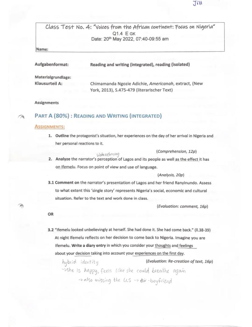
The novel Analyzing Ifemelu's return to Nigeria in Americanahexplores... Mehr anzeigen
Melde dich an, um den Inhalt zu sehenKostenlos!
Zugriff auf alle Dokumente
Verbessere deine Noten
Schließ dich Millionen Schülern an
Knowunity KI
Fächer
Triangle Congruence and Similarity Theorems
Triangle Properties and Classification
Linear Equations and Graphs
Geometric Angle Relationships
Trigonometric Functions and Identities
Equation Solving Techniques
Circle Geometry Fundamentals
Division Operations and Methods
Basic Differentiation Rules
Exponent and Logarithm Properties
Alle Themen anzeigen
Human Organ Systems
Reproductive Cell Cycles
Biological Sciences Subdisciplines
Cellular Energy Metabolism
Autotrophic Energy Processes
Inheritance Patterns and Principles
Biomolecular Structure and Organization
Cell Cycle and Division Mechanics
Cellular Organization and Development
Biological Structural Organization
Alle Themen anzeigen
Chemical Sciences and Applications
Atomic Structure and Composition
Molecular Electron Structure Representation
Atomic Electron Behavior
Matter Properties and Water
Mole Concept and Calculations
Gas Laws and Behavior
Periodic Table Organization
Chemical Thermodynamics Fundamentals
Chemical Bond Types and Properties
Alle Themen anzeigen
European Renaissance and Enlightenment
European Cultural Movements 800-1920
American Revolution Era 1763-1797
American Civil War 1861-1865
Global Imperial Systems
Mongol and Chinese Dynasties
U.S. Presidents and World Leaders
Historical Sources and Documentation
World Wars Era and Impact
World Religious Systems
Alle Themen anzeigen
Classic and Contemporary Novels
Literary Character Analysis
Rhetorical Theory and Practice
Classic Literary Narratives
Reading Analysis and Interpretation
Narrative Structure and Techniques
English Language Components
Influential English-Language Authors
Basic Sentence Structure
Narrative Voice and Perspective
Alle Themen anzeigen
8,978
•
Aktualisiert Apr 23, 2026
•
Jill
@jillivanilli
The novel Analyzing Ifemelu's return to Nigeria in Americanahexplores... Mehr anzeigen











Adichie masterfully portrays the complex emotions and cultural readjustment that accompanies Ifemelu's return to Lagos after years in America. The narrative captures the sensory overload and cognitive dissonance experienced through vivid descriptive passages and internal monologue. The protagonist's arrival at Lagos airport marks the beginning of her journey of rediscovery and reconciliation with her Nigerian identity.
Highlight: The text employs rich sensory details and figurative language to convey Ifemelu's overwhelming first impressions of Lagos - from the "sun-dazed haste" to the "dense air" and "discordant drone of generators."
The author skillfully weaves together external observations with internal reflections to highlight how Lagos has both changed and remained familiar to Ifemelu. Through carefully chosen details like the proliferation of cell phones and the decay of buildings, Adichie illustrates the rapid modernization that occurred during Ifemelu's absence while maintaining the city's essential character. This duality creates what the narrator calls "the strange familiar" - a disorienting sense of simultaneously belonging and being an outsider.
The relationship between Ifemelu and her friend Ranyinudo serves as a lens through which to examine questions of authenticity and cultural identity. Ranyinudo's playful accusation that Ifemelu has become an "Americanah" - someone who views Nigeria through American eyes - highlights the complexity of hybrid identity. Yet their warm reunion and Ranyinudo's familiar Nigerian scent of "floral perfume, exhaust fumes and sweat" suggests the enduring power of cultural bonds.

The extract demonstrates Adichie's masterful use of narrative perspective and linguistic devices to convey cultural dislocation and homecoming. The third-person limited narration allows intimate access to Ifemelu's thoughts while maintaining enough distance to highlight her role as both participant and observer in Lagos life.
Definition: Third-person limited narration follows one character's perspective closely while using "she/he" pronouns rather than "I," allowing both intimacy with and distance from the protagonist.
The author employs a range of literary techniques to create a rich sensory experience. Personification gives Lagos an active presence that "assaults" Ifemelu's senses. Metaphorical language like "cars became gasping boats" captures the city's chaotic vitality. The repeated use of questions in Ifemelu's internal monologue emphasizes her struggle to reconcile memory with present reality.
Adichie's careful attention to language varieties - from the "cryptic codes of conductors" to Ranyinudo's casual Nigerian English - creates a linguistic landscape that mirrors Ifemelu's cultural navigation. The text's movement between past and present tense reflects the protagonist's mental shifting between memory and immediate experience.

This pivotal chapter explores themes of belonging, cultural evolution, and the complexity of homecoming. Through Ifemelu's observations, Adichie examines how both the observer and the observed have changed during their separation. The text raises questions about authenticity, adaptation, and the nature of cultural identity.
Example: The gateman's specific greeting of "welcome back" rather than simply "welcome" symbolizes the broader theme of return and recognition, suggesting that despite changes, Ifemelu's essential Nigerian identity remains legible to others.
The physical and social landscape of Lagos serves as both setting and metaphor for broader cultural transformations. Details like the ubiquity of cell phones and changes in social behavior illustrate Nigeria's rapid modernization. Yet traditional social structures and cultural practices persist, creating a dynamic tension between continuity and change that mirrors Ifemelu's internal struggle.
The chapter culminates in a moment of profound emotional recognition as Ifemelu experiences "a beautiful sadness for the things she had missed and the things she would never know." This bittersweet acknowledgment suggests that cultural identity is not fixed but constantly evolving, shaped by presence and absence, memory and experience.

The scholarship program launched by Dr. Prince Joel represents a significant intervention in youth development in Imo State, Nigeria. This initiative directly addresses pressing social challenges by providing educational and entrepreneurial opportunities to 100 young people, focusing on real estate entrepreneurship and digital marketing skills.
Highlight: The program specifically targets issues like substance abuse, violence, cybercrime, and other societal challenges by providing alternative pathways through education and skill development.
The structure of the scholarship program reflects a dual approach to youth empowerment, splitting opportunities between digital marketing and real estate mentorship. This balanced approach acknowledges both traditional business sectors and emerging digital opportunities, providing participants with diverse career pathways.
Dr. Joel's personal narrative of overcoming difficulties adds credibility to the initiative and serves as inspiration for participants. The immediate implementation timeline, beginning in April, demonstrates a commitment to rapid action in addressing youth development needs in Imo State.

Analyzing Ifemelu's return to Nigeria in Americanah presents a complex exploration of identity, belonging, and cultural readjustment. The protagonist's homecoming to Lagos after years in America creates a rich tapestry of sensory experiences and emotional revelations that illuminate the challenges of cultural reintegration.
The narrative employs sophisticated techniques to convey Ifemelu's experience of cultural displacement and reconnection. Through selective third-person narration, readers gain intimate access to her internal struggle as she processes the changes in her homeland. The text's careful attention to sensory details - from the "sun-dazed haste" to the "smell of Nigeria" - creates an immersive experience that helps readers understand the overwhelming nature of returning home after prolonged absence.
Highlight: The author uses powerful sensory descriptions and figurative language to convey the protagonist's emotional state during her return to Nigeria.
Cultural identity exploration in Americanah chapter analysis reveals how the author masterfully portrays the complexity of hybrid identity. Through Ifemelu's observations of changes in Lagos - from the proliferation of cell phones to shifts in social dynamics - the narrative explores how both the returner and the homeland have evolved during their separation. The interaction between Ifemelu and her friend Ranyinudo particularly highlights this theme, as Ranyinudo points out Ifemelu's "American eyes," forcing her to confront her transformed perspective.
The extract culminates in a powerful meditation on belonging, expressed through carefully crafted literary devices. The juxtaposition of "beautiful sadness" and the repetitive affirmation "She had done it. She had come back" encapsulates the bittersweet nature of return migration. This sophisticated use of narrative techniques in Chimamanda Ngozi Adichie's Americanah demonstrates how literary style can effectively convey the complex emotions associated with cultural readjustment and identity formation.

The extract employs various literary devices to create a rich, multifaceted portrayal of Ifemelu's return to Nigeria. The author's use of enumeration, particularly in describing Lagos's sensory landscape, creates a overwhelming effect that mirrors the protagonist's emotional state.
Definition: Enumeration in literature refers to the technique of listing multiple elements in succession to create emphasis or build a complete picture.
The narrative's careful balance of external observation and internal reflection allows readers to understand both the physical changes in Lagos and Ifemelu's psychological response to these changes. The use of rhetorical questions like "Had it always been like this or had it changed so much in her absence?" serves multiple purposes: it highlights Ifemelu's disorientation, engages readers in her process of discovery, and underscores the theme of transformation - both personal and societal.
Figurative language plays a crucial role in conveying the emotional depth of Ifemelu's experience. Metaphors such as "the air was dense with exaggeration" and the possibility that "a ripe tomato could burst out of solid stone" create vivid imagery that captures both the vibrancy of Lagos and Ifemelu's renewed perception of possibility in her homeland. The author's skillful use of these devices demonstrates how literary technique can effectively convey the complex emotions associated with homecoming and cultural readjustment.

The extract provides a nuanced examination of cultural identity and personal transformation through Ifemelu's return to Nigeria. The narrative carefully documents the protagonist's process of reconciling her American experiences with her Nigerian identity, highlighting the complexities of maintaining a hybrid cultural identity.
Example: The interaction between Ifemelu and Ranyinudo serves as a perfect illustration of the tension between adopted and native cultural perspectives, particularly when Ranyinudo points out Ifemelu's "American eyes."
The text explores how physical changes in the environment - such as the proliferation of cell phones and new advertisements - mirror deeper social and cultural transformations. These observations serve as entry points for examining larger themes of modernization, globalization, and cultural evolution in contemporary Nigeria.
The author's attention to sensory details creates a vivid portrait of cultural reintegration. The description of smells - "local perfume, and exhaust fumes and sweat" - becoming "the smell of Nigeria" demonstrates how sensory experiences can trigger both memory and belonging, while simultaneously highlighting the complexity of cultural identity in an increasingly globalized world.

The extract masterfully captures the emotional complexity of returning home after a long absence. Through careful attention to both physical details and psychological responses, the narrative creates a deeply resonant portrait of the challenges and joys of homecoming.
Quote: "She was looking at things with American eyes" becomes a powerful statement about the lasting impact of cultural displacement and the challenge of maintaining authentic perspective.
The text's exploration of "unbearable emotions" and "beautiful sadness" demonstrates the paradoxical nature of return migration. These seemingly contradictory feelings are presented as natural components of the reintegration process, highlighting the complexity of cultural identity and belonging.
The narrative's conclusion, with its emphatic repetition of "She had done it. She had come back," serves as both a physical and emotional resolution. This ending acknowledges both the achievement of return and the beginning of a new phase in Ifemelu's journey of cultural identity formation, suggesting that homecoming is both an end and a beginning.

Cultural identity exploration in Americanah chapter analysis reveals the complex emotions and transformations experienced by Ifemelu upon her return to Nigeria after years in America. The narrative masterfully captures both the comfort of homecoming and the disorientation of finding a changed homeland, illustrating the protagonist's journey of self-discovery and reconciliation with her roots.
Through intimate first-person narration, we see how Ifemelu processes the immediate familiarity of her homeland while acknowledging its evolution during her absence. Her reunion with Ranyinudo demonstrates how relationships can simultaneously change and remain fundamentally unchanged, as her friend's altered appearance contrasts with her preserved personality. This duality perfectly encapsulates the immigrant experience of return - finding both recognition and estrangement in once-familiar spaces.
Analyzing Ifemelu's return to Nigeria in Americanah shows her relief at shedding the performative aspects of her American identity. The protagonist reflects on how she no longer needs to prioritize appearance over authenticity, suggesting a liberation from cultural pressures she experienced in the United States. However, her thoughts about her ended relationship reveal the complexity of leaving America behind - while embracing her return home, she still carries emotional connections to her life abroad.
Highlight: The concept of "beautiful sadness" mentioned in the text captures the bittersweet nature of returning home after significant time abroad - a mixture of joy in homecoming and melancholy for what's left behind.

Narrative techniques in Chimamanda Ngozi Adichie's Americanah demonstrate sophisticated storytelling methods that bring depth to Ifemelu's experience. The use of diary format creates an intimate window into the protagonist's immediate thoughts and emotional state, allowing readers to understand her internal struggle with identity and belonging on a profound level.
The author employs contrasting elements throughout the narrative to highlight the complexity of the immigrant return experience. This is evident in the juxtaposition between Ifemelu's comfort in calling Nigeria "home" again and her acknowledgment of its unfamiliarity. The narrative carefully balances these opposing feelings, creating a realistic portrayal of the challenges faced by returning emigrants.
Through careful character development, Adichie explores how personal growth and cultural adaptation affect relationships and self-perception. Ifemelu's reflections on her time in America reveal both gains and losses - the growth she experienced abroad alongside the relief of returning to a place where she can be her authentic self. This nuanced approach helps readers understand the multifaceted nature of cultural identity and belonging.
Definition: Cultural readjustment refers to the process of reacclimating to one's home culture after spending significant time abroad, often accompanied by mixed emotions and challenges in reconciling different cultural experiences.
Unser KI-Begleiter ist ein speziell für Schüler entwickeltes KI-Tool, das mehr als nur Antworten bietet. Basierend auf Millionen von Knowunity-Inhalten liefert er relevante Informationen, personalisierte Lernpläne, Quizze und Inhalte direkt im Chat und passt sich deinem individuellen Lernweg an.
Du kannst die App im Google Play Store und im Apple App Store herunterladen.
Genau! Genieße kostenlosen Zugang zu Lerninhalten, vernetze dich mit anderen Schülern und hol dir sofortige Hilfe – alles direkt auf deinem Handy.
App Store
Google Play
Die App ist sehr einfach zu bedienen und gut gestaltet. Ich habe bisher alles gefunden, wonach ich gesucht habe, und konnte viel aus den Präsentationen lernen! Ich werde die App definitiv für ein Schulprojekt nutzen! Und natürlich hilft sie auch sehr als Inspiration.
Stefan S
iOS-Nutzer
Diese App ist wirklich super. Es gibt so viele Lernzettel und Hilfen [...]. Mein Problemfach ist zum Beispiel Französisch und die App hat so viele Möglichkeiten zur Hilfe. Dank dieser App habe ich mich in Französisch verbessert. Ich würde sie jedem empfehlen.
Samantha Klich
Android-Nutzerin
Wow, ich bin wirklich begeistert. Ich habe die App einfach mal ausprobiert, weil ich sie schon oft beworben gesehen habe und war absolut beeindruckt. Diese App ist DIE HILFE, die man für die Schule braucht und vor allem bietet sie so viele Dinge wie Übungen und Lernzettel, die mir persönlich SEHR geholfen haben.
Anna
iOS-Nutzerin
Beste App der Welt! Keine Worte, weil sie einfach zu gut ist
Thomas R
iOS-Nutzer
Einfach genial. Lässt mich 10x besser lernen, diese App ist eine glatte 10/10. Ich empfehle sie jedem. Ich kann Lernzettel anschauen und suchen. Ich kann sie im Fachordner speichern. Ich kann sie jederzeit wiederholen, wenn ich zurückkomme. Wenn du diese App noch nicht ausprobiert hast, verpasst du wirklich was.
Basil
Android-Nutzer
Diese App hat mich so viel selbstbewusster in meiner Klausurvorbereitung gemacht, nicht nur durch die Stärkung meines Selbstvertrauens durch die Features, die es dir ermöglichen, dich mit anderen zu vernetzen und dich weniger allein zu fühlen, sondern auch durch die Art, wie die App selbst darauf ausgerichtet ist, dass du dich besser fühlst. Sie ist einfach zu bedienen, macht Spaß und hilft jedem, der in irgendeiner Weise Schwierigkeiten hat.
David K
iOS-Nutzer
Die App ist einfach super! Ich muss nur das Thema in die Suche eingeben und bekomme sofort eine Antwort. Ich muss nicht mehr 10 YouTube-Videos schauen, um etwas zu verstehen, und spare dadurch richtig viel Zeit. Sehr empfehlenswert!
Sudenaz Ocak
Android-Nutzerin
In der Schule war ich echt schlecht in Mathe, aber dank der App bin ich jetzt besser geworden. Ich bin so dankbar, dass ihr die App gemacht habt.
Greenlight Bonnie
Android-Nutzerin
sehr zuverlässige App, um deine Ideen in Mathe, Englisch und anderen verwandten Themen zu verbessern. bitte nutze diese App, wenn du in bestimmten Bereichen Schwierigkeiten hast, diese App ist dafür der Schlüssel. wünschte, ich hätte früher eine Bewertung geschrieben. und sie ist auch kostenlos, also mach dir darüber keine Sorgen.
Rohan U
Android-Nutzer
Ich weiß, dass viele Apps gefälschte Accounts nutzen, um ihre Bewertungen zu pushen, aber diese App verdient das alles. Ursprünglich hatte ich eine 4 in meinen Englisch-Klausuren und dieses Mal habe ich eine 2 bekommen. Ich wusste erst drei Tage vor der Klausur von dieser App und sie hat mir SEHR geholfen. Bitte vertrau mir wirklich und nutze sie, denn ich bin sicher, dass auch du Fortschritte sehen wirst.
Xander S
iOS-Nutzer
DIE QUIZZE UND KARTEIKARTEN SIND SO NÜTZLICH UND ICH LIEBE Knowunity KI. ES IST AUCH BUCHSTÄBLICH WIE CHATGPT ABER SCHLAUER!! HAT MIR AUCH BEI MEINEN MASCARA-PROBLEMEN GEHOLFEN!! SOWIE BEI MEINEN ECHTEN FÄCHERN! NATÜRLICH 😍😁😲🤑💗✨🎀😮
Elisha
iOS-Nutzer
Diese App ist echt der Hammer. Ich finde Lernen so langweilig, aber diese App macht es so einfach, alles zu organisieren und dann kannst du die kostenlose KI bitten, dich abzufragen, so gut, und du kannst einfach deine eigenen Sachen hochladen. sehr empfehlenswert als jemand, der gerade Probeklausuren schreibt
Paul T
iOS-Nutzer
Die App ist sehr einfach zu bedienen und gut gestaltet. Ich habe bisher alles gefunden, wonach ich gesucht habe, und konnte viel aus den Präsentationen lernen! Ich werde die App definitiv für ein Schulprojekt nutzen! Und natürlich hilft sie auch sehr als Inspiration.
Stefan S
iOS-Nutzer
Diese App ist wirklich super. Es gibt so viele Lernzettel und Hilfen [...]. Mein Problemfach ist zum Beispiel Französisch und die App hat so viele Möglichkeiten zur Hilfe. Dank dieser App habe ich mich in Französisch verbessert. Ich würde sie jedem empfehlen.
Samantha Klich
Android-Nutzerin
Wow, ich bin wirklich begeistert. Ich habe die App einfach mal ausprobiert, weil ich sie schon oft beworben gesehen habe und war absolut beeindruckt. Diese App ist DIE HILFE, die man für die Schule braucht und vor allem bietet sie so viele Dinge wie Übungen und Lernzettel, die mir persönlich SEHR geholfen haben.
Anna
iOS-Nutzerin
Beste App der Welt! Keine Worte, weil sie einfach zu gut ist
Thomas R
iOS-Nutzer
Einfach genial. Lässt mich 10x besser lernen, diese App ist eine glatte 10/10. Ich empfehle sie jedem. Ich kann Lernzettel anschauen und suchen. Ich kann sie im Fachordner speichern. Ich kann sie jederzeit wiederholen, wenn ich zurückkomme. Wenn du diese App noch nicht ausprobiert hast, verpasst du wirklich was.
Basil
Android-Nutzer
Diese App hat mich so viel selbstbewusster in meiner Klausurvorbereitung gemacht, nicht nur durch die Stärkung meines Selbstvertrauens durch die Features, die es dir ermöglichen, dich mit anderen zu vernetzen und dich weniger allein zu fühlen, sondern auch durch die Art, wie die App selbst darauf ausgerichtet ist, dass du dich besser fühlst. Sie ist einfach zu bedienen, macht Spaß und hilft jedem, der in irgendeiner Weise Schwierigkeiten hat.
David K
iOS-Nutzer
Die App ist einfach super! Ich muss nur das Thema in die Suche eingeben und bekomme sofort eine Antwort. Ich muss nicht mehr 10 YouTube-Videos schauen, um etwas zu verstehen, und spare dadurch richtig viel Zeit. Sehr empfehlenswert!
Sudenaz Ocak
Android-Nutzerin
In der Schule war ich echt schlecht in Mathe, aber dank der App bin ich jetzt besser geworden. Ich bin so dankbar, dass ihr die App gemacht habt.
Greenlight Bonnie
Android-Nutzerin
sehr zuverlässige App, um deine Ideen in Mathe, Englisch und anderen verwandten Themen zu verbessern. bitte nutze diese App, wenn du in bestimmten Bereichen Schwierigkeiten hast, diese App ist dafür der Schlüssel. wünschte, ich hätte früher eine Bewertung geschrieben. und sie ist auch kostenlos, also mach dir darüber keine Sorgen.
Rohan U
Android-Nutzer
Ich weiß, dass viele Apps gefälschte Accounts nutzen, um ihre Bewertungen zu pushen, aber diese App verdient das alles. Ursprünglich hatte ich eine 4 in meinen Englisch-Klausuren und dieses Mal habe ich eine 2 bekommen. Ich wusste erst drei Tage vor der Klausur von dieser App und sie hat mir SEHR geholfen. Bitte vertrau mir wirklich und nutze sie, denn ich bin sicher, dass auch du Fortschritte sehen wirst.
Xander S
iOS-Nutzer
DIE QUIZZE UND KARTEIKARTEN SIND SO NÜTZLICH UND ICH LIEBE Knowunity KI. ES IST AUCH BUCHSTÄBLICH WIE CHATGPT ABER SCHLAUER!! HAT MIR AUCH BEI MEINEN MASCARA-PROBLEMEN GEHOLFEN!! SOWIE BEI MEINEN ECHTEN FÄCHERN! NATÜRLICH 😍😁😲🤑💗✨🎀😮
Elisha
iOS-Nutzer
Diese App ist echt der Hammer. Ich finde Lernen so langweilig, aber diese App macht es so einfach, alles zu organisieren und dann kannst du die kostenlose KI bitten, dich abzufragen, so gut, und du kannst einfach deine eigenen Sachen hochladen. sehr empfehlenswert als jemand, der gerade Probeklausuren schreibt
Paul T
iOS-Nutzer
Jill
@jillivanilli
The novel Analyzing Ifemelu's return to Nigeria in Americanahexplores themes of identity, belonging, and cultural readjustment through the protagonist's journey back to her homeland. After spending 13 years in America, Ifemelu faces complex emotions and challenges as she reintegrates... Mehr anzeigen

Zugriff auf alle Dokumente
Verbessere deine Noten
Schließ dich Millionen Schülern an
Adichie masterfully portrays the complex emotions and cultural readjustment that accompanies Ifemelu's return to Lagos after years in America. The narrative captures the sensory overload and cognitive dissonance experienced through vivid descriptive passages and internal monologue. The protagonist's arrival at Lagos airport marks the beginning of her journey of rediscovery and reconciliation with her Nigerian identity.
Highlight: The text employs rich sensory details and figurative language to convey Ifemelu's overwhelming first impressions of Lagos - from the "sun-dazed haste" to the "dense air" and "discordant drone of generators."
The author skillfully weaves together external observations with internal reflections to highlight how Lagos has both changed and remained familiar to Ifemelu. Through carefully chosen details like the proliferation of cell phones and the decay of buildings, Adichie illustrates the rapid modernization that occurred during Ifemelu's absence while maintaining the city's essential character. This duality creates what the narrator calls "the strange familiar" - a disorienting sense of simultaneously belonging and being an outsider.
The relationship between Ifemelu and her friend Ranyinudo serves as a lens through which to examine questions of authenticity and cultural identity. Ranyinudo's playful accusation that Ifemelu has become an "Americanah" - someone who views Nigeria through American eyes - highlights the complexity of hybrid identity. Yet their warm reunion and Ranyinudo's familiar Nigerian scent of "floral perfume, exhaust fumes and sweat" suggests the enduring power of cultural bonds.

Zugriff auf alle Dokumente
Verbessere deine Noten
Schließ dich Millionen Schülern an
The extract demonstrates Adichie's masterful use of narrative perspective and linguistic devices to convey cultural dislocation and homecoming. The third-person limited narration allows intimate access to Ifemelu's thoughts while maintaining enough distance to highlight her role as both participant and observer in Lagos life.
Definition: Third-person limited narration follows one character's perspective closely while using "she/he" pronouns rather than "I," allowing both intimacy with and distance from the protagonist.
The author employs a range of literary techniques to create a rich sensory experience. Personification gives Lagos an active presence that "assaults" Ifemelu's senses. Metaphorical language like "cars became gasping boats" captures the city's chaotic vitality. The repeated use of questions in Ifemelu's internal monologue emphasizes her struggle to reconcile memory with present reality.
Adichie's careful attention to language varieties - from the "cryptic codes of conductors" to Ranyinudo's casual Nigerian English - creates a linguistic landscape that mirrors Ifemelu's cultural navigation. The text's movement between past and present tense reflects the protagonist's mental shifting between memory and immediate experience.

Zugriff auf alle Dokumente
Verbessere deine Noten
Schließ dich Millionen Schülern an
This pivotal chapter explores themes of belonging, cultural evolution, and the complexity of homecoming. Through Ifemelu's observations, Adichie examines how both the observer and the observed have changed during their separation. The text raises questions about authenticity, adaptation, and the nature of cultural identity.
Example: The gateman's specific greeting of "welcome back" rather than simply "welcome" symbolizes the broader theme of return and recognition, suggesting that despite changes, Ifemelu's essential Nigerian identity remains legible to others.
The physical and social landscape of Lagos serves as both setting and metaphor for broader cultural transformations. Details like the ubiquity of cell phones and changes in social behavior illustrate Nigeria's rapid modernization. Yet traditional social structures and cultural practices persist, creating a dynamic tension between continuity and change that mirrors Ifemelu's internal struggle.
The chapter culminates in a moment of profound emotional recognition as Ifemelu experiences "a beautiful sadness for the things she had missed and the things she would never know." This bittersweet acknowledgment suggests that cultural identity is not fixed but constantly evolving, shaped by presence and absence, memory and experience.

Zugriff auf alle Dokumente
Verbessere deine Noten
Schließ dich Millionen Schülern an
The scholarship program launched by Dr. Prince Joel represents a significant intervention in youth development in Imo State, Nigeria. This initiative directly addresses pressing social challenges by providing educational and entrepreneurial opportunities to 100 young people, focusing on real estate entrepreneurship and digital marketing skills.
Highlight: The program specifically targets issues like substance abuse, violence, cybercrime, and other societal challenges by providing alternative pathways through education and skill development.
The structure of the scholarship program reflects a dual approach to youth empowerment, splitting opportunities between digital marketing and real estate mentorship. This balanced approach acknowledges both traditional business sectors and emerging digital opportunities, providing participants with diverse career pathways.
Dr. Joel's personal narrative of overcoming difficulties adds credibility to the initiative and serves as inspiration for participants. The immediate implementation timeline, beginning in April, demonstrates a commitment to rapid action in addressing youth development needs in Imo State.

Zugriff auf alle Dokumente
Verbessere deine Noten
Schließ dich Millionen Schülern an
Analyzing Ifemelu's return to Nigeria in Americanah presents a complex exploration of identity, belonging, and cultural readjustment. The protagonist's homecoming to Lagos after years in America creates a rich tapestry of sensory experiences and emotional revelations that illuminate the challenges of cultural reintegration.
The narrative employs sophisticated techniques to convey Ifemelu's experience of cultural displacement and reconnection. Through selective third-person narration, readers gain intimate access to her internal struggle as she processes the changes in her homeland. The text's careful attention to sensory details - from the "sun-dazed haste" to the "smell of Nigeria" - creates an immersive experience that helps readers understand the overwhelming nature of returning home after prolonged absence.
Highlight: The author uses powerful sensory descriptions and figurative language to convey the protagonist's emotional state during her return to Nigeria.
Cultural identity exploration in Americanah chapter analysis reveals how the author masterfully portrays the complexity of hybrid identity. Through Ifemelu's observations of changes in Lagos - from the proliferation of cell phones to shifts in social dynamics - the narrative explores how both the returner and the homeland have evolved during their separation. The interaction between Ifemelu and her friend Ranyinudo particularly highlights this theme, as Ranyinudo points out Ifemelu's "American eyes," forcing her to confront her transformed perspective.
The extract culminates in a powerful meditation on belonging, expressed through carefully crafted literary devices. The juxtaposition of "beautiful sadness" and the repetitive affirmation "She had done it. She had come back" encapsulates the bittersweet nature of return migration. This sophisticated use of narrative techniques in Chimamanda Ngozi Adichie's Americanah demonstrates how literary style can effectively convey the complex emotions associated with cultural readjustment and identity formation.

Zugriff auf alle Dokumente
Verbessere deine Noten
Schließ dich Millionen Schülern an
The extract employs various literary devices to create a rich, multifaceted portrayal of Ifemelu's return to Nigeria. The author's use of enumeration, particularly in describing Lagos's sensory landscape, creates a overwhelming effect that mirrors the protagonist's emotional state.
Definition: Enumeration in literature refers to the technique of listing multiple elements in succession to create emphasis or build a complete picture.
The narrative's careful balance of external observation and internal reflection allows readers to understand both the physical changes in Lagos and Ifemelu's psychological response to these changes. The use of rhetorical questions like "Had it always been like this or had it changed so much in her absence?" serves multiple purposes: it highlights Ifemelu's disorientation, engages readers in her process of discovery, and underscores the theme of transformation - both personal and societal.
Figurative language plays a crucial role in conveying the emotional depth of Ifemelu's experience. Metaphors such as "the air was dense with exaggeration" and the possibility that "a ripe tomato could burst out of solid stone" create vivid imagery that captures both the vibrancy of Lagos and Ifemelu's renewed perception of possibility in her homeland. The author's skillful use of these devices demonstrates how literary technique can effectively convey the complex emotions associated with homecoming and cultural readjustment.

Zugriff auf alle Dokumente
Verbessere deine Noten
Schließ dich Millionen Schülern an
The extract provides a nuanced examination of cultural identity and personal transformation through Ifemelu's return to Nigeria. The narrative carefully documents the protagonist's process of reconciling her American experiences with her Nigerian identity, highlighting the complexities of maintaining a hybrid cultural identity.
Example: The interaction between Ifemelu and Ranyinudo serves as a perfect illustration of the tension between adopted and native cultural perspectives, particularly when Ranyinudo points out Ifemelu's "American eyes."
The text explores how physical changes in the environment - such as the proliferation of cell phones and new advertisements - mirror deeper social and cultural transformations. These observations serve as entry points for examining larger themes of modernization, globalization, and cultural evolution in contemporary Nigeria.
The author's attention to sensory details creates a vivid portrait of cultural reintegration. The description of smells - "local perfume, and exhaust fumes and sweat" - becoming "the smell of Nigeria" demonstrates how sensory experiences can trigger both memory and belonging, while simultaneously highlighting the complexity of cultural identity in an increasingly globalized world.

Zugriff auf alle Dokumente
Verbessere deine Noten
Schließ dich Millionen Schülern an
The extract masterfully captures the emotional complexity of returning home after a long absence. Through careful attention to both physical details and psychological responses, the narrative creates a deeply resonant portrait of the challenges and joys of homecoming.
Quote: "She was looking at things with American eyes" becomes a powerful statement about the lasting impact of cultural displacement and the challenge of maintaining authentic perspective.
The text's exploration of "unbearable emotions" and "beautiful sadness" demonstrates the paradoxical nature of return migration. These seemingly contradictory feelings are presented as natural components of the reintegration process, highlighting the complexity of cultural identity and belonging.
The narrative's conclusion, with its emphatic repetition of "She had done it. She had come back," serves as both a physical and emotional resolution. This ending acknowledges both the achievement of return and the beginning of a new phase in Ifemelu's journey of cultural identity formation, suggesting that homecoming is both an end and a beginning.

Zugriff auf alle Dokumente
Verbessere deine Noten
Schließ dich Millionen Schülern an
Cultural identity exploration in Americanah chapter analysis reveals the complex emotions and transformations experienced by Ifemelu upon her return to Nigeria after years in America. The narrative masterfully captures both the comfort of homecoming and the disorientation of finding a changed homeland, illustrating the protagonist's journey of self-discovery and reconciliation with her roots.
Through intimate first-person narration, we see how Ifemelu processes the immediate familiarity of her homeland while acknowledging its evolution during her absence. Her reunion with Ranyinudo demonstrates how relationships can simultaneously change and remain fundamentally unchanged, as her friend's altered appearance contrasts with her preserved personality. This duality perfectly encapsulates the immigrant experience of return - finding both recognition and estrangement in once-familiar spaces.
Analyzing Ifemelu's return to Nigeria in Americanah shows her relief at shedding the performative aspects of her American identity. The protagonist reflects on how she no longer needs to prioritize appearance over authenticity, suggesting a liberation from cultural pressures she experienced in the United States. However, her thoughts about her ended relationship reveal the complexity of leaving America behind - while embracing her return home, she still carries emotional connections to her life abroad.
Highlight: The concept of "beautiful sadness" mentioned in the text captures the bittersweet nature of returning home after significant time abroad - a mixture of joy in homecoming and melancholy for what's left behind.

Zugriff auf alle Dokumente
Verbessere deine Noten
Schließ dich Millionen Schülern an
Narrative techniques in Chimamanda Ngozi Adichie's Americanah demonstrate sophisticated storytelling methods that bring depth to Ifemelu's experience. The use of diary format creates an intimate window into the protagonist's immediate thoughts and emotional state, allowing readers to understand her internal struggle with identity and belonging on a profound level.
The author employs contrasting elements throughout the narrative to highlight the complexity of the immigrant return experience. This is evident in the juxtaposition between Ifemelu's comfort in calling Nigeria "home" again and her acknowledgment of its unfamiliarity. The narrative carefully balances these opposing feelings, creating a realistic portrayal of the challenges faced by returning emigrants.
Through careful character development, Adichie explores how personal growth and cultural adaptation affect relationships and self-perception. Ifemelu's reflections on her time in America reveal both gains and losses - the growth she experienced abroad alongside the relief of returning to a place where she can be her authentic self. This nuanced approach helps readers understand the multifaceted nature of cultural identity and belonging.
Definition: Cultural readjustment refers to the process of reacclimating to one's home culture after spending significant time abroad, often accompanied by mixed emotions and challenges in reconciling different cultural experiences.
Unser KI-Begleiter ist ein speziell für Schüler entwickeltes KI-Tool, das mehr als nur Antworten bietet. Basierend auf Millionen von Knowunity-Inhalten liefert er relevante Informationen, personalisierte Lernpläne, Quizze und Inhalte direkt im Chat und passt sich deinem individuellen Lernweg an.
Du kannst die App im Google Play Store und im Apple App Store herunterladen.
Genau! Genieße kostenlosen Zugang zu Lerninhalten, vernetze dich mit anderen Schülern und hol dir sofortige Hilfe – alles direkt auf deinem Handy.
249
Smart Tools NEU
Verwandle diesen Lernzettel in: ✓ 50+ Übungsfragen ✓ Interaktive Karteikarten ✓ Komplette Probeklausur ✓ Aufsatzgliederungen
In dieser Zusammenfassung von Kapitel 5 aus 'Crooked Letter, Crooked Letter' wird die komplexe Freundschaft zwischen Larry und Silas beleuchtet, die durch Rassismus und familiäre Konflikte belastet ist. Die Analyse umfasst die toxische Beziehung zwischen Larry und seinem Vater Carl Ott sowie die Auswirkungen von Vorurteilen auf ihre Freundschaft. Erfahren Sie, wie soziale Unterschiede und familiäre Erwartungen die Dynamik zwischen den Charakteren beeinflussen.
Explore a detailed summary of Ian McEwan's *Atonement*, covering key events from Part One, Part Two, Part Three, and the epilogue set in London 1999. This study note delves into character development, themes of guilt and redemption, and the impact of memory and narrative. Ideal for students seeking a thorough understanding of the novel's structure and significance.
Diese Charakterisierung von Queen Elizabeth II aus dem Roman 'The Uncommon Reader' von Alan Bennett beleuchtet ihre Entwicklung von einer pflichtbewussten Monarchin zu einer leidenschaftlichen Leserin. Entdecken Sie, wie ihre neue Leidenschaft für Bücher ihre Sichtweise und ihr Verhalten verändert, trotz des Widerstands ihrer Umgebung. Diese Analyse bietet Einblicke in ihre Persönlichkeit, ihre Beziehungen und die Auswirkungen des Lesens auf ihr Leben. Ideal für Schüler, die sich mit literarischen Charakterisierungen beschäftigen.
Entdecken Sie die Charaktere und detaillierte Kapitelzusammenfassungen des Romans 'Atonement' von Ian McEwan. Diese Zusammenstellung bietet einen klaren Überblick über die komplexen Beziehungen und die Handlung des Buches, ideal für Studierende und Literaturinteressierte.
Explore the emotional depth of Mary in Langston Hughes' 'Early Autumn'. This characterization analysis delves into her unresolved feelings for Bill, the impact of their past relationship, and the narrative style that reveals her inner turmoil. Ideal for students studying literature and character development.
Entdecken Sie die bewegende Geschichte von 'Rabbit-Proof Fence' von Doris Pilkington Garimara. Diese Zusammenfassung bietet einen Überblick über die Hauptcharaktere Molly, Daisy und Gracie, die in den 1920er und 30er Jahren in Australien aufwachsen und gegen die Ungerechtigkeiten der Regierung kämpfen. Erfahren Sie mehr über die Hintergründe der Aborigines, die Bedeutung des Rabbit-Proof Fence und die Herausforderungen, denen die Mädchen auf ihrer Reise gegenüberstehen. Ideal für Schüler der Klasse 9, die sich mit der Thematik der Identität und des Widerstands auseinandersetzen möchten.
App Store
Google Play
Die App ist sehr einfach zu bedienen und gut gestaltet. Ich habe bisher alles gefunden, wonach ich gesucht habe, und konnte viel aus den Präsentationen lernen! Ich werde die App definitiv für ein Schulprojekt nutzen! Und natürlich hilft sie auch sehr als Inspiration.
Stefan S
iOS-Nutzer
Diese App ist wirklich super. Es gibt so viele Lernzettel und Hilfen [...]. Mein Problemfach ist zum Beispiel Französisch und die App hat so viele Möglichkeiten zur Hilfe. Dank dieser App habe ich mich in Französisch verbessert. Ich würde sie jedem empfehlen.
Samantha Klich
Android-Nutzerin
Wow, ich bin wirklich begeistert. Ich habe die App einfach mal ausprobiert, weil ich sie schon oft beworben gesehen habe und war absolut beeindruckt. Diese App ist DIE HILFE, die man für die Schule braucht und vor allem bietet sie so viele Dinge wie Übungen und Lernzettel, die mir persönlich SEHR geholfen haben.
Anna
iOS-Nutzerin
Beste App der Welt! Keine Worte, weil sie einfach zu gut ist
Thomas R
iOS-Nutzer
Einfach genial. Lässt mich 10x besser lernen, diese App ist eine glatte 10/10. Ich empfehle sie jedem. Ich kann Lernzettel anschauen und suchen. Ich kann sie im Fachordner speichern. Ich kann sie jederzeit wiederholen, wenn ich zurückkomme. Wenn du diese App noch nicht ausprobiert hast, verpasst du wirklich was.
Basil
Android-Nutzer
Diese App hat mich so viel selbstbewusster in meiner Klausurvorbereitung gemacht, nicht nur durch die Stärkung meines Selbstvertrauens durch die Features, die es dir ermöglichen, dich mit anderen zu vernetzen und dich weniger allein zu fühlen, sondern auch durch die Art, wie die App selbst darauf ausgerichtet ist, dass du dich besser fühlst. Sie ist einfach zu bedienen, macht Spaß und hilft jedem, der in irgendeiner Weise Schwierigkeiten hat.
David K
iOS-Nutzer
Die App ist einfach super! Ich muss nur das Thema in die Suche eingeben und bekomme sofort eine Antwort. Ich muss nicht mehr 10 YouTube-Videos schauen, um etwas zu verstehen, und spare dadurch richtig viel Zeit. Sehr empfehlenswert!
Sudenaz Ocak
Android-Nutzerin
In der Schule war ich echt schlecht in Mathe, aber dank der App bin ich jetzt besser geworden. Ich bin so dankbar, dass ihr die App gemacht habt.
Greenlight Bonnie
Android-Nutzerin
sehr zuverlässige App, um deine Ideen in Mathe, Englisch und anderen verwandten Themen zu verbessern. bitte nutze diese App, wenn du in bestimmten Bereichen Schwierigkeiten hast, diese App ist dafür der Schlüssel. wünschte, ich hätte früher eine Bewertung geschrieben. und sie ist auch kostenlos, also mach dir darüber keine Sorgen.
Rohan U
Android-Nutzer
Ich weiß, dass viele Apps gefälschte Accounts nutzen, um ihre Bewertungen zu pushen, aber diese App verdient das alles. Ursprünglich hatte ich eine 4 in meinen Englisch-Klausuren und dieses Mal habe ich eine 2 bekommen. Ich wusste erst drei Tage vor der Klausur von dieser App und sie hat mir SEHR geholfen. Bitte vertrau mir wirklich und nutze sie, denn ich bin sicher, dass auch du Fortschritte sehen wirst.
Xander S
iOS-Nutzer
DIE QUIZZE UND KARTEIKARTEN SIND SO NÜTZLICH UND ICH LIEBE Knowunity KI. ES IST AUCH BUCHSTÄBLICH WIE CHATGPT ABER SCHLAUER!! HAT MIR AUCH BEI MEINEN MASCARA-PROBLEMEN GEHOLFEN!! SOWIE BEI MEINEN ECHTEN FÄCHERN! NATÜRLICH 😍😁😲🤑💗✨🎀😮
Elisha
iOS-Nutzer
Diese App ist echt der Hammer. Ich finde Lernen so langweilig, aber diese App macht es so einfach, alles zu organisieren und dann kannst du die kostenlose KI bitten, dich abzufragen, so gut, und du kannst einfach deine eigenen Sachen hochladen. sehr empfehlenswert als jemand, der gerade Probeklausuren schreibt
Paul T
iOS-Nutzer
Die App ist sehr einfach zu bedienen und gut gestaltet. Ich habe bisher alles gefunden, wonach ich gesucht habe, und konnte viel aus den Präsentationen lernen! Ich werde die App definitiv für ein Schulprojekt nutzen! Und natürlich hilft sie auch sehr als Inspiration.
Stefan S
iOS-Nutzer
Diese App ist wirklich super. Es gibt so viele Lernzettel und Hilfen [...]. Mein Problemfach ist zum Beispiel Französisch und die App hat so viele Möglichkeiten zur Hilfe. Dank dieser App habe ich mich in Französisch verbessert. Ich würde sie jedem empfehlen.
Samantha Klich
Android-Nutzerin
Wow, ich bin wirklich begeistert. Ich habe die App einfach mal ausprobiert, weil ich sie schon oft beworben gesehen habe und war absolut beeindruckt. Diese App ist DIE HILFE, die man für die Schule braucht und vor allem bietet sie so viele Dinge wie Übungen und Lernzettel, die mir persönlich SEHR geholfen haben.
Anna
iOS-Nutzerin
Beste App der Welt! Keine Worte, weil sie einfach zu gut ist
Thomas R
iOS-Nutzer
Einfach genial. Lässt mich 10x besser lernen, diese App ist eine glatte 10/10. Ich empfehle sie jedem. Ich kann Lernzettel anschauen und suchen. Ich kann sie im Fachordner speichern. Ich kann sie jederzeit wiederholen, wenn ich zurückkomme. Wenn du diese App noch nicht ausprobiert hast, verpasst du wirklich was.
Basil
Android-Nutzer
Diese App hat mich so viel selbstbewusster in meiner Klausurvorbereitung gemacht, nicht nur durch die Stärkung meines Selbstvertrauens durch die Features, die es dir ermöglichen, dich mit anderen zu vernetzen und dich weniger allein zu fühlen, sondern auch durch die Art, wie die App selbst darauf ausgerichtet ist, dass du dich besser fühlst. Sie ist einfach zu bedienen, macht Spaß und hilft jedem, der in irgendeiner Weise Schwierigkeiten hat.
David K
iOS-Nutzer
Die App ist einfach super! Ich muss nur das Thema in die Suche eingeben und bekomme sofort eine Antwort. Ich muss nicht mehr 10 YouTube-Videos schauen, um etwas zu verstehen, und spare dadurch richtig viel Zeit. Sehr empfehlenswert!
Sudenaz Ocak
Android-Nutzerin
In der Schule war ich echt schlecht in Mathe, aber dank der App bin ich jetzt besser geworden. Ich bin so dankbar, dass ihr die App gemacht habt.
Greenlight Bonnie
Android-Nutzerin
sehr zuverlässige App, um deine Ideen in Mathe, Englisch und anderen verwandten Themen zu verbessern. bitte nutze diese App, wenn du in bestimmten Bereichen Schwierigkeiten hast, diese App ist dafür der Schlüssel. wünschte, ich hätte früher eine Bewertung geschrieben. und sie ist auch kostenlos, also mach dir darüber keine Sorgen.
Rohan U
Android-Nutzer
Ich weiß, dass viele Apps gefälschte Accounts nutzen, um ihre Bewertungen zu pushen, aber diese App verdient das alles. Ursprünglich hatte ich eine 4 in meinen Englisch-Klausuren und dieses Mal habe ich eine 2 bekommen. Ich wusste erst drei Tage vor der Klausur von dieser App und sie hat mir SEHR geholfen. Bitte vertrau mir wirklich und nutze sie, denn ich bin sicher, dass auch du Fortschritte sehen wirst.
Xander S
iOS-Nutzer
DIE QUIZZE UND KARTEIKARTEN SIND SO NÜTZLICH UND ICH LIEBE Knowunity KI. ES IST AUCH BUCHSTÄBLICH WIE CHATGPT ABER SCHLAUER!! HAT MIR AUCH BEI MEINEN MASCARA-PROBLEMEN GEHOLFEN!! SOWIE BEI MEINEN ECHTEN FÄCHERN! NATÜRLICH 😍😁😲🤑💗✨🎀😮
Elisha
iOS-Nutzer
Diese App ist echt der Hammer. Ich finde Lernen so langweilig, aber diese App macht es so einfach, alles zu organisieren und dann kannst du die kostenlose KI bitten, dich abzufragen, so gut, und du kannst einfach deine eigenen Sachen hochladen. sehr empfehlenswert als jemand, der gerade Probeklausuren schreibt
Paul T
iOS-Nutzer