BWL Abitur
BWL Abitur 2025, alle wichtigen Themen




















Wir dachten schon, du fragst nie...
Was ist der Knowunity KI-Begleiter?
Unser KI-Begleiter ist ein speziell für Schüler entwickeltes KI-Tool, das mehr als nur Antworten bietet. Basierend auf Millionen von Knowunity-Inhalten liefert er relevante Informationen, personalisierte Lernpläne, Quizze und Inhalte direkt im Chat und passt sich deinem individuellen Lernweg an.
Wo kann ich die Knowunity-App herunterladen?
Du kannst die App im Google Play Store und im Apple App Store herunterladen.
Ist Knowunity wirklich kostenlos?
Genau! Genieße kostenlosen Zugang zu Lerninhalten, vernetze dich mit anderen Schülern und hol dir sofortige Hilfe – alles direkt auf deinem Handy.
Beliebtester Inhalt: Gesamtkosten
9BWL Abitur Thema: Beschaffung und Lagerhaltung
Lernzettel zum Thema Beschaffung und Lagerhaltung für das Wirtschaftsabitur auf einem Wirtschaftsgymnasium in Baden Württemberg
BWL Investitionsrechnung 2023
Erfahren Sie alles über Vollkostenrechnung, Deckungsbeitragsrechnung, Kostenanalyse und dynamische Investitionsmethoden. Diese Zusammenfassung bietet eine klare Übersicht über die entscheidenden Konzepte der Kosten- und Leistungsrechnung sowie der Make-or-Buy-Entscheidungen. Ideal für Abiturienten, die sich auf die BWL-Prüfung vorbereiten.
Beschaffung
quantitativer - und Qualitativer Angebortsvergleich, Make or buy, Fremdbezug - und Eigenfertigung ,Gesamtkosten
Kostenrechnung Grundlagen
Erfahren Sie alles über die Grundlagen der Kostenrechnung, einschließlich Vollkosten- und Teilkostenrechnung, Deckungsbeitragsrechnung und der Make-or-Buy-Entscheidung. Diese Zusammenfassung bietet eine klare Übersicht über variable Kosten, Kostenanalyse und die wichtigsten Konzepte des internen Rechnungswesens. Ideal für Studierende der Betriebswirtschaftslehre.
Vollkostenrechnung Grundlagen
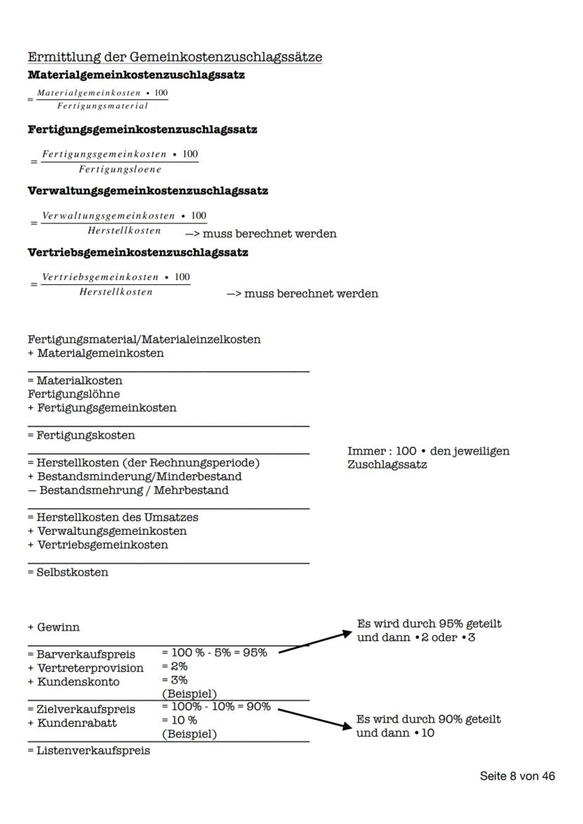
Entdecken Sie die wesentlichen Konzepte der Vollkostenrechnung, einschließlich der Berechnung von Selbstkosten, fixen und variablen Kosten, Gemeinkostenzuschlägen und Angebotspreisen. Diese Zusammenfassung bietet eine klare Übersicht über die wichtigsten Formeln und Methoden der Kostenrechnung, ideal für Schüler der 11. Klasse an der BOS.
Kostenrechnung Grundlagen
Erfahren Sie alles über die Kostenartenrechnung, einschließlich Einzel- und Gemeinkosten, fixe und variable Kosten, Mischkosten sowie deren Auflösung. Lernen Sie die Kosten- und Erlösfunktionen kennen und verstehen Sie die Konzepte der Gewinnschwelle und des Gewinnmaximums. Ideal für Studierende der Betriebswirtschaftslehre.
Kostenrechnung und Grenzkosten
Entdecke die Grundlagen der Kostenrechnung, einschließlich variabler und fixer Kosten, Grenzkosten und der Gewinnschwelle. Diese 4-seitige Übersicht bietet alle wichtigen Formeln und Konzepte für den Leistungskurs Wirtschaft/Recht, Klasse 11. Ideal für eine effektive Prüfungsvorbereitung.
Maschinenstundensatz & Kostentheorie
Entdecken Sie die Grundlagen der Maschinenstundensatzrechnung, Kostenträgerzeitrechnung und Kostentheorie. Dieser Lernzettel bietet eine umfassende Übersicht über die Berechnung von Maschinenlaufzeiten, Kostenarten und deren Einfluss auf die Wirtschaftlichkeit. Ideal für Studierende der Betriebswirtschaftslehre und Kostenrechnung.
Deckungsbeitrag Analyse
Erfahren Sie alles über die Deckungsbeitragsrechnung, einschließlich der Berechnung von fixen und variablen Kosten sowie der Beurteilung des Deckungsbeitragsatzes. Diese Zusammenfassung bietet wertvolle Einblicke für Kauffrauen und Kaufmänner im Büromanagement (LF 10).
Beliebtester Inhalt in Wirtschaft und Recht
9PoWi LK Abitur 2025 Hessen Q2 Konjunktur/NO WP, AO WP, Arbeitsmarkt und Traifpolitik
Alle Themen PoWi LK Abitur 2025 Hessen Q2. Konjunktur/Nachfrage, orientierte Wirtschaftspolitik von Keynes. Angebot orientierte Wirtschaftspolitik von Milton, Friedman und nachhaltiger Wirtschaftswachstum. Arbeitsmarkt und Tarifpolitik.
PoWi LK Abitur 2025 Hessen Q1 Verfassung, Partein, Medien
Alle Themen der PoWi LK Abitur 2025 Hessen Q1.
PoWi LK Abi 2025 Hessen Q1
PoWI Q1 Zusammenfassung, angepasst auf das Hessen Abi 2025
Strukturen der EU
Entdecken Sie die komplexen Strukturen und Institutionen der Europäischen Union. Diese Zusammenfassung behandelt die Geschichte, Verträge, Mitgliedstaaten, Kopenhagener Kriterien, Ziele und Werte, Zuständigkeitsbereiche sowie die Prinzipien des europäischen Rechts. Erfahren Sie mehr über das Demokratiedefizit und die Rolle der EU-Institutionen wie der Europäischen Kommission, des Europäischen Parlaments und des Europäischen Rates. Ideal für Studierende der Politikwissenschaft und Rechtswissenschaft.
PoWi LK Abitur 2025 Hessen Q3 Internationale Konflikte, Globalisierung, Weltumweltpolitik
Alle Themen PoWi LK Abitur 2025 Hessen Q3. internationale Konflikte, insbesondere Russland, Ukraine, Konflikt und Deutsche Außen- und Sicherheitspolitik. Globalisierung Vor- und Nachteile. Weltumweltpolitik mit den Akteur.
PoWi Lernzettel Abitur 2025 Hessen
Alle Themen der Q1-Q4
Wirtschaftspolitik im Überblick
Entdecken Sie die Grundlagen der Wirtschaftspolitik, einschließlich der Konzepte der Nachfrage- und Angebotstheorie, Fiskal- und Geldpolitik sowie der sozialen Marktwirtschaft. Diese Zusammenfassung bietet einen klaren Überblick über die wirtschaftspolitischen Instrumente, Ziele und Herausforderungen, die für das Verständnis der wirtschaftlichen Rahmenbedingungen entscheidend sind. Ideal für Studierende der Wirtschaftswissenschaften.
Wirtschaftspolitik Zusammenfassung 2023
Diese Zusammenfassung behandelt die zentralen Aspekte der Wirtschaftspolitik in Deutschland, einschließlich der Zielgrößen der gesamtwirtschaftlichen Entwicklung, der Konjunktur- und Wachstumstheorien sowie der Instrumente der Wirtschaftspolitik. Wichtige Themen sind das magische Viereck, die Rolle der Europäischen Zentralbank, Staatsverschuldung und die Wechselwirkungen zwischen Ökonomie und Ökologie. Ideal für Abiturienten im Fach Sozialwissenschaften.
Politik Abitur Niedersachsen 2023: Kerninhalte
Entdecken Sie die zentralen Themen für das Abitur in Niedersachsen 2023: Politische Partizipation, Soziale Marktwirtschaft, internationale Friedenssicherung und weltwirtschaftliche Verflechtungen. Diese Zusammenfassung bietet einen klaren Überblick über die wichtigsten Konzepte, darunter die Rolle des Staates, Wahlverfahren, Theorien internationaler Beziehungen und die Auswirkungen von Globalisierung. Ideal für die Prüfungsvorbereitung.
Beliebtester Inhalt
9Der zerbrochene Krug
Szenenzusammenfassunfen, Figurenkonstellationen, Aufbau des Stücks, Sprache und Stilbesonderheiten, Aussageabsicht, Thematik, Interpretation
Der zerbrochene Krug von Heinrich von Kleist
Hier steht so ziemlich alles drinnen von Zusammenfassungen der einzelnen Auftritte bis hin zu den einzelnen Perosn und noch einiges mehr
Der zerbrochne Krug
Ausführliche Lernzettel zu: Basisdaten, Handlung, ausführliche Zusammenfassungen der Auftritte, zentrale Themen, Symbolische Bedeutung, Merkmale der Komödie
Heimsuchung_JennyErpenbeck_Abitur
Zusammenfassungen für jedes Kapitel, Analysen und Zitate
Der zerbrochene Krug: Analyse
Diese umfassende Analyse von 'Der zerbrochene Krug' von Heinrich von Kleist bietet eine detaillierte Kapitelzusammenfassung, Charakterisierungen, historische Kontexte, sowie den Aufbau und die sprachlichen Merkmale des Dramas. Ideal für Studierende, die sich auf Prüfungen vorbereiten oder tiefere Einblicke in Kleists Werk gewinnen möchten.
Abilernzettel Heimsuchung 2025
Figurenkonstellation, Kapitel Zusammenfassung, Charaktere, Motive, Deutungsansätze,
Englisch LK Abitur 2025
Komplette Englisch LK Abi Zusammenfassung 2025
Heimsuchung - Jenny Erpenbeck
Inhalt, Entstehung und Quellen, Figuren, Geschichtliche Hintergründe, Motive, Erzählstruktur/- stil
ZP10 Mathe Zusammenfassung NRW
Lernzettel für die ZP10 Mathe in NRW mit allen Themen außer Sinusfunktionen.
Findest du nicht, was du suchst? Entdecke andere Fächer.
Schüler lieben uns — und du auch.
Die App ist sehr einfach zu bedienen und gut gestaltet. Ich habe bisher alles gefunden, wonach ich gesucht habe, und konnte viel aus den Präsentationen lernen! Ich werde die App definitiv für ein Schulprojekt nutzen! Und natürlich hilft sie auch sehr als Inspiration.
Diese App ist wirklich super. Es gibt so viele Lernzettel und Hilfen [...]. Mein Problemfach ist zum Beispiel Französisch und die App hat so viele Möglichkeiten zur Hilfe. Dank dieser App habe ich mich in Französisch verbessert. Ich würde sie jedem empfehlen.
Wow, ich bin wirklich begeistert. Ich habe die App einfach mal ausprobiert, weil ich sie schon oft beworben gesehen habe und war absolut beeindruckt. Diese App ist DIE HILFE, die man für die Schule braucht und vor allem bietet sie so viele Dinge wie Übungen und Lernzettel, die mir persönlich SEHR geholfen haben.
BWL Abitur
BWL Abitur 2025, alle wichtigen Themen

Melde dich an, um den Inhalt zu sehen. Kostenlos!
- Zugriff auf alle Dokumente
- Verbessere deine Noten
- Schließ dich Millionen Schülern an

Melde dich an, um den Inhalt zu sehen. Kostenlos!
- Zugriff auf alle Dokumente
- Verbessere deine Noten
- Schließ dich Millionen Schülern an

Melde dich an, um den Inhalt zu sehen. Kostenlos!
- Zugriff auf alle Dokumente
- Verbessere deine Noten
- Schließ dich Millionen Schülern an

Melde dich an, um den Inhalt zu sehen. Kostenlos!
- Zugriff auf alle Dokumente
- Verbessere deine Noten
- Schließ dich Millionen Schülern an

Melde dich an, um den Inhalt zu sehen. Kostenlos!
- Zugriff auf alle Dokumente
- Verbessere deine Noten
- Schließ dich Millionen Schülern an

Melde dich an, um den Inhalt zu sehen. Kostenlos!
- Zugriff auf alle Dokumente
- Verbessere deine Noten
- Schließ dich Millionen Schülern an

Melde dich an, um den Inhalt zu sehen. Kostenlos!
- Zugriff auf alle Dokumente
- Verbessere deine Noten
- Schließ dich Millionen Schülern an

Melde dich an, um den Inhalt zu sehen. Kostenlos!
- Zugriff auf alle Dokumente
- Verbessere deine Noten
- Schließ dich Millionen Schülern an

Melde dich an, um den Inhalt zu sehen. Kostenlos!
- Zugriff auf alle Dokumente
- Verbessere deine Noten
- Schließ dich Millionen Schülern an

Melde dich an, um den Inhalt zu sehen. Kostenlos!
- Zugriff auf alle Dokumente
- Verbessere deine Noten
- Schließ dich Millionen Schülern an
Wir dachten schon, du fragst nie...
Was ist der Knowunity KI-Begleiter?
Unser KI-Begleiter ist ein speziell für Schüler entwickeltes KI-Tool, das mehr als nur Antworten bietet. Basierend auf Millionen von Knowunity-Inhalten liefert er relevante Informationen, personalisierte Lernpläne, Quizze und Inhalte direkt im Chat und passt sich deinem individuellen Lernweg an.
Wo kann ich die Knowunity-App herunterladen?
Du kannst die App im Google Play Store und im Apple App Store herunterladen.
Ist Knowunity wirklich kostenlos?
Genau! Genieße kostenlosen Zugang zu Lerninhalten, vernetze dich mit anderen Schülern und hol dir sofortige Hilfe – alles direkt auf deinem Handy.
Beliebtester Inhalt: Gesamtkosten
9BWL Abitur Thema: Beschaffung und Lagerhaltung
Lernzettel zum Thema Beschaffung und Lagerhaltung für das Wirtschaftsabitur auf einem Wirtschaftsgymnasium in Baden Württemberg
BWL Investitionsrechnung 2023
Erfahren Sie alles über Vollkostenrechnung, Deckungsbeitragsrechnung, Kostenanalyse und dynamische Investitionsmethoden. Diese Zusammenfassung bietet eine klare Übersicht über die entscheidenden Konzepte der Kosten- und Leistungsrechnung sowie der Make-or-Buy-Entscheidungen. Ideal für Abiturienten, die sich auf die BWL-Prüfung vorbereiten.
Beschaffung
quantitativer - und Qualitativer Angebortsvergleich, Make or buy, Fremdbezug - und Eigenfertigung ,Gesamtkosten
Kostenrechnung Grundlagen
Erfahren Sie alles über die Grundlagen der Kostenrechnung, einschließlich Vollkosten- und Teilkostenrechnung, Deckungsbeitragsrechnung und der Make-or-Buy-Entscheidung. Diese Zusammenfassung bietet eine klare Übersicht über variable Kosten, Kostenanalyse und die wichtigsten Konzepte des internen Rechnungswesens. Ideal für Studierende der Betriebswirtschaftslehre.
Vollkostenrechnung Grundlagen
Entdecken Sie die wesentlichen Konzepte der Vollkostenrechnung, einschließlich der Berechnung von Selbstkosten, fixen und variablen Kosten, Gemeinkostenzuschlägen und Angebotspreisen. Diese Zusammenfassung bietet eine klare Übersicht über die wichtigsten Formeln und Methoden der Kostenrechnung, ideal für Schüler der 11. Klasse an der BOS.
Kostenrechnung Grundlagen
Erfahren Sie alles über die Kostenartenrechnung, einschließlich Einzel- und Gemeinkosten, fixe und variable Kosten, Mischkosten sowie deren Auflösung. Lernen Sie die Kosten- und Erlösfunktionen kennen und verstehen Sie die Konzepte der Gewinnschwelle und des Gewinnmaximums. Ideal für Studierende der Betriebswirtschaftslehre.
Kostenrechnung und Grenzkosten
Entdecke die Grundlagen der Kostenrechnung, einschließlich variabler und fixer Kosten, Grenzkosten und der Gewinnschwelle. Diese 4-seitige Übersicht bietet alle wichtigen Formeln und Konzepte für den Leistungskurs Wirtschaft/Recht, Klasse 11. Ideal für eine effektive Prüfungsvorbereitung.
Maschinenstundensatz & Kostentheorie
Entdecken Sie die Grundlagen der Maschinenstundensatzrechnung, Kostenträgerzeitrechnung und Kostentheorie. Dieser Lernzettel bietet eine umfassende Übersicht über die Berechnung von Maschinenlaufzeiten, Kostenarten und deren Einfluss auf die Wirtschaftlichkeit. Ideal für Studierende der Betriebswirtschaftslehre und Kostenrechnung.
Deckungsbeitrag Analyse
Erfahren Sie alles über die Deckungsbeitragsrechnung, einschließlich der Berechnung von fixen und variablen Kosten sowie der Beurteilung des Deckungsbeitragsatzes. Diese Zusammenfassung bietet wertvolle Einblicke für Kauffrauen und Kaufmänner im Büromanagement (LF 10).
Beliebtester Inhalt in Wirtschaft und Recht
9PoWi LK Abitur 2025 Hessen Q2 Konjunktur/NO WP, AO WP, Arbeitsmarkt und Traifpolitik
Alle Themen PoWi LK Abitur 2025 Hessen Q2. Konjunktur/Nachfrage, orientierte Wirtschaftspolitik von Keynes. Angebot orientierte Wirtschaftspolitik von Milton, Friedman und nachhaltiger Wirtschaftswachstum. Arbeitsmarkt und Tarifpolitik.
PoWi LK Abitur 2025 Hessen Q1 Verfassung, Partein, Medien
Alle Themen der PoWi LK Abitur 2025 Hessen Q1.
PoWi LK Abi 2025 Hessen Q1
PoWI Q1 Zusammenfassung, angepasst auf das Hessen Abi 2025
Strukturen der EU
Entdecken Sie die komplexen Strukturen und Institutionen der Europäischen Union. Diese Zusammenfassung behandelt die Geschichte, Verträge, Mitgliedstaaten, Kopenhagener Kriterien, Ziele und Werte, Zuständigkeitsbereiche sowie die Prinzipien des europäischen Rechts. Erfahren Sie mehr über das Demokratiedefizit und die Rolle der EU-Institutionen wie der Europäischen Kommission, des Europäischen Parlaments und des Europäischen Rates. Ideal für Studierende der Politikwissenschaft und Rechtswissenschaft.
PoWi LK Abitur 2025 Hessen Q3 Internationale Konflikte, Globalisierung, Weltumweltpolitik
Alle Themen PoWi LK Abitur 2025 Hessen Q3. internationale Konflikte, insbesondere Russland, Ukraine, Konflikt und Deutsche Außen- und Sicherheitspolitik. Globalisierung Vor- und Nachteile. Weltumweltpolitik mit den Akteur.
PoWi Lernzettel Abitur 2025 Hessen
Alle Themen der Q1-Q4
Wirtschaftspolitik im Überblick
Entdecken Sie die Grundlagen der Wirtschaftspolitik, einschließlich der Konzepte der Nachfrage- und Angebotstheorie, Fiskal- und Geldpolitik sowie der sozialen Marktwirtschaft. Diese Zusammenfassung bietet einen klaren Überblick über die wirtschaftspolitischen Instrumente, Ziele und Herausforderungen, die für das Verständnis der wirtschaftlichen Rahmenbedingungen entscheidend sind. Ideal für Studierende der Wirtschaftswissenschaften.
Wirtschaftspolitik Zusammenfassung 2023
Diese Zusammenfassung behandelt die zentralen Aspekte der Wirtschaftspolitik in Deutschland, einschließlich der Zielgrößen der gesamtwirtschaftlichen Entwicklung, der Konjunktur- und Wachstumstheorien sowie der Instrumente der Wirtschaftspolitik. Wichtige Themen sind das magische Viereck, die Rolle der Europäischen Zentralbank, Staatsverschuldung und die Wechselwirkungen zwischen Ökonomie und Ökologie. Ideal für Abiturienten im Fach Sozialwissenschaften.
Politik Abitur Niedersachsen 2023: Kerninhalte
Entdecken Sie die zentralen Themen für das Abitur in Niedersachsen 2023: Politische Partizipation, Soziale Marktwirtschaft, internationale Friedenssicherung und weltwirtschaftliche Verflechtungen. Diese Zusammenfassung bietet einen klaren Überblick über die wichtigsten Konzepte, darunter die Rolle des Staates, Wahlverfahren, Theorien internationaler Beziehungen und die Auswirkungen von Globalisierung. Ideal für die Prüfungsvorbereitung.
Beliebtester Inhalt
9Der zerbrochene Krug
Szenenzusammenfassunfen, Figurenkonstellationen, Aufbau des Stücks, Sprache und Stilbesonderheiten, Aussageabsicht, Thematik, Interpretation
Der zerbrochene Krug von Heinrich von Kleist
Hier steht so ziemlich alles drinnen von Zusammenfassungen der einzelnen Auftritte bis hin zu den einzelnen Perosn und noch einiges mehr
Der zerbrochne Krug
Ausführliche Lernzettel zu: Basisdaten, Handlung, ausführliche Zusammenfassungen der Auftritte, zentrale Themen, Symbolische Bedeutung, Merkmale der Komödie
Heimsuchung_JennyErpenbeck_Abitur
Zusammenfassungen für jedes Kapitel, Analysen und Zitate
Der zerbrochene Krug: Analyse
Diese umfassende Analyse von 'Der zerbrochene Krug' von Heinrich von Kleist bietet eine detaillierte Kapitelzusammenfassung, Charakterisierungen, historische Kontexte, sowie den Aufbau und die sprachlichen Merkmale des Dramas. Ideal für Studierende, die sich auf Prüfungen vorbereiten oder tiefere Einblicke in Kleists Werk gewinnen möchten.
Abilernzettel Heimsuchung 2025
Figurenkonstellation, Kapitel Zusammenfassung, Charaktere, Motive, Deutungsansätze,
Englisch LK Abitur 2025
Komplette Englisch LK Abi Zusammenfassung 2025
Heimsuchung - Jenny Erpenbeck
Inhalt, Entstehung und Quellen, Figuren, Geschichtliche Hintergründe, Motive, Erzählstruktur/- stil
ZP10 Mathe Zusammenfassung NRW
Lernzettel für die ZP10 Mathe in NRW mit allen Themen außer Sinusfunktionen.
Findest du nicht, was du suchst? Entdecke andere Fächer.
Schüler lieben uns — und du auch.
Die App ist sehr einfach zu bedienen und gut gestaltet. Ich habe bisher alles gefunden, wonach ich gesucht habe, und konnte viel aus den Präsentationen lernen! Ich werde die App definitiv für ein Schulprojekt nutzen! Und natürlich hilft sie auch sehr als Inspiration.
Diese App ist wirklich super. Es gibt so viele Lernzettel und Hilfen [...]. Mein Problemfach ist zum Beispiel Französisch und die App hat so viele Möglichkeiten zur Hilfe. Dank dieser App habe ich mich in Französisch verbessert. Ich würde sie jedem empfehlen.
Wow, ich bin wirklich begeistert. Ich habe die App einfach mal ausprobiert, weil ich sie schon oft beworben gesehen habe und war absolut beeindruckt. Diese App ist DIE HILFE, die man für die Schule braucht und vor allem bietet sie so viele Dinge wie Übungen und Lernzettel, die mir persönlich SEHR geholfen haben.