Shakespeare'ssonnets represent some of the most profound and influential... Mehr anzeigen
Melde dich an, um den Inhalt zu sehenKostenlos!
Zugriff auf alle Dokumente
Verbessere deine Noten
Schließ dich Millionen Schülern an
Knowunity KI
Fächer
Triangle Congruence and Similarity Theorems
Triangle Properties and Classification
Linear Equations and Graphs
Geometric Angle Relationships
Trigonometric Functions and Identities
Equation Solving Techniques
Circle Geometry Fundamentals
Division Operations and Methods
Basic Differentiation Rules
Exponent and Logarithm Properties
Alle Themen anzeigen
Human Organ Systems
Reproductive Cell Cycles
Biological Sciences Subdisciplines
Cellular Energy Metabolism
Autotrophic Energy Processes
Inheritance Patterns and Principles
Biomolecular Structure and Organization
Cell Cycle and Division Mechanics
Cellular Organization and Development
Biological Structural Organization
Alle Themen anzeigen
Chemical Sciences and Applications
Atomic Structure and Composition
Molecular Electron Structure Representation
Atomic Electron Behavior
Matter Properties and Water
Mole Concept and Calculations
Gas Laws and Behavior
Periodic Table Organization
Chemical Thermodynamics Fundamentals
Chemical Bond Types and Properties
Alle Themen anzeigen
European Renaissance and Enlightenment
European Cultural Movements 800-1920
American Revolution Era 1763-1797
American Civil War 1861-1865
Global Imperial Systems
Mongol and Chinese Dynasties
U.S. Presidents and World Leaders
Historical Sources and Documentation
World Wars Era and Impact
World Religious Systems
Alle Themen anzeigen
Classic and Contemporary Novels
Literary Character Analysis
Rhetorical Theory and Practice
Classic Literary Narratives
Reading Analysis and Interpretation
Narrative Structure and Techniques
English Language Components
Influential English-Language Authors
Basic Sentence Structure
Narrative Voice and Perspective
Alle Themen anzeigen
10,585
•
Aktualisiert Apr 16, 2026
•
Amy T
@amy_trie
Shakespeare'ssonnets represent some of the most profound and influential... Mehr anzeigen











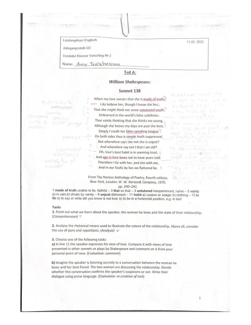
Shakespeare's Sonnet 138 presents a complex exploration of love, deception, and mutual understanding between lovers. This masterful piece from the Shakespeare Sonnets collection reveals intricate layers of meaning through its careful examination of a relationship built on reciprocal dishonesty.
Definition: Sonnet 138, published in 1609, explores the theme of mutual deception in love, where both lovers consciously choose to believe each other's lies for the sake of maintaining their relationship.
The speaker in the sonnet acknowledges a peculiar dynamic with his lover - they both engage in conscious deception. The woman claims to be truthful while lying, and the speaker pretends to believe her despite knowing better. This creates a fascinating paradox where both parties suppress truth in favor of maintaining their romantic illusion.
The sonnet employs several stylistic devices to convey its message. Shakespeare uses wordplay particularly effectively, especially with the double meaning of "lie" in the final couplet - referring both to speaking falsehoods and lying in bed together. This clever use of language reinforces the theme of deception while adding layers of meaning to the text.
Example: The line "Therefore I lie with her, and she with me" demonstrates Shakespeare's masterful use of puns, where "lie" refers to both physical intimacy and mutual deception.

The complexity of Shakespeare's works often lies in their historical context and modern relevance. His sonnets, particularly those dealing with love and deception, reflect both Renaissance attitudes and timeless human experiences.
Highlight: Shakespeare's sonnets often challenge conventional romantic ideals, presenting instead complex relationships that mirror real human experiences and imperfections.
In Sonnet 138, the theme of age and youth plays a crucial role. The speaker's awareness of being "past the best" of his years, combined with his lover's pretense of seeing him as an "untutored youth," creates a poignant commentary on age and romance in Elizabethan society.
The sonnet's exploration of mutual deception as a foundation for relationship stability presents a surprisingly modern view of love. Rather than condemning the lies, Shakespeare presents them as a practical compromise that allows the relationship to function, challenging idealistic notions of perfect honesty in love.

When conducting a Shakespeare sonnet Analysis, several key elements deserve attention. The structure follows the traditional English sonnet form with three quatrains and a concluding couplet, each serving distinct purposes in developing the theme.
Vocabulary: Key literary devices in Sonnet 138 include:
The analysis should consider how these devices work together to create meaning. For example, the antithesis between truth and lies runs throughout the sonnet, while paradoxes emerge in how lies actually serve to strengthen the relationship rather than destroy it.
Understanding the biographical context can enhance analysis, though it shouldn't overshadow the universal themes. Shakespeare wrote this during the later period of his sonnet-writing, when themes of deception and complicated love became more prominent.

For students studying Shakespeare sonnet Analysis examples, Sonnet 138 offers an excellent model for understanding how to approach literary analysis. The sonnet demonstrates key elements that appear throughout Shakespeare's works.
Quote: "When my love swears that she is made of truth, / I do believe her, though I know she lies" - These opening lines immediately establish the central conflict and irony that drives the entire sonnet.
Begin analysis by identifying the main theme (mutual deception in love), then examine how literary devices support this theme. Pay attention to how each quatrain develops the argument, leading to the resolution in the final couplet.
Consider how the sonnet relates to modern relationships and human nature. The themes of age anxiety, mutual deception, and compromise in relationships remain relevant today, making this sonnet particularly accessible for contemporary analysis.

Shakespeare's Sonnet 138 masterfully explores the complex dynamics of a relationship built on mutual deception. This Sonnet Analysis example reveals intricate layers of meaning through its careful structure and literary devices.
The sonnet follows the traditional Elizabethan structure with fourteen lines divided into three quatrains and a concluding couplet. Each quatrain employs cross rhymes (ABAB pattern), while the final couplet features a pair rhyme (GG). The entire piece maintains iambic pentameter, creating a rhythmic flow that enhances its emotional impact.
Definition: Iambic pentameter consists of five pairs of unstressed/stressed syllables per line, creating the characteristic rhythm of Shakespeare's sonnets.
The poem's structural elements work together to develop its theme of mutual deception. Period marks strategically placed after each quatrain signal shifts in perspective, while colons emphasize the consequences of choosing lies over truth. This careful punctuation guides readers through the speaker's evolving thoughts about his relationship.
Highlight: The sonnet employs multiple antitheses (contrasting ideas) to emphasize the absurdity of the lovers' situation. Key examples include "I do believe her, though I know she lies" and "she thinks me young, though my days are past the best."

The sonnet's power lies in its masterful use of literary devices, particularly antithesis and metaphor. These stylistic devices create layers of meaning that illuminate the complex nature of love and deception.
Throughout the quatrains, Shakespeare employs antithesis to highlight the paradoxical nature of the relationship. The contrast between truth and lies becomes increasingly pronounced, culminating in the famous line "Oh, love's best habit is in seeming trust." This device reveals how the speakers knowingly participate in their mutual deception.
Example: The metaphor "vainly thinking that she thinks me young" demonstrates how self-deception becomes a comfort in the relationship, even as both parties recognize its falsity.
The poem's comparisons and metaphors work together to create a sophisticated commentary on love and truth. The speaker's beloved is initially presented through positive imagery, making the revelation of her deception more impactful. The simile comparing the speaker to an "untutored youth" adds ironic complexity to the narrative.

This Shakespeare sonnet Analysis reveals deep insights into human relationships and the compromises we make for love. The poem explores how lovers might choose comfortable lies over uncomfortable truths.
The progression through the quatrains shows an evolving understanding of deception in love. Starting with simple acknowledgment of lies, moving through mutual deception, and finally arriving at a kind of resigned acceptance, the poem charts a complex emotional journey.
Quote: "Therefore I lie with her, and she with me, / And in our faults by lies we flattered be."
The final couplet presents a darkly humorous resolution: both lovers find comfort in their mutual deception. This conclusion suggests that sometimes relationships survive not despite lies but because of them, presenting a surprisingly modern view of romantic compromise.

Understanding the historical context of Shakespeare Sonette Liebe enhances our appreciation of its themes. Written during the Elizabethan era, the sonnet reflects period attitudes toward love and marriage while presenting timeless insights into human nature.
The poem's exploration of age differences and social expectations remains relevant today. Its frank discussion of how couples navigate truth and deception in relationships speaks to modern readers dealing with similar challenges in their own lives.
Vocabulary: Key terms in the sonnet include "subtleties" (deceptions), "simple truth" (honest reality), and "seeming trust" (apparent faith in another's words).
The sonnet's enduring appeal lies in its honest portrayal of how lovers sometimes choose comfortable illusions over painful truths. This theme resonates across centuries, making the poem as relevant today as when it was first written.

Shakespeare's masterful use of personification in his sonnets creates vivid imagery that brings abstract concepts to life, particularly in his exploration of love and deception. In Sonnet 138, the poet employs sophisticated stylistic devices to convey the complex dynamics of a relationship built on mutual deception.
The sonnet's third quatrain presents two powerful personifications that illuminate the nature of love and trust. The first personification, "love's best habit is in seeming trust," transforms the abstract concept of love into a tangible entity with human habits and behaviors. This literary device emphasizes how trust, even when based on pretense, becomes a fundamental pattern in romantic relationships.
Age appears as the second personified element, portrayed as an active force that can directly impact romantic connections. This personification reflects the universal anxiety about time's effect on love, a theme that appears throughout Shakespeare's Sonnets. The poet's choice to give human qualities to these abstract concepts makes the emotional struggle more relatable and immediate for readers.
Definition: Personification is a literary device that attributes human characteristics to non-human things, ideas, or animals. In Shakespeare's sonnets, it serves to make abstract concepts more concrete and emotionally resonant.

The intricate interplay between truth and falsehood stands at the heart of many Shakespeare Sonette. The line "Simply I credit her false-speaking tongue" reveals the speaker's conscious choice to believe known lies, creating a complex psychological portrait of love's ability to compromise our commitment to truth.
This exploration of willing self-deception appears throughout Shakespeare's love sonnets, particularly in Sonnet 138 analysis, where the lovers engage in mutual pretense. The poet's use of "false-speaking tongue" creates a powerful image that embodies both the physical and moral dimensions of deception in love.
The tension between truth and falsehood in romantic relationships remains remarkably relevant to modern readers, demonstrating why Shakespeare Sonnets continue to resonate centuries after their composition. The poet's sophisticated treatment of these themes shows how love can lead us to accept, and even embrace, comfortable illusions over uncomfortable truths.
Highlight: The theme of willing self-deception in love appears frequently in Shakespeare's sonnets, suggesting that some degree of mutual pretense might be necessary for romantic relationships to endure.
Unser KI-Begleiter ist ein speziell für Schüler entwickeltes KI-Tool, das mehr als nur Antworten bietet. Basierend auf Millionen von Knowunity-Inhalten liefert er relevante Informationen, personalisierte Lernpläne, Quizze und Inhalte direkt im Chat und passt sich deinem individuellen Lernweg an.
Du kannst die App im Google Play Store und im Apple App Store herunterladen.
Genau! Genieße kostenlosen Zugang zu Lerninhalten, vernetze dich mit anderen Schülern und hol dir sofortige Hilfe – alles direkt auf deinem Handy.
App Store
Google Play
Die App ist sehr einfach zu bedienen und gut gestaltet. Ich habe bisher alles gefunden, wonach ich gesucht habe, und konnte viel aus den Präsentationen lernen! Ich werde die App definitiv für ein Schulprojekt nutzen! Und natürlich hilft sie auch sehr als Inspiration.
Stefan S
iOS-Nutzer
Diese App ist wirklich super. Es gibt so viele Lernzettel und Hilfen [...]. Mein Problemfach ist zum Beispiel Französisch und die App hat so viele Möglichkeiten zur Hilfe. Dank dieser App habe ich mich in Französisch verbessert. Ich würde sie jedem empfehlen.
Samantha Klich
Android-Nutzerin
Wow, ich bin wirklich begeistert. Ich habe die App einfach mal ausprobiert, weil ich sie schon oft beworben gesehen habe und war absolut beeindruckt. Diese App ist DIE HILFE, die man für die Schule braucht und vor allem bietet sie so viele Dinge wie Übungen und Lernzettel, die mir persönlich SEHR geholfen haben.
Anna
iOS-Nutzerin
Beste App der Welt! Keine Worte, weil sie einfach zu gut ist
Thomas R
iOS-Nutzer
Einfach genial. Lässt mich 10x besser lernen, diese App ist eine glatte 10/10. Ich empfehle sie jedem. Ich kann Lernzettel anschauen und suchen. Ich kann sie im Fachordner speichern. Ich kann sie jederzeit wiederholen, wenn ich zurückkomme. Wenn du diese App noch nicht ausprobiert hast, verpasst du wirklich was.
Basil
Android-Nutzer
Diese App hat mich so viel selbstbewusster in meiner Klausurvorbereitung gemacht, nicht nur durch die Stärkung meines Selbstvertrauens durch die Features, die es dir ermöglichen, dich mit anderen zu vernetzen und dich weniger allein zu fühlen, sondern auch durch die Art, wie die App selbst darauf ausgerichtet ist, dass du dich besser fühlst. Sie ist einfach zu bedienen, macht Spaß und hilft jedem, der in irgendeiner Weise Schwierigkeiten hat.
David K
iOS-Nutzer
Die App ist einfach super! Ich muss nur das Thema in die Suche eingeben und bekomme sofort eine Antwort. Ich muss nicht mehr 10 YouTube-Videos schauen, um etwas zu verstehen, und spare dadurch richtig viel Zeit. Sehr empfehlenswert!
Sudenaz Ocak
Android-Nutzerin
In der Schule war ich echt schlecht in Mathe, aber dank der App bin ich jetzt besser geworden. Ich bin so dankbar, dass ihr die App gemacht habt.
Greenlight Bonnie
Android-Nutzerin
sehr zuverlässige App, um deine Ideen in Mathe, Englisch und anderen verwandten Themen zu verbessern. bitte nutze diese App, wenn du in bestimmten Bereichen Schwierigkeiten hast, diese App ist dafür der Schlüssel. wünschte, ich hätte früher eine Bewertung geschrieben. und sie ist auch kostenlos, also mach dir darüber keine Sorgen.
Rohan U
Android-Nutzer
Ich weiß, dass viele Apps gefälschte Accounts nutzen, um ihre Bewertungen zu pushen, aber diese App verdient das alles. Ursprünglich hatte ich eine 4 in meinen Englisch-Klausuren und dieses Mal habe ich eine 2 bekommen. Ich wusste erst drei Tage vor der Klausur von dieser App und sie hat mir SEHR geholfen. Bitte vertrau mir wirklich und nutze sie, denn ich bin sicher, dass auch du Fortschritte sehen wirst.
Xander S
iOS-Nutzer
DIE QUIZZE UND KARTEIKARTEN SIND SO NÜTZLICH UND ICH LIEBE Knowunity KI. ES IST AUCH BUCHSTÄBLICH WIE CHATGPT ABER SCHLAUER!! HAT MIR AUCH BEI MEINEN MASCARA-PROBLEMEN GEHOLFEN!! SOWIE BEI MEINEN ECHTEN FÄCHERN! NATÜRLICH 😍😁😲🤑💗✨🎀😮
Elisha
iOS-Nutzer
Diese App ist echt der Hammer. Ich finde Lernen so langweilig, aber diese App macht es so einfach, alles zu organisieren und dann kannst du die kostenlose KI bitten, dich abzufragen, so gut, und du kannst einfach deine eigenen Sachen hochladen. sehr empfehlenswert als jemand, der gerade Probeklausuren schreibt
Paul T
iOS-Nutzer
Die App ist sehr einfach zu bedienen und gut gestaltet. Ich habe bisher alles gefunden, wonach ich gesucht habe, und konnte viel aus den Präsentationen lernen! Ich werde die App definitiv für ein Schulprojekt nutzen! Und natürlich hilft sie auch sehr als Inspiration.
Stefan S
iOS-Nutzer
Diese App ist wirklich super. Es gibt so viele Lernzettel und Hilfen [...]. Mein Problemfach ist zum Beispiel Französisch und die App hat so viele Möglichkeiten zur Hilfe. Dank dieser App habe ich mich in Französisch verbessert. Ich würde sie jedem empfehlen.
Samantha Klich
Android-Nutzerin
Wow, ich bin wirklich begeistert. Ich habe die App einfach mal ausprobiert, weil ich sie schon oft beworben gesehen habe und war absolut beeindruckt. Diese App ist DIE HILFE, die man für die Schule braucht und vor allem bietet sie so viele Dinge wie Übungen und Lernzettel, die mir persönlich SEHR geholfen haben.
Anna
iOS-Nutzerin
Beste App der Welt! Keine Worte, weil sie einfach zu gut ist
Thomas R
iOS-Nutzer
Einfach genial. Lässt mich 10x besser lernen, diese App ist eine glatte 10/10. Ich empfehle sie jedem. Ich kann Lernzettel anschauen und suchen. Ich kann sie im Fachordner speichern. Ich kann sie jederzeit wiederholen, wenn ich zurückkomme. Wenn du diese App noch nicht ausprobiert hast, verpasst du wirklich was.
Basil
Android-Nutzer
Diese App hat mich so viel selbstbewusster in meiner Klausurvorbereitung gemacht, nicht nur durch die Stärkung meines Selbstvertrauens durch die Features, die es dir ermöglichen, dich mit anderen zu vernetzen und dich weniger allein zu fühlen, sondern auch durch die Art, wie die App selbst darauf ausgerichtet ist, dass du dich besser fühlst. Sie ist einfach zu bedienen, macht Spaß und hilft jedem, der in irgendeiner Weise Schwierigkeiten hat.
David K
iOS-Nutzer
Die App ist einfach super! Ich muss nur das Thema in die Suche eingeben und bekomme sofort eine Antwort. Ich muss nicht mehr 10 YouTube-Videos schauen, um etwas zu verstehen, und spare dadurch richtig viel Zeit. Sehr empfehlenswert!
Sudenaz Ocak
Android-Nutzerin
In der Schule war ich echt schlecht in Mathe, aber dank der App bin ich jetzt besser geworden. Ich bin so dankbar, dass ihr die App gemacht habt.
Greenlight Bonnie
Android-Nutzerin
sehr zuverlässige App, um deine Ideen in Mathe, Englisch und anderen verwandten Themen zu verbessern. bitte nutze diese App, wenn du in bestimmten Bereichen Schwierigkeiten hast, diese App ist dafür der Schlüssel. wünschte, ich hätte früher eine Bewertung geschrieben. und sie ist auch kostenlos, also mach dir darüber keine Sorgen.
Rohan U
Android-Nutzer
Ich weiß, dass viele Apps gefälschte Accounts nutzen, um ihre Bewertungen zu pushen, aber diese App verdient das alles. Ursprünglich hatte ich eine 4 in meinen Englisch-Klausuren und dieses Mal habe ich eine 2 bekommen. Ich wusste erst drei Tage vor der Klausur von dieser App und sie hat mir SEHR geholfen. Bitte vertrau mir wirklich und nutze sie, denn ich bin sicher, dass auch du Fortschritte sehen wirst.
Xander S
iOS-Nutzer
DIE QUIZZE UND KARTEIKARTEN SIND SO NÜTZLICH UND ICH LIEBE Knowunity KI. ES IST AUCH BUCHSTÄBLICH WIE CHATGPT ABER SCHLAUER!! HAT MIR AUCH BEI MEINEN MASCARA-PROBLEMEN GEHOLFEN!! SOWIE BEI MEINEN ECHTEN FÄCHERN! NATÜRLICH 😍😁😲🤑💗✨🎀😮
Elisha
iOS-Nutzer
Diese App ist echt der Hammer. Ich finde Lernen so langweilig, aber diese App macht es so einfach, alles zu organisieren und dann kannst du die kostenlose KI bitten, dich abzufragen, so gut, und du kannst einfach deine eigenen Sachen hochladen. sehr empfehlenswert als jemand, der gerade Probeklausuren schreibt
Paul T
iOS-Nutzer
Amy T
@amy_trie
Shakespeare's sonnets represent some of the most profound and influential poetry in English literature, with complex themes of love, beauty, time, and human nature.
The most widely studied sonnets showcase Shakespeare's masterful command of language and metaphor. In Sonnet 18... Mehr anzeigen

Zugriff auf alle Dokumente
Verbessere deine Noten
Schließ dich Millionen Schülern an
Shakespeare's Sonnet 138 presents a complex exploration of love, deception, and mutual understanding between lovers. This masterful piece from the Shakespeare Sonnets collection reveals intricate layers of meaning through its careful examination of a relationship built on reciprocal dishonesty.
Definition: Sonnet 138, published in 1609, explores the theme of mutual deception in love, where both lovers consciously choose to believe each other's lies for the sake of maintaining their relationship.
The speaker in the sonnet acknowledges a peculiar dynamic with his lover - they both engage in conscious deception. The woman claims to be truthful while lying, and the speaker pretends to believe her despite knowing better. This creates a fascinating paradox where both parties suppress truth in favor of maintaining their romantic illusion.
The sonnet employs several stylistic devices to convey its message. Shakespeare uses wordplay particularly effectively, especially with the double meaning of "lie" in the final couplet - referring both to speaking falsehoods and lying in bed together. This clever use of language reinforces the theme of deception while adding layers of meaning to the text.
Example: The line "Therefore I lie with her, and she with me" demonstrates Shakespeare's masterful use of puns, where "lie" refers to both physical intimacy and mutual deception.

Zugriff auf alle Dokumente
Verbessere deine Noten
Schließ dich Millionen Schülern an
The complexity of Shakespeare's works often lies in their historical context and modern relevance. His sonnets, particularly those dealing with love and deception, reflect both Renaissance attitudes and timeless human experiences.
Highlight: Shakespeare's sonnets often challenge conventional romantic ideals, presenting instead complex relationships that mirror real human experiences and imperfections.
In Sonnet 138, the theme of age and youth plays a crucial role. The speaker's awareness of being "past the best" of his years, combined with his lover's pretense of seeing him as an "untutored youth," creates a poignant commentary on age and romance in Elizabethan society.
The sonnet's exploration of mutual deception as a foundation for relationship stability presents a surprisingly modern view of love. Rather than condemning the lies, Shakespeare presents them as a practical compromise that allows the relationship to function, challenging idealistic notions of perfect honesty in love.

Zugriff auf alle Dokumente
Verbessere deine Noten
Schließ dich Millionen Schülern an
When conducting a Shakespeare sonnet Analysis, several key elements deserve attention. The structure follows the traditional English sonnet form with three quatrains and a concluding couplet, each serving distinct purposes in developing the theme.
Vocabulary: Key literary devices in Sonnet 138 include:
The analysis should consider how these devices work together to create meaning. For example, the antithesis between truth and lies runs throughout the sonnet, while paradoxes emerge in how lies actually serve to strengthen the relationship rather than destroy it.
Understanding the biographical context can enhance analysis, though it shouldn't overshadow the universal themes. Shakespeare wrote this during the later period of his sonnet-writing, when themes of deception and complicated love became more prominent.

Zugriff auf alle Dokumente
Verbessere deine Noten
Schließ dich Millionen Schülern an
For students studying Shakespeare sonnet Analysis examples, Sonnet 138 offers an excellent model for understanding how to approach literary analysis. The sonnet demonstrates key elements that appear throughout Shakespeare's works.
Quote: "When my love swears that she is made of truth, / I do believe her, though I know she lies" - These opening lines immediately establish the central conflict and irony that drives the entire sonnet.
Begin analysis by identifying the main theme (mutual deception in love), then examine how literary devices support this theme. Pay attention to how each quatrain develops the argument, leading to the resolution in the final couplet.
Consider how the sonnet relates to modern relationships and human nature. The themes of age anxiety, mutual deception, and compromise in relationships remain relevant today, making this sonnet particularly accessible for contemporary analysis.

Zugriff auf alle Dokumente
Verbessere deine Noten
Schließ dich Millionen Schülern an
Shakespeare's Sonnet 138 masterfully explores the complex dynamics of a relationship built on mutual deception. This Sonnet Analysis example reveals intricate layers of meaning through its careful structure and literary devices.
The sonnet follows the traditional Elizabethan structure with fourteen lines divided into three quatrains and a concluding couplet. Each quatrain employs cross rhymes (ABAB pattern), while the final couplet features a pair rhyme (GG). The entire piece maintains iambic pentameter, creating a rhythmic flow that enhances its emotional impact.
Definition: Iambic pentameter consists of five pairs of unstressed/stressed syllables per line, creating the characteristic rhythm of Shakespeare's sonnets.
The poem's structural elements work together to develop its theme of mutual deception. Period marks strategically placed after each quatrain signal shifts in perspective, while colons emphasize the consequences of choosing lies over truth. This careful punctuation guides readers through the speaker's evolving thoughts about his relationship.
Highlight: The sonnet employs multiple antitheses (contrasting ideas) to emphasize the absurdity of the lovers' situation. Key examples include "I do believe her, though I know she lies" and "she thinks me young, though my days are past the best."

Zugriff auf alle Dokumente
Verbessere deine Noten
Schließ dich Millionen Schülern an
The sonnet's power lies in its masterful use of literary devices, particularly antithesis and metaphor. These stylistic devices create layers of meaning that illuminate the complex nature of love and deception.
Throughout the quatrains, Shakespeare employs antithesis to highlight the paradoxical nature of the relationship. The contrast between truth and lies becomes increasingly pronounced, culminating in the famous line "Oh, love's best habit is in seeming trust." This device reveals how the speakers knowingly participate in their mutual deception.
Example: The metaphor "vainly thinking that she thinks me young" demonstrates how self-deception becomes a comfort in the relationship, even as both parties recognize its falsity.
The poem's comparisons and metaphors work together to create a sophisticated commentary on love and truth. The speaker's beloved is initially presented through positive imagery, making the revelation of her deception more impactful. The simile comparing the speaker to an "untutored youth" adds ironic complexity to the narrative.

Zugriff auf alle Dokumente
Verbessere deine Noten
Schließ dich Millionen Schülern an
This Shakespeare sonnet Analysis reveals deep insights into human relationships and the compromises we make for love. The poem explores how lovers might choose comfortable lies over uncomfortable truths.
The progression through the quatrains shows an evolving understanding of deception in love. Starting with simple acknowledgment of lies, moving through mutual deception, and finally arriving at a kind of resigned acceptance, the poem charts a complex emotional journey.
Quote: "Therefore I lie with her, and she with me, / And in our faults by lies we flattered be."
The final couplet presents a darkly humorous resolution: both lovers find comfort in their mutual deception. This conclusion suggests that sometimes relationships survive not despite lies but because of them, presenting a surprisingly modern view of romantic compromise.

Zugriff auf alle Dokumente
Verbessere deine Noten
Schließ dich Millionen Schülern an
Understanding the historical context of Shakespeare Sonette Liebe enhances our appreciation of its themes. Written during the Elizabethan era, the sonnet reflects period attitudes toward love and marriage while presenting timeless insights into human nature.
The poem's exploration of age differences and social expectations remains relevant today. Its frank discussion of how couples navigate truth and deception in relationships speaks to modern readers dealing with similar challenges in their own lives.
Vocabulary: Key terms in the sonnet include "subtleties" (deceptions), "simple truth" (honest reality), and "seeming trust" (apparent faith in another's words).
The sonnet's enduring appeal lies in its honest portrayal of how lovers sometimes choose comfortable illusions over painful truths. This theme resonates across centuries, making the poem as relevant today as when it was first written.

Zugriff auf alle Dokumente
Verbessere deine Noten
Schließ dich Millionen Schülern an
Shakespeare's masterful use of personification in his sonnets creates vivid imagery that brings abstract concepts to life, particularly in his exploration of love and deception. In Sonnet 138, the poet employs sophisticated stylistic devices to convey the complex dynamics of a relationship built on mutual deception.
The sonnet's third quatrain presents two powerful personifications that illuminate the nature of love and trust. The first personification, "love's best habit is in seeming trust," transforms the abstract concept of love into a tangible entity with human habits and behaviors. This literary device emphasizes how trust, even when based on pretense, becomes a fundamental pattern in romantic relationships.
Age appears as the second personified element, portrayed as an active force that can directly impact romantic connections. This personification reflects the universal anxiety about time's effect on love, a theme that appears throughout Shakespeare's Sonnets. The poet's choice to give human qualities to these abstract concepts makes the emotional struggle more relatable and immediate for readers.
Definition: Personification is a literary device that attributes human characteristics to non-human things, ideas, or animals. In Shakespeare's sonnets, it serves to make abstract concepts more concrete and emotionally resonant.

Zugriff auf alle Dokumente
Verbessere deine Noten
Schließ dich Millionen Schülern an
The intricate interplay between truth and falsehood stands at the heart of many Shakespeare Sonette. The line "Simply I credit her false-speaking tongue" reveals the speaker's conscious choice to believe known lies, creating a complex psychological portrait of love's ability to compromise our commitment to truth.
This exploration of willing self-deception appears throughout Shakespeare's love sonnets, particularly in Sonnet 138 analysis, where the lovers engage in mutual pretense. The poet's use of "false-speaking tongue" creates a powerful image that embodies both the physical and moral dimensions of deception in love.
The tension between truth and falsehood in romantic relationships remains remarkably relevant to modern readers, demonstrating why Shakespeare Sonnets continue to resonate centuries after their composition. The poet's sophisticated treatment of these themes shows how love can lead us to accept, and even embrace, comfortable illusions over uncomfortable truths.
Highlight: The theme of willing self-deception in love appears frequently in Shakespeare's sonnets, suggesting that some degree of mutual pretense might be necessary for romantic relationships to endure.
Unser KI-Begleiter ist ein speziell für Schüler entwickeltes KI-Tool, das mehr als nur Antworten bietet. Basierend auf Millionen von Knowunity-Inhalten liefert er relevante Informationen, personalisierte Lernpläne, Quizze und Inhalte direkt im Chat und passt sich deinem individuellen Lernweg an.
Du kannst die App im Google Play Store und im Apple App Store herunterladen.
Genau! Genieße kostenlosen Zugang zu Lerninhalten, vernetze dich mit anderen Schülern und hol dir sofortige Hilfe – alles direkt auf deinem Handy.
447
Smart Tools NEU
Verwandle diesen Lernzettel in: ✓ 50+ Übungsfragen ✓ Interaktive Karteikarten ✓ Komplette Probeklausur ✓ Aufsatzgliederungen
Eine detaillierte Analyse der Balkonszene aus 'Romeo und Julia', Akt II, Szene 2. Diese Zusammenfassung behandelt die zentralen Themen der verbotenen Liebe, die Symbolik der Charakterpositionen und die emotionale Tiefe von Juliets und Romeos Dialogen. Ideal für Schüler, die die komplexen Beziehungen und die Sprache in Shakespeares Werk verstehen möchten.
Explore key themes and character analyses from 'Dead Poets Society'. This reading log delves into the impact of John Keating's teaching methods, the significance of poetry, and the struggles of the main characters like Neil Perry and Todd Anderson. Ideal for students seeking a deeper understanding of the text and its literary connections, including references to Walt Whitman and Shakespeare's 'A Midsummer Night's Dream'.
Entdecken Sie die bedeutenden Werke und den Einfluss von William Shakespeare, einschließlich einer Analyse von 'Macbeth' und 'Romeo und Julia'. Diese Zusammenfassung behandelt Shakespeares Leben, die Themen seiner Stücke, die Rolle des Theaters in der elisabethanischen Ära und seine anhaltende Relevanz in der modernen Literatur. Ideal für Studierende der englischen Renaissance-Literatur.
Diese Analyse untersucht die Schlüsselszene aus 'Romeo und Julia' von Shakespeare, in der die erste Begegnung von Romeo und Julia dargestellt wird. Der Fokus liegt auf der Kameraführung, den Emotionen der Charaktere und der musikalischen Untermalung, die die Spannung und die verbotene Liebe zwischen den beiden Protagonisten verstärken. Ideal für Schüler, die sich auf Klausuren vorbereiten oder ein tieferes Verständnis für Shakespeares Werk entwickeln möchten.
Diese Präsentation bietet eine umfassende Analyse von Shakespeares 'Antony und Cleopatra', einschließlich der Charaktereinführungen, historischen Kontexte und der emotionalen Konflikte zwischen Pflicht und Leidenschaft. Erforschen Sie die komplexen Beziehungen zwischen Antony, Cleopatra und Octavia sowie die Themen von Ehre und Identität in der Tragödie. Ideal für Studierende, die sich mit Shakespeare und seinen Charakteren auseinandersetzen möchten.
Entdecke die faszinierende Karriere von Ariana Grande, von ihren Anfängen im Broadway-Musical bis zu ihrem Aufstieg als Popstar. Diese Präsentation behandelt ihre frühen Jahre, bedeutende Kollaborationen, zukünftige Projekte und ihren Einfluss auf die Musik- und Unterhaltungsindustrie. Ideal für Schüler, die sich mit öffentlichem Sprechen und Präsentationstechniken beschäftigen. Typ: Präsentation.
App Store
Google Play
Die App ist sehr einfach zu bedienen und gut gestaltet. Ich habe bisher alles gefunden, wonach ich gesucht habe, und konnte viel aus den Präsentationen lernen! Ich werde die App definitiv für ein Schulprojekt nutzen! Und natürlich hilft sie auch sehr als Inspiration.
Stefan S
iOS-Nutzer
Diese App ist wirklich super. Es gibt so viele Lernzettel und Hilfen [...]. Mein Problemfach ist zum Beispiel Französisch und die App hat so viele Möglichkeiten zur Hilfe. Dank dieser App habe ich mich in Französisch verbessert. Ich würde sie jedem empfehlen.
Samantha Klich
Android-Nutzerin
Wow, ich bin wirklich begeistert. Ich habe die App einfach mal ausprobiert, weil ich sie schon oft beworben gesehen habe und war absolut beeindruckt. Diese App ist DIE HILFE, die man für die Schule braucht und vor allem bietet sie so viele Dinge wie Übungen und Lernzettel, die mir persönlich SEHR geholfen haben.
Anna
iOS-Nutzerin
Beste App der Welt! Keine Worte, weil sie einfach zu gut ist
Thomas R
iOS-Nutzer
Einfach genial. Lässt mich 10x besser lernen, diese App ist eine glatte 10/10. Ich empfehle sie jedem. Ich kann Lernzettel anschauen und suchen. Ich kann sie im Fachordner speichern. Ich kann sie jederzeit wiederholen, wenn ich zurückkomme. Wenn du diese App noch nicht ausprobiert hast, verpasst du wirklich was.
Basil
Android-Nutzer
Diese App hat mich so viel selbstbewusster in meiner Klausurvorbereitung gemacht, nicht nur durch die Stärkung meines Selbstvertrauens durch die Features, die es dir ermöglichen, dich mit anderen zu vernetzen und dich weniger allein zu fühlen, sondern auch durch die Art, wie die App selbst darauf ausgerichtet ist, dass du dich besser fühlst. Sie ist einfach zu bedienen, macht Spaß und hilft jedem, der in irgendeiner Weise Schwierigkeiten hat.
David K
iOS-Nutzer
Die App ist einfach super! Ich muss nur das Thema in die Suche eingeben und bekomme sofort eine Antwort. Ich muss nicht mehr 10 YouTube-Videos schauen, um etwas zu verstehen, und spare dadurch richtig viel Zeit. Sehr empfehlenswert!
Sudenaz Ocak
Android-Nutzerin
In der Schule war ich echt schlecht in Mathe, aber dank der App bin ich jetzt besser geworden. Ich bin so dankbar, dass ihr die App gemacht habt.
Greenlight Bonnie
Android-Nutzerin
sehr zuverlässige App, um deine Ideen in Mathe, Englisch und anderen verwandten Themen zu verbessern. bitte nutze diese App, wenn du in bestimmten Bereichen Schwierigkeiten hast, diese App ist dafür der Schlüssel. wünschte, ich hätte früher eine Bewertung geschrieben. und sie ist auch kostenlos, also mach dir darüber keine Sorgen.
Rohan U
Android-Nutzer
Ich weiß, dass viele Apps gefälschte Accounts nutzen, um ihre Bewertungen zu pushen, aber diese App verdient das alles. Ursprünglich hatte ich eine 4 in meinen Englisch-Klausuren und dieses Mal habe ich eine 2 bekommen. Ich wusste erst drei Tage vor der Klausur von dieser App und sie hat mir SEHR geholfen. Bitte vertrau mir wirklich und nutze sie, denn ich bin sicher, dass auch du Fortschritte sehen wirst.
Xander S
iOS-Nutzer
DIE QUIZZE UND KARTEIKARTEN SIND SO NÜTZLICH UND ICH LIEBE Knowunity KI. ES IST AUCH BUCHSTÄBLICH WIE CHATGPT ABER SCHLAUER!! HAT MIR AUCH BEI MEINEN MASCARA-PROBLEMEN GEHOLFEN!! SOWIE BEI MEINEN ECHTEN FÄCHERN! NATÜRLICH 😍😁😲🤑💗✨🎀😮
Elisha
iOS-Nutzer
Diese App ist echt der Hammer. Ich finde Lernen so langweilig, aber diese App macht es so einfach, alles zu organisieren und dann kannst du die kostenlose KI bitten, dich abzufragen, so gut, und du kannst einfach deine eigenen Sachen hochladen. sehr empfehlenswert als jemand, der gerade Probeklausuren schreibt
Paul T
iOS-Nutzer
Die App ist sehr einfach zu bedienen und gut gestaltet. Ich habe bisher alles gefunden, wonach ich gesucht habe, und konnte viel aus den Präsentationen lernen! Ich werde die App definitiv für ein Schulprojekt nutzen! Und natürlich hilft sie auch sehr als Inspiration.
Stefan S
iOS-Nutzer
Diese App ist wirklich super. Es gibt so viele Lernzettel und Hilfen [...]. Mein Problemfach ist zum Beispiel Französisch und die App hat so viele Möglichkeiten zur Hilfe. Dank dieser App habe ich mich in Französisch verbessert. Ich würde sie jedem empfehlen.
Samantha Klich
Android-Nutzerin
Wow, ich bin wirklich begeistert. Ich habe die App einfach mal ausprobiert, weil ich sie schon oft beworben gesehen habe und war absolut beeindruckt. Diese App ist DIE HILFE, die man für die Schule braucht und vor allem bietet sie so viele Dinge wie Übungen und Lernzettel, die mir persönlich SEHR geholfen haben.
Anna
iOS-Nutzerin
Beste App der Welt! Keine Worte, weil sie einfach zu gut ist
Thomas R
iOS-Nutzer
Einfach genial. Lässt mich 10x besser lernen, diese App ist eine glatte 10/10. Ich empfehle sie jedem. Ich kann Lernzettel anschauen und suchen. Ich kann sie im Fachordner speichern. Ich kann sie jederzeit wiederholen, wenn ich zurückkomme. Wenn du diese App noch nicht ausprobiert hast, verpasst du wirklich was.
Basil
Android-Nutzer
Diese App hat mich so viel selbstbewusster in meiner Klausurvorbereitung gemacht, nicht nur durch die Stärkung meines Selbstvertrauens durch die Features, die es dir ermöglichen, dich mit anderen zu vernetzen und dich weniger allein zu fühlen, sondern auch durch die Art, wie die App selbst darauf ausgerichtet ist, dass du dich besser fühlst. Sie ist einfach zu bedienen, macht Spaß und hilft jedem, der in irgendeiner Weise Schwierigkeiten hat.
David K
iOS-Nutzer
Die App ist einfach super! Ich muss nur das Thema in die Suche eingeben und bekomme sofort eine Antwort. Ich muss nicht mehr 10 YouTube-Videos schauen, um etwas zu verstehen, und spare dadurch richtig viel Zeit. Sehr empfehlenswert!
Sudenaz Ocak
Android-Nutzerin
In der Schule war ich echt schlecht in Mathe, aber dank der App bin ich jetzt besser geworden. Ich bin so dankbar, dass ihr die App gemacht habt.
Greenlight Bonnie
Android-Nutzerin
sehr zuverlässige App, um deine Ideen in Mathe, Englisch und anderen verwandten Themen zu verbessern. bitte nutze diese App, wenn du in bestimmten Bereichen Schwierigkeiten hast, diese App ist dafür der Schlüssel. wünschte, ich hätte früher eine Bewertung geschrieben. und sie ist auch kostenlos, also mach dir darüber keine Sorgen.
Rohan U
Android-Nutzer
Ich weiß, dass viele Apps gefälschte Accounts nutzen, um ihre Bewertungen zu pushen, aber diese App verdient das alles. Ursprünglich hatte ich eine 4 in meinen Englisch-Klausuren und dieses Mal habe ich eine 2 bekommen. Ich wusste erst drei Tage vor der Klausur von dieser App und sie hat mir SEHR geholfen. Bitte vertrau mir wirklich und nutze sie, denn ich bin sicher, dass auch du Fortschritte sehen wirst.
Xander S
iOS-Nutzer
DIE QUIZZE UND KARTEIKARTEN SIND SO NÜTZLICH UND ICH LIEBE Knowunity KI. ES IST AUCH BUCHSTÄBLICH WIE CHATGPT ABER SCHLAUER!! HAT MIR AUCH BEI MEINEN MASCARA-PROBLEMEN GEHOLFEN!! SOWIE BEI MEINEN ECHTEN FÄCHERN! NATÜRLICH 😍😁😲🤑💗✨🎀😮
Elisha
iOS-Nutzer
Diese App ist echt der Hammer. Ich finde Lernen so langweilig, aber diese App macht es so einfach, alles zu organisieren und dann kannst du die kostenlose KI bitten, dich abzufragen, so gut, und du kannst einfach deine eigenen Sachen hochladen. sehr empfehlenswert als jemand, der gerade Probeklausuren schreibt
Paul T
iOS-Nutzer