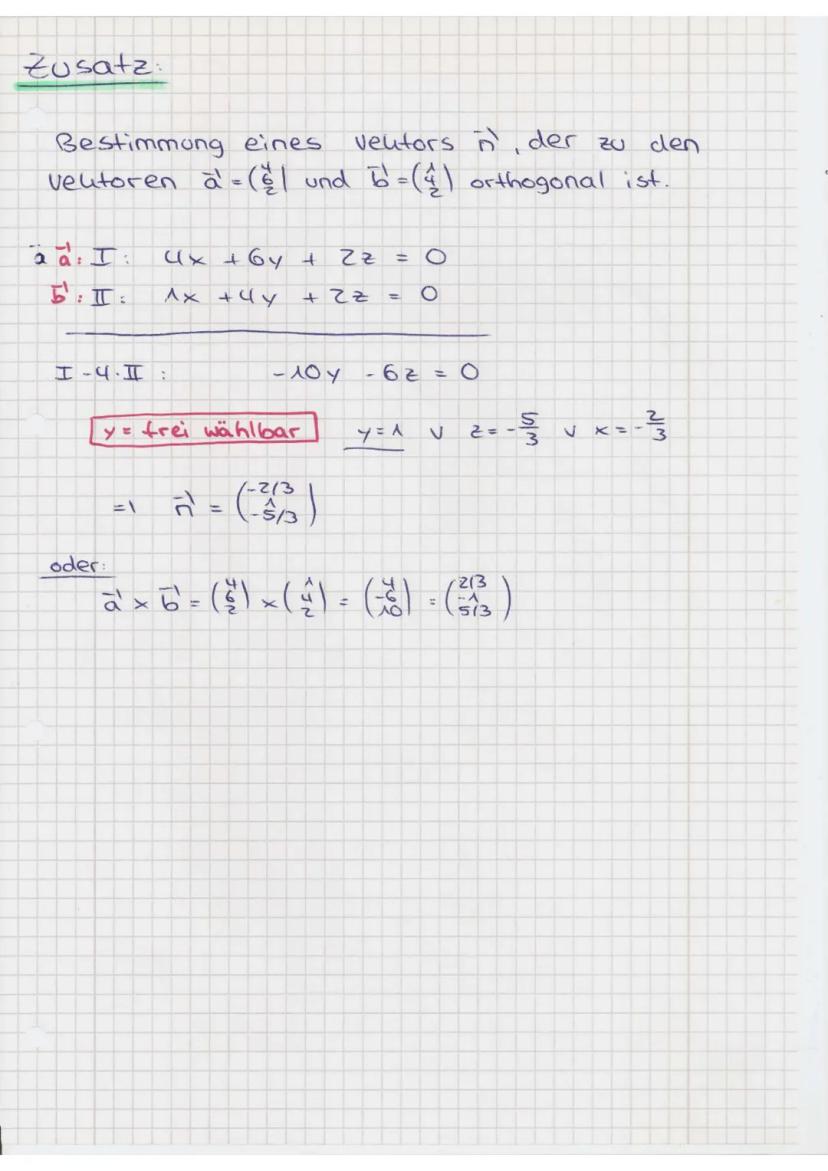
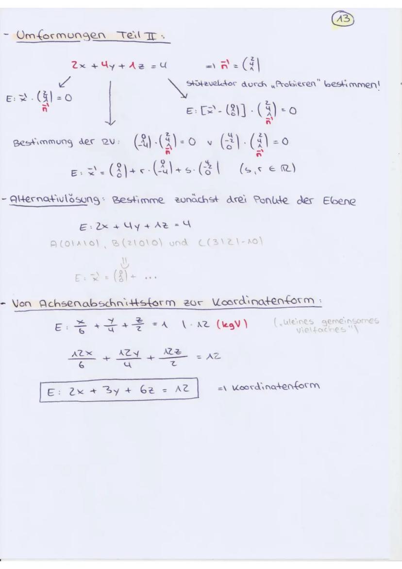
Ideale Vorbereitung auf das Abitur im Fach Mathematik. Umfangreiche Zusammenfassung über sämtliche Themengebiete innerhalb des Bereichs „Geometrie“. Dazu gehören Aspekte wie beispielsweise Lagebeziehungen, Abstände/Winkel, Geradenschare und mehr!
Melde dich an, um den Inhalt zu sehenKostenlos!
Zugriff auf alle Dokumente
Verbessere deine Noten
Schließ dich Millionen Schülern an



















