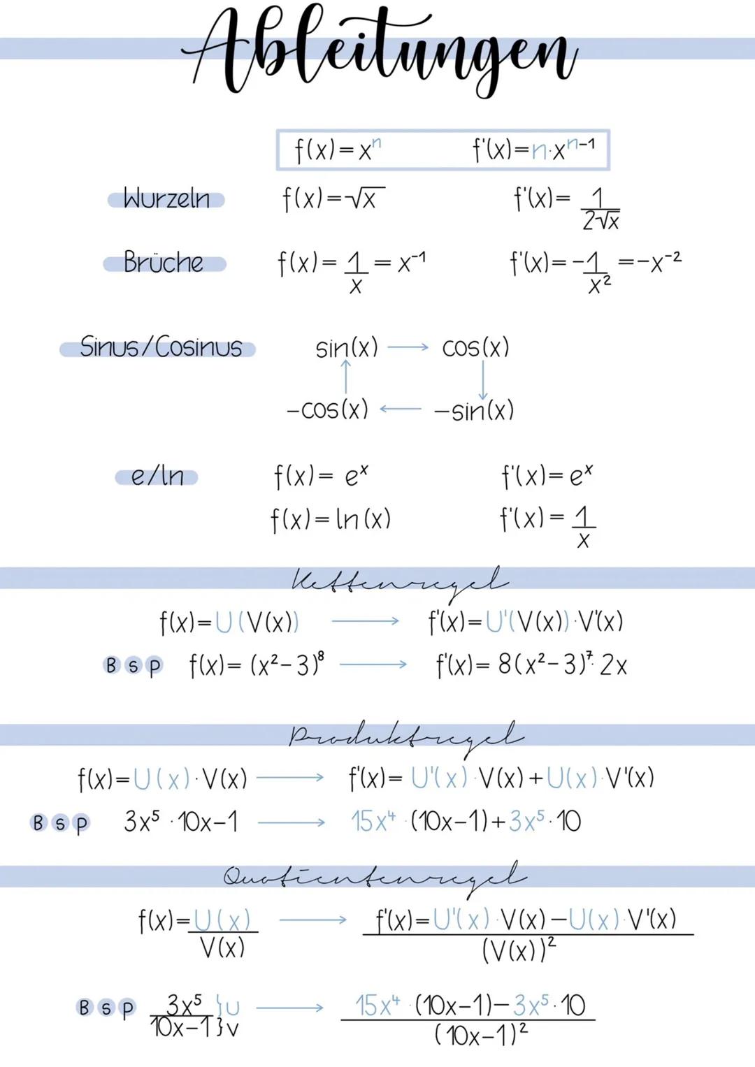
Hier findest du ein Know zum Thema “Ableitungen”, mit einem Überblick der Regeln, Beispielen und dem Zeichnen von Ableitungen.
Melde dich an, um den Inhalt zu sehenKostenlos!
Zugriff auf alle Dokumente
Verbessere deine Noten
Schließ dich Millionen Schülern an
Mit der Anmeldung akzeptierst du die Nutzungsbedingungen und Datenschutzerklärung

