Lösungen zum Lambacher Schweizer Mathebuch für die Qualifikationsphase NRW
60
Teilen
Speichern
Herunterladen
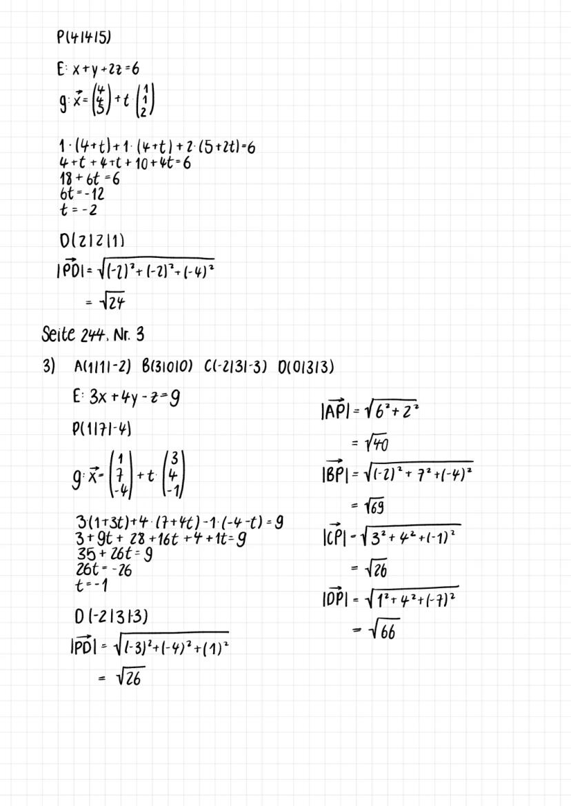
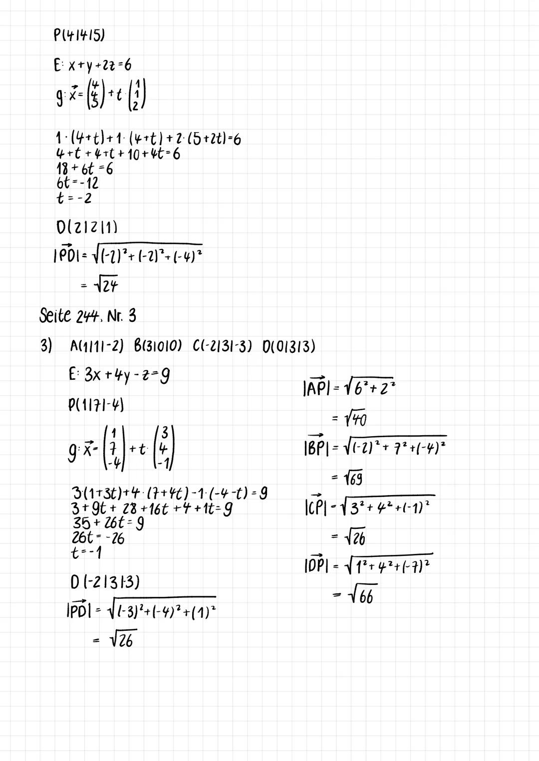
S. 244, 3, 5, 1a S. 245, 6, 7, 10

28
gemischt quadratische Gleichungen
quadratische Ergänzung und Satz vom Nullprodukt

85
Lineare und quadratische Funktionen
Lineare Funktionen, quadratische Funktionen, PQ Formel, Lineare Gleeichungssysteme 9.Klasse bzw. Wdh am Anfang der E-Phase

15
Nullstellen von ganzrationalen Funktionen
- Satz vom Nullprodukt - Nullstellenbestimmung - Polynomdivision

14
lineare Gleichungen, Bruchgleichungen, Definitionsmengen, Anordnung, Ungleichungen, Betrag
~ lineare Gleichungen ~ Bruchgleichungen und Definitionsmengen ~ Anordnung und Ungleichungen • lösen von Ungleichungen • geometrische Interpretation ~ Betrag und Ungleichungen • Rechenregeln • Fälle

28
Satz vom Nullprodukt
Das ist eine Erklärung zum Satz vom Nullprodukt + Beispiele

8
Polynomgleichungen
Lösungsmöglichkeiten: Satz von Vieta, Satz vom Nullprodukt, Ausklammern, Mitternachtsformel, Substitution und Polynomdivision Werte- und Definitionsbereich von Polynomgleichungen
Lösungen zum Lambacher Schweizer Mathebuch für die Qualifikationsphase NRW
60
Teilen
Speichern
Herunterladen
S. 244, 3, 5, 1a S. 245, 6, 7, 10