Du kennst das bestimmt: Du hörst deine Lieblingsmusik, während irgendwo... Mehr anzeigen
Melde dich an, um den Inhalt zu sehenKostenlos!
Zugriff auf alle Dokumente
Verbessere deine Noten
Schließ dich Millionen Schülern an
Knowunity KI
Fächer
Triangle Congruence and Similarity Theorems
Triangle Properties and Classification
Linear Equations and Graphs
Geometric Angle Relationships
Trigonometric Functions and Identities
Equation Solving Techniques
Circle Geometry Fundamentals
Division Operations and Methods
Basic Differentiation Rules
Exponent and Logarithm Properties
Alle Themen anzeigen
Human Organ Systems
Reproductive Cell Cycles
Biological Sciences Subdisciplines
Cellular Energy Metabolism
Autotrophic Energy Processes
Inheritance Patterns and Principles
Biomolecular Structure and Organization
Cell Cycle and Division Mechanics
Cellular Organization and Development
Biological Structural Organization
Alle Themen anzeigen
Chemical Sciences and Applications
Atomic Structure and Composition
Molecular Electron Structure Representation
Atomic Electron Behavior
Matter Properties and Water
Mole Concept and Calculations
Gas Laws and Behavior
Periodic Table Organization
Chemical Thermodynamics Fundamentals
Chemical Bond Types and Properties
Alle Themen anzeigen
European Renaissance and Enlightenment
European Cultural Movements 800-1920
American Revolution Era 1763-1797
American Civil War 1861-1865
Global Imperial Systems
Mongol and Chinese Dynasties
U.S. Presidents and World Leaders
Historical Sources and Documentation
World Wars Era and Impact
World Religious Systems
Alle Themen anzeigen
Classic and Contemporary Novels
Literary Character Analysis
Rhetorical Theory and Practice
Classic Literary Narratives
Reading Analysis and Interpretation
Narrative Structure and Techniques
English Language Components
Influential English-Language Authors
Basic Sentence Structure
Narrative Voice and Perspective
Alle Themen anzeigen
2,457
•
Aktualisiert May 3, 2026
•
Victoria 🎀
@victoria_167
Du kennst das bestimmt: Du hörst deine Lieblingsmusik, während irgendwo... Mehr anzeigen










Bei dieser Gedichtinterpretation sollst du systematisch vorgehen und verschiedene Aspekte beleuchten. Zunächst analysierst du Thema, Inhalt und formalen Aufbau des Gedichts.
Der Hauptteil fokussiert sich auf die Sichtweise des Sprechers zum Verhältnis zwischen Alltag und Weltpolitik. Hier untersuchst du, wie der Autor diese beiden Ebenen miteinander verknüpft.
Anschließend analysierst du die sprachlichen Gestaltungsmittel und ihre Wirkung. Zum Schluss deutest du das Gedicht zusammenfassend und nimmst Stellung zur Überschrift "Unpolitische Vorlieben".
Tipp: Strukturiere deine Interpretation klar nach den vorgegebenen Punkten - das hilft dir, nichts Wichtiges zu vergessen!

Hans Magnus Enzensberger stellt in seinem Gedicht von 1999 alltägliche Szenen großen politischen Ereignissen gegenüber. Eine Cellistin lächelt nach ihrem Musikstück, obwohl gerade der Sicherheitsrat tagt.
Das Gedicht zeigt fünf verschiedene Situationen: eine sich schminkende Frau in Kriegstrümmern, ein streitendes altes Ehepaar während Friedensverhandlungen, ein weinendes Dienstmädchen wegen einer zerbrochenen Tasse zur Zeit einer Wirtschaftskrise. Die letzte Strophe beschreibt ein Liebespaar, das völlig in seiner Welt aufgeht.
Jede Szene wird mit dem Wort "obwohl" eingeleitet, das den Kontrast zwischen privatem Leben und Weltgeschehen betont. Das Gedicht endet bewusst offen mit einem einzelnen "obwohl".
Merke: Die Struktur des Gedichts mit den wiederkehrenden "obwohl"-Sätzen ist der Schlüssel zum Verständnis der Aussage!

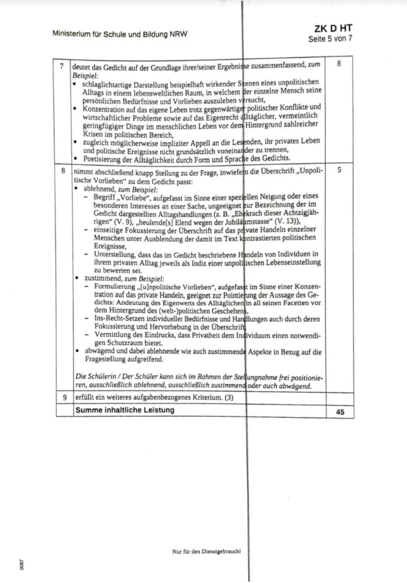
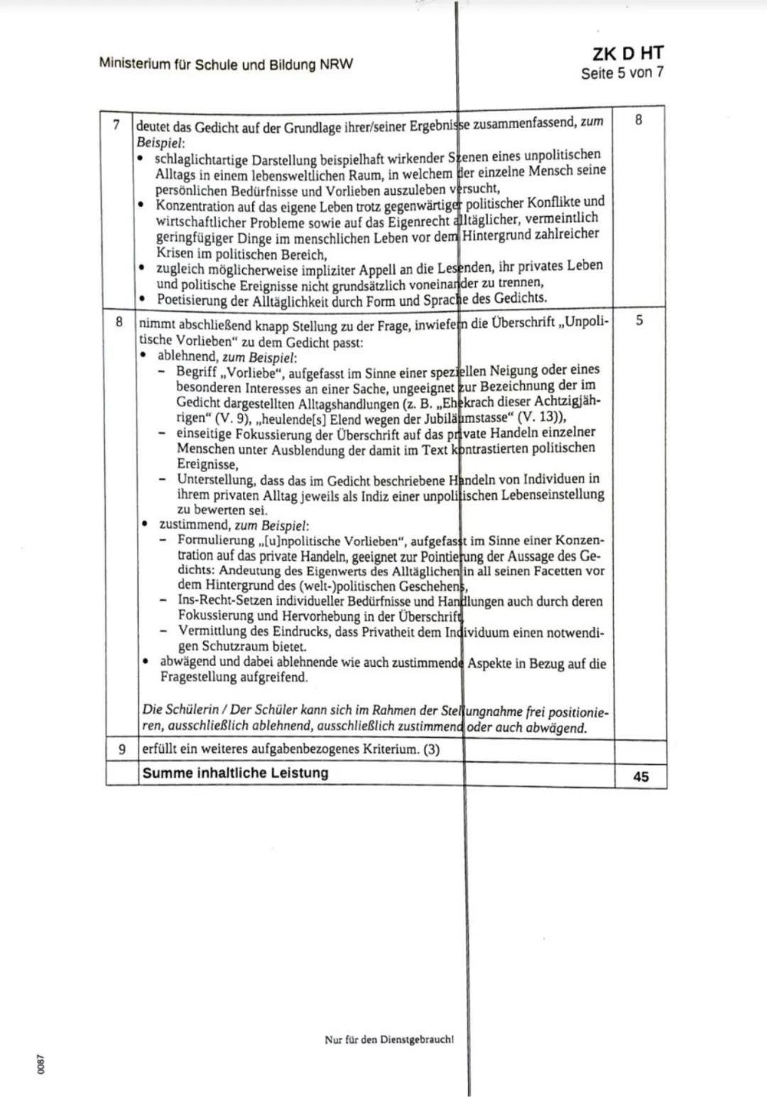
Die Schülerarbeit identifiziert das Gedicht korrekt als postmodernes Werk, das alltägliche Freuden und Sorgen thematisiert, während im Hintergrund weltpolitische Ereignisse ablaufen. Die Deutungshypothese besagt, dass menschliches Leben trotz politischer Krisen seine eigene Bedeutung behält.
Der formale Aufbau wird richtig erkannt: fünf Strophen, wobei die ersten vier jeweils vier Verse haben und die letzte anders strukturiert ist. Das Gedicht verzichtet auf festes Reimschema, was die Darstellung der politischen Ereignisse verstärkt.
Die Analyse zeigt, dass freie Verse verwendet werden, um den Leser zum Nachdenken anzuregen. Es gibt keine regelmäßigen Metren und Kadenzen.
Wichtig: Die Schülerin erkennt den Zusammenhang zwischen Form und Inhalt - das zeigt tieferes Textverständnis!

Jede Strophe kontrastiert eine alltägliche Szene mit einem bedeutenden politischen Ereignis. Die erste Strophe zeigt das "kleine Lächeln der Cellistin" während einer Sicherheitsratssitzung.
Die zweite Strophe beschreibt eine Frau, die sich in den Trümmern ihrer Wohnküche schminkt, während im Regierungsviertel geschossen wird. Die dritte zeigt ein älteres Paar, das über Katzenhaare streitet, obwohl wichtige Friedensverhandlungen stattfinden.
In der vierten Strophe wird das "heulende Elend" eines Dienstmädchens wegen einer zerbrochenen Jubiläumstasse geschildert, während der Internationale Währungsfonds einen Kredit verweigert. Die letzte Strophe beschreibt ein leidenschaftliches Liebespaar, dessen Erlebnis im Gegensatz zu den politischen Ereignissen steht.
Beachte: Der Sprecher zeigt, dass persönliche Erlebnisse und Gefühle genauso wichtig sind wie große politische Ereignisse!

Der Autor verwendet verschiedene formale und sprachliche Gestaltungsmittel, um die Wirkung des Gedichts zu verstärken. Die Wiederholung des Wortes "obwohl" strukturiert das Gedicht und betont die Unterschiede zwischen alltäglichen und politischen Geschehen.
Man kann von einer Antithese sprechen, da jede Strophe Gegensätze zueinander stellt. Enjambements (Zeilenumbrüche innerhalb eines Satzes) unterbreichen den Lesefluss und verstärken den Inhalt, während sie Spannung aufbauen.
Auffällig ist, dass alltägliche Geschehnisse oft in emotionaler Sprache beschrieben werden, während politische Ereignisse in formaler Sprache dargestellt werden. Der Autor nutzt bildhafte Sprache mit Metaphern wie "kleine Lächeln der Cellistin" oder "das heulende Elend".
Analysiere genau: Die verschiedenen Sprachebenen (emotional vs. sachlich) verstärken den Kontrast zwischen Privatleben und Politik!

Zusammenfassend lässt sich sagen, dass der Autor durch den Aufbau des Gedichts die Leserschaft zum Nachdenken anregt. Die Deutungshypothese, dass das menschliche Leben trotz Krisen und Konflikte seine Bedeutung behält, wird durch die Analyse bestätigt.
Die Überschrift "Unpolitische Vorlieben" passt gut zu dem Gedicht, da sie die Thematik der alltäglichen und scheinbar unpolitischen Momente perfekt beschreibt. Sie zeigt, wie Menschen ihre persönlichen Bedürfnisse auch in politisch turbulenten Zeiten ausleben.
Das Gedicht verdeutlicht die Ironie, dass Menschen ihre alltäglichen Sorgen trotz weltpolitischer Geschehen weiterhin erleben. Diese scheinbare Gleichgültigkeit gegenüber großen Ereignissen wird durch elliptische Sätze und offene Enden verstärkt.
Denk daran: Die Überschrift ist mehrdeutig - sie kann sowohl kritisch als auch anerkennend interpretiert werden!



Unser KI-Begleiter ist ein speziell für Schüler entwickeltes KI-Tool, das mehr als nur Antworten bietet. Basierend auf Millionen von Knowunity-Inhalten liefert er relevante Informationen, personalisierte Lernpläne, Quizze und Inhalte direkt im Chat und passt sich deinem individuellen Lernweg an.
Du kannst die App im Google Play Store und im Apple App Store herunterladen.
Genau! Genieße kostenlosen Zugang zu Lerninhalten, vernetze dich mit anderen Schülern und hol dir sofortige Hilfe – alles direkt auf deinem Handy.
App Store
Google Play
Die App ist sehr einfach zu bedienen und gut gestaltet. Ich habe bisher alles gefunden, wonach ich gesucht habe, und konnte viel aus den Präsentationen lernen! Ich werde die App definitiv für ein Schulprojekt nutzen! Und natürlich hilft sie auch sehr als Inspiration.
Stefan S
iOS-Nutzer
Diese App ist wirklich super. Es gibt so viele Lernzettel und Hilfen [...]. Mein Problemfach ist zum Beispiel Französisch und die App hat so viele Möglichkeiten zur Hilfe. Dank dieser App habe ich mich in Französisch verbessert. Ich würde sie jedem empfehlen.
Samantha Klich
Android-Nutzerin
Wow, ich bin wirklich begeistert. Ich habe die App einfach mal ausprobiert, weil ich sie schon oft beworben gesehen habe und war absolut beeindruckt. Diese App ist DIE HILFE, die man für die Schule braucht und vor allem bietet sie so viele Dinge wie Übungen und Lernzettel, die mir persönlich SEHR geholfen haben.
Anna
iOS-Nutzerin
Beste App der Welt! Keine Worte, weil sie einfach zu gut ist
Thomas R
iOS-Nutzer
Einfach genial. Lässt mich 10x besser lernen, diese App ist eine glatte 10/10. Ich empfehle sie jedem. Ich kann Lernzettel anschauen und suchen. Ich kann sie im Fachordner speichern. Ich kann sie jederzeit wiederholen, wenn ich zurückkomme. Wenn du diese App noch nicht ausprobiert hast, verpasst du wirklich was.
Basil
Android-Nutzer
Diese App hat mich so viel selbstbewusster in meiner Klausurvorbereitung gemacht, nicht nur durch die Stärkung meines Selbstvertrauens durch die Features, die es dir ermöglichen, dich mit anderen zu vernetzen und dich weniger allein zu fühlen, sondern auch durch die Art, wie die App selbst darauf ausgerichtet ist, dass du dich besser fühlst. Sie ist einfach zu bedienen, macht Spaß und hilft jedem, der in irgendeiner Weise Schwierigkeiten hat.
David K
iOS-Nutzer
Die App ist einfach super! Ich muss nur das Thema in die Suche eingeben und bekomme sofort eine Antwort. Ich muss nicht mehr 10 YouTube-Videos schauen, um etwas zu verstehen, und spare dadurch richtig viel Zeit. Sehr empfehlenswert!
Sudenaz Ocak
Android-Nutzerin
In der Schule war ich echt schlecht in Mathe, aber dank der App bin ich jetzt besser geworden. Ich bin so dankbar, dass ihr die App gemacht habt.
Greenlight Bonnie
Android-Nutzerin
sehr zuverlässige App, um deine Ideen in Mathe, Englisch und anderen verwandten Themen zu verbessern. bitte nutze diese App, wenn du in bestimmten Bereichen Schwierigkeiten hast, diese App ist dafür der Schlüssel. wünschte, ich hätte früher eine Bewertung geschrieben. und sie ist auch kostenlos, also mach dir darüber keine Sorgen.
Rohan U
Android-Nutzer
Ich weiß, dass viele Apps gefälschte Accounts nutzen, um ihre Bewertungen zu pushen, aber diese App verdient das alles. Ursprünglich hatte ich eine 4 in meinen Englisch-Klausuren und dieses Mal habe ich eine 2 bekommen. Ich wusste erst drei Tage vor der Klausur von dieser App und sie hat mir SEHR geholfen. Bitte vertrau mir wirklich und nutze sie, denn ich bin sicher, dass auch du Fortschritte sehen wirst.
Xander S
iOS-Nutzer
DIE QUIZZE UND KARTEIKARTEN SIND SO NÜTZLICH UND ICH LIEBE Knowunity KI. ES IST AUCH BUCHSTÄBLICH WIE CHATGPT ABER SCHLAUER!! HAT MIR AUCH BEI MEINEN MASCARA-PROBLEMEN GEHOLFEN!! SOWIE BEI MEINEN ECHTEN FÄCHERN! NATÜRLICH 😍😁😲🤑💗✨🎀😮
Elisha
iOS-Nutzer
Diese App ist echt der Hammer. Ich finde Lernen so langweilig, aber diese App macht es so einfach, alles zu organisieren und dann kannst du die kostenlose KI bitten, dich abzufragen, so gut, und du kannst einfach deine eigenen Sachen hochladen. sehr empfehlenswert als jemand, der gerade Probeklausuren schreibt
Paul T
iOS-Nutzer
Die App ist sehr einfach zu bedienen und gut gestaltet. Ich habe bisher alles gefunden, wonach ich gesucht habe, und konnte viel aus den Präsentationen lernen! Ich werde die App definitiv für ein Schulprojekt nutzen! Und natürlich hilft sie auch sehr als Inspiration.
Stefan S
iOS-Nutzer
Diese App ist wirklich super. Es gibt so viele Lernzettel und Hilfen [...]. Mein Problemfach ist zum Beispiel Französisch und die App hat so viele Möglichkeiten zur Hilfe. Dank dieser App habe ich mich in Französisch verbessert. Ich würde sie jedem empfehlen.
Samantha Klich
Android-Nutzerin
Wow, ich bin wirklich begeistert. Ich habe die App einfach mal ausprobiert, weil ich sie schon oft beworben gesehen habe und war absolut beeindruckt. Diese App ist DIE HILFE, die man für die Schule braucht und vor allem bietet sie so viele Dinge wie Übungen und Lernzettel, die mir persönlich SEHR geholfen haben.
Anna
iOS-Nutzerin
Beste App der Welt! Keine Worte, weil sie einfach zu gut ist
Thomas R
iOS-Nutzer
Einfach genial. Lässt mich 10x besser lernen, diese App ist eine glatte 10/10. Ich empfehle sie jedem. Ich kann Lernzettel anschauen und suchen. Ich kann sie im Fachordner speichern. Ich kann sie jederzeit wiederholen, wenn ich zurückkomme. Wenn du diese App noch nicht ausprobiert hast, verpasst du wirklich was.
Basil
Android-Nutzer
Diese App hat mich so viel selbstbewusster in meiner Klausurvorbereitung gemacht, nicht nur durch die Stärkung meines Selbstvertrauens durch die Features, die es dir ermöglichen, dich mit anderen zu vernetzen und dich weniger allein zu fühlen, sondern auch durch die Art, wie die App selbst darauf ausgerichtet ist, dass du dich besser fühlst. Sie ist einfach zu bedienen, macht Spaß und hilft jedem, der in irgendeiner Weise Schwierigkeiten hat.
David K
iOS-Nutzer
Die App ist einfach super! Ich muss nur das Thema in die Suche eingeben und bekomme sofort eine Antwort. Ich muss nicht mehr 10 YouTube-Videos schauen, um etwas zu verstehen, und spare dadurch richtig viel Zeit. Sehr empfehlenswert!
Sudenaz Ocak
Android-Nutzerin
In der Schule war ich echt schlecht in Mathe, aber dank der App bin ich jetzt besser geworden. Ich bin so dankbar, dass ihr die App gemacht habt.
Greenlight Bonnie
Android-Nutzerin
sehr zuverlässige App, um deine Ideen in Mathe, Englisch und anderen verwandten Themen zu verbessern. bitte nutze diese App, wenn du in bestimmten Bereichen Schwierigkeiten hast, diese App ist dafür der Schlüssel. wünschte, ich hätte früher eine Bewertung geschrieben. und sie ist auch kostenlos, also mach dir darüber keine Sorgen.
Rohan U
Android-Nutzer
Ich weiß, dass viele Apps gefälschte Accounts nutzen, um ihre Bewertungen zu pushen, aber diese App verdient das alles. Ursprünglich hatte ich eine 4 in meinen Englisch-Klausuren und dieses Mal habe ich eine 2 bekommen. Ich wusste erst drei Tage vor der Klausur von dieser App und sie hat mir SEHR geholfen. Bitte vertrau mir wirklich und nutze sie, denn ich bin sicher, dass auch du Fortschritte sehen wirst.
Xander S
iOS-Nutzer
DIE QUIZZE UND KARTEIKARTEN SIND SO NÜTZLICH UND ICH LIEBE Knowunity KI. ES IST AUCH BUCHSTÄBLICH WIE CHATGPT ABER SCHLAUER!! HAT MIR AUCH BEI MEINEN MASCARA-PROBLEMEN GEHOLFEN!! SOWIE BEI MEINEN ECHTEN FÄCHERN! NATÜRLICH 😍😁😲🤑💗✨🎀😮
Elisha
iOS-Nutzer
Diese App ist echt der Hammer. Ich finde Lernen so langweilig, aber diese App macht es so einfach, alles zu organisieren und dann kannst du die kostenlose KI bitten, dich abzufragen, so gut, und du kannst einfach deine eigenen Sachen hochladen. sehr empfehlenswert als jemand, der gerade Probeklausuren schreibt
Paul T
iOS-Nutzer
Victoria 🎀
@victoria_167
Du kennst das bestimmt: Du hörst deine Lieblingsmusik, während irgendwo auf der Welt wichtige politische Entscheidungen getroffen werden. Genau dieses Phänomen greift Hans Magnus Enzensberger in seinem Gedicht "Unpolitische Vorlieben" auf und zeigt, wie unser Alltag parallel zu großen Weltereignissen... Mehr anzeigen

Zugriff auf alle Dokumente
Verbessere deine Noten
Schließ dich Millionen Schülern an
Bei dieser Gedichtinterpretation sollst du systematisch vorgehen und verschiedene Aspekte beleuchten. Zunächst analysierst du Thema, Inhalt und formalen Aufbau des Gedichts.
Der Hauptteil fokussiert sich auf die Sichtweise des Sprechers zum Verhältnis zwischen Alltag und Weltpolitik. Hier untersuchst du, wie der Autor diese beiden Ebenen miteinander verknüpft.
Anschließend analysierst du die sprachlichen Gestaltungsmittel und ihre Wirkung. Zum Schluss deutest du das Gedicht zusammenfassend und nimmst Stellung zur Überschrift "Unpolitische Vorlieben".
Tipp: Strukturiere deine Interpretation klar nach den vorgegebenen Punkten - das hilft dir, nichts Wichtiges zu vergessen!

Zugriff auf alle Dokumente
Verbessere deine Noten
Schließ dich Millionen Schülern an
Hans Magnus Enzensberger stellt in seinem Gedicht von 1999 alltägliche Szenen großen politischen Ereignissen gegenüber. Eine Cellistin lächelt nach ihrem Musikstück, obwohl gerade der Sicherheitsrat tagt.
Das Gedicht zeigt fünf verschiedene Situationen: eine sich schminkende Frau in Kriegstrümmern, ein streitendes altes Ehepaar während Friedensverhandlungen, ein weinendes Dienstmädchen wegen einer zerbrochenen Tasse zur Zeit einer Wirtschaftskrise. Die letzte Strophe beschreibt ein Liebespaar, das völlig in seiner Welt aufgeht.
Jede Szene wird mit dem Wort "obwohl" eingeleitet, das den Kontrast zwischen privatem Leben und Weltgeschehen betont. Das Gedicht endet bewusst offen mit einem einzelnen "obwohl".
Merke: Die Struktur des Gedichts mit den wiederkehrenden "obwohl"-Sätzen ist der Schlüssel zum Verständnis der Aussage!

Zugriff auf alle Dokumente
Verbessere deine Noten
Schließ dich Millionen Schülern an
Die Schülerarbeit identifiziert das Gedicht korrekt als postmodernes Werk, das alltägliche Freuden und Sorgen thematisiert, während im Hintergrund weltpolitische Ereignisse ablaufen. Die Deutungshypothese besagt, dass menschliches Leben trotz politischer Krisen seine eigene Bedeutung behält.
Der formale Aufbau wird richtig erkannt: fünf Strophen, wobei die ersten vier jeweils vier Verse haben und die letzte anders strukturiert ist. Das Gedicht verzichtet auf festes Reimschema, was die Darstellung der politischen Ereignisse verstärkt.
Die Analyse zeigt, dass freie Verse verwendet werden, um den Leser zum Nachdenken anzuregen. Es gibt keine regelmäßigen Metren und Kadenzen.
Wichtig: Die Schülerin erkennt den Zusammenhang zwischen Form und Inhalt - das zeigt tieferes Textverständnis!

Zugriff auf alle Dokumente
Verbessere deine Noten
Schließ dich Millionen Schülern an
Jede Strophe kontrastiert eine alltägliche Szene mit einem bedeutenden politischen Ereignis. Die erste Strophe zeigt das "kleine Lächeln der Cellistin" während einer Sicherheitsratssitzung.
Die zweite Strophe beschreibt eine Frau, die sich in den Trümmern ihrer Wohnküche schminkt, während im Regierungsviertel geschossen wird. Die dritte zeigt ein älteres Paar, das über Katzenhaare streitet, obwohl wichtige Friedensverhandlungen stattfinden.
In der vierten Strophe wird das "heulende Elend" eines Dienstmädchens wegen einer zerbrochenen Jubiläumstasse geschildert, während der Internationale Währungsfonds einen Kredit verweigert. Die letzte Strophe beschreibt ein leidenschaftliches Liebespaar, dessen Erlebnis im Gegensatz zu den politischen Ereignissen steht.
Beachte: Der Sprecher zeigt, dass persönliche Erlebnisse und Gefühle genauso wichtig sind wie große politische Ereignisse!

Zugriff auf alle Dokumente
Verbessere deine Noten
Schließ dich Millionen Schülern an
Der Autor verwendet verschiedene formale und sprachliche Gestaltungsmittel, um die Wirkung des Gedichts zu verstärken. Die Wiederholung des Wortes "obwohl" strukturiert das Gedicht und betont die Unterschiede zwischen alltäglichen und politischen Geschehen.
Man kann von einer Antithese sprechen, da jede Strophe Gegensätze zueinander stellt. Enjambements (Zeilenumbrüche innerhalb eines Satzes) unterbreichen den Lesefluss und verstärken den Inhalt, während sie Spannung aufbauen.
Auffällig ist, dass alltägliche Geschehnisse oft in emotionaler Sprache beschrieben werden, während politische Ereignisse in formaler Sprache dargestellt werden. Der Autor nutzt bildhafte Sprache mit Metaphern wie "kleine Lächeln der Cellistin" oder "das heulende Elend".
Analysiere genau: Die verschiedenen Sprachebenen (emotional vs. sachlich) verstärken den Kontrast zwischen Privatleben und Politik!

Zugriff auf alle Dokumente
Verbessere deine Noten
Schließ dich Millionen Schülern an
Zusammenfassend lässt sich sagen, dass der Autor durch den Aufbau des Gedichts die Leserschaft zum Nachdenken anregt. Die Deutungshypothese, dass das menschliche Leben trotz Krisen und Konflikte seine Bedeutung behält, wird durch die Analyse bestätigt.
Die Überschrift "Unpolitische Vorlieben" passt gut zu dem Gedicht, da sie die Thematik der alltäglichen und scheinbar unpolitischen Momente perfekt beschreibt. Sie zeigt, wie Menschen ihre persönlichen Bedürfnisse auch in politisch turbulenten Zeiten ausleben.
Das Gedicht verdeutlicht die Ironie, dass Menschen ihre alltäglichen Sorgen trotz weltpolitischer Geschehen weiterhin erleben. Diese scheinbare Gleichgültigkeit gegenüber großen Ereignissen wird durch elliptische Sätze und offene Enden verstärkt.
Denk daran: Die Überschrift ist mehrdeutig - sie kann sowohl kritisch als auch anerkennend interpretiert werden!

Zugriff auf alle Dokumente
Verbessere deine Noten
Schließ dich Millionen Schülern an

Zugriff auf alle Dokumente
Verbessere deine Noten
Schließ dich Millionen Schülern an

Zugriff auf alle Dokumente
Verbessere deine Noten
Schließ dich Millionen Schülern an
Unser KI-Begleiter ist ein speziell für Schüler entwickeltes KI-Tool, das mehr als nur Antworten bietet. Basierend auf Millionen von Knowunity-Inhalten liefert er relevante Informationen, personalisierte Lernpläne, Quizze und Inhalte direkt im Chat und passt sich deinem individuellen Lernweg an.
Du kannst die App im Google Play Store und im Apple App Store herunterladen.
Genau! Genieße kostenlosen Zugang zu Lerninhalten, vernetze dich mit anderen Schülern und hol dir sofortige Hilfe – alles direkt auf deinem Handy.
26
Smart Tools NEU
Verwandle diesen Lernzettel in: ✓ 50+ Übungsfragen ✓ Interaktive Karteikarten ✓ Komplette Probeklausur ✓ Aufsatzgliederungen
Entdecken Sie die wesentlichen Techniken der Gedichtinterpretation, einschließlich der Analyse von Stilmitteln, Struktur und Inhalt. Diese Zusammenfassung bietet eine klare Anleitung zur Erstellung einer Gedichtanalyse, die sowohl Einleitung, Hauptteil als auch Schluss umfasst. Ideal für Schüler, die ihre Fähigkeiten in der Textinterpretation verbessern möchten.
Diese Analyse beleuchtet die komplexe und gestörte Beziehung zwischen Rosa und Känsterle in der Kurzgeschichte von Rainer Brambach. Sie untersucht zentrale Symbole wie die verstaubte Glühbirne und die Winterfenster, die für die emotionale Distanz und das Missverständnis zwischen den Protagonisten stehen. Die Analyse thematisiert auch die Dynamik der Macht und Unterwürfigkeit in ihrer Ehe sowie die emotionalen Konflikte, die zu einem dramatischen Höhepunkt führen. Ideal für Studierende, die sich mit literarischen Beziehungen und Charakteranalysen auseinandersetzen möchten.
Diese strukturierte Anleitung zur Lyrik Analyse behandelt das Thema Fremdheit und Identitätskrise. Sie umfasst die wichtigsten Schritte, von der Einleitung über die Deutungshypothese bis hin zur sprachlichen Gestaltung und dem Fazit. Ideal für die Vorbereitung auf Klausuren in Deutsch.
Diese detaillierte Analyse des Gedichts 'Todesfuge' von Paul Celan beleuchtet die Themen des Leidens und der Hoffnungslosigkeit jüdischer Opfer während des Nationalsozialismus. Die Untersuchung umfasst die formalen Aspekte, wie Wort- und Satzwiederholungen, den unregelmäßigen Aufbau und die emotionalen Ausdrucksformen, die Celans Absicht verdeutlichen, eine aufgewühlte Stimmung zu erzeugen. Ideal für Studierende der Literaturwissenschaft, die sich mit der Interpretation von Gedichten und der Analyse von historischen Kontexten beschäftigen.
Entdecken Sie die wesentlichen Techniken der Gedichtanalyse, einschließlich der Analyse von Inhalt, Sprache und Struktur. Erfahren Sie mehr über sprachliche Bilder, Gedichtsformen wie das Sonett, und wichtige rhetorische Mittel. Diese Zusammenfassung bietet eine klare Anleitung zur Durchführung einer Gedichtsanalyse und ist ideal für Schüler, die sich auf Klassenarbeiten im Fach Deutsch vorbereiten.
Diese Anleitung zur Gedichtanalyse bietet eine strukturierte Vorgehensweise zur Interpretation von Gedichten. Sie umfasst die Schritte der Vorarbeit, die Analyse von Inhalt und Form, sowie die Untersuchung rhetorischer Stilmittel. Ideal für Schüler, die ihre Fähigkeiten in der Textinterpretation verbessern möchten. Typ: Anleitung zur Gedichtinterpretation.
App Store
Google Play
Die App ist sehr einfach zu bedienen und gut gestaltet. Ich habe bisher alles gefunden, wonach ich gesucht habe, und konnte viel aus den Präsentationen lernen! Ich werde die App definitiv für ein Schulprojekt nutzen! Und natürlich hilft sie auch sehr als Inspiration.
Stefan S
iOS-Nutzer
Diese App ist wirklich super. Es gibt so viele Lernzettel und Hilfen [...]. Mein Problemfach ist zum Beispiel Französisch und die App hat so viele Möglichkeiten zur Hilfe. Dank dieser App habe ich mich in Französisch verbessert. Ich würde sie jedem empfehlen.
Samantha Klich
Android-Nutzerin
Wow, ich bin wirklich begeistert. Ich habe die App einfach mal ausprobiert, weil ich sie schon oft beworben gesehen habe und war absolut beeindruckt. Diese App ist DIE HILFE, die man für die Schule braucht und vor allem bietet sie so viele Dinge wie Übungen und Lernzettel, die mir persönlich SEHR geholfen haben.
Anna
iOS-Nutzerin
Beste App der Welt! Keine Worte, weil sie einfach zu gut ist
Thomas R
iOS-Nutzer
Einfach genial. Lässt mich 10x besser lernen, diese App ist eine glatte 10/10. Ich empfehle sie jedem. Ich kann Lernzettel anschauen und suchen. Ich kann sie im Fachordner speichern. Ich kann sie jederzeit wiederholen, wenn ich zurückkomme. Wenn du diese App noch nicht ausprobiert hast, verpasst du wirklich was.
Basil
Android-Nutzer
Diese App hat mich so viel selbstbewusster in meiner Klausurvorbereitung gemacht, nicht nur durch die Stärkung meines Selbstvertrauens durch die Features, die es dir ermöglichen, dich mit anderen zu vernetzen und dich weniger allein zu fühlen, sondern auch durch die Art, wie die App selbst darauf ausgerichtet ist, dass du dich besser fühlst. Sie ist einfach zu bedienen, macht Spaß und hilft jedem, der in irgendeiner Weise Schwierigkeiten hat.
David K
iOS-Nutzer
Die App ist einfach super! Ich muss nur das Thema in die Suche eingeben und bekomme sofort eine Antwort. Ich muss nicht mehr 10 YouTube-Videos schauen, um etwas zu verstehen, und spare dadurch richtig viel Zeit. Sehr empfehlenswert!
Sudenaz Ocak
Android-Nutzerin
In der Schule war ich echt schlecht in Mathe, aber dank der App bin ich jetzt besser geworden. Ich bin so dankbar, dass ihr die App gemacht habt.
Greenlight Bonnie
Android-Nutzerin
sehr zuverlässige App, um deine Ideen in Mathe, Englisch und anderen verwandten Themen zu verbessern. bitte nutze diese App, wenn du in bestimmten Bereichen Schwierigkeiten hast, diese App ist dafür der Schlüssel. wünschte, ich hätte früher eine Bewertung geschrieben. und sie ist auch kostenlos, also mach dir darüber keine Sorgen.
Rohan U
Android-Nutzer
Ich weiß, dass viele Apps gefälschte Accounts nutzen, um ihre Bewertungen zu pushen, aber diese App verdient das alles. Ursprünglich hatte ich eine 4 in meinen Englisch-Klausuren und dieses Mal habe ich eine 2 bekommen. Ich wusste erst drei Tage vor der Klausur von dieser App und sie hat mir SEHR geholfen. Bitte vertrau mir wirklich und nutze sie, denn ich bin sicher, dass auch du Fortschritte sehen wirst.
Xander S
iOS-Nutzer
DIE QUIZZE UND KARTEIKARTEN SIND SO NÜTZLICH UND ICH LIEBE Knowunity KI. ES IST AUCH BUCHSTÄBLICH WIE CHATGPT ABER SCHLAUER!! HAT MIR AUCH BEI MEINEN MASCARA-PROBLEMEN GEHOLFEN!! SOWIE BEI MEINEN ECHTEN FÄCHERN! NATÜRLICH 😍😁😲🤑💗✨🎀😮
Elisha
iOS-Nutzer
Diese App ist echt der Hammer. Ich finde Lernen so langweilig, aber diese App macht es so einfach, alles zu organisieren und dann kannst du die kostenlose KI bitten, dich abzufragen, so gut, und du kannst einfach deine eigenen Sachen hochladen. sehr empfehlenswert als jemand, der gerade Probeklausuren schreibt
Paul T
iOS-Nutzer
Die App ist sehr einfach zu bedienen und gut gestaltet. Ich habe bisher alles gefunden, wonach ich gesucht habe, und konnte viel aus den Präsentationen lernen! Ich werde die App definitiv für ein Schulprojekt nutzen! Und natürlich hilft sie auch sehr als Inspiration.
Stefan S
iOS-Nutzer
Diese App ist wirklich super. Es gibt so viele Lernzettel und Hilfen [...]. Mein Problemfach ist zum Beispiel Französisch und die App hat so viele Möglichkeiten zur Hilfe. Dank dieser App habe ich mich in Französisch verbessert. Ich würde sie jedem empfehlen.
Samantha Klich
Android-Nutzerin
Wow, ich bin wirklich begeistert. Ich habe die App einfach mal ausprobiert, weil ich sie schon oft beworben gesehen habe und war absolut beeindruckt. Diese App ist DIE HILFE, die man für die Schule braucht und vor allem bietet sie so viele Dinge wie Übungen und Lernzettel, die mir persönlich SEHR geholfen haben.
Anna
iOS-Nutzerin
Beste App der Welt! Keine Worte, weil sie einfach zu gut ist
Thomas R
iOS-Nutzer
Einfach genial. Lässt mich 10x besser lernen, diese App ist eine glatte 10/10. Ich empfehle sie jedem. Ich kann Lernzettel anschauen und suchen. Ich kann sie im Fachordner speichern. Ich kann sie jederzeit wiederholen, wenn ich zurückkomme. Wenn du diese App noch nicht ausprobiert hast, verpasst du wirklich was.
Basil
Android-Nutzer
Diese App hat mich so viel selbstbewusster in meiner Klausurvorbereitung gemacht, nicht nur durch die Stärkung meines Selbstvertrauens durch die Features, die es dir ermöglichen, dich mit anderen zu vernetzen und dich weniger allein zu fühlen, sondern auch durch die Art, wie die App selbst darauf ausgerichtet ist, dass du dich besser fühlst. Sie ist einfach zu bedienen, macht Spaß und hilft jedem, der in irgendeiner Weise Schwierigkeiten hat.
David K
iOS-Nutzer
Die App ist einfach super! Ich muss nur das Thema in die Suche eingeben und bekomme sofort eine Antwort. Ich muss nicht mehr 10 YouTube-Videos schauen, um etwas zu verstehen, und spare dadurch richtig viel Zeit. Sehr empfehlenswert!
Sudenaz Ocak
Android-Nutzerin
In der Schule war ich echt schlecht in Mathe, aber dank der App bin ich jetzt besser geworden. Ich bin so dankbar, dass ihr die App gemacht habt.
Greenlight Bonnie
Android-Nutzerin
sehr zuverlässige App, um deine Ideen in Mathe, Englisch und anderen verwandten Themen zu verbessern. bitte nutze diese App, wenn du in bestimmten Bereichen Schwierigkeiten hast, diese App ist dafür der Schlüssel. wünschte, ich hätte früher eine Bewertung geschrieben. und sie ist auch kostenlos, also mach dir darüber keine Sorgen.
Rohan U
Android-Nutzer
Ich weiß, dass viele Apps gefälschte Accounts nutzen, um ihre Bewertungen zu pushen, aber diese App verdient das alles. Ursprünglich hatte ich eine 4 in meinen Englisch-Klausuren und dieses Mal habe ich eine 2 bekommen. Ich wusste erst drei Tage vor der Klausur von dieser App und sie hat mir SEHR geholfen. Bitte vertrau mir wirklich und nutze sie, denn ich bin sicher, dass auch du Fortschritte sehen wirst.
Xander S
iOS-Nutzer
DIE QUIZZE UND KARTEIKARTEN SIND SO NÜTZLICH UND ICH LIEBE Knowunity KI. ES IST AUCH BUCHSTÄBLICH WIE CHATGPT ABER SCHLAUER!! HAT MIR AUCH BEI MEINEN MASCARA-PROBLEMEN GEHOLFEN!! SOWIE BEI MEINEN ECHTEN FÄCHERN! NATÜRLICH 😍😁😲🤑💗✨🎀😮
Elisha
iOS-Nutzer
Diese App ist echt der Hammer. Ich finde Lernen so langweilig, aber diese App macht es so einfach, alles zu organisieren und dann kannst du die kostenlose KI bitten, dich abzufragen, so gut, und du kannst einfach deine eigenen Sachen hochladen. sehr empfehlenswert als jemand, der gerade Probeklausuren schreibt
Paul T
iOS-Nutzer