Handy.
94
Smart Tools NEU
Verwandle diesen Lernzettel in: ✓ 50+ Übungsfragen ✓ Interaktive Karteikarten ✓ Komplette Probeklausur ✓ Aufsatzgliederungen
Diese Klausur behandelt die Herausforderungen und Chancen des Palmölanbaus in Indonesien, einschließlich der naturgeographischen Voraussetzungen, der wirtschaftlichen Bedeutung und der Perspektiven für eine nachhaltige Entwicklung. Sie analysiert das FONAP-Projekt zur Unterstützung von Kleinbauern und die ökologischen sowie sozialen Ziele des nachhaltigen Anbaus. Ideal für Studierende der Geographie und Agrarwissenschaften.
Erforschen Sie die Vor- und Nachteile des Palmölanbaus. Diese Zusammenfassung behandelt die Auswirkungen auf Regenwälder, Artenvielfalt, lokale Gemeinschaften und die Umwelt. Erfahren Sie, ob nachhaltige Palmölproduktion möglich ist und welche Rolle Zertifizierungen wie RSPO spielen. Ideal für Studierende der Agrarwissenschaften und Umweltstudien.
Entdecken Sie die Auswirkungen des Tourismus auf Phuket, einschließlich ökologischer Herausforderungen, kultureller Veränderungen und wirtschaftlicher Vorteile. Diese Zusammenfassung behandelt die Phasen der touristischen Entwicklung, die Rolle der Infrastruktur und die Bedeutung des sanften Tourismus. Ideal für Studierende, die sich mit den komplexen Wechselwirkungen zwischen Tourismus und Umwelt auseinandersetzen möchten.
Diese Präsentation behandelt die Herausforderungen und Chancen des Ananasanbaus in Costa Rica, einschließlich der Auswirkungen auf die tropischen Regenwälder, die Rolle der Brandrodung und die ökologischen sowie ökonomischen Aspekte der Landwirtschaft in den immerfeuchten Tropen. Erfahren Sie mehr über die Bedeutung von Ananas als Plantagenprodukt und die damit verbundenen Umweltprobleme.
Diese Zusammenfassung behandelt die anthropogenen Ursachen des globalen Wandels, einschließlich der Auswirkungen von Klimawandel, Umweltverschmutzung und Landdegradation. Sie beleuchtet die Herausforderungen wie Verlust der Biodiversität, saubere Luft und Wasser sowie nachhaltige Ressourcennutzung. Ideal für Studierende, die sich mit den komplexen Wechselwirkungen zwischen Mensch und Erdsystem auseinandersetzen möchten.
Erfahren Sie, wie Eco-Farming zur nachhaltigen Nutzung tropischer Regenwälder beiträgt. Diese Zusammenfassung behandelt die Herausforderungen der Abholzung, die Vorteile von Mischkulturen, organischer Düngung und die Integration von Bäumen. Entdecken Sie Lösungsvorschläge wie Wiederaufforstung, zertifiziertes Tropenholz und die Bedeutung von Sekundärprodukten für die Erhaltung der Biodiversität und die wirtschaftliche Stabilität der Anwohner.
App Store
Google Play
Die App ist sehr einfach zu bedienen und gut gestaltet. Ich habe bisher alles gefunden, wonach ich gesucht habe, und konnte viel aus den Präsentationen lernen! Ich werde die App definitiv für ein Schulprojekt nutzen! Und natürlich hilft sie auch sehr als Inspiration.
Stefan S
iOS-Nutzer
Diese App ist wirklich super. Es gibt so viele Lernzettel und Hilfen [...]. Mein Problemfach ist zum Beispiel Französisch und die App hat so viele Möglichkeiten zur Hilfe. Dank dieser App habe ich mich in Französisch verbessert. Ich würde sie jedem empfehlen.
Samantha Klich
Android-Nutzerin
Wow, ich bin wirklich begeistert. Ich habe die App einfach mal ausprobiert, weil ich sie schon oft beworben gesehen habe und war absolut beeindruckt. Diese App ist DIE HILFE, die man für die Schule braucht und vor allem bietet sie so viele Dinge wie Übungen und Lernzettel, die mir persönlich SEHR geholfen haben.
Anna
iOS-Nutzerin
Beste App der Welt! Keine Worte, weil sie einfach zu gut ist
Thomas R
iOS-Nutzer
Einfach genial. Lässt mich 10x besser lernen, diese App ist eine glatte 10/10. Ich empfehle sie jedem. Ich kann Lernzettel anschauen und suchen. Ich kann sie im Fachordner speichern. Ich kann sie jederzeit wiederholen, wenn ich zurückkomme. Wenn du diese App noch nicht ausprobiert hast, verpasst du wirklich was.
Basil
Android-Nutzer
Diese App hat mich so viel selbstbewusster in meiner Klausurvorbereitung gemacht, nicht nur durch die Stärkung meines Selbstvertrauens durch die Features, die es dir ermöglichen, dich mit anderen zu vernetzen und dich weniger allein zu fühlen, sondern auch durch die Art, wie die App selbst darauf ausgerichtet ist, dass du dich besser fühlst. Sie ist einfach zu bedienen, macht Spaß und hilft jedem, der in irgendeiner Weise Schwierigkeiten hat.
David K
iOS-Nutzer
Die App ist einfach super! Ich muss nur das Thema in die Suche eingeben und bekomme sofort eine Antwort. Ich muss nicht mehr 10 YouTube-Videos schauen, um etwas zu verstehen, und spare dadurch richtig viel Zeit. Sehr empfehlenswert!
Sudenaz Ocak
Android-Nutzerin
In der Schule war ich echt schlecht in Mathe, aber dank der App bin ich jetzt besser geworden. Ich bin so dankbar, dass ihr die App gemacht habt.
Greenlight Bonnie
Android-Nutzerin
sehr zuverlässige App, um deine Ideen in Mathe, Englisch und anderen verwandten Themen zu verbessern. bitte nutze diese App, wenn du in bestimmten Bereichen Schwierigkeiten hast, diese App ist dafür der Schlüssel. wünschte, ich hätte früher eine Bewertung geschrieben. und sie ist auch kostenlos, also mach dir darüber keine Sorgen.
Rohan U
Android-Nutzer
Ich weiß, dass viele Apps gefälschte Accounts nutzen, um ihre Bewertungen zu pushen, aber diese App verdient das alles. Ursprünglich hatte ich eine 4 in meinen Englisch-Klausuren und dieses Mal habe ich eine 2 bekommen. Ich wusste erst drei Tage vor der Klausur von dieser App und sie hat mir SEHR geholfen. Bitte vertrau mir wirklich und nutze sie, denn ich bin sicher, dass auch du Fortschritte sehen wirst.
Xander S
iOS-Nutzer
DIE QUIZZE UND KARTEIKARTEN SIND SO NÜTZLICH UND ICH LIEBE Knowunity KI. ES IST AUCH BUCHSTÄBLICH WIE CHATGPT ABER SCHLAUER!! HAT MIR AUCH BEI MEINEN MASCARA-PROBLEMEN GEHOLFEN!! SOWIE BEI MEINEN ECHTEN FÄCHERN! NATÜRLICH 😍😁😲🤑💗✨🎀😮
Elisha
iOS-Nutzer
Diese App ist echt der Hammer. Ich finde Lernen so langweilig, aber diese App macht es so einfach, alles zu organisieren und dann kannst du die kostenlose KI bitten, dich abzufragen, so gut, und du kannst einfach deine eigenen Sachen hochladen. sehr empfehlenswert als jemand, der gerade Probeklausuren schreibt
Paul T
iOS-Nutzer
Die App ist sehr einfach zu bedienen und gut gestaltet. Ich habe bisher alles gefunden, wonach ich gesucht habe, und konnte viel aus den Präsentationen lernen! Ich werde die App definitiv für ein Schulprojekt nutzen! Und natürlich hilft sie auch sehr als Inspiration.
Stefan S
iOS-Nutzer
Diese App ist wirklich super. Es gibt so viele Lernzettel und Hilfen [...]. Mein Problemfach ist zum Beispiel Französisch und die App hat so viele Möglichkeiten zur Hilfe. Dank dieser App habe ich mich in Französisch verbessert. Ich würde sie jedem empfehlen.
Samantha Klich
Android-Nutzerin
Wow, ich bin wirklich begeistert. Ich habe die App einfach mal ausprobiert, weil ich sie schon oft beworben gesehen habe und war absolut beeindruckt. Diese App ist DIE HILFE, die man für die Schule braucht und vor allem bietet sie so viele Dinge wie Übungen und Lernzettel, die mir persönlich SEHR geholfen haben.
Anna
iOS-Nutzerin
Beste App der Welt! Keine Worte, weil sie einfach zu gut ist
Thomas R
iOS-Nutzer
Einfach genial. Lässt mich 10x besser lernen, diese App ist eine glatte 10/10. Ich empfehle sie jedem. Ich kann Lernzettel anschauen und suchen. Ich kann sie im Fachordner speichern. Ich kann sie jederzeit wiederholen, wenn ich zurückkomme. Wenn du diese App noch nicht ausprobiert hast, verpasst du wirklich was.
Basil
Android-Nutzer
Diese App hat mich so viel selbstbewusster in meiner Klausurvorbereitung gemacht, nicht nur durch die Stärkung meines Selbstvertrauens durch die Features, die es dir ermöglichen, dich mit anderen zu vernetzen und dich weniger allein zu fühlen, sondern auch durch die Art, wie die App selbst darauf ausgerichtet ist, dass du dich besser fühlst. Sie ist einfach zu bedienen, macht Spaß und hilft jedem, der in irgendeiner Weise Schwierigkeiten hat.
David K
iOS-Nutzer
Die App ist einfach super! Ich muss nur das Thema in die Suche eingeben und bekomme sofort eine Antwort. Ich muss nicht mehr 10 YouTube-Videos schauen, um etwas zu verstehen, und spare dadurch richtig viel Zeit. Sehr empfehlenswert!
Sudenaz Ocak
Android-Nutzerin
In der Schule war ich echt schlecht in Mathe, aber dank der App bin ich jetzt besser geworden. Ich bin so dankbar, dass ihr die App gemacht habt.
Greenlight Bonnie
Android-Nutzerin
sehr zuverlässige App, um deine Ideen in Mathe, Englisch und anderen verwandten Themen zu verbessern. bitte nutze diese App, wenn du in bestimmten Bereichen Schwierigkeiten hast, diese App ist dafür der Schlüssel. wünschte, ich hätte früher eine Bewertung geschrieben. und sie ist auch kostenlos, also mach dir darüber keine Sorgen.
Rohan U
Android-Nutzer
Ich weiß, dass viele Apps gefälschte Accounts nutzen, um ihre Bewertungen zu pushen, aber diese App verdient das alles. Ursprünglich hatte ich eine 4 in meinen Englisch-Klausuren und dieses Mal habe ich eine 2 bekommen. Ich wusste erst drei Tage vor der Klausur von dieser App und sie hat mir SEHR geholfen. Bitte vertrau mir wirklich und nutze sie, denn ich bin sicher, dass auch du Fortschritte sehen wirst.
Xander S
iOS-Nutzer
DIE QUIZZE UND KARTEIKARTEN SIND SO NÜTZLICH UND ICH LIEBE Knowunity KI. ES IST AUCH BUCHSTÄBLICH WIE CHATGPT ABER SCHLAUER!! HAT MIR AUCH BEI MEINEN MASCARA-PROBLEMEN GEHOLFEN!! SOWIE BEI MEINEN ECHTEN FÄCHERN! NATÜRLICH 😍😁😲🤑💗✨🎀😮
Elisha
iOS-Nutzer
Diese App ist echt der Hammer. Ich finde Lernen so langweilig, aber diese App macht es so einfach, alles zu organisieren und dann kannst du die kostenlose KI bitten, dich abzufragen, so gut, und du kannst einfach deine eigenen Sachen hochladen. sehr empfehlenswert als jemand, der gerade Probeklausuren schreibt
Paul T
iOS-Nutzer