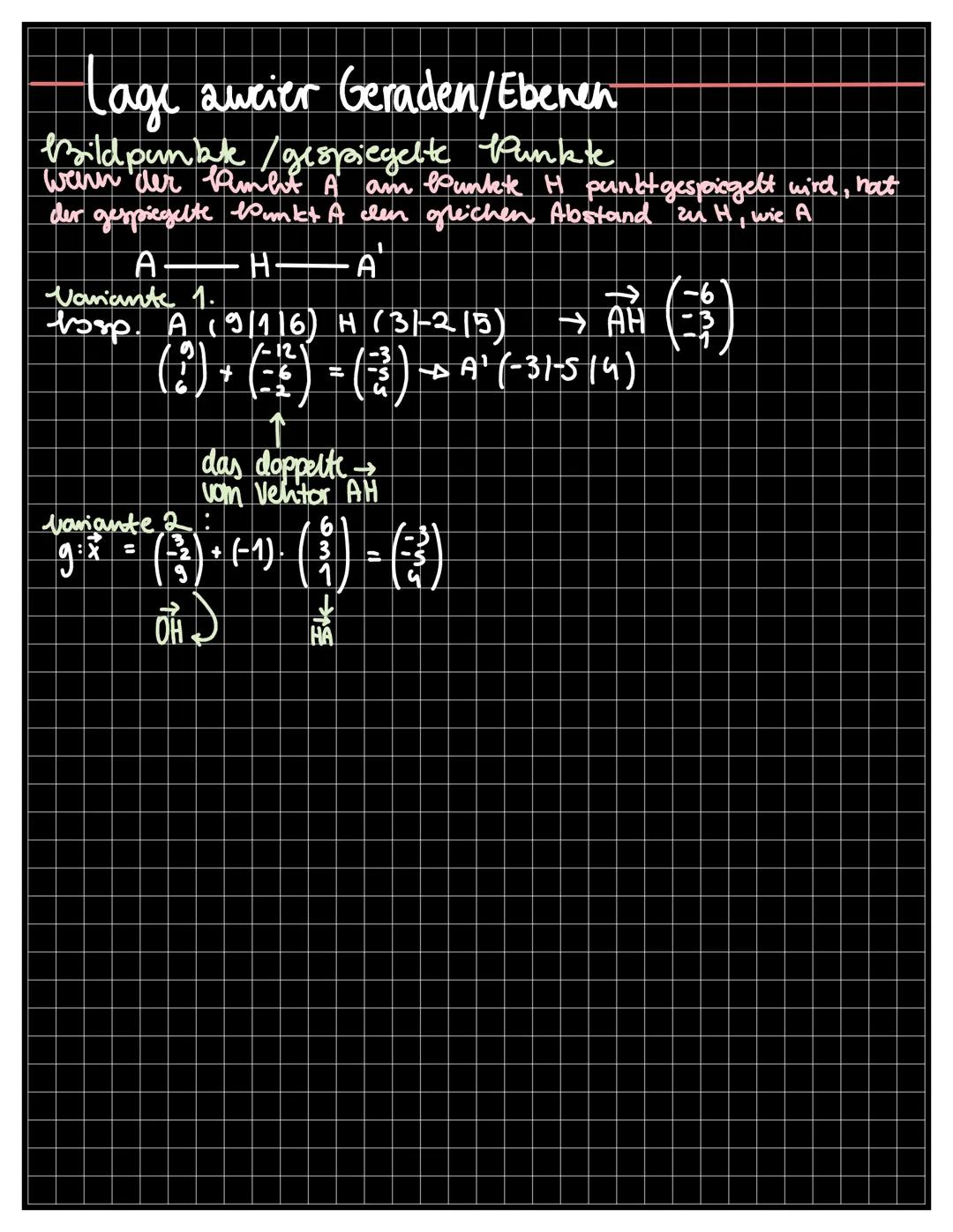
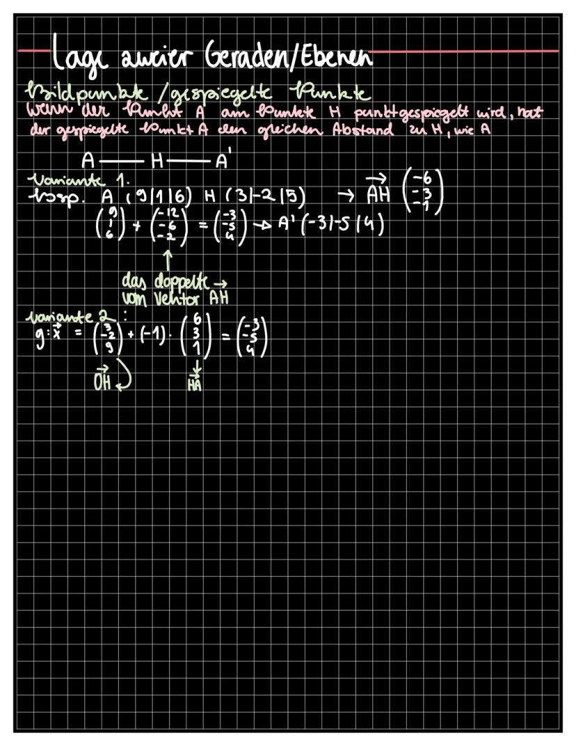
-vektoren -parameterdarstellung -punkte auf einer geraden -mittelpunkte -lage zweier geraden/ebenen -abstände von 2 punkten/ebenen
Melde dich an, um den Inhalt zu sehenKostenlos!
Zugriff auf alle Dokumente
Verbessere deine Noten
Schließ dich Millionen Schülern an













