App öffnen

Fächer

Mathe

20. Dez. 2025

760

2 Seiten

Partielle Integration und Integration durch Substitution

user profile picture

Vivien @vivien_mfa

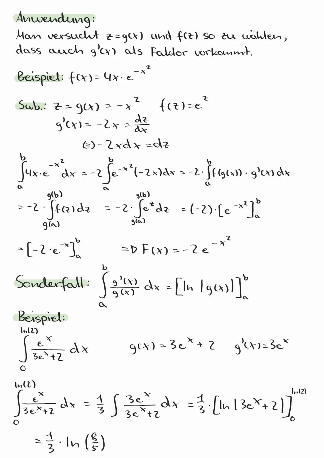
Integration Formel, Anwendung, Beispiel

Partielle Integration
Formel:
[uce)- v'er]dx = [uur)-vers]" - Ju'ers vo
Anwendung:
Es sollte u'(x) • v(x) bei der Integration
einfacher" als
Partielle Integration
Formel:
[uce)- v'er]dx = [uur)-vers]" - Ju'ers vo
Anwendung:
Es sollte u'(x) • v(x) bei der Integration
einfacher" als

Wir dachten, du würdest nie fragen...

Was ist der Knowunity KI-Begleiter?

Unser KI-Begleiter ist speziell auf die Bedürfnisse von Schülern zugeschnitten. Basierend auf den Millionen von Inhalten, die wir auf der Plattform haben, können wir den Schülern wirklich sinnvolle und relevante Antworten geben. Aber es geht nicht nur um Antworten, sondern der Begleiter führt die Schüler auch durch ihre täglichen Lernherausforderungen, mit personalisierten Lernplänen, Quizfragen oder Inhalten im Chat und einer 100% Personalisierung basierend auf den Fähigkeiten und Entwicklungen der Schüler.

Wo kann ich mir die Knowunity-App herunterladen?

Du kannst dir die App im Google Play Store und im Apple App Store herunterladen.

Ist Knowunity wirklich kostenlos?

Ja, du hast kostenlosen Zugriff auf Inhalte in der App und auf unseren KI-Begleiter. Zum Freischalten bestimmter Features in der App kannst du Knowunity Pro erwerben.

19

Smarte Tools NEU

Verwandle diese Notizen in: ✓ 50+ Übungsaufgaben ✓ Interaktive Karteikarten ✓ Vollständige Probeklausur ✓ Aufsatz-Gliederungen

Probeklausur
Quiz
Flashcards
Aufsatz

Ähnliche Inhalte

Uneigentliche Integrale verstehen

Erfahren Sie alles über uneigentliche Integrale: Definition, Berechnungsmethoden und Beispiele. Diese Zusammenfassung bietet eine klare Erklärung der Konzepte, die für das Verständnis von unendlichen Flächeninhalten und deren Berechnung notwendig sind. Ideal für Schüler, die sich auf Prüfungen vorbereiten oder ihr Wissen in der Analysis vertiefen möchten.

MatheMathe
11

Uneigentliche Integrale Berechnung

Dieser Lernzettel behandelt die Berechnung uneigentlicher Integrale in der Integralrechnung. Er erklärt die Schritte zur Bestimmung der Stammfunktion, den Umgang mit variablen Grenzen und die Bestimmung von Grenzwerten. Ideal für Studierende der Mathematik, die ein tieferes Verständnis für unendliche Flächeninhalte und deren Berechnung entwickeln möchten.

MatheMathe
11

Integralrechnung: Grundlagen und Methoden

Entdecken Sie die Grundlagen der Integralrechnung, einschließlich der Definition von Integralen, Ober- und Untersummen, und der Stammfunktion. Diese Zusammenfassung behandelt sowohl unbestimmte als auch bestimmte Integrale und erläutert den Hauptsatz der Differential- und Integralrechnung. Ideal für Studierende der Mathematik im Bereich Analysis II.

MatheMathe
12

Integralrechnung verstehen

Diese Zusammenfassung bietet eine umfassende Einführung in die Integralrechnung, einschließlich der Herleitung des Integrals, der Leibniz-Schreibweise und des Hauptsatzes der Differenzial- und Integralrechnung. Erfahren Sie, wie man den Flächeninhalt unter krummlinigen Funktionen berechnet und die Bedeutung der Konstante c in der Integration versteht. Ideal für Studierende der Mathematik und Naturwissenschaften.

MatheMathe
11

Integrale und Flächenberechnung

Erfahre alles über bestimmte und unbestimmte Integrale sowie Ober- und Untersummen. Diese Zusammenfassung behandelt die Berechnung von Flächeninhalten unter Funktionen, die Anwendung des Hauptsatzes der Integralrechnung und die Bestimmung von Stammfunktionen. Ideal für Studierende der Differential- und Integralrechnung.

MatheMathe
12

Integrale und Stammfunktionen

Erfahre alles über bestimmte und unbestimmte Integrale, die Bildung von Stammfunktionen und deren Anwendung in der Integralrechnung. Diese Zusammenfassung behandelt die Grundlagen der Integration, den Hauptsatz der Integralrechnung und wichtige Regeln wie die Summen- und Faktorregel. Ideal für Studierende der Mathematik und Naturwissenschaften.

MatheMathe
11

Beliebteste Inhalte in Mathe

Beliebteste Inhalte

Nichts passendes dabei? Erkunde andere Fachbereiche.

Schüler:innen lieben uns — und du wirst es auch.

4.9/5

App Store

4.8/5

Google Play

Die App ist sehr leicht und gut gestaltet. Habe bis jetzt alles gefunden, nachdem ich gesucht habe und aus den Präsentationen echt viel lernen können! Die App werde ich auf jeden Fall für eine Klassenarbeit verwenden! Und als eigene Inspiration hilft sie natürlich auch sehr.

Stefan S

iOS user

Diese App ist wirklich echt super. Es gibt so viele Lernzettel und Hilfen, […]. Mein Problemfach ist zum Beispiel Französisch und die App hat mega viel Auswahl für Hilfe. Dank dieser App habe ich mich in Französisch verbessert. Ich würde diese jedem weiterempfehlen.

Samantha Klich

Android user

Wow ich bin wirklich komplett baff. Habe die App nur mal so ausprobiert, weil ich es schon oft in der Werbung gesehen habe und war absolut geschockt. Diese App ist DIE HILFE, die man sich für die Schule wünscht und vor allem werden so viele Sachen angeboten, wie z.B. Ausarbeitungen und Merkblätter, welche mir persönlich SEHR weitergeholfen haben.

Anna

iOS user

Ich finde Knowunity so grandios. Ich lerne wirklich für alles damit. Es gibt so viele verschiedene Lernzettel, die sehr gut erklärt sind!

Jana V

iOS user

Ich liebe diese App sie hilft mir vor jeder Arbeit kann Aufgaben kontrollieren sowie lösen und ist wirklich vielfältig verwendbar. Man kann mit diesem Fuchs auch normal reden so wie Probleme im echten Leben besprechen und er hilft einem. Wirklich sehr gut diese App kann ich nur weiter empfehlen, gerade für Menschen die etwas länger brauchen etwas zu verstehen!

Lena M

Android user

Ich finde Knowunity ist eine super App. Für die Schule ist sie ideal , wegen den Lernzetteln, Quizen und dem AI. Das gute an AI ist , dass er nicht direkt nur die Lösung ausspuckt sondern einen Weg zeigt wie man darauf kommt. Manchmal gibt er einem auch nur einen Tipp damit man selbst darauf kommt . Mir hilft Knowunity persönlich sehr viel und ich kann sie nur weiterempfehlen ☺️

Timo S

iOS user

Die App ist einfach super! Ich muss nur in die Suchleiste mein Thema eintragen und ich checke es sehr schnell. Ich muss nicht mehr 10 YouTube Videos gucken, um etwas zu verstehen und somit spare ich mir meine Zeit. Einfach zu empfehlen!!

Sudenaz Ocak

Android user

Diese App hat mich echt verbessert! In der Schule war ich richtig schlecht in Mathe und dank der App kann ich besser Mathe! Ich bin so dankbar, dass ihr die App gemacht habt.

Greenlight Bonnie

Android user

Ich benutze Knowunity schon sehr lange und meine Noten haben sich verbessert die App hilft mir bei Mathe,Englisch u.s.w. Ich bekomme Hilfe wenn ich sie brauche und bekomme sogar Glückwünsche für meine Arbeit Deswegen von mir 5 Sterne🫶🏼

Julia S

Android user

Also die App hat mir echt in super vielen Fächern geholfen! Ich hatte in der Mathe Arbeit davor eine 3+ und habe nur durch den School GPT und die Lernzettek auf der App eine 1-3 in Mathe geschafft…Ich bin Mega glücklich darüber also ja wircklich eine super App zum lernen und es spart sehr viel Heit dass man mehr Freizeit hat!

Marcus B

iOS user

Mit dieser App hab ich bessere Noten bekommen. Bessere Lernzettel gekriegt. Ich habe die App benutzt, als ich die Fächer nicht ganz verstanden habe,diese App ist ein würcklich GameChanger für die Schule, Hausaufgaben

Sarah L

Android user

Hatte noch nie so viel Spaß beim Lernen und der School Bot macht super Aufschriebe die man Herunterladen kann total Übersichtlich und Lehreich. Bin begeistert.

Hans T

iOS user

Die App ist sehr leicht und gut gestaltet. Habe bis jetzt alles gefunden, nachdem ich gesucht habe und aus den Präsentationen echt viel lernen können! Die App werde ich auf jeden Fall für eine Klassenarbeit verwenden! Und als eigene Inspiration hilft sie natürlich auch sehr.

Stefan S

iOS user

Diese App ist wirklich echt super. Es gibt so viele Lernzettel und Hilfen, […]. Mein Problemfach ist zum Beispiel Französisch und die App hat mega viel Auswahl für Hilfe. Dank dieser App habe ich mich in Französisch verbessert. Ich würde diese jedem weiterempfehlen.

Samantha Klich

Android user

Wow ich bin wirklich komplett baff. Habe die App nur mal so ausprobiert, weil ich es schon oft in der Werbung gesehen habe und war absolut geschockt. Diese App ist DIE HILFE, die man sich für die Schule wünscht und vor allem werden so viele Sachen angeboten, wie z.B. Ausarbeitungen und Merkblätter, welche mir persönlich SEHR weitergeholfen haben.

Anna

iOS user

Ich finde Knowunity so grandios. Ich lerne wirklich für alles damit. Es gibt so viele verschiedene Lernzettel, die sehr gut erklärt sind!

Jana V

iOS user

Ich liebe diese App sie hilft mir vor jeder Arbeit kann Aufgaben kontrollieren sowie lösen und ist wirklich vielfältig verwendbar. Man kann mit diesem Fuchs auch normal reden so wie Probleme im echten Leben besprechen und er hilft einem. Wirklich sehr gut diese App kann ich nur weiter empfehlen, gerade für Menschen die etwas länger brauchen etwas zu verstehen!

Lena M

Android user

Ich finde Knowunity ist eine super App. Für die Schule ist sie ideal , wegen den Lernzetteln, Quizen und dem AI. Das gute an AI ist , dass er nicht direkt nur die Lösung ausspuckt sondern einen Weg zeigt wie man darauf kommt. Manchmal gibt er einem auch nur einen Tipp damit man selbst darauf kommt . Mir hilft Knowunity persönlich sehr viel und ich kann sie nur weiterempfehlen ☺️

Timo S

iOS user

Die App ist einfach super! Ich muss nur in die Suchleiste mein Thema eintragen und ich checke es sehr schnell. Ich muss nicht mehr 10 YouTube Videos gucken, um etwas zu verstehen und somit spare ich mir meine Zeit. Einfach zu empfehlen!!

Sudenaz Ocak

Android user

Diese App hat mich echt verbessert! In der Schule war ich richtig schlecht in Mathe und dank der App kann ich besser Mathe! Ich bin so dankbar, dass ihr die App gemacht habt.

Greenlight Bonnie

Android user

Ich benutze Knowunity schon sehr lange und meine Noten haben sich verbessert die App hilft mir bei Mathe,Englisch u.s.w. Ich bekomme Hilfe wenn ich sie brauche und bekomme sogar Glückwünsche für meine Arbeit Deswegen von mir 5 Sterne🫶🏼

Julia S

Android user

Also die App hat mir echt in super vielen Fächern geholfen! Ich hatte in der Mathe Arbeit davor eine 3+ und habe nur durch den School GPT und die Lernzettek auf der App eine 1-3 in Mathe geschafft…Ich bin Mega glücklich darüber also ja wircklich eine super App zum lernen und es spart sehr viel Heit dass man mehr Freizeit hat!

Marcus B

iOS user

Mit dieser App hab ich bessere Noten bekommen. Bessere Lernzettel gekriegt. Ich habe die App benutzt, als ich die Fächer nicht ganz verstanden habe,diese App ist ein würcklich GameChanger für die Schule, Hausaufgaben

Sarah L

Android user

Hatte noch nie so viel Spaß beim Lernen und der School Bot macht super Aufschriebe die man Herunterladen kann total Übersichtlich und Lehreich. Bin begeistert.

Hans T

iOS user

 

Mathe

760

20. Dez. 2025

2 Seiten

Partielle Integration und Integration durch Substitution

user profile picture

Vivien

@vivien_mfa

Integration Formel, Anwendung, Beispiel

Partielle Integration
Formel:
[uce)- v'er]dx = [uur)-vers]" - Ju'ers vo
Anwendung:
Es sollte u'(x) • v(x) bei der Integration
einfacher" als

Melde dich an, um den Inhalt freizuschaltenEs ist kostenlos!

Zugriff auf alle Dokumente

Verbessere deine Noten

Werde Teil der Community

Mit der Anmeldung akzeptierst du die Nutzungsbedingungen und die Datenschutzrichtlinie

Partielle Integration
Formel:
[uce)- v'er]dx = [uur)-vers]" - Ju'ers vo
Anwendung:
Es sollte u'(x) • v(x) bei der Integration
einfacher" als

Melde dich an, um den Inhalt freizuschaltenEs ist kostenlos!

Zugriff auf alle Dokumente

Verbessere deine Noten

Werde Teil der Community

Mit der Anmeldung akzeptierst du die Nutzungsbedingungen und die Datenschutzrichtlinie

Wir dachten, du würdest nie fragen...

Was ist der Knowunity KI-Begleiter?

Unser KI-Begleiter ist speziell auf die Bedürfnisse von Schülern zugeschnitten. Basierend auf den Millionen von Inhalten, die wir auf der Plattform haben, können wir den Schülern wirklich sinnvolle und relevante Antworten geben. Aber es geht nicht nur um Antworten, sondern der Begleiter führt die Schüler auch durch ihre täglichen Lernherausforderungen, mit personalisierten Lernplänen, Quizfragen oder Inhalten im Chat und einer 100% Personalisierung basierend auf den Fähigkeiten und Entwicklungen der Schüler.

Wo kann ich mir die Knowunity-App herunterladen?

Du kannst dir die App im Google Play Store und im Apple App Store herunterladen.

Ist Knowunity wirklich kostenlos?

Ja, du hast kostenlosen Zugriff auf Inhalte in der App und auf unseren KI-Begleiter. Zum Freischalten bestimmter Features in der App kannst du Knowunity Pro erwerben.

19

Smarte Tools NEU

Verwandle diese Notizen in: ✓ 50+ Übungsaufgaben ✓ Interaktive Karteikarten ✓ Vollständige Probeklausur ✓ Aufsatz-Gliederungen

Probeklausur
Quiz
Flashcards
Aufsatz

Ähnliche Inhalte

Uneigentliche Integrale verstehen

Erfahren Sie alles über uneigentliche Integrale: Definition, Berechnungsmethoden und Beispiele. Diese Zusammenfassung bietet eine klare Erklärung der Konzepte, die für das Verständnis von unendlichen Flächeninhalten und deren Berechnung notwendig sind. Ideal für Schüler, die sich auf Prüfungen vorbereiten oder ihr Wissen in der Analysis vertiefen möchten.

MatheMathe
11

Uneigentliche Integrale Berechnung

Dieser Lernzettel behandelt die Berechnung uneigentlicher Integrale in der Integralrechnung. Er erklärt die Schritte zur Bestimmung der Stammfunktion, den Umgang mit variablen Grenzen und die Bestimmung von Grenzwerten. Ideal für Studierende der Mathematik, die ein tieferes Verständnis für unendliche Flächeninhalte und deren Berechnung entwickeln möchten.

MatheMathe
11

Integralrechnung: Grundlagen und Methoden

Entdecken Sie die Grundlagen der Integralrechnung, einschließlich der Definition von Integralen, Ober- und Untersummen, und der Stammfunktion. Diese Zusammenfassung behandelt sowohl unbestimmte als auch bestimmte Integrale und erläutert den Hauptsatz der Differential- und Integralrechnung. Ideal für Studierende der Mathematik im Bereich Analysis II.

MatheMathe
12

Integralrechnung verstehen

Diese Zusammenfassung bietet eine umfassende Einführung in die Integralrechnung, einschließlich der Herleitung des Integrals, der Leibniz-Schreibweise und des Hauptsatzes der Differenzial- und Integralrechnung. Erfahren Sie, wie man den Flächeninhalt unter krummlinigen Funktionen berechnet und die Bedeutung der Konstante c in der Integration versteht. Ideal für Studierende der Mathematik und Naturwissenschaften.

MatheMathe
11

Integrale und Flächenberechnung

Erfahre alles über bestimmte und unbestimmte Integrale sowie Ober- und Untersummen. Diese Zusammenfassung behandelt die Berechnung von Flächeninhalten unter Funktionen, die Anwendung des Hauptsatzes der Integralrechnung und die Bestimmung von Stammfunktionen. Ideal für Studierende der Differential- und Integralrechnung.

MatheMathe
12

Integrale und Stammfunktionen

Erfahre alles über bestimmte und unbestimmte Integrale, die Bildung von Stammfunktionen und deren Anwendung in der Integralrechnung. Diese Zusammenfassung behandelt die Grundlagen der Integration, den Hauptsatz der Integralrechnung und wichtige Regeln wie die Summen- und Faktorregel. Ideal für Studierende der Mathematik und Naturwissenschaften.

MatheMathe
11

Beliebteste Inhalte in Mathe

Beliebteste Inhalte

Nichts passendes dabei? Erkunde andere Fachbereiche.

Schüler:innen lieben uns — und du wirst es auch.

4.9/5

App Store

4.8/5

Google Play

Die App ist sehr leicht und gut gestaltet. Habe bis jetzt alles gefunden, nachdem ich gesucht habe und aus den Präsentationen echt viel lernen können! Die App werde ich auf jeden Fall für eine Klassenarbeit verwenden! Und als eigene Inspiration hilft sie natürlich auch sehr.

Stefan S

iOS user

Diese App ist wirklich echt super. Es gibt so viele Lernzettel und Hilfen, […]. Mein Problemfach ist zum Beispiel Französisch und die App hat mega viel Auswahl für Hilfe. Dank dieser App habe ich mich in Französisch verbessert. Ich würde diese jedem weiterempfehlen.

Samantha Klich

Android user

Wow ich bin wirklich komplett baff. Habe die App nur mal so ausprobiert, weil ich es schon oft in der Werbung gesehen habe und war absolut geschockt. Diese App ist DIE HILFE, die man sich für die Schule wünscht und vor allem werden so viele Sachen angeboten, wie z.B. Ausarbeitungen und Merkblätter, welche mir persönlich SEHR weitergeholfen haben.

Anna

iOS user

Ich finde Knowunity so grandios. Ich lerne wirklich für alles damit. Es gibt so viele verschiedene Lernzettel, die sehr gut erklärt sind!

Jana V

iOS user

Ich liebe diese App sie hilft mir vor jeder Arbeit kann Aufgaben kontrollieren sowie lösen und ist wirklich vielfältig verwendbar. Man kann mit diesem Fuchs auch normal reden so wie Probleme im echten Leben besprechen und er hilft einem. Wirklich sehr gut diese App kann ich nur weiter empfehlen, gerade für Menschen die etwas länger brauchen etwas zu verstehen!

Lena M

Android user

Ich finde Knowunity ist eine super App. Für die Schule ist sie ideal , wegen den Lernzetteln, Quizen und dem AI. Das gute an AI ist , dass er nicht direkt nur die Lösung ausspuckt sondern einen Weg zeigt wie man darauf kommt. Manchmal gibt er einem auch nur einen Tipp damit man selbst darauf kommt . Mir hilft Knowunity persönlich sehr viel und ich kann sie nur weiterempfehlen ☺️

Timo S

iOS user

Die App ist einfach super! Ich muss nur in die Suchleiste mein Thema eintragen und ich checke es sehr schnell. Ich muss nicht mehr 10 YouTube Videos gucken, um etwas zu verstehen und somit spare ich mir meine Zeit. Einfach zu empfehlen!!

Sudenaz Ocak

Android user

Diese App hat mich echt verbessert! In der Schule war ich richtig schlecht in Mathe und dank der App kann ich besser Mathe! Ich bin so dankbar, dass ihr die App gemacht habt.

Greenlight Bonnie

Android user

Ich benutze Knowunity schon sehr lange und meine Noten haben sich verbessert die App hilft mir bei Mathe,Englisch u.s.w. Ich bekomme Hilfe wenn ich sie brauche und bekomme sogar Glückwünsche für meine Arbeit Deswegen von mir 5 Sterne🫶🏼

Julia S

Android user

Also die App hat mir echt in super vielen Fächern geholfen! Ich hatte in der Mathe Arbeit davor eine 3+ und habe nur durch den School GPT und die Lernzettek auf der App eine 1-3 in Mathe geschafft…Ich bin Mega glücklich darüber also ja wircklich eine super App zum lernen und es spart sehr viel Heit dass man mehr Freizeit hat!

Marcus B

iOS user

Mit dieser App hab ich bessere Noten bekommen. Bessere Lernzettel gekriegt. Ich habe die App benutzt, als ich die Fächer nicht ganz verstanden habe,diese App ist ein würcklich GameChanger für die Schule, Hausaufgaben

Sarah L

Android user

Hatte noch nie so viel Spaß beim Lernen und der School Bot macht super Aufschriebe die man Herunterladen kann total Übersichtlich und Lehreich. Bin begeistert.

Hans T

iOS user

Die App ist sehr leicht und gut gestaltet. Habe bis jetzt alles gefunden, nachdem ich gesucht habe und aus den Präsentationen echt viel lernen können! Die App werde ich auf jeden Fall für eine Klassenarbeit verwenden! Und als eigene Inspiration hilft sie natürlich auch sehr.

Stefan S

iOS user

Diese App ist wirklich echt super. Es gibt so viele Lernzettel und Hilfen, […]. Mein Problemfach ist zum Beispiel Französisch und die App hat mega viel Auswahl für Hilfe. Dank dieser App habe ich mich in Französisch verbessert. Ich würde diese jedem weiterempfehlen.

Samantha Klich

Android user

Wow ich bin wirklich komplett baff. Habe die App nur mal so ausprobiert, weil ich es schon oft in der Werbung gesehen habe und war absolut geschockt. Diese App ist DIE HILFE, die man sich für die Schule wünscht und vor allem werden so viele Sachen angeboten, wie z.B. Ausarbeitungen und Merkblätter, welche mir persönlich SEHR weitergeholfen haben.

Anna

iOS user

Ich finde Knowunity so grandios. Ich lerne wirklich für alles damit. Es gibt so viele verschiedene Lernzettel, die sehr gut erklärt sind!

Jana V

iOS user

Ich liebe diese App sie hilft mir vor jeder Arbeit kann Aufgaben kontrollieren sowie lösen und ist wirklich vielfältig verwendbar. Man kann mit diesem Fuchs auch normal reden so wie Probleme im echten Leben besprechen und er hilft einem. Wirklich sehr gut diese App kann ich nur weiter empfehlen, gerade für Menschen die etwas länger brauchen etwas zu verstehen!

Lena M

Android user

Ich finde Knowunity ist eine super App. Für die Schule ist sie ideal , wegen den Lernzetteln, Quizen und dem AI. Das gute an AI ist , dass er nicht direkt nur die Lösung ausspuckt sondern einen Weg zeigt wie man darauf kommt. Manchmal gibt er einem auch nur einen Tipp damit man selbst darauf kommt . Mir hilft Knowunity persönlich sehr viel und ich kann sie nur weiterempfehlen ☺️

Timo S

iOS user

Die App ist einfach super! Ich muss nur in die Suchleiste mein Thema eintragen und ich checke es sehr schnell. Ich muss nicht mehr 10 YouTube Videos gucken, um etwas zu verstehen und somit spare ich mir meine Zeit. Einfach zu empfehlen!!

Sudenaz Ocak

Android user

Diese App hat mich echt verbessert! In der Schule war ich richtig schlecht in Mathe und dank der App kann ich besser Mathe! Ich bin so dankbar, dass ihr die App gemacht habt.

Greenlight Bonnie

Android user

Ich benutze Knowunity schon sehr lange und meine Noten haben sich verbessert die App hilft mir bei Mathe,Englisch u.s.w. Ich bekomme Hilfe wenn ich sie brauche und bekomme sogar Glückwünsche für meine Arbeit Deswegen von mir 5 Sterne🫶🏼

Julia S

Android user

Also die App hat mir echt in super vielen Fächern geholfen! Ich hatte in der Mathe Arbeit davor eine 3+ und habe nur durch den School GPT und die Lernzettek auf der App eine 1-3 in Mathe geschafft…Ich bin Mega glücklich darüber also ja wircklich eine super App zum lernen und es spart sehr viel Heit dass man mehr Freizeit hat!

Marcus B

iOS user

Mit dieser App hab ich bessere Noten bekommen. Bessere Lernzettel gekriegt. Ich habe die App benutzt, als ich die Fächer nicht ganz verstanden habe,diese App ist ein würcklich GameChanger für die Schule, Hausaufgaben

Sarah L

Android user

Hatte noch nie so viel Spaß beim Lernen und der School Bot macht super Aufschriebe die man Herunterladen kann total Übersichtlich und Lehreich. Bin begeistert.

Hans T

iOS user