Präimplantationsdiagnostik: Was ist das?
59
Teilen
Speichern
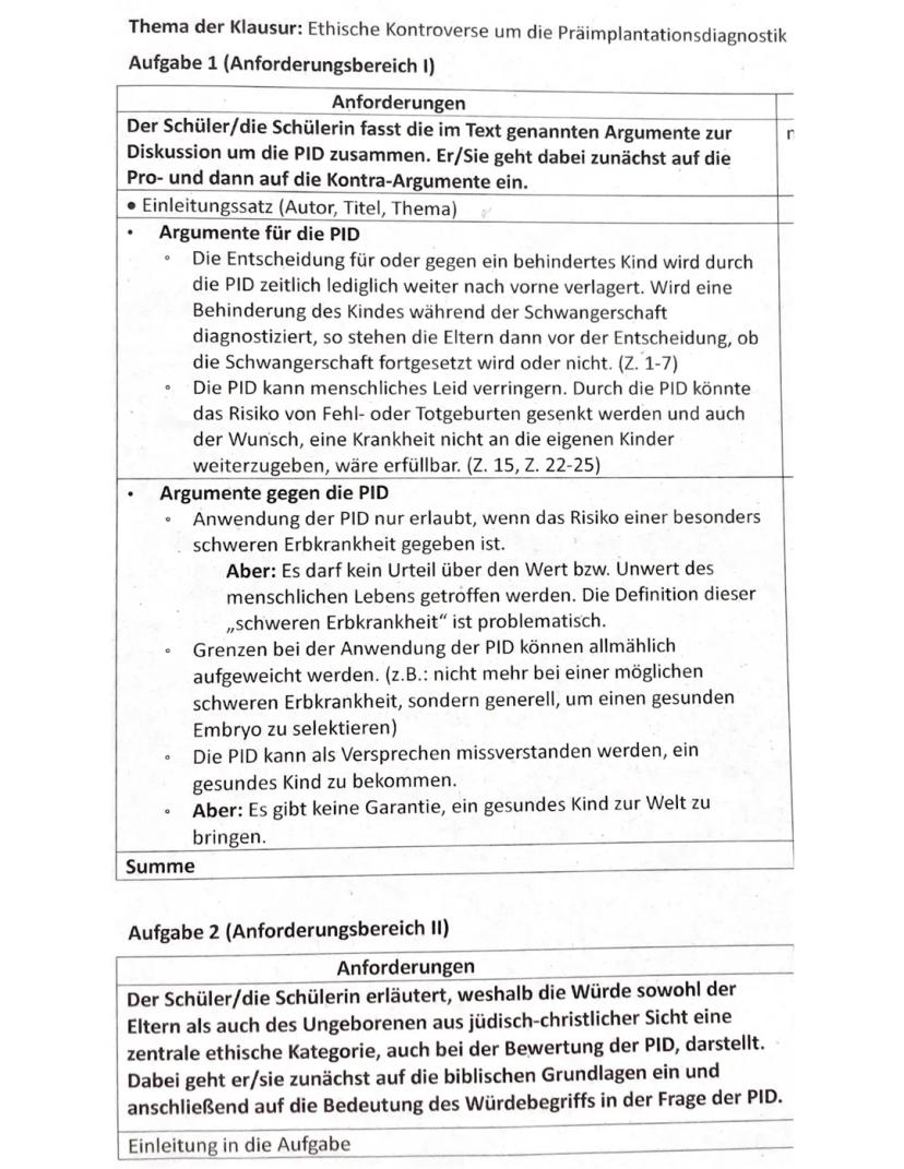
1. Klausur im Fach kath. Religion - Thema: Ethik (PID etc.) - Aufgabenstellung+Bewertungshorizont

93
Präsentation Abtreibung
1. Was ist eine Abtreibung? 2. Rechtliche Grundlagen • Wann ist eine Abtreibung strafbar ? • Wann ist eine Abtreibung straffrei ? 3. Pro- und Contra Argumente 4. Schwangerschaftsabbrüche in Deutschland …

235
Sterbehilfe dialektische Erörterung
Dialektische Erörterung zum Thema „Soll die aktive Sterbehilfe legalisiert werden?"

258
Ethische Problemfrage: Sterbehilfe
Kompetenzsicherungsaufgabe zu einem ethischen Problem. Thema hier: Sterbehilfe. Eine Ausarbeitung im Dokument und eine Präsentation mit Handout zu den Unterthemen: Arten der Sterbehilfe, Rechtliche Lage und (theologische) Stellungsnahmen. Überarbeitet

192
Abtreibung
Eine Präsentation zu der Fragestellung: Ist Abtreibung ethisch vertretbar ?

34
Euthanasie
Euthanasieprogramm, Runderlass 18. August 1939, Aktion T4, Clemens August Graf von Galen

916
Sterbehilfe
Präsentation zum Thema "Sterbehilfe" in Religion GK Q2 im Themenbereich Ethik (Bewertung: 15 Punkte)
Präimplantationsdiagnostik: Was ist das?
59
Teilen
Speichern
1. Klausur im Fach kath. Religion - Thema: Ethik (PID etc.) - Aufgabenstellung+Bewertungshorizont