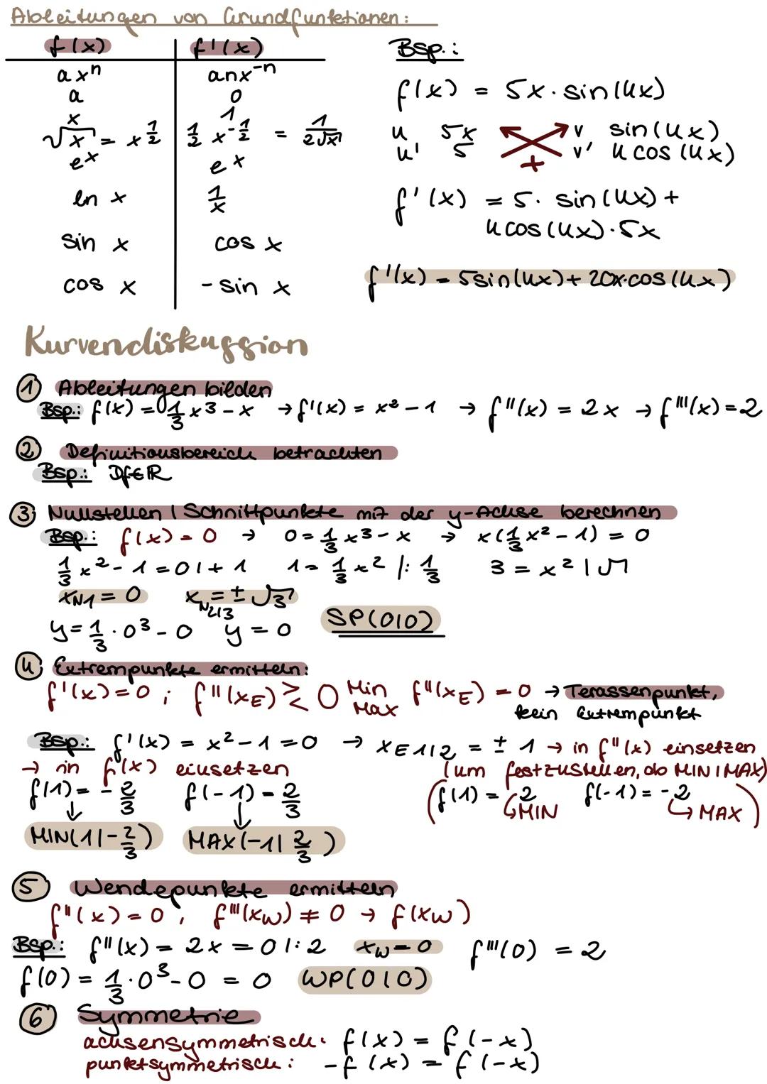
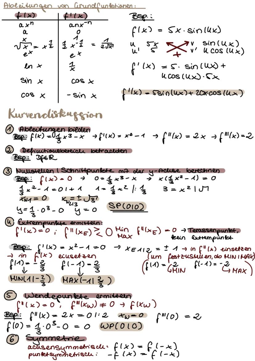
Analysis
Grenzwerte und Stetigkeit, Differential- und Integralrechung Zusammenfassung mit Beispielen und GTR Befehlen für CASIO














Wir dachten schon, du fragst nie...
Was ist der Knowunity KI-Begleiter?
Unser KI-Begleiter ist ein speziell für Schüler entwickeltes KI-Tool, das mehr als nur Antworten bietet. Basierend auf Millionen von Knowunity-Inhalten liefert er relevante Informationen, personalisierte Lernpläne, Quizze und Inhalte direkt im Chat und passt sich deinem individuellen Lernweg an.
Wo kann ich die Knowunity-App herunterladen?
Du kannst die App im Google Play Store und im Apple App Store herunterladen.
Ist Knowunity wirklich kostenlos?
Genau! Genieße kostenlosen Zugang zu Lerninhalten, vernetze dich mit anderen Schülern und hol dir sofortige Hilfe – alles direkt auf deinem Handy.
Ähnlicher Inhalt
Beliebtester Inhalt: Kritische Punkte
9Mathe Abi: Lernstrategien
Entdecke effektive Lernstrategien und wichtige Konzepte für das Mathe-Abitur. Diese Zusammenstellung umfasst Themen wie Funktionen, Vektoren, Ableitungen, Wahrscheinlichkeitsrechnung und mehr. Ideal für die Vorbereitung auf die mündliche Prüfung. Verstehe die Grundlagen und wende sie in praktischen Beispielen an.
Mathematik für Wirtschaft: Analysis & Stochastik
Entdecken Sie die Grundlagen der Mathematik für Wirtschaft und Verwaltung mit Fokus auf Analysis (Extremstellen, Wendepunkte, Integrale) und Stochastik (Standardabweichung, Varianz, Bernoulli-Formel). Diese Zusammenfassung bietet eine klare Übersicht über wichtige Konzepte und deren Anwendungen in der Wirtschaft. Ideal für Abiturienten und Studierende der Wirtschaftswissenschaften.
Kurvendiskussion: Wendepunkte & Sattelpunkte
Entdecken Sie die wesentlichen Schritte zur Durchführung einer Kurvendiskussion, einschließlich der Bestimmung von Wendepunkten und Sattelpunkten. Diese Formelsammlung bietet klare Anleitungen zur Ableitung, Nullstellenbestimmung und Analyse des Krümmungsverhaltens von Funktionen. Ideal für Studierende, die ihre Kenntnisse in der Differentialrechnung vertiefen möchten.
Analysis für das Abitur
Umfassende Zusammenfassung der Analysis für das Abitur 2022. Behandelt Themen wie Integralrechnung, Ableitungen, Exponential- und Logarithmusfunktionen, Flächenberechnung zwischen Graphen und mehr. Ideal für die Prüfungsvorbereitung.
Analyse von Funktionsscharen
Erforschen Sie die Konzepte von Funktionsscharen, einschließlich der Definition, Kurvendiskussion, Ortskurven und der Bestimmung gemeinsamer Punkte. Diese Zusammenfassung bietet eine klare Anleitung zur Analyse von Extrempunkten und Wendepunkten in Funktionsscharen. Ideal für Studierende der Mathematik, die ihre Kenntnisse in der Differentialrechnung vertiefen möchten.
Mathematik Abi 2022: Schlüsselkonzepte
Entdecken Sie alle wichtigen Themen für das Mathematik-Abitur 2022, einschließlich Analysis, Vektorielle Geometrie, Stochastik und mehr. Diese Zusammenfassung bietet klare Erklärungen zu Hypothesentests, Integrationsmethoden, Abstandsberechnungen und den Grundlagen der Wahrscheinlichkeitstheorie. Ideal für die Prüfungsvorbereitung!
Extremstellen und Wendepunkte
Erforsche die Konzepte von Extremstellen, Wendepunkten und deren Berechnung in Funktionen. Diese Zusammenfassung behandelt die Ableitungen, Monotonie, Wendetangenten und die Vorgehensweise zur Bestimmung von Funktionsgleichungen. Ideal für Studierende, die sich auf Prüfungen vorbereiten oder ihre Kenntnisse in der Differentialrechnung vertiefen möchten.
Graphentransformation und Ableitungen
Entdecken Sie die Grundlagen der Graphentransformationen, einschließlich Verschiebungen, Spiegelungen und Stauchungen. Lernen Sie die Ableitungsregeln, die Berechnung von Extrempunkten und Wendepunkten sowie die Anwendung von Sekanten und Tangenten. Diese Zusammenfassung bietet eine klare Übersicht über die wichtigsten Konzepte der Analysis, ideal für Studierende der Mathematik.
Wendepunkte Berechnung
Erfahren Sie, wie man Wendepunkte einer Funktion bestimmt. Diese Zusammenfassung behandelt die Ableitungen, das Krümmungsverhalten und die notwendigen Bedingungen zur Berechnung von Wendepunkten. Ideal für Studierende, die sich auf Mathematikprüfungen vorbereiten.
Beliebtester Inhalt in Mathe
9ZP10 Mathe Zusammenfassung NRW
Lernzettel für die ZP10 Mathe in NRW mit allen Themen außer Sinusfunktionen.
Mathe ZP10 Zusammenfassung NRW
Zusammenfassung der Mathethemwn für die ZP10 NRW + Formelsammlung
Mathematik Themenübersicht ZP 2024
Umfassende Zusammenfassung aller relevanten Mathematikthemen für die zentrale Prüfung 2024. Behandelt werden unter anderem Exponentialgleichungen, Prozentrechnung, Zinsrechnung, geometrische Berechnungen und statistische Grundlagen. Ideal für Schüler zur gezielten Vorbereitung auf die Abschlussprüfung.
Prüfungsvorbereitung MSA Klasse 10
Zusammenfassung Mathe für den MSA Klasse 10
Mathematik ZP10 Zusammenfassung
Umfassende Zusammenfassung für die Mathematikprüfung ZP10 am Gymnasium. Behandelt zentrale Themen wie Stochastik, quadratische und exponentielle Funktionen, Geometrie, und Zinsrechnung. Ideal zur Vorbereitung auf Prüfungen und zur Vertiefung mathematischer Konzepte.
Analysis: Funktionsscharen & Ableitungen
Dieser Lernzettel bietet eine umfassende Übersicht über zentrale Themen der Analysis, einschließlich Funktionsscharen, Ableitungen, Extrempunkte, Integrale und e-Funktionen. Ideal für die Vorbereitung auf das Abitur im Mathematik Grundkurs. Verstehe die Konzepte und deren Anwendungen mit klaren Beispielen und Schritt-für-Schritt-Anleitungen.
Lernzettel ZP 10 Mathe
Lernzettel von der ZP 10
Mathe-Abitur 2024: Stochastik & Vektoren
Umfassende Lernressourcen für das Mathe-Abitur 2024 im Leistungskurs NRW. Themen: Hypothesentests, Binomialverteilung, Vektorrechnung (Lagebeziehungen, Abstände, Spiegelung), Analysis (Funktionstypen, Integralrechnung, Extremwertaufgaben) und mehr. Ideal zur Vorbereitung auf Prüfungen und zur Vertiefung mathematischer Konzepte.
Alles was du für die ZP10 können musst! (VOLLSTÄNDIG) für Gymnasium und Realschule
Die Mathe ZP ist machbar. Durch die große Anzahl an Themen die dran kommen könnten, verliert man schnell den Überblick. Also habe ich von den kleinsten Themen bis hin zu den größten alles zusammengefasst <3.
Beliebtester Inhalt
9Der zerbrochene Krug
Szenenzusammenfassunfen, Figurenkonstellationen, Aufbau des Stücks, Sprache und Stilbesonderheiten, Aussageabsicht, Thematik, Interpretation
Der zerbrochene Krug von Heinrich von Kleist
Hier steht so ziemlich alles drinnen von Zusammenfassungen der einzelnen Auftritte bis hin zu den einzelnen Perosn und noch einiges mehr
Der zerbrochne Krug
Ausführliche Lernzettel zu: Basisdaten, Handlung, ausführliche Zusammenfassungen der Auftritte, zentrale Themen, Symbolische Bedeutung, Merkmale der Komödie
Heimsuchung_JennyErpenbeck_Abitur
Zusammenfassungen für jedes Kapitel, Analysen und Zitate
Der zerbrochene Krug: Analyse
Diese umfassende Analyse von 'Der zerbrochene Krug' von Heinrich von Kleist bietet eine detaillierte Kapitelzusammenfassung, Charakterisierungen, historische Kontexte, sowie den Aufbau und die sprachlichen Merkmale des Dramas. Ideal für Studierende, die sich auf Prüfungen vorbereiten oder tiefere Einblicke in Kleists Werk gewinnen möchten.
Abilernzettel Heimsuchung 2025
Figurenkonstellation, Kapitel Zusammenfassung, Charaktere, Motive, Deutungsansätze,
Englisch LK Abitur 2025
Komplette Englisch LK Abi Zusammenfassung 2025
Heimsuchung - Jenny Erpenbeck
Inhalt, Entstehung und Quellen, Figuren, Geschichtliche Hintergründe, Motive, Erzählstruktur/- stil
ZP10 Mathe Zusammenfassung NRW
Lernzettel für die ZP10 Mathe in NRW mit allen Themen außer Sinusfunktionen.
Findest du nicht, was du suchst? Entdecke andere Fächer.
Schüler lieben uns — und du auch.
Die App ist sehr einfach zu bedienen und gut gestaltet. Ich habe bisher alles gefunden, wonach ich gesucht habe, und konnte viel aus den Präsentationen lernen! Ich werde die App definitiv für ein Schulprojekt nutzen! Und natürlich hilft sie auch sehr als Inspiration.
Diese App ist wirklich super. Es gibt so viele Lernzettel und Hilfen [...]. Mein Problemfach ist zum Beispiel Französisch und die App hat so viele Möglichkeiten zur Hilfe. Dank dieser App habe ich mich in Französisch verbessert. Ich würde sie jedem empfehlen.
Wow, ich bin wirklich begeistert. Ich habe die App einfach mal ausprobiert, weil ich sie schon oft beworben gesehen habe und war absolut beeindruckt. Diese App ist DIE HILFE, die man für die Schule braucht und vor allem bietet sie so viele Dinge wie Übungen und Lernzettel, die mir persönlich SEHR geholfen haben.
Analysis
Grenzwerte und Stetigkeit, Differential- und Integralrechung Zusammenfassung mit Beispielen und GTR Befehlen für CASIO

Melde dich an, um den Inhalt zu sehen. Kostenlos!
- Zugriff auf alle Dokumente
- Verbessere deine Noten
- Schließ dich Millionen Schülern an

Melde dich an, um den Inhalt zu sehen. Kostenlos!
- Zugriff auf alle Dokumente
- Verbessere deine Noten
- Schließ dich Millionen Schülern an

Melde dich an, um den Inhalt zu sehen. Kostenlos!
- Zugriff auf alle Dokumente
- Verbessere deine Noten
- Schließ dich Millionen Schülern an

Melde dich an, um den Inhalt zu sehen. Kostenlos!
- Zugriff auf alle Dokumente
- Verbessere deine Noten
- Schließ dich Millionen Schülern an

Melde dich an, um den Inhalt zu sehen. Kostenlos!
- Zugriff auf alle Dokumente
- Verbessere deine Noten
- Schließ dich Millionen Schülern an

Melde dich an, um den Inhalt zu sehen. Kostenlos!
- Zugriff auf alle Dokumente
- Verbessere deine Noten
- Schließ dich Millionen Schülern an

Melde dich an, um den Inhalt zu sehen. Kostenlos!
- Zugriff auf alle Dokumente
- Verbessere deine Noten
- Schließ dich Millionen Schülern an
Wir dachten schon, du fragst nie...
Was ist der Knowunity KI-Begleiter?
Unser KI-Begleiter ist ein speziell für Schüler entwickeltes KI-Tool, das mehr als nur Antworten bietet. Basierend auf Millionen von Knowunity-Inhalten liefert er relevante Informationen, personalisierte Lernpläne, Quizze und Inhalte direkt im Chat und passt sich deinem individuellen Lernweg an.
Wo kann ich die Knowunity-App herunterladen?
Du kannst die App im Google Play Store und im Apple App Store herunterladen.
Ist Knowunity wirklich kostenlos?
Genau! Genieße kostenlosen Zugang zu Lerninhalten, vernetze dich mit anderen Schülern und hol dir sofortige Hilfe – alles direkt auf deinem Handy.
Ähnlicher Inhalt
Beliebtester Inhalt: Kritische Punkte
9Mathe Abi: Lernstrategien
Entdecke effektive Lernstrategien und wichtige Konzepte für das Mathe-Abitur. Diese Zusammenstellung umfasst Themen wie Funktionen, Vektoren, Ableitungen, Wahrscheinlichkeitsrechnung und mehr. Ideal für die Vorbereitung auf die mündliche Prüfung. Verstehe die Grundlagen und wende sie in praktischen Beispielen an.
Mathematik für Wirtschaft: Analysis & Stochastik
Entdecken Sie die Grundlagen der Mathematik für Wirtschaft und Verwaltung mit Fokus auf Analysis (Extremstellen, Wendepunkte, Integrale) und Stochastik (Standardabweichung, Varianz, Bernoulli-Formel). Diese Zusammenfassung bietet eine klare Übersicht über wichtige Konzepte und deren Anwendungen in der Wirtschaft. Ideal für Abiturienten und Studierende der Wirtschaftswissenschaften.
Kurvendiskussion: Wendepunkte & Sattelpunkte
Entdecken Sie die wesentlichen Schritte zur Durchführung einer Kurvendiskussion, einschließlich der Bestimmung von Wendepunkten und Sattelpunkten. Diese Formelsammlung bietet klare Anleitungen zur Ableitung, Nullstellenbestimmung und Analyse des Krümmungsverhaltens von Funktionen. Ideal für Studierende, die ihre Kenntnisse in der Differentialrechnung vertiefen möchten.
Analysis für das Abitur
Umfassende Zusammenfassung der Analysis für das Abitur 2022. Behandelt Themen wie Integralrechnung, Ableitungen, Exponential- und Logarithmusfunktionen, Flächenberechnung zwischen Graphen und mehr. Ideal für die Prüfungsvorbereitung.
Analyse von Funktionsscharen
Erforschen Sie die Konzepte von Funktionsscharen, einschließlich der Definition, Kurvendiskussion, Ortskurven und der Bestimmung gemeinsamer Punkte. Diese Zusammenfassung bietet eine klare Anleitung zur Analyse von Extrempunkten und Wendepunkten in Funktionsscharen. Ideal für Studierende der Mathematik, die ihre Kenntnisse in der Differentialrechnung vertiefen möchten.
Mathematik Abi 2022: Schlüsselkonzepte
Entdecken Sie alle wichtigen Themen für das Mathematik-Abitur 2022, einschließlich Analysis, Vektorielle Geometrie, Stochastik und mehr. Diese Zusammenfassung bietet klare Erklärungen zu Hypothesentests, Integrationsmethoden, Abstandsberechnungen und den Grundlagen der Wahrscheinlichkeitstheorie. Ideal für die Prüfungsvorbereitung!
Extremstellen und Wendepunkte
Erforsche die Konzepte von Extremstellen, Wendepunkten und deren Berechnung in Funktionen. Diese Zusammenfassung behandelt die Ableitungen, Monotonie, Wendetangenten und die Vorgehensweise zur Bestimmung von Funktionsgleichungen. Ideal für Studierende, die sich auf Prüfungen vorbereiten oder ihre Kenntnisse in der Differentialrechnung vertiefen möchten.
Graphentransformation und Ableitungen
Entdecken Sie die Grundlagen der Graphentransformationen, einschließlich Verschiebungen, Spiegelungen und Stauchungen. Lernen Sie die Ableitungsregeln, die Berechnung von Extrempunkten und Wendepunkten sowie die Anwendung von Sekanten und Tangenten. Diese Zusammenfassung bietet eine klare Übersicht über die wichtigsten Konzepte der Analysis, ideal für Studierende der Mathematik.
Wendepunkte Berechnung
Erfahren Sie, wie man Wendepunkte einer Funktion bestimmt. Diese Zusammenfassung behandelt die Ableitungen, das Krümmungsverhalten und die notwendigen Bedingungen zur Berechnung von Wendepunkten. Ideal für Studierende, die sich auf Mathematikprüfungen vorbereiten.
Beliebtester Inhalt in Mathe
9ZP10 Mathe Zusammenfassung NRW
Lernzettel für die ZP10 Mathe in NRW mit allen Themen außer Sinusfunktionen.
Mathe ZP10 Zusammenfassung NRW
Zusammenfassung der Mathethemwn für die ZP10 NRW + Formelsammlung
Mathematik Themenübersicht ZP 2024
Umfassende Zusammenfassung aller relevanten Mathematikthemen für die zentrale Prüfung 2024. Behandelt werden unter anderem Exponentialgleichungen, Prozentrechnung, Zinsrechnung, geometrische Berechnungen und statistische Grundlagen. Ideal für Schüler zur gezielten Vorbereitung auf die Abschlussprüfung.
Prüfungsvorbereitung MSA Klasse 10
Zusammenfassung Mathe für den MSA Klasse 10
Mathematik ZP10 Zusammenfassung
Umfassende Zusammenfassung für die Mathematikprüfung ZP10 am Gymnasium. Behandelt zentrale Themen wie Stochastik, quadratische und exponentielle Funktionen, Geometrie, und Zinsrechnung. Ideal zur Vorbereitung auf Prüfungen und zur Vertiefung mathematischer Konzepte.
Analysis: Funktionsscharen & Ableitungen
Dieser Lernzettel bietet eine umfassende Übersicht über zentrale Themen der Analysis, einschließlich Funktionsscharen, Ableitungen, Extrempunkte, Integrale und e-Funktionen. Ideal für die Vorbereitung auf das Abitur im Mathematik Grundkurs. Verstehe die Konzepte und deren Anwendungen mit klaren Beispielen und Schritt-für-Schritt-Anleitungen.
Lernzettel ZP 10 Mathe
Lernzettel von der ZP 10
Mathe-Abitur 2024: Stochastik & Vektoren
Umfassende Lernressourcen für das Mathe-Abitur 2024 im Leistungskurs NRW. Themen: Hypothesentests, Binomialverteilung, Vektorrechnung (Lagebeziehungen, Abstände, Spiegelung), Analysis (Funktionstypen, Integralrechnung, Extremwertaufgaben) und mehr. Ideal zur Vorbereitung auf Prüfungen und zur Vertiefung mathematischer Konzepte.
Alles was du für die ZP10 können musst! (VOLLSTÄNDIG) für Gymnasium und Realschule
Die Mathe ZP ist machbar. Durch die große Anzahl an Themen die dran kommen könnten, verliert man schnell den Überblick. Also habe ich von den kleinsten Themen bis hin zu den größten alles zusammengefasst <3.
Beliebtester Inhalt
9Der zerbrochene Krug
Szenenzusammenfassunfen, Figurenkonstellationen, Aufbau des Stücks, Sprache und Stilbesonderheiten, Aussageabsicht, Thematik, Interpretation
Der zerbrochene Krug von Heinrich von Kleist
Hier steht so ziemlich alles drinnen von Zusammenfassungen der einzelnen Auftritte bis hin zu den einzelnen Perosn und noch einiges mehr
Der zerbrochne Krug
Ausführliche Lernzettel zu: Basisdaten, Handlung, ausführliche Zusammenfassungen der Auftritte, zentrale Themen, Symbolische Bedeutung, Merkmale der Komödie
Heimsuchung_JennyErpenbeck_Abitur
Zusammenfassungen für jedes Kapitel, Analysen und Zitate
Der zerbrochene Krug: Analyse
Diese umfassende Analyse von 'Der zerbrochene Krug' von Heinrich von Kleist bietet eine detaillierte Kapitelzusammenfassung, Charakterisierungen, historische Kontexte, sowie den Aufbau und die sprachlichen Merkmale des Dramas. Ideal für Studierende, die sich auf Prüfungen vorbereiten oder tiefere Einblicke in Kleists Werk gewinnen möchten.
Abilernzettel Heimsuchung 2025
Figurenkonstellation, Kapitel Zusammenfassung, Charaktere, Motive, Deutungsansätze,
Englisch LK Abitur 2025
Komplette Englisch LK Abi Zusammenfassung 2025
Heimsuchung - Jenny Erpenbeck
Inhalt, Entstehung und Quellen, Figuren, Geschichtliche Hintergründe, Motive, Erzählstruktur/- stil
ZP10 Mathe Zusammenfassung NRW
Lernzettel für die ZP10 Mathe in NRW mit allen Themen außer Sinusfunktionen.
Findest du nicht, was du suchst? Entdecke andere Fächer.
Schüler lieben uns — und du auch.
Die App ist sehr einfach zu bedienen und gut gestaltet. Ich habe bisher alles gefunden, wonach ich gesucht habe, und konnte viel aus den Präsentationen lernen! Ich werde die App definitiv für ein Schulprojekt nutzen! Und natürlich hilft sie auch sehr als Inspiration.
Diese App ist wirklich super. Es gibt so viele Lernzettel und Hilfen [...]. Mein Problemfach ist zum Beispiel Französisch und die App hat so viele Möglichkeiten zur Hilfe. Dank dieser App habe ich mich in Französisch verbessert. Ich würde sie jedem empfehlen.
Wow, ich bin wirklich begeistert. Ich habe die App einfach mal ausprobiert, weil ich sie schon oft beworben gesehen habe und war absolut beeindruckt. Diese App ist DIE HILFE, die man für die Schule braucht und vor allem bietet sie so viele Dinge wie Übungen und Lernzettel, die mir persönlich SEHR geholfen haben.