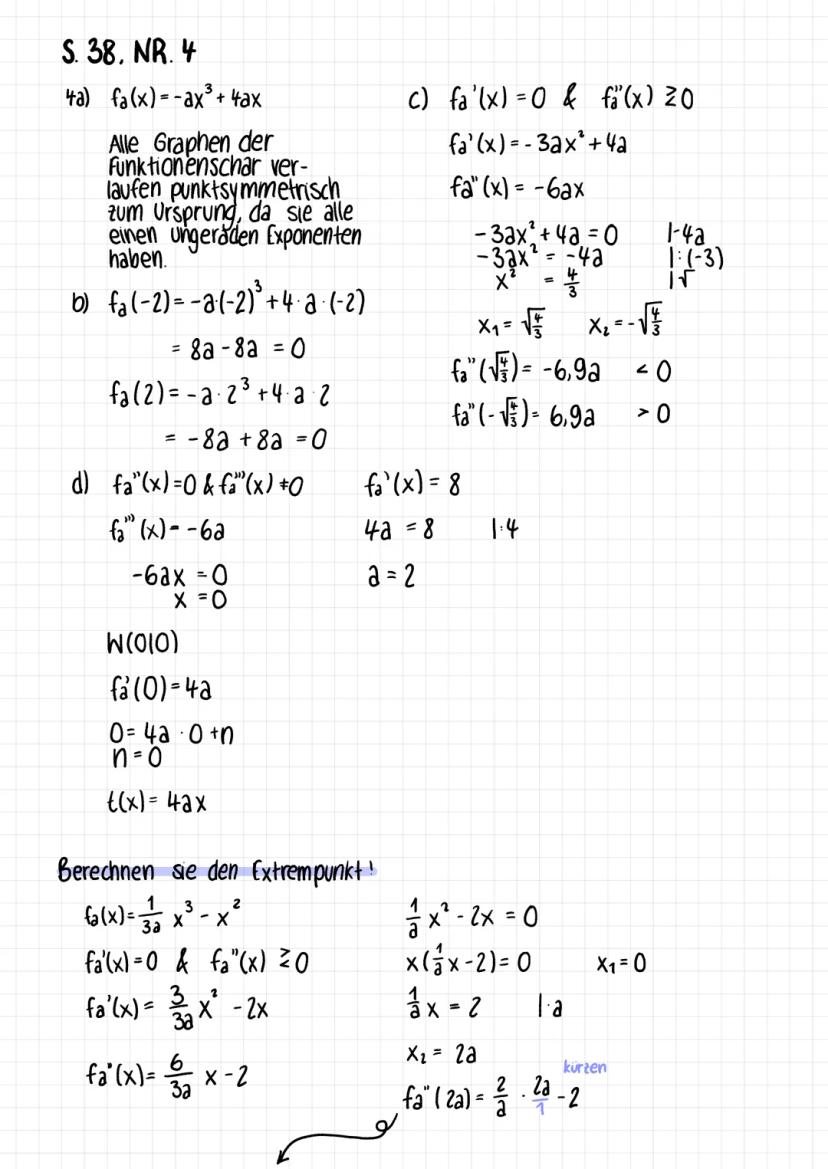
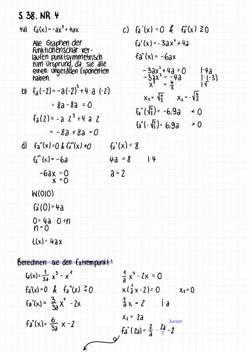
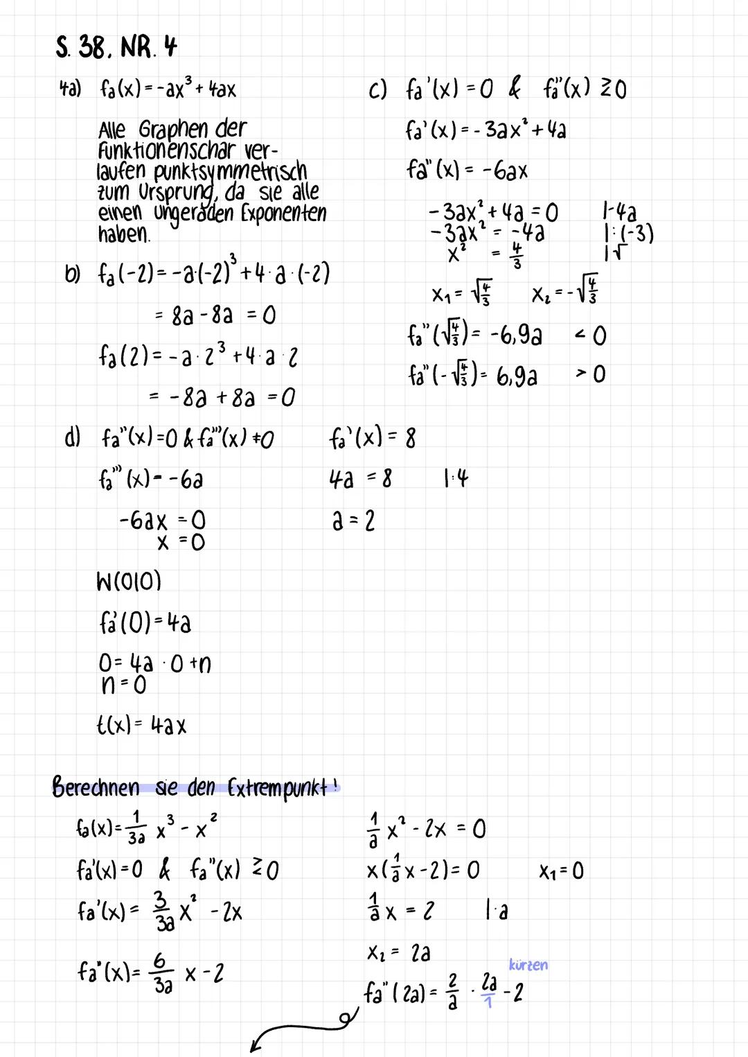
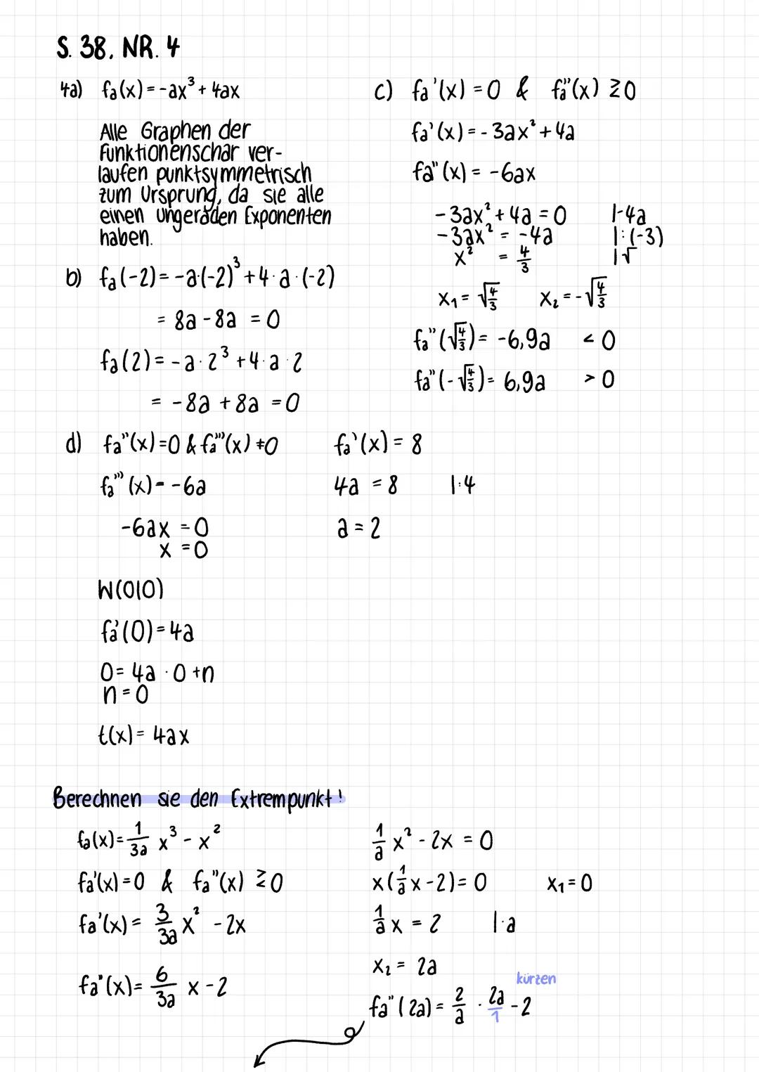
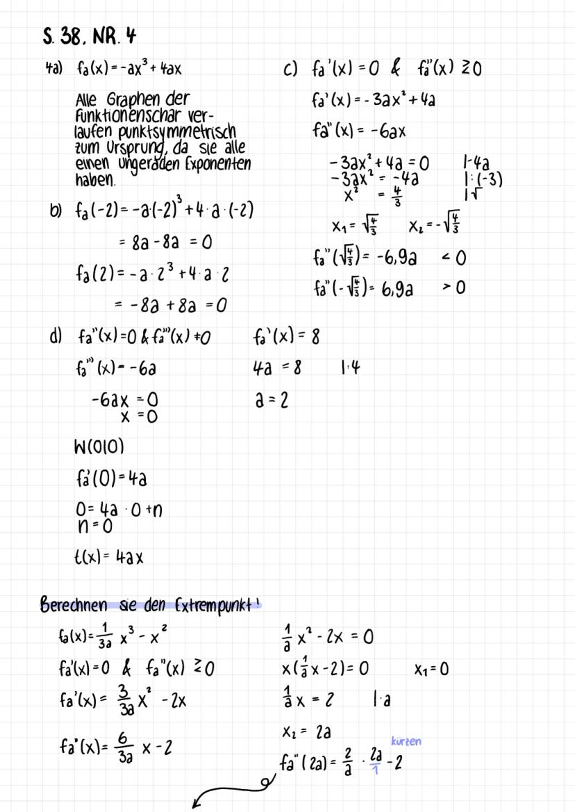
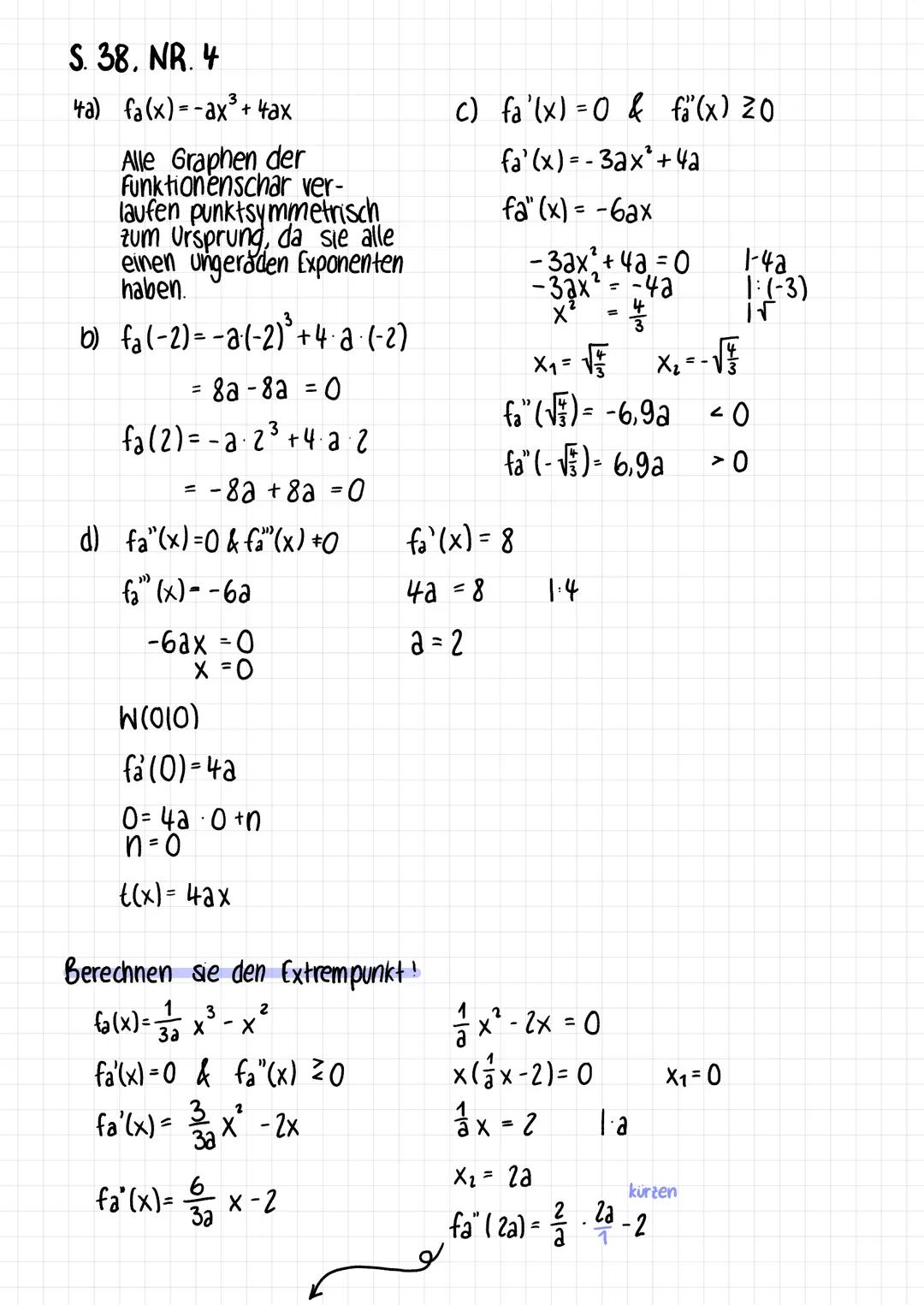
S. 36, 1, 2, 3 S. 38, 1, 3, 4 S. 39, 7, 8, 9 S. 40, 12, 13
Melde dich an, um den Inhalt zu sehenKostenlos!
Zugriff auf alle Dokumente
Verbessere deine Noten
Schließ dich Millionen Schülern an
Mit der Anmeldung akzeptierst du die Nutzungsbedingungen und Datenschutzerklärung



















