Studieren in Brandenburg: Alles über Uni Potsdam, Studienberatung & Finanzierung
86
Teilen
Speichern
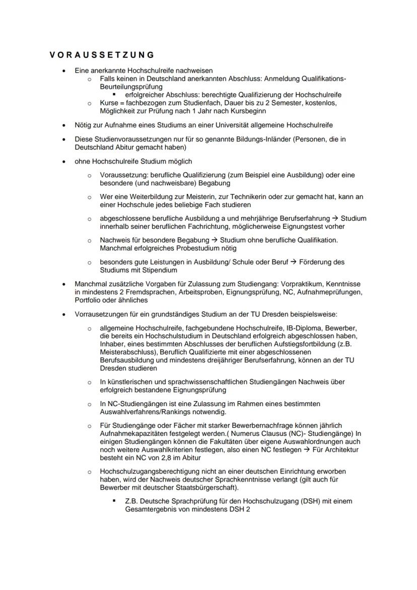
Eine Präsentation (15 Punkte) zum Thema: Studium an einer Universität - Voraussetzungen -Lernorte -Beispiele in Brandenburg - Bewerbung - Finanzierung - Organisation - Vor- und Nachteile - Dauer - gesetzliche Regelungen - Abschluss und Prüfungen

72
PowerPoint Präsentation Sowi Die Grünen 2019
Präsentation über Bündnis 90 Die Grüne Partei ca. 10 Minuten lang von 2019

50
CDU und CSU Präsentation
Ohne Übergänge oder Animationen

185
Mehrheits- und Verhältniswahl, Vor-und Nachteile
Vor- und Nachteile von Mehrheits- und Verhältniswahlen

41
Die Linke
Allgemeines, Grundwerte, Aktuelles (aus dem Schuljahr 19/20)

99
marktformen
polypol, Oligopol , Monopol

208
Wahlen und Wahlsystem
Lernzettel zum Thema Wahlen und Wahlsystem
Studieren in Brandenburg: Alles über Uni Potsdam, Studienberatung & Finanzierung
86
Teilen
Speichern
Eine Präsentation (15 Punkte) zum Thema: Studium an einer Universität - Voraussetzungen -Lernorte -Beispiele in Brandenburg - Bewerbung - Finanzierung - Organisation - Vor- und Nachteile - Dauer - gesetzliche Regelungen - Abschluss und Prüfungen