Diese Klausur aus dem Pädagogik-Grundkurs zeigt dir, wie du eine... Mehr anzeigen
Melde dich an, um den Inhalt zu sehenKostenlos!
Zugriff auf alle Dokumente
Verbessere deine Noten
Schließ dich Millionen Schülern an
Knowunity KI
Fächer
Triangle Congruence and Similarity Theorems
Triangle Properties and Classification
Linear Equations and Graphs
Geometric Angle Relationships
Trigonometric Functions and Identities
Equation Solving Techniques
Circle Geometry Fundamentals
Division Operations and Methods
Basic Differentiation Rules
Exponent and Logarithm Properties
Alle Themen anzeigen
Human Organ Systems
Reproductive Cell Cycles
Biological Sciences Subdisciplines
Cellular Energy Metabolism
Autotrophic Energy Processes
Inheritance Patterns and Principles
Biomolecular Structure and Organization
Cell Cycle and Division Mechanics
Cellular Organization and Development
Biological Structural Organization
Alle Themen anzeigen
Chemical Sciences and Applications
Atomic Structure and Composition
Molecular Electron Structure Representation
Atomic Electron Behavior
Matter Properties and Water
Mole Concept and Calculations
Gas Laws and Behavior
Periodic Table Organization
Chemical Thermodynamics Fundamentals
Chemical Bond Types and Properties
Alle Themen anzeigen
European Renaissance and Enlightenment
European Cultural Movements 800-1920
American Revolution Era 1763-1797
American Civil War 1861-1865
Global Imperial Systems
Mongol and Chinese Dynasties
U.S. Presidents and World Leaders
Historical Sources and Documentation
World Wars Era and Impact
World Religious Systems
Alle Themen anzeigen
Classic and Contemporary Novels
Literary Character Analysis
Rhetorical Theory and Practice
Classic Literary Narratives
Reading Analysis and Interpretation
Narrative Structure and Techniques
English Language Components
Influential English-Language Authors
Basic Sentence Structure
Narrative Voice and Perspective
Alle Themen anzeigen
3,710
•
Aktualisiert Apr 4, 2026
•
Jill
@jillivanilli
Diese Klausur aus dem Pädagogik-Grundkurs zeigt dir, wie du eine... Mehr anzeigen











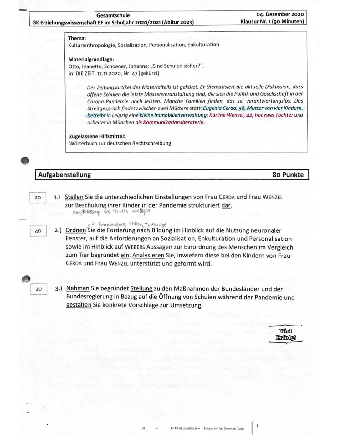
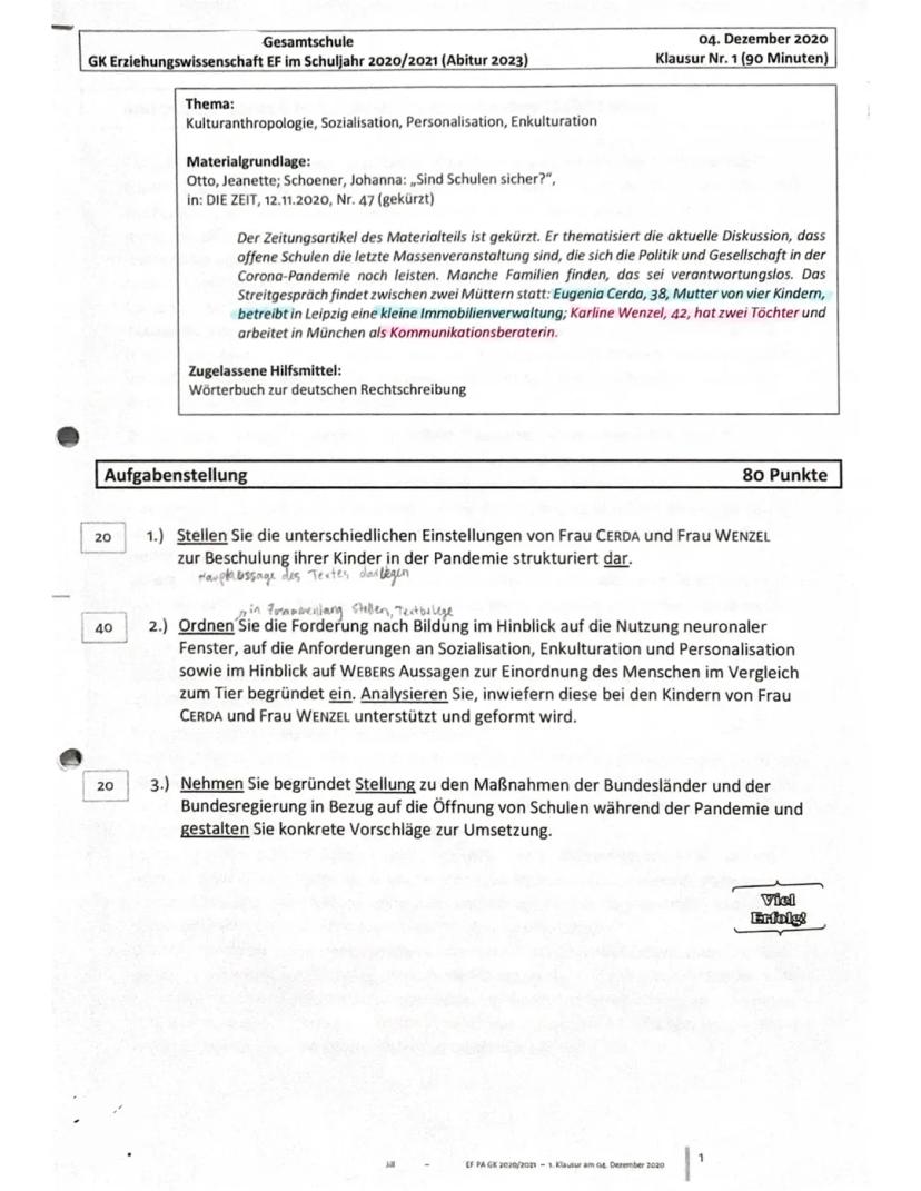
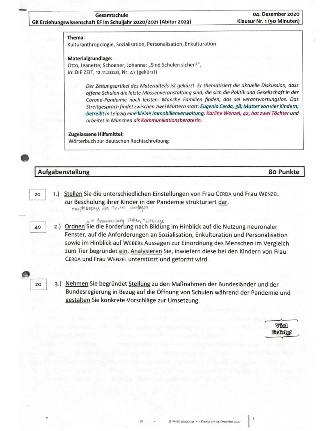
Diese Pädagogik-Klausur behandelt vier zentrale Konzepte: Kulturanthropologie, Sozialisation, Personalisation und Enkulturation. Als Grundlage dient ein Zeitungsartikel über die Schulöffnungen während Corona.
Die Klausur ist in drei Teile gegliedert. Zuerst sollst du die Positionen zweier Mütter zur Schulpflicht während der Pandemie strukturiert darstellen. Dann analysierst du diese Positionen mithilfe pädagogischer Theorien. Zum Schluss nimmst du selbst Stellung zu den Corona-Maßnahmen an Schulen.
Tipp: Achte darauf, dass du bei jeder Aufgabe Textbelege verwendest und die Fachbegriffe korrekt anwendest.

Der Erwartungshorizont zeigt dir genau, was die Lehrkraft sehen will. Bei Aufgabe 1 musst du eine ordentliche Einleitung mit Autor, Quelle und Datum schreiben. Dann stellst du die Hauptpositionen strukturiert dar.
Die Bewertung erfolgt nach Punkten: 80 Punkte für den Inhalt und 20 Punkte für die sprachliche Darstellung. Du brauchst präzise Fachsprache und klare Textbelege.
Merke dir: Eine gute Klausur zeigt nicht nur, dass du den Text verstanden hast, sondern auch, dass du pädagogische Theorien anwenden kannst.

Neuronale Fenster sind spezielle Lernphasen, in denen das Gehirn bestimmte Fähigkeiten besonders gut entwickeln kann. Werden diese verpasst, entstehen oft lebenslange Einschränkungen bei Sprache, Motorik oder emotionaler Entwicklung.
Die drei wichtigsten Entwicklungsprozesse sind: Sozialisation (Erlernen gesellschaftlicher Normen), Enkulturation (Aufnahme kultureller Werte) und Personalisation (Entwicklung zur eigenständigen Persönlichkeit). Schulen spielen dabei eine zentrale Rolle.
Während Corona war besonders problematisch, dass Kinder diese wichtigen sozialen Lernräume verloren haben. Primärsozialisation bis zum 6. Lebensjahr und Sekundärsozialisation danach brauchen Gemeinschaftserfahrungen.
Wichtig: Bildungseinrichtungen können durch nichts vollständig ersetzt werden - sie sind für die gesunde Entwicklung unverzichtbar.

Bei der Stellungnahme musst du das Spannungsverhältnis zwischen Gesundheitsschutz und Bildungsrecht erkennen. Verschiedene Familien bewerten die Prioritäten unterschiedlich, je nach ihrer Lebenssituation.
Konkrete Lösungsvorschläge könnten sein: Schulen so lange wie möglich offen halten, weil soziale Kontakte für die Entwicklung essentiell sind. Gleichzeitig müssen klare Richtwerte für Schließungen definiert werden, wenn das Gesundheitsrisiko zu hoch wird.
Dein Fazit sollte eine begründete Position enthalten. Zum Beispiel: Bildung hat Vorrang und darf nur als allerletzte Option eingeschränkt werden.
Denk daran: Eine gute Stellungnahme zeigt verschiedene Perspektiven auf und begründet die eigene Position mit Fachwissen.

Die Schülerin Jill zeigt in ihrer Antwort, wie eine strukturierte Textanalyse aussehen sollte. Sie beginnt mit einer korrekten Einleitung, die alle wichtigen Angaben enthält: Titel, Autoren, Quelle und Datum.
Frau Cerdas Position: Sie hält ihre Kinder trotz Schulpflicht zu Hause, lässt sie krankschreiben und kritisiert das Fehlen von Hybridunterricht. Sie will selbst entscheiden dürfen, ob ihre Kinder zur Schule gehen.
Frau Wenzels Gegenposition: Sie betont das Recht auf Bildung und die Wichtigkeit sozialer Kontakte außerhalb der Familie. Schulen formen gesellschaftsfähige Menschen und Homeschooling benachteiligt sozial schwächere Familien.
Beachte: Jill hätte noch mehr Textbelege verwenden sollen, aber ihre Struktur und Argumentation sind vorbildlich.

Soziale Auswirkungen stehen im Zentrum beider Positionen. Wenzel argumentiert, dass Schulen als "Lebensorte" unverzichtbar sind und Kinder zu gesellschaftsfähigen Menschen formen. Homeschooling kann die Psyche schädigen.
Beide Mütter erkennen an, dass ihren Kindern soziale Kontakte fehlen. Wenzel beobachtet sogar Verhaltensänderungen bei ihren Kindern, die auf die belastende Situation zurückzuführen sind.
Gesellschaftliche Verantwortung ist ein Schlüsselargument: Laut Wenzel muss die Gesellschaft dafür sorgen, dass es Kindern gut geht - das geht über individuelle Familienentscheidungen hinaus.
Wichtiger Hinweis: In Klausuren musst du alle indirekten Zitate mit Belegen versehen - das hat Jill teilweise vergessen, obwohl ihre Analyse inhaltlich sehr gut war.




Unser KI-Begleiter ist ein speziell für Schüler entwickeltes KI-Tool, das mehr als nur Antworten bietet. Basierend auf Millionen von Knowunity-Inhalten liefert er relevante Informationen, personalisierte Lernpläne, Quizze und Inhalte direkt im Chat und passt sich deinem individuellen Lernweg an.
Du kannst die App im Google Play Store und im Apple App Store herunterladen.
Genau! Genieße kostenlosen Zugang zu Lerninhalten, vernetze dich mit anderen Schülern und hol dir sofortige Hilfe – alles direkt auf deinem Handy.
App Store
Google Play
Die App ist sehr einfach zu bedienen und gut gestaltet. Ich habe bisher alles gefunden, wonach ich gesucht habe, und konnte viel aus den Präsentationen lernen! Ich werde die App definitiv für ein Schulprojekt nutzen! Und natürlich hilft sie auch sehr als Inspiration.
Stefan S
iOS-Nutzer
Diese App ist wirklich super. Es gibt so viele Lernzettel und Hilfen [...]. Mein Problemfach ist zum Beispiel Französisch und die App hat so viele Möglichkeiten zur Hilfe. Dank dieser App habe ich mich in Französisch verbessert. Ich würde sie jedem empfehlen.
Samantha Klich
Android-Nutzerin
Wow, ich bin wirklich begeistert. Ich habe die App einfach mal ausprobiert, weil ich sie schon oft beworben gesehen habe und war absolut beeindruckt. Diese App ist DIE HILFE, die man für die Schule braucht und vor allem bietet sie so viele Dinge wie Übungen und Lernzettel, die mir persönlich SEHR geholfen haben.
Anna
iOS-Nutzerin
Beste App der Welt! Keine Worte, weil sie einfach zu gut ist
Thomas R
iOS-Nutzer
Einfach genial. Lässt mich 10x besser lernen, diese App ist eine glatte 10/10. Ich empfehle sie jedem. Ich kann Lernzettel anschauen und suchen. Ich kann sie im Fachordner speichern. Ich kann sie jederzeit wiederholen, wenn ich zurückkomme. Wenn du diese App noch nicht ausprobiert hast, verpasst du wirklich was.
Basil
Android-Nutzer
Diese App hat mich so viel selbstbewusster in meiner Klausurvorbereitung gemacht, nicht nur durch die Stärkung meines Selbstvertrauens durch die Features, die es dir ermöglichen, dich mit anderen zu vernetzen und dich weniger allein zu fühlen, sondern auch durch die Art, wie die App selbst darauf ausgerichtet ist, dass du dich besser fühlst. Sie ist einfach zu bedienen, macht Spaß und hilft jedem, der in irgendeiner Weise Schwierigkeiten hat.
David K
iOS-Nutzer
Die App ist einfach super! Ich muss nur das Thema in die Suche eingeben und bekomme sofort eine Antwort. Ich muss nicht mehr 10 YouTube-Videos schauen, um etwas zu verstehen, und spare dadurch richtig viel Zeit. Sehr empfehlenswert!
Sudenaz Ocak
Android-Nutzerin
In der Schule war ich echt schlecht in Mathe, aber dank der App bin ich jetzt besser geworden. Ich bin so dankbar, dass ihr die App gemacht habt.
Greenlight Bonnie
Android-Nutzerin
sehr zuverlässige App, um deine Ideen in Mathe, Englisch und anderen verwandten Themen zu verbessern. bitte nutze diese App, wenn du in bestimmten Bereichen Schwierigkeiten hast, diese App ist dafür der Schlüssel. wünschte, ich hätte früher eine Bewertung geschrieben. und sie ist auch kostenlos, also mach dir darüber keine Sorgen.
Rohan U
Android-Nutzer
Ich weiß, dass viele Apps gefälschte Accounts nutzen, um ihre Bewertungen zu pushen, aber diese App verdient das alles. Ursprünglich hatte ich eine 4 in meinen Englisch-Klausuren und dieses Mal habe ich eine 2 bekommen. Ich wusste erst drei Tage vor der Klausur von dieser App und sie hat mir SEHR geholfen. Bitte vertrau mir wirklich und nutze sie, denn ich bin sicher, dass auch du Fortschritte sehen wirst.
Xander S
iOS-Nutzer
DIE QUIZZE UND KARTEIKARTEN SIND SO NÜTZLICH UND ICH LIEBE Knowunity KI. ES IST AUCH BUCHSTÄBLICH WIE CHATGPT ABER SCHLAUER!! HAT MIR AUCH BEI MEINEN MASCARA-PROBLEMEN GEHOLFEN!! SOWIE BEI MEINEN ECHTEN FÄCHERN! NATÜRLICH 😍😁😲🤑💗✨🎀😮
Elisha
iOS-Nutzer
Diese App ist echt der Hammer. Ich finde Lernen so langweilig, aber diese App macht es so einfach, alles zu organisieren und dann kannst du die kostenlose KI bitten, dich abzufragen, so gut, und du kannst einfach deine eigenen Sachen hochladen. sehr empfehlenswert als jemand, der gerade Probeklausuren schreibt
Paul T
iOS-Nutzer
Die App ist sehr einfach zu bedienen und gut gestaltet. Ich habe bisher alles gefunden, wonach ich gesucht habe, und konnte viel aus den Präsentationen lernen! Ich werde die App definitiv für ein Schulprojekt nutzen! Und natürlich hilft sie auch sehr als Inspiration.
Stefan S
iOS-Nutzer
Diese App ist wirklich super. Es gibt so viele Lernzettel und Hilfen [...]. Mein Problemfach ist zum Beispiel Französisch und die App hat so viele Möglichkeiten zur Hilfe. Dank dieser App habe ich mich in Französisch verbessert. Ich würde sie jedem empfehlen.
Samantha Klich
Android-Nutzerin
Wow, ich bin wirklich begeistert. Ich habe die App einfach mal ausprobiert, weil ich sie schon oft beworben gesehen habe und war absolut beeindruckt. Diese App ist DIE HILFE, die man für die Schule braucht und vor allem bietet sie so viele Dinge wie Übungen und Lernzettel, die mir persönlich SEHR geholfen haben.
Anna
iOS-Nutzerin
Beste App der Welt! Keine Worte, weil sie einfach zu gut ist
Thomas R
iOS-Nutzer
Einfach genial. Lässt mich 10x besser lernen, diese App ist eine glatte 10/10. Ich empfehle sie jedem. Ich kann Lernzettel anschauen und suchen. Ich kann sie im Fachordner speichern. Ich kann sie jederzeit wiederholen, wenn ich zurückkomme. Wenn du diese App noch nicht ausprobiert hast, verpasst du wirklich was.
Basil
Android-Nutzer
Diese App hat mich so viel selbstbewusster in meiner Klausurvorbereitung gemacht, nicht nur durch die Stärkung meines Selbstvertrauens durch die Features, die es dir ermöglichen, dich mit anderen zu vernetzen und dich weniger allein zu fühlen, sondern auch durch die Art, wie die App selbst darauf ausgerichtet ist, dass du dich besser fühlst. Sie ist einfach zu bedienen, macht Spaß und hilft jedem, der in irgendeiner Weise Schwierigkeiten hat.
David K
iOS-Nutzer
Die App ist einfach super! Ich muss nur das Thema in die Suche eingeben und bekomme sofort eine Antwort. Ich muss nicht mehr 10 YouTube-Videos schauen, um etwas zu verstehen, und spare dadurch richtig viel Zeit. Sehr empfehlenswert!
Sudenaz Ocak
Android-Nutzerin
In der Schule war ich echt schlecht in Mathe, aber dank der App bin ich jetzt besser geworden. Ich bin so dankbar, dass ihr die App gemacht habt.
Greenlight Bonnie
Android-Nutzerin
sehr zuverlässige App, um deine Ideen in Mathe, Englisch und anderen verwandten Themen zu verbessern. bitte nutze diese App, wenn du in bestimmten Bereichen Schwierigkeiten hast, diese App ist dafür der Schlüssel. wünschte, ich hätte früher eine Bewertung geschrieben. und sie ist auch kostenlos, also mach dir darüber keine Sorgen.
Rohan U
Android-Nutzer
Ich weiß, dass viele Apps gefälschte Accounts nutzen, um ihre Bewertungen zu pushen, aber diese App verdient das alles. Ursprünglich hatte ich eine 4 in meinen Englisch-Klausuren und dieses Mal habe ich eine 2 bekommen. Ich wusste erst drei Tage vor der Klausur von dieser App und sie hat mir SEHR geholfen. Bitte vertrau mir wirklich und nutze sie, denn ich bin sicher, dass auch du Fortschritte sehen wirst.
Xander S
iOS-Nutzer
DIE QUIZZE UND KARTEIKARTEN SIND SO NÜTZLICH UND ICH LIEBE Knowunity KI. ES IST AUCH BUCHSTÄBLICH WIE CHATGPT ABER SCHLAUER!! HAT MIR AUCH BEI MEINEN MASCARA-PROBLEMEN GEHOLFEN!! SOWIE BEI MEINEN ECHTEN FÄCHERN! NATÜRLICH 😍😁😲🤑💗✨🎀😮
Elisha
iOS-Nutzer
Diese App ist echt der Hammer. Ich finde Lernen so langweilig, aber diese App macht es so einfach, alles zu organisieren und dann kannst du die kostenlose KI bitten, dich abzufragen, so gut, und du kannst einfach deine eigenen Sachen hochladen. sehr empfehlenswert als jemand, der gerade Probeklausuren schreibt
Paul T
iOS-Nutzer
Jill
@jillivanilli
Diese Klausur aus dem Pädagogik-Grundkurs zeigt dir, wie du eine Textanalyse zu Sozialisation und Enkulturation während Corona angehst. Du lernst hier die wichtigsten Konzepte der Erziehungswissenschaft und wie du sie auf aktuelle Probleme anwendest.

Zugriff auf alle Dokumente
Verbessere deine Noten
Schließ dich Millionen Schülern an
Diese Pädagogik-Klausur behandelt vier zentrale Konzepte: Kulturanthropologie, Sozialisation, Personalisation und Enkulturation. Als Grundlage dient ein Zeitungsartikel über die Schulöffnungen während Corona.
Die Klausur ist in drei Teile gegliedert. Zuerst sollst du die Positionen zweier Mütter zur Schulpflicht während der Pandemie strukturiert darstellen. Dann analysierst du diese Positionen mithilfe pädagogischer Theorien. Zum Schluss nimmst du selbst Stellung zu den Corona-Maßnahmen an Schulen.
Tipp: Achte darauf, dass du bei jeder Aufgabe Textbelege verwendest und die Fachbegriffe korrekt anwendest.

Zugriff auf alle Dokumente
Verbessere deine Noten
Schließ dich Millionen Schülern an
Der Erwartungshorizont zeigt dir genau, was die Lehrkraft sehen will. Bei Aufgabe 1 musst du eine ordentliche Einleitung mit Autor, Quelle und Datum schreiben. Dann stellst du die Hauptpositionen strukturiert dar.
Die Bewertung erfolgt nach Punkten: 80 Punkte für den Inhalt und 20 Punkte für die sprachliche Darstellung. Du brauchst präzise Fachsprache und klare Textbelege.
Merke dir: Eine gute Klausur zeigt nicht nur, dass du den Text verstanden hast, sondern auch, dass du pädagogische Theorien anwenden kannst.

Zugriff auf alle Dokumente
Verbessere deine Noten
Schließ dich Millionen Schülern an
Neuronale Fenster sind spezielle Lernphasen, in denen das Gehirn bestimmte Fähigkeiten besonders gut entwickeln kann. Werden diese verpasst, entstehen oft lebenslange Einschränkungen bei Sprache, Motorik oder emotionaler Entwicklung.
Die drei wichtigsten Entwicklungsprozesse sind: Sozialisation (Erlernen gesellschaftlicher Normen), Enkulturation (Aufnahme kultureller Werte) und Personalisation (Entwicklung zur eigenständigen Persönlichkeit). Schulen spielen dabei eine zentrale Rolle.
Während Corona war besonders problematisch, dass Kinder diese wichtigen sozialen Lernräume verloren haben. Primärsozialisation bis zum 6. Lebensjahr und Sekundärsozialisation danach brauchen Gemeinschaftserfahrungen.
Wichtig: Bildungseinrichtungen können durch nichts vollständig ersetzt werden - sie sind für die gesunde Entwicklung unverzichtbar.

Zugriff auf alle Dokumente
Verbessere deine Noten
Schließ dich Millionen Schülern an
Bei der Stellungnahme musst du das Spannungsverhältnis zwischen Gesundheitsschutz und Bildungsrecht erkennen. Verschiedene Familien bewerten die Prioritäten unterschiedlich, je nach ihrer Lebenssituation.
Konkrete Lösungsvorschläge könnten sein: Schulen so lange wie möglich offen halten, weil soziale Kontakte für die Entwicklung essentiell sind. Gleichzeitig müssen klare Richtwerte für Schließungen definiert werden, wenn das Gesundheitsrisiko zu hoch wird.
Dein Fazit sollte eine begründete Position enthalten. Zum Beispiel: Bildung hat Vorrang und darf nur als allerletzte Option eingeschränkt werden.
Denk daran: Eine gute Stellungnahme zeigt verschiedene Perspektiven auf und begründet die eigene Position mit Fachwissen.

Zugriff auf alle Dokumente
Verbessere deine Noten
Schließ dich Millionen Schülern an
Die Schülerin Jill zeigt in ihrer Antwort, wie eine strukturierte Textanalyse aussehen sollte. Sie beginnt mit einer korrekten Einleitung, die alle wichtigen Angaben enthält: Titel, Autoren, Quelle und Datum.
Frau Cerdas Position: Sie hält ihre Kinder trotz Schulpflicht zu Hause, lässt sie krankschreiben und kritisiert das Fehlen von Hybridunterricht. Sie will selbst entscheiden dürfen, ob ihre Kinder zur Schule gehen.
Frau Wenzels Gegenposition: Sie betont das Recht auf Bildung und die Wichtigkeit sozialer Kontakte außerhalb der Familie. Schulen formen gesellschaftsfähige Menschen und Homeschooling benachteiligt sozial schwächere Familien.
Beachte: Jill hätte noch mehr Textbelege verwenden sollen, aber ihre Struktur und Argumentation sind vorbildlich.

Zugriff auf alle Dokumente
Verbessere deine Noten
Schließ dich Millionen Schülern an
Soziale Auswirkungen stehen im Zentrum beider Positionen. Wenzel argumentiert, dass Schulen als "Lebensorte" unverzichtbar sind und Kinder zu gesellschaftsfähigen Menschen formen. Homeschooling kann die Psyche schädigen.
Beide Mütter erkennen an, dass ihren Kindern soziale Kontakte fehlen. Wenzel beobachtet sogar Verhaltensänderungen bei ihren Kindern, die auf die belastende Situation zurückzuführen sind.
Gesellschaftliche Verantwortung ist ein Schlüsselargument: Laut Wenzel muss die Gesellschaft dafür sorgen, dass es Kindern gut geht - das geht über individuelle Familienentscheidungen hinaus.
Wichtiger Hinweis: In Klausuren musst du alle indirekten Zitate mit Belegen versehen - das hat Jill teilweise vergessen, obwohl ihre Analyse inhaltlich sehr gut war.

Zugriff auf alle Dokumente
Verbessere deine Noten
Schließ dich Millionen Schülern an

Zugriff auf alle Dokumente
Verbessere deine Noten
Schließ dich Millionen Schülern an

Zugriff auf alle Dokumente
Verbessere deine Noten
Schließ dich Millionen Schülern an

Zugriff auf alle Dokumente
Verbessere deine Noten
Schließ dich Millionen Schülern an
Unser KI-Begleiter ist ein speziell für Schüler entwickeltes KI-Tool, das mehr als nur Antworten bietet. Basierend auf Millionen von Knowunity-Inhalten liefert er relevante Informationen, personalisierte Lernpläne, Quizze und Inhalte direkt im Chat und passt sich deinem individuellen Lernweg an.
Du kannst die App im Google Play Store und im Apple App Store herunterladen.
Genau! Genieße kostenlosen Zugang zu Lerninhalten, vernetze dich mit anderen Schülern und hol dir sofortige Hilfe – alles direkt auf deinem Handy.
71
Smart Tools NEU
Verwandle diesen Lernzettel in: ✓ 50+ Übungsfragen ✓ Interaktive Karteikarten ✓ Komplette Probeklausur ✓ Aufsatzgliederungen
Erforschen Sie die Konzepte des symbolischen Interaktionismus und die Rolle von 'Self', 'I' und 'Me' in der Identitätsbildung. Diese Zusammenfassung bietet einen Überblick über die Theorien von George Herbert Mead, einschließlich der Rolle von sozialen Interaktionen, Rollenspiel und der Entwicklung von Empathiefähigkeit. Ideal für Studierende der Sozialwissenschaften und Psychologie, die sich mit Identität und sozialer Interaktion beschäftigen.
Dieser Lernzettel bietet eine umfassende Analyse der Identitätsentwicklung nach Klaus Hurrelmann. Er behandelt zentrale Konzepte wie Entwicklungsaufgaben, Selbstidentität und die Rolle von Sozialisationsinstanzen in der psychosozialen Entwicklung von Kindern und Jugendlichen. Ideal für Studierende der Sozial- und Bildungswissenschaften, die sich mit der Theorie der Individualisierung und den Herausforderungen der Persönlichkeitsentwicklung auseinandersetzen.
Entdecke das Modell der produktiven Realitätsverarbeitung nach Hurrelmann. Diese Übersicht behandelt die Synthese von innerer und äußerer Realität in der Identitätsentwicklung von Jugendlichen. Erlerne die Rolle von sozialen Einflüssen, Entwicklungsaufgaben und Problemlösungsstrategien. Ideal für Schüler und Studierende, die sich mit Identitätsbildung und Sozialisationsprozessen auseinandersetzen.
Diese Zusammenfassung beleuchtet die zentralen Funktionen von Schulen nach Helmut Fend, einschließlich der Enkulturations-, Qualifikations-, Allokations- und Integrationsfunktionen. Sie diskutiert die Herausforderungen und Entwicklungen im Bildungssystem sowie die Bedeutung von Bildung als Bürgerrecht in einer sich wandelnden Gesellschaft. Ideal für Studierende der Bildungswissenschaften und Sozialwissenschaften.
Erforschen Sie die zentralen Funktionen der Schule nach Helmut Fend und Wolfgang Klafki. Diese Präsentation behandelt die Aspekte der Enkulturation, Qualifikation, Allokation und Integration sowie deren pädagogische Konsequenzen. Entdecken Sie die drei Grundfähigkeiten und die damit verbundenen Momente der Bildung. Ideal für Studierende der Erziehungswissenschaften und Pädagogik.
Erforschen Sie die zentralen Konzepte des symbolischen Interaktionismus und die Identitätsbildung nach George Herbert Mead. Diese Zusammenfassung behandelt die Rollen von 'I', 'Me', 'Mind' und 'Self' sowie deren Einfluss auf die soziale Interaktion und Identität. Ideal für Abiturienten und Studierende, die sich auf Klausuren vorbereiten.
App Store
Google Play
Die App ist sehr einfach zu bedienen und gut gestaltet. Ich habe bisher alles gefunden, wonach ich gesucht habe, und konnte viel aus den Präsentationen lernen! Ich werde die App definitiv für ein Schulprojekt nutzen! Und natürlich hilft sie auch sehr als Inspiration.
Stefan S
iOS-Nutzer
Diese App ist wirklich super. Es gibt so viele Lernzettel und Hilfen [...]. Mein Problemfach ist zum Beispiel Französisch und die App hat so viele Möglichkeiten zur Hilfe. Dank dieser App habe ich mich in Französisch verbessert. Ich würde sie jedem empfehlen.
Samantha Klich
Android-Nutzerin
Wow, ich bin wirklich begeistert. Ich habe die App einfach mal ausprobiert, weil ich sie schon oft beworben gesehen habe und war absolut beeindruckt. Diese App ist DIE HILFE, die man für die Schule braucht und vor allem bietet sie so viele Dinge wie Übungen und Lernzettel, die mir persönlich SEHR geholfen haben.
Anna
iOS-Nutzerin
Beste App der Welt! Keine Worte, weil sie einfach zu gut ist
Thomas R
iOS-Nutzer
Einfach genial. Lässt mich 10x besser lernen, diese App ist eine glatte 10/10. Ich empfehle sie jedem. Ich kann Lernzettel anschauen und suchen. Ich kann sie im Fachordner speichern. Ich kann sie jederzeit wiederholen, wenn ich zurückkomme. Wenn du diese App noch nicht ausprobiert hast, verpasst du wirklich was.
Basil
Android-Nutzer
Diese App hat mich so viel selbstbewusster in meiner Klausurvorbereitung gemacht, nicht nur durch die Stärkung meines Selbstvertrauens durch die Features, die es dir ermöglichen, dich mit anderen zu vernetzen und dich weniger allein zu fühlen, sondern auch durch die Art, wie die App selbst darauf ausgerichtet ist, dass du dich besser fühlst. Sie ist einfach zu bedienen, macht Spaß und hilft jedem, der in irgendeiner Weise Schwierigkeiten hat.
David K
iOS-Nutzer
Die App ist einfach super! Ich muss nur das Thema in die Suche eingeben und bekomme sofort eine Antwort. Ich muss nicht mehr 10 YouTube-Videos schauen, um etwas zu verstehen, und spare dadurch richtig viel Zeit. Sehr empfehlenswert!
Sudenaz Ocak
Android-Nutzerin
In der Schule war ich echt schlecht in Mathe, aber dank der App bin ich jetzt besser geworden. Ich bin so dankbar, dass ihr die App gemacht habt.
Greenlight Bonnie
Android-Nutzerin
sehr zuverlässige App, um deine Ideen in Mathe, Englisch und anderen verwandten Themen zu verbessern. bitte nutze diese App, wenn du in bestimmten Bereichen Schwierigkeiten hast, diese App ist dafür der Schlüssel. wünschte, ich hätte früher eine Bewertung geschrieben. und sie ist auch kostenlos, also mach dir darüber keine Sorgen.
Rohan U
Android-Nutzer
Ich weiß, dass viele Apps gefälschte Accounts nutzen, um ihre Bewertungen zu pushen, aber diese App verdient das alles. Ursprünglich hatte ich eine 4 in meinen Englisch-Klausuren und dieses Mal habe ich eine 2 bekommen. Ich wusste erst drei Tage vor der Klausur von dieser App und sie hat mir SEHR geholfen. Bitte vertrau mir wirklich und nutze sie, denn ich bin sicher, dass auch du Fortschritte sehen wirst.
Xander S
iOS-Nutzer
DIE QUIZZE UND KARTEIKARTEN SIND SO NÜTZLICH UND ICH LIEBE Knowunity KI. ES IST AUCH BUCHSTÄBLICH WIE CHATGPT ABER SCHLAUER!! HAT MIR AUCH BEI MEINEN MASCARA-PROBLEMEN GEHOLFEN!! SOWIE BEI MEINEN ECHTEN FÄCHERN! NATÜRLICH 😍😁😲🤑💗✨🎀😮
Elisha
iOS-Nutzer
Diese App ist echt der Hammer. Ich finde Lernen so langweilig, aber diese App macht es so einfach, alles zu organisieren und dann kannst du die kostenlose KI bitten, dich abzufragen, so gut, und du kannst einfach deine eigenen Sachen hochladen. sehr empfehlenswert als jemand, der gerade Probeklausuren schreibt
Paul T
iOS-Nutzer
Die App ist sehr einfach zu bedienen und gut gestaltet. Ich habe bisher alles gefunden, wonach ich gesucht habe, und konnte viel aus den Präsentationen lernen! Ich werde die App definitiv für ein Schulprojekt nutzen! Und natürlich hilft sie auch sehr als Inspiration.
Stefan S
iOS-Nutzer
Diese App ist wirklich super. Es gibt so viele Lernzettel und Hilfen [...]. Mein Problemfach ist zum Beispiel Französisch und die App hat so viele Möglichkeiten zur Hilfe. Dank dieser App habe ich mich in Französisch verbessert. Ich würde sie jedem empfehlen.
Samantha Klich
Android-Nutzerin
Wow, ich bin wirklich begeistert. Ich habe die App einfach mal ausprobiert, weil ich sie schon oft beworben gesehen habe und war absolut beeindruckt. Diese App ist DIE HILFE, die man für die Schule braucht und vor allem bietet sie so viele Dinge wie Übungen und Lernzettel, die mir persönlich SEHR geholfen haben.
Anna
iOS-Nutzerin
Beste App der Welt! Keine Worte, weil sie einfach zu gut ist
Thomas R
iOS-Nutzer
Einfach genial. Lässt mich 10x besser lernen, diese App ist eine glatte 10/10. Ich empfehle sie jedem. Ich kann Lernzettel anschauen und suchen. Ich kann sie im Fachordner speichern. Ich kann sie jederzeit wiederholen, wenn ich zurückkomme. Wenn du diese App noch nicht ausprobiert hast, verpasst du wirklich was.
Basil
Android-Nutzer
Diese App hat mich so viel selbstbewusster in meiner Klausurvorbereitung gemacht, nicht nur durch die Stärkung meines Selbstvertrauens durch die Features, die es dir ermöglichen, dich mit anderen zu vernetzen und dich weniger allein zu fühlen, sondern auch durch die Art, wie die App selbst darauf ausgerichtet ist, dass du dich besser fühlst. Sie ist einfach zu bedienen, macht Spaß und hilft jedem, der in irgendeiner Weise Schwierigkeiten hat.
David K
iOS-Nutzer
Die App ist einfach super! Ich muss nur das Thema in die Suche eingeben und bekomme sofort eine Antwort. Ich muss nicht mehr 10 YouTube-Videos schauen, um etwas zu verstehen, und spare dadurch richtig viel Zeit. Sehr empfehlenswert!
Sudenaz Ocak
Android-Nutzerin
In der Schule war ich echt schlecht in Mathe, aber dank der App bin ich jetzt besser geworden. Ich bin so dankbar, dass ihr die App gemacht habt.
Greenlight Bonnie
Android-Nutzerin
sehr zuverlässige App, um deine Ideen in Mathe, Englisch und anderen verwandten Themen zu verbessern. bitte nutze diese App, wenn du in bestimmten Bereichen Schwierigkeiten hast, diese App ist dafür der Schlüssel. wünschte, ich hätte früher eine Bewertung geschrieben. und sie ist auch kostenlos, also mach dir darüber keine Sorgen.
Rohan U
Android-Nutzer
Ich weiß, dass viele Apps gefälschte Accounts nutzen, um ihre Bewertungen zu pushen, aber diese App verdient das alles. Ursprünglich hatte ich eine 4 in meinen Englisch-Klausuren und dieses Mal habe ich eine 2 bekommen. Ich wusste erst drei Tage vor der Klausur von dieser App und sie hat mir SEHR geholfen. Bitte vertrau mir wirklich und nutze sie, denn ich bin sicher, dass auch du Fortschritte sehen wirst.
Xander S
iOS-Nutzer
DIE QUIZZE UND KARTEIKARTEN SIND SO NÜTZLICH UND ICH LIEBE Knowunity KI. ES IST AUCH BUCHSTÄBLICH WIE CHATGPT ABER SCHLAUER!! HAT MIR AUCH BEI MEINEN MASCARA-PROBLEMEN GEHOLFEN!! SOWIE BEI MEINEN ECHTEN FÄCHERN! NATÜRLICH 😍😁😲🤑💗✨🎀😮
Elisha
iOS-Nutzer
Diese App ist echt der Hammer. Ich finde Lernen so langweilig, aber diese App macht es so einfach, alles zu organisieren und dann kannst du die kostenlose KI bitten, dich abzufragen, so gut, und du kannst einfach deine eigenen Sachen hochladen. sehr empfehlenswert als jemand, der gerade Probeklausuren schreibt
Paul T
iOS-Nutzer