App öffnen

Fächer

6.848

27. Dez. 2025

10 Seiten

Myelinscheide und Multiple Sklerose: Einfach erklärt!

J

Joel Stepan

@joelstepan_yszr

Multiple Sklerose (MS) ist eine häufige Nervenerkrankung, bei der die ... Mehr anzeigen

Page 1
Page 2
Page 3
Page 4
Page 5
Page 6
Page 7
Page 8
Page 9
Page 10
1 / 10
# Klausur Biologie

| Punkte: | Note: | Name: Joec Stepan | Zeit: | BIO J2/1 SU |
|---|---|---|---|---|
| 245130 | 12 su |  | 90 min | Datum

Aktionspotentiale und Myelinscheide

Die erste Aufgabe konzentriert sich auf Aktionspotentiale entlang des Axons. Es wird gefordert, den zeitlichen Verlauf eines Aktionspotentials in einem Diagramm darzustellen und die ablaufenden Prozesse an der Axonmembran zu beschreiben.

Definition: Ein Aktionspotential ist eine kurzzeitige, elektrische Erregung der Zellmembran von Nervenzellen, die zur Weiterleitung von Nervenimpulsen dient.

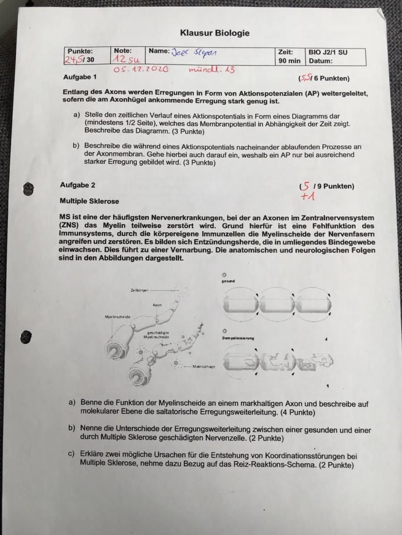
Die zweite Aufgabe behandelt die Markscheide Funktion und Multiple Sklerose. Es wird erklärt, dass MS eine Erkrankung ist, bei der das Immunsystem fälschlicherweise die Myelinscheide angreift und zerstört.

Example: Bei MS greifen körpereigene Immunzellen die Myelinscheide an, was zu Entzündungsherden und Vernarbungen führt.

Die Aufgabe verlangt eine Erklärung der Funktion der Myelinscheide und der saltatorischen Erregungsleitung auf molekularer Ebene. Zudem sollen die Unterschiede in der Erregungsleitung zwischen gesunden und MS-geschädigten Nervenzellen beschrieben werden.

Highlight: Die Schwannsche Zelle Funktion ist entscheidend für die Bildung und Erhaltung der Myelinscheide im peripheren Nervensystem.

# Klausur Biologie

| Punkte: | Note: | Name: Joec Stepan | Zeit: | BIO J2/1 SU |
|---|---|---|---|---|
| 245130 | 12 su |  | 90 min | Datum

Sinneseindrücke und Nervengifte

Die dritte Aufgabe beschäftigt sich mit der Reihenfolge von Sinneseindrücken im Gehirn. Es wird ein Szenario beschrieben, in dem verschiedene Sinneseindrücke gleichzeitig auftreten, und die Aufgabe besteht darin, die Reihenfolge zu bestimmen, in der diese im Gehirn ankommen.

Example: Beim Anstoßen des kleinen Zehs und der Stirn müssen die Studenten die Reihenfolge der Schmerzwahrnehmung erklären.

Die vierte Aufgabe konzentriert sich auf die Wirkung verschiedener Gifte auf die Erregungsübertragung an Synapsen. Es werden Messungen mit und ohne Giftzugabe nach Reizung von Nervenzellen präsentiert.

Vocabulary: Myelinscheide Krankheit - Erkrankungen der Myelinscheide, wie MS, können die Nervenleitung stark beeinträchtigen.

Die Aufgabe verlangt:

  1. Eine beschriftete Skizze einer chemischen Synapse
  2. Ein Flussdiagramm der Erregungsübertragung an einer Synapse
  3. Erläuterung der Wirkung verschiedener Giftstoffe auf molekularer Ebene
  4. Begründung, warum Atropin als Gegenmittel bei einer E605-Vergiftung wirkt

Highlight: Die Untersuchung von Nervengiften hilft, die komplexen Mechanismen der synaptischen Übertragung besser zu verstehen.

# Klausur Biologie

| Punkte: | Note: | Name: Joec Stepan | Zeit: | BIO J2/1 SU |
|---|---|---|---|---|
| 245130 | 12 su |  | 90 min | Datum

Aktionspotential und Synaptische Übertragung

Diese Seite enthält die Antworten eines Studenten auf die gestellten Aufgaben. Der Student hat ein Diagramm des Aktionspotentials gezeichnet und die verschiedenen Phasen beschriftet: Ruhepotential, Depolarisation, Repolarisation und Hyperpolarisation.

Definition: Das Ruhepotential ist das elektrische Potential einer Nervenzelle im nicht erregten Zustand, typischerweise bei etwa -70 mV.

Der Student beschreibt den Verlauf des Aktionspotentials:

  1. Das Ruhepotential liegt bei etwa -70 mV.
  2. Bei Reizung wird das Potential positiver.
  3. Überschreitet es die Schwellenspannung von -50 mV, wird das Aktionspotential ausgelöst.
  4. In der Depolarisationsphase öffnen sich spannungsgesteuerte Natriumkanäle, wodurch Natrium in die Zelle einströmt und das Membranpotential positiv wird.
  5. Anschließend schließen sich die Natriumkanäle und Kaliumkanäle öffnen sich, was zur Repolarisation führt.

Highlight: Die saltatorische Erregungsleitung ermöglicht eine schnelle Weiterleitung von Nervenimpulsen entlang myelinisierter Axone.

Diese detaillierte Beschreibung zeigt ein gutes Verständnis der Myelinscheide Aufbau und Funktion sowie der elektrischen Vorgänge während eines Aktionspotentials.

# Klausur Biologie

| Punkte: | Note: | Name: Joec Stepan | Zeit: | BIO J2/1 SU |
|---|---|---|---|---|
| 245130 | 12 su |  | 90 min | Datum

Myelinscheide und Multiple Sklerose

Die Klausur behandelt die Themen Myelinscheide, Aktionspotentiale und Multiple Sklerose. Es werden die Funktionen der Myelinscheide, der Ablauf von Aktionspotentialen und die Auswirkungen von MS auf das Nervensystem untersucht.

Highlight: Multiple Sklerose ist eine der häufigsten Nervenerkrankungen, bei der das Myelin im Zentralnervensystem teilweise zerstört wird.

Die Aufgaben umfassen:

  1. Darstellung und Beschreibung eines Aktionspotentials
  2. Erklärung der Myelinscheide-Funktion und der Auswirkungen von MS
  3. Analyse der Reihenfolge von Sinneseindrücken
  4. Untersuchung der Wirkung verschiedener Gifte auf die synaptische Übertragung

Vocabulary: Myelinscheide einfach erklärt - Die Myelinscheide ist eine isolierende Schicht um Nervenfasern, die für eine schnelle Erregungsleitung sorgt.

# Klausur Biologie

| Punkte: | Note: | Name: Joec Stepan | Zeit: | BIO J2/1 SU |
|---|---|---|---|---|
| 245130 | 12 su |  | 90 min | Datum
# Klausur Biologie

| Punkte: | Note: | Name: Joec Stepan | Zeit: | BIO J2/1 SU |
|---|---|---|---|---|
| 245130 | 12 su |  | 90 min | Datum
# Klausur Biologie

| Punkte: | Note: | Name: Joec Stepan | Zeit: | BIO J2/1 SU |
|---|---|---|---|---|
| 245130 | 12 su |  | 90 min | Datum
# Klausur Biologie

| Punkte: | Note: | Name: Joec Stepan | Zeit: | BIO J2/1 SU |
|---|---|---|---|---|
| 245130 | 12 su |  | 90 min | Datum
# Klausur Biologie

| Punkte: | Note: | Name: Joec Stepan | Zeit: | BIO J2/1 SU |
|---|---|---|---|---|
| 245130 | 12 su |  | 90 min | Datum
# Klausur Biologie

| Punkte: | Note: | Name: Joec Stepan | Zeit: | BIO J2/1 SU |
|---|---|---|---|---|
| 245130 | 12 su |  | 90 min | Datum


Wir dachten, du würdest nie fragen...

Was ist der Knowunity KI-Begleiter?

Unser KI-Begleiter ist speziell auf die Bedürfnisse von Schülern zugeschnitten. Basierend auf den Millionen von Inhalten, die wir auf der Plattform haben, können wir den Schülern wirklich sinnvolle und relevante Antworten geben. Aber es geht nicht nur um Antworten, sondern der Begleiter führt die Schüler auch durch ihre täglichen Lernherausforderungen, mit personalisierten Lernplänen, Quizfragen oder Inhalten im Chat und einer 100% Personalisierung basierend auf den Fähigkeiten und Entwicklungen der Schüler.

Wo kann ich mir die Knowunity-App herunterladen?

Du kannst dir die App im Google Play Store und im Apple App Store herunterladen.

Ist Knowunity wirklich kostenlos?

Ja, du hast kostenlosen Zugriff auf Inhalte in der App und auf unseren KI-Begleiter. Zum Freischalten bestimmter Features in der App kannst du Knowunity Pro erwerben.

Beliebteste Inhalte: Action Potential

Beliebteste Inhalte in Biologie

Beliebteste Inhalte

Nichts passendes dabei? Erkunde andere Fachbereiche.

Schüler:innen lieben uns — und du wirst es auch.

4.9/5

App Store

4.8/5

Google Play

Die App ist sehr leicht und gut gestaltet. Habe bis jetzt alles gefunden, nachdem ich gesucht habe und aus den Präsentationen echt viel lernen können! Die App werde ich auf jeden Fall für eine Klassenarbeit verwenden! Und als eigene Inspiration hilft sie natürlich auch sehr.

Stefan S

iOS user

Diese App ist wirklich echt super. Es gibt so viele Lernzettel und Hilfen, […]. Mein Problemfach ist zum Beispiel Französisch und die App hat mega viel Auswahl für Hilfe. Dank dieser App habe ich mich in Französisch verbessert. Ich würde diese jedem weiterempfehlen.

Samantha Klich

Android user

Wow ich bin wirklich komplett baff. Habe die App nur mal so ausprobiert, weil ich es schon oft in der Werbung gesehen habe und war absolut geschockt. Diese App ist DIE HILFE, die man sich für die Schule wünscht und vor allem werden so viele Sachen angeboten, wie z.B. Ausarbeitungen und Merkblätter, welche mir persönlich SEHR weitergeholfen haben.

Anna

iOS user

Ich finde Knowunity so grandios. Ich lerne wirklich für alles damit. Es gibt so viele verschiedene Lernzettel, die sehr gut erklärt sind!

Jana V

iOS user

Ich liebe diese App sie hilft mir vor jeder Arbeit kann Aufgaben kontrollieren sowie lösen und ist wirklich vielfältig verwendbar. Man kann mit diesem Fuchs auch normal reden so wie Probleme im echten Leben besprechen und er hilft einem. Wirklich sehr gut diese App kann ich nur weiter empfehlen, gerade für Menschen die etwas länger brauchen etwas zu verstehen!

Lena M

Android user

Ich finde Knowunity ist eine super App. Für die Schule ist sie ideal , wegen den Lernzetteln, Quizen und dem AI. Das gute an AI ist , dass er nicht direkt nur die Lösung ausspuckt sondern einen Weg zeigt wie man darauf kommt. Manchmal gibt er einem auch nur einen Tipp damit man selbst darauf kommt . Mir hilft Knowunity persönlich sehr viel und ich kann sie nur weiterempfehlen ☺️

Timo S

iOS user

Die App ist einfach super! Ich muss nur in die Suchleiste mein Thema eintragen und ich checke es sehr schnell. Ich muss nicht mehr 10 YouTube Videos gucken, um etwas zu verstehen und somit spare ich mir meine Zeit. Einfach zu empfehlen!!

Sudenaz Ocak

Android user

Diese App hat mich echt verbessert! In der Schule war ich richtig schlecht in Mathe und dank der App kann ich besser Mathe! Ich bin so dankbar, dass ihr die App gemacht habt.

Greenlight Bonnie

Android user

Ich benutze Knowunity schon sehr lange und meine Noten haben sich verbessert die App hilft mir bei Mathe,Englisch u.s.w. Ich bekomme Hilfe wenn ich sie brauche und bekomme sogar Glückwünsche für meine Arbeit Deswegen von mir 5 Sterne🫶🏼

Julia S

Android user

Also die App hat mir echt in super vielen Fächern geholfen! Ich hatte in der Mathe Arbeit davor eine 3+ und habe nur durch den School GPT und die Lernzettek auf der App eine 1-3 in Mathe geschafft…Ich bin Mega glücklich darüber also ja wircklich eine super App zum lernen und es spart sehr viel Heit dass man mehr Freizeit hat!

Marcus B

iOS user

Mit dieser App hab ich bessere Noten bekommen. Bessere Lernzettel gekriegt. Ich habe die App benutzt, als ich die Fächer nicht ganz verstanden habe,diese App ist ein würcklich GameChanger für die Schule, Hausaufgaben

Sarah L

Android user

Hatte noch nie so viel Spaß beim Lernen und der School Bot macht super Aufschriebe die man Herunterladen kann total Übersichtlich und Lehreich. Bin begeistert.

Hans T

iOS user

Die App ist sehr leicht und gut gestaltet. Habe bis jetzt alles gefunden, nachdem ich gesucht habe und aus den Präsentationen echt viel lernen können! Die App werde ich auf jeden Fall für eine Klassenarbeit verwenden! Und als eigene Inspiration hilft sie natürlich auch sehr.

Stefan S

iOS user

Diese App ist wirklich echt super. Es gibt so viele Lernzettel und Hilfen, […]. Mein Problemfach ist zum Beispiel Französisch und die App hat mega viel Auswahl für Hilfe. Dank dieser App habe ich mich in Französisch verbessert. Ich würde diese jedem weiterempfehlen.

Samantha Klich

Android user

Wow ich bin wirklich komplett baff. Habe die App nur mal so ausprobiert, weil ich es schon oft in der Werbung gesehen habe und war absolut geschockt. Diese App ist DIE HILFE, die man sich für die Schule wünscht und vor allem werden so viele Sachen angeboten, wie z.B. Ausarbeitungen und Merkblätter, welche mir persönlich SEHR weitergeholfen haben.

Anna

iOS user

Ich finde Knowunity so grandios. Ich lerne wirklich für alles damit. Es gibt so viele verschiedene Lernzettel, die sehr gut erklärt sind!

Jana V

iOS user

Ich liebe diese App sie hilft mir vor jeder Arbeit kann Aufgaben kontrollieren sowie lösen und ist wirklich vielfältig verwendbar. Man kann mit diesem Fuchs auch normal reden so wie Probleme im echten Leben besprechen und er hilft einem. Wirklich sehr gut diese App kann ich nur weiter empfehlen, gerade für Menschen die etwas länger brauchen etwas zu verstehen!

Lena M

Android user

Ich finde Knowunity ist eine super App. Für die Schule ist sie ideal , wegen den Lernzetteln, Quizen und dem AI. Das gute an AI ist , dass er nicht direkt nur die Lösung ausspuckt sondern einen Weg zeigt wie man darauf kommt. Manchmal gibt er einem auch nur einen Tipp damit man selbst darauf kommt . Mir hilft Knowunity persönlich sehr viel und ich kann sie nur weiterempfehlen ☺️

Timo S

iOS user

Die App ist einfach super! Ich muss nur in die Suchleiste mein Thema eintragen und ich checke es sehr schnell. Ich muss nicht mehr 10 YouTube Videos gucken, um etwas zu verstehen und somit spare ich mir meine Zeit. Einfach zu empfehlen!!

Sudenaz Ocak

Android user

Diese App hat mich echt verbessert! In der Schule war ich richtig schlecht in Mathe und dank der App kann ich besser Mathe! Ich bin so dankbar, dass ihr die App gemacht habt.

Greenlight Bonnie

Android user

Ich benutze Knowunity schon sehr lange und meine Noten haben sich verbessert die App hilft mir bei Mathe,Englisch u.s.w. Ich bekomme Hilfe wenn ich sie brauche und bekomme sogar Glückwünsche für meine Arbeit Deswegen von mir 5 Sterne🫶🏼

Julia S

Android user

Also die App hat mir echt in super vielen Fächern geholfen! Ich hatte in der Mathe Arbeit davor eine 3+ und habe nur durch den School GPT und die Lernzettek auf der App eine 1-3 in Mathe geschafft…Ich bin Mega glücklich darüber also ja wircklich eine super App zum lernen und es spart sehr viel Heit dass man mehr Freizeit hat!

Marcus B

iOS user

Mit dieser App hab ich bessere Noten bekommen. Bessere Lernzettel gekriegt. Ich habe die App benutzt, als ich die Fächer nicht ganz verstanden habe,diese App ist ein würcklich GameChanger für die Schule, Hausaufgaben

Sarah L

Android user

Hatte noch nie so viel Spaß beim Lernen und der School Bot macht super Aufschriebe die man Herunterladen kann total Übersichtlich und Lehreich. Bin begeistert.

Hans T

iOS user

 

Biologie

6.848

27. Dez. 2025

10 Seiten

Myelinscheide und Multiple Sklerose: Einfach erklärt!

J

Joel Stepan

@joelstepan_yszr

Multiple Sklerose (MS) ist eine häufige Nervenerkrankung, bei der die Myelinscheideim Zentralnervensystem angegriffen wird. Die Krankheit führt zu Entzündungsherden und Vernarbungen, was die Nervenleitung beeinträchtigt. Der Fokus liegt auf der Funktion der Myelinscheide, der saltatorischen Erregungsleitung und den Auswirkungen... Mehr anzeigen

# Klausur Biologie

| Punkte: | Note: | Name: Joec Stepan | Zeit: | BIO J2/1 SU |
|---|---|---|---|---|
| 245130 | 12 su |  | 90 min | Datum

Melde dich an, um den Inhalt freizuschaltenEs ist kostenlos!

Zugriff auf alle Dokumente

Verbessere deine Noten

Werde Teil der Community

Mit der Anmeldung akzeptierst du die Nutzungsbedingungen und die Datenschutzrichtlinie

Aktionspotentiale und Myelinscheide

Die erste Aufgabe konzentriert sich auf Aktionspotentiale entlang des Axons. Es wird gefordert, den zeitlichen Verlauf eines Aktionspotentials in einem Diagramm darzustellen und die ablaufenden Prozesse an der Axonmembran zu beschreiben.

Definition: Ein Aktionspotential ist eine kurzzeitige, elektrische Erregung der Zellmembran von Nervenzellen, die zur Weiterleitung von Nervenimpulsen dient.

Die zweite Aufgabe behandelt die Markscheide Funktion und Multiple Sklerose. Es wird erklärt, dass MS eine Erkrankung ist, bei der das Immunsystem fälschlicherweise die Myelinscheide angreift und zerstört.

Example: Bei MS greifen körpereigene Immunzellen die Myelinscheide an, was zu Entzündungsherden und Vernarbungen führt.

Die Aufgabe verlangt eine Erklärung der Funktion der Myelinscheide und der saltatorischen Erregungsleitung auf molekularer Ebene. Zudem sollen die Unterschiede in der Erregungsleitung zwischen gesunden und MS-geschädigten Nervenzellen beschrieben werden.

Highlight: Die Schwannsche Zelle Funktion ist entscheidend für die Bildung und Erhaltung der Myelinscheide im peripheren Nervensystem.

# Klausur Biologie

| Punkte: | Note: | Name: Joec Stepan | Zeit: | BIO J2/1 SU |
|---|---|---|---|---|
| 245130 | 12 su |  | 90 min | Datum

Melde dich an, um den Inhalt freizuschaltenEs ist kostenlos!

Zugriff auf alle Dokumente

Verbessere deine Noten

Werde Teil der Community

Mit der Anmeldung akzeptierst du die Nutzungsbedingungen und die Datenschutzrichtlinie

Sinneseindrücke und Nervengifte

Die dritte Aufgabe beschäftigt sich mit der Reihenfolge von Sinneseindrücken im Gehirn. Es wird ein Szenario beschrieben, in dem verschiedene Sinneseindrücke gleichzeitig auftreten, und die Aufgabe besteht darin, die Reihenfolge zu bestimmen, in der diese im Gehirn ankommen.

Example: Beim Anstoßen des kleinen Zehs und der Stirn müssen die Studenten die Reihenfolge der Schmerzwahrnehmung erklären.

Die vierte Aufgabe konzentriert sich auf die Wirkung verschiedener Gifte auf die Erregungsübertragung an Synapsen. Es werden Messungen mit und ohne Giftzugabe nach Reizung von Nervenzellen präsentiert.

Vocabulary: Myelinscheide Krankheit - Erkrankungen der Myelinscheide, wie MS, können die Nervenleitung stark beeinträchtigen.

Die Aufgabe verlangt:

  1. Eine beschriftete Skizze einer chemischen Synapse
  2. Ein Flussdiagramm der Erregungsübertragung an einer Synapse
  3. Erläuterung der Wirkung verschiedener Giftstoffe auf molekularer Ebene
  4. Begründung, warum Atropin als Gegenmittel bei einer E605-Vergiftung wirkt

Highlight: Die Untersuchung von Nervengiften hilft, die komplexen Mechanismen der synaptischen Übertragung besser zu verstehen.

# Klausur Biologie

| Punkte: | Note: | Name: Joec Stepan | Zeit: | BIO J2/1 SU |
|---|---|---|---|---|
| 245130 | 12 su |  | 90 min | Datum

Melde dich an, um den Inhalt freizuschaltenEs ist kostenlos!

Zugriff auf alle Dokumente

Verbessere deine Noten

Werde Teil der Community

Mit der Anmeldung akzeptierst du die Nutzungsbedingungen und die Datenschutzrichtlinie

Aktionspotential und Synaptische Übertragung

Diese Seite enthält die Antworten eines Studenten auf die gestellten Aufgaben. Der Student hat ein Diagramm des Aktionspotentials gezeichnet und die verschiedenen Phasen beschriftet: Ruhepotential, Depolarisation, Repolarisation und Hyperpolarisation.

Definition: Das Ruhepotential ist das elektrische Potential einer Nervenzelle im nicht erregten Zustand, typischerweise bei etwa -70 mV.

Der Student beschreibt den Verlauf des Aktionspotentials:

  1. Das Ruhepotential liegt bei etwa -70 mV.
  2. Bei Reizung wird das Potential positiver.
  3. Überschreitet es die Schwellenspannung von -50 mV, wird das Aktionspotential ausgelöst.
  4. In der Depolarisationsphase öffnen sich spannungsgesteuerte Natriumkanäle, wodurch Natrium in die Zelle einströmt und das Membranpotential positiv wird.
  5. Anschließend schließen sich die Natriumkanäle und Kaliumkanäle öffnen sich, was zur Repolarisation führt.

Highlight: Die saltatorische Erregungsleitung ermöglicht eine schnelle Weiterleitung von Nervenimpulsen entlang myelinisierter Axone.

Diese detaillierte Beschreibung zeigt ein gutes Verständnis der Myelinscheide Aufbau und Funktion sowie der elektrischen Vorgänge während eines Aktionspotentials.

# Klausur Biologie

| Punkte: | Note: | Name: Joec Stepan | Zeit: | BIO J2/1 SU |
|---|---|---|---|---|
| 245130 | 12 su |  | 90 min | Datum

Melde dich an, um den Inhalt freizuschaltenEs ist kostenlos!

Zugriff auf alle Dokumente

Verbessere deine Noten

Werde Teil der Community

Mit der Anmeldung akzeptierst du die Nutzungsbedingungen und die Datenschutzrichtlinie

Myelinscheide und Multiple Sklerose

Die Klausur behandelt die Themen Myelinscheide, Aktionspotentiale und Multiple Sklerose. Es werden die Funktionen der Myelinscheide, der Ablauf von Aktionspotentialen und die Auswirkungen von MS auf das Nervensystem untersucht.

Highlight: Multiple Sklerose ist eine der häufigsten Nervenerkrankungen, bei der das Myelin im Zentralnervensystem teilweise zerstört wird.

Die Aufgaben umfassen:

  1. Darstellung und Beschreibung eines Aktionspotentials
  2. Erklärung der Myelinscheide-Funktion und der Auswirkungen von MS
  3. Analyse der Reihenfolge von Sinneseindrücken
  4. Untersuchung der Wirkung verschiedener Gifte auf die synaptische Übertragung

Vocabulary: Myelinscheide einfach erklärt - Die Myelinscheide ist eine isolierende Schicht um Nervenfasern, die für eine schnelle Erregungsleitung sorgt.

# Klausur Biologie

| Punkte: | Note: | Name: Joec Stepan | Zeit: | BIO J2/1 SU |
|---|---|---|---|---|
| 245130 | 12 su |  | 90 min | Datum

Melde dich an, um den Inhalt freizuschaltenEs ist kostenlos!

Zugriff auf alle Dokumente

Verbessere deine Noten

Werde Teil der Community

Mit der Anmeldung akzeptierst du die Nutzungsbedingungen und die Datenschutzrichtlinie

# Klausur Biologie

| Punkte: | Note: | Name: Joec Stepan | Zeit: | BIO J2/1 SU |
|---|---|---|---|---|
| 245130 | 12 su |  | 90 min | Datum

Melde dich an, um den Inhalt freizuschaltenEs ist kostenlos!

Zugriff auf alle Dokumente

Verbessere deine Noten

Werde Teil der Community

Mit der Anmeldung akzeptierst du die Nutzungsbedingungen und die Datenschutzrichtlinie

# Klausur Biologie

| Punkte: | Note: | Name: Joec Stepan | Zeit: | BIO J2/1 SU |
|---|---|---|---|---|
| 245130 | 12 su |  | 90 min | Datum

Melde dich an, um den Inhalt freizuschaltenEs ist kostenlos!

Zugriff auf alle Dokumente

Verbessere deine Noten

Werde Teil der Community

Mit der Anmeldung akzeptierst du die Nutzungsbedingungen und die Datenschutzrichtlinie

# Klausur Biologie

| Punkte: | Note: | Name: Joec Stepan | Zeit: | BIO J2/1 SU |
|---|---|---|---|---|
| 245130 | 12 su |  | 90 min | Datum

Melde dich an, um den Inhalt freizuschaltenEs ist kostenlos!

Zugriff auf alle Dokumente

Verbessere deine Noten

Werde Teil der Community

Mit der Anmeldung akzeptierst du die Nutzungsbedingungen und die Datenschutzrichtlinie

# Klausur Biologie

| Punkte: | Note: | Name: Joec Stepan | Zeit: | BIO J2/1 SU |
|---|---|---|---|---|
| 245130 | 12 su |  | 90 min | Datum

Melde dich an, um den Inhalt freizuschaltenEs ist kostenlos!

Zugriff auf alle Dokumente

Verbessere deine Noten

Werde Teil der Community

Mit der Anmeldung akzeptierst du die Nutzungsbedingungen und die Datenschutzrichtlinie

# Klausur Biologie

| Punkte: | Note: | Name: Joec Stepan | Zeit: | BIO J2/1 SU |
|---|---|---|---|---|
| 245130 | 12 su |  | 90 min | Datum

Melde dich an, um den Inhalt freizuschaltenEs ist kostenlos!

Zugriff auf alle Dokumente

Verbessere deine Noten

Werde Teil der Community

Mit der Anmeldung akzeptierst du die Nutzungsbedingungen und die Datenschutzrichtlinie

Wir dachten, du würdest nie fragen...

Was ist der Knowunity KI-Begleiter?

Unser KI-Begleiter ist speziell auf die Bedürfnisse von Schülern zugeschnitten. Basierend auf den Millionen von Inhalten, die wir auf der Plattform haben, können wir den Schülern wirklich sinnvolle und relevante Antworten geben. Aber es geht nicht nur um Antworten, sondern der Begleiter führt die Schüler auch durch ihre täglichen Lernherausforderungen, mit personalisierten Lernplänen, Quizfragen oder Inhalten im Chat und einer 100% Personalisierung basierend auf den Fähigkeiten und Entwicklungen der Schüler.

Wo kann ich mir die Knowunity-App herunterladen?

Du kannst dir die App im Google Play Store und im Apple App Store herunterladen.

Ist Knowunity wirklich kostenlos?

Ja, du hast kostenlosen Zugriff auf Inhalte in der App und auf unseren KI-Begleiter. Zum Freischalten bestimmter Features in der App kannst du Knowunity Pro erwerben.

135

Smarte Tools NEU

Verwandle diese Notizen in: ✓ 50+ Übungsaufgaben ✓ Interaktive Karteikarten ✓ Vollständige Probeklausur ✓ Aufsatz-Gliederungen

Probeklausur
Quiz
Flashcards
Aufsatz

Ähnliche Inhalte

Neurobiologie des Auges

Entdecken Sie die komplexe Struktur und Funktion des menschlichen Auges, einschließlich der Netzhaut, Photorezeptoren und der Anpassung an Lichtverhältnisse. Diese Zusammenfassung behandelt die neuronale Informationsverarbeitung und die Rolle des sekundären Messenger-Systems in der visuellen Wahrnehmung. Ideal für Bio-Abiturienten in NRW 2023.

BiologieBiologie
13

Neurobiologie: Synapsen und Lernen

Diese Zusammenfassung behandelt die synaptischen Prozesse bei NMDA-Synapsen, einschließlich der Unterschiede zwischen niederfrequenter und hochfrequenter Reizung. Sie erklärt die Mechanismen der Langzeitpotenzierung (LTP) und die Rolle von Second Messengern in der neuronalen Informationsverarbeitung. Ideal für Studierende der Neurobiologie, die sich auf Klausuren vorbereiten. Typ: Zusammenfassung.

BiologieBiologie
13

Synapsen: Aufbau & Signalverarbeitung

Erforschen Sie die Mechanismen der chemischen Synapsen, einschließlich der Unterschiede zwischen erregenden und hemmenden Synapsen, der Rolle von EPSP und IPSP sowie der Frequenz- und Amplitudenmodulation. Diese Zusammenfassung bietet einen klaren Überblick über die synaptische Integration und die Funktionsweise von Neurotransmittern. Ideal für die Vorbereitung auf Neurobiologie-Klausuren.

BiologieBiologie
11

Neurobiologie & Evolution

Entdecken Sie die Grundlagen der Neurobiologie und Evolution. Diese Zusammenfassung behandelt die Struktur und Funktion von myelinisierten und nicht-myelinisierten Axonen, die Prozesse an chemischen Synapsen, den Codewechsel bei der Signalweiterleitung sowie zentrale Evolutionstheorien. Erfahren Sie mehr über Homologie, Analogie, adaptive Radiation und phylogenetische Stammbäume. Ideal für Studierende der Biologie, die sich auf Prüfungen vorbereiten.

BiologieBiologie
11

Synaptische Integration und Summation

Erforschen Sie die Mechanismen der synaptischen Integration, einschließlich postsynaptischer Potenziale, Konvergenz und Divergenz. Lernen Sie die Unterschiede zwischen exzitatorischen und inhibitorischen Synapsen sowie die Konzepte der zeitlichen und räumlichen Summation kennen. Diese Zusammenfassung bietet einen klaren Überblick über die Wechselwirkungen von EPSP und IPSP im Nervensystem.

BiologieBiologie
11

Erregende vs. Hemmende Synapsen

Entdecken Sie die Unterschiede zwischen erregenden (EPSP) und hemmenden (IPSP) Synapsen. Diese Zusammenfassung erklärt die Mechanismen der postsynaptischen Potenziale, die Rolle von Neurotransmittern und die Auswirkungen auf die neuronale Erregung. Ideal für Studierende der Neurowissenschaften und Biologie.

BiologieBiologie
13

Beliebteste Inhalte: Action Potential

Beliebteste Inhalte in Biologie

Beliebteste Inhalte

Nichts passendes dabei? Erkunde andere Fachbereiche.

Schüler:innen lieben uns — und du wirst es auch.

4.9/5

App Store

4.8/5

Google Play

Die App ist sehr leicht und gut gestaltet. Habe bis jetzt alles gefunden, nachdem ich gesucht habe und aus den Präsentationen echt viel lernen können! Die App werde ich auf jeden Fall für eine Klassenarbeit verwenden! Und als eigene Inspiration hilft sie natürlich auch sehr.

Stefan S

iOS user

Diese App ist wirklich echt super. Es gibt so viele Lernzettel und Hilfen, […]. Mein Problemfach ist zum Beispiel Französisch und die App hat mega viel Auswahl für Hilfe. Dank dieser App habe ich mich in Französisch verbessert. Ich würde diese jedem weiterempfehlen.

Samantha Klich

Android user

Wow ich bin wirklich komplett baff. Habe die App nur mal so ausprobiert, weil ich es schon oft in der Werbung gesehen habe und war absolut geschockt. Diese App ist DIE HILFE, die man sich für die Schule wünscht und vor allem werden so viele Sachen angeboten, wie z.B. Ausarbeitungen und Merkblätter, welche mir persönlich SEHR weitergeholfen haben.

Anna

iOS user

Ich finde Knowunity so grandios. Ich lerne wirklich für alles damit. Es gibt so viele verschiedene Lernzettel, die sehr gut erklärt sind!

Jana V

iOS user

Ich liebe diese App sie hilft mir vor jeder Arbeit kann Aufgaben kontrollieren sowie lösen und ist wirklich vielfältig verwendbar. Man kann mit diesem Fuchs auch normal reden so wie Probleme im echten Leben besprechen und er hilft einem. Wirklich sehr gut diese App kann ich nur weiter empfehlen, gerade für Menschen die etwas länger brauchen etwas zu verstehen!

Lena M

Android user

Ich finde Knowunity ist eine super App. Für die Schule ist sie ideal , wegen den Lernzetteln, Quizen und dem AI. Das gute an AI ist , dass er nicht direkt nur die Lösung ausspuckt sondern einen Weg zeigt wie man darauf kommt. Manchmal gibt er einem auch nur einen Tipp damit man selbst darauf kommt . Mir hilft Knowunity persönlich sehr viel und ich kann sie nur weiterempfehlen ☺️

Timo S

iOS user

Die App ist einfach super! Ich muss nur in die Suchleiste mein Thema eintragen und ich checke es sehr schnell. Ich muss nicht mehr 10 YouTube Videos gucken, um etwas zu verstehen und somit spare ich mir meine Zeit. Einfach zu empfehlen!!

Sudenaz Ocak

Android user

Diese App hat mich echt verbessert! In der Schule war ich richtig schlecht in Mathe und dank der App kann ich besser Mathe! Ich bin so dankbar, dass ihr die App gemacht habt.

Greenlight Bonnie

Android user

Ich benutze Knowunity schon sehr lange und meine Noten haben sich verbessert die App hilft mir bei Mathe,Englisch u.s.w. Ich bekomme Hilfe wenn ich sie brauche und bekomme sogar Glückwünsche für meine Arbeit Deswegen von mir 5 Sterne🫶🏼

Julia S

Android user

Also die App hat mir echt in super vielen Fächern geholfen! Ich hatte in der Mathe Arbeit davor eine 3+ und habe nur durch den School GPT und die Lernzettek auf der App eine 1-3 in Mathe geschafft…Ich bin Mega glücklich darüber also ja wircklich eine super App zum lernen und es spart sehr viel Heit dass man mehr Freizeit hat!

Marcus B

iOS user

Mit dieser App hab ich bessere Noten bekommen. Bessere Lernzettel gekriegt. Ich habe die App benutzt, als ich die Fächer nicht ganz verstanden habe,diese App ist ein würcklich GameChanger für die Schule, Hausaufgaben

Sarah L

Android user

Hatte noch nie so viel Spaß beim Lernen und der School Bot macht super Aufschriebe die man Herunterladen kann total Übersichtlich und Lehreich. Bin begeistert.

Hans T

iOS user

Die App ist sehr leicht und gut gestaltet. Habe bis jetzt alles gefunden, nachdem ich gesucht habe und aus den Präsentationen echt viel lernen können! Die App werde ich auf jeden Fall für eine Klassenarbeit verwenden! Und als eigene Inspiration hilft sie natürlich auch sehr.

Stefan S

iOS user

Diese App ist wirklich echt super. Es gibt so viele Lernzettel und Hilfen, […]. Mein Problemfach ist zum Beispiel Französisch und die App hat mega viel Auswahl für Hilfe. Dank dieser App habe ich mich in Französisch verbessert. Ich würde diese jedem weiterempfehlen.

Samantha Klich

Android user

Wow ich bin wirklich komplett baff. Habe die App nur mal so ausprobiert, weil ich es schon oft in der Werbung gesehen habe und war absolut geschockt. Diese App ist DIE HILFE, die man sich für die Schule wünscht und vor allem werden so viele Sachen angeboten, wie z.B. Ausarbeitungen und Merkblätter, welche mir persönlich SEHR weitergeholfen haben.

Anna

iOS user

Ich finde Knowunity so grandios. Ich lerne wirklich für alles damit. Es gibt so viele verschiedene Lernzettel, die sehr gut erklärt sind!

Jana V

iOS user

Ich liebe diese App sie hilft mir vor jeder Arbeit kann Aufgaben kontrollieren sowie lösen und ist wirklich vielfältig verwendbar. Man kann mit diesem Fuchs auch normal reden so wie Probleme im echten Leben besprechen und er hilft einem. Wirklich sehr gut diese App kann ich nur weiter empfehlen, gerade für Menschen die etwas länger brauchen etwas zu verstehen!

Lena M

Android user

Ich finde Knowunity ist eine super App. Für die Schule ist sie ideal , wegen den Lernzetteln, Quizen und dem AI. Das gute an AI ist , dass er nicht direkt nur die Lösung ausspuckt sondern einen Weg zeigt wie man darauf kommt. Manchmal gibt er einem auch nur einen Tipp damit man selbst darauf kommt . Mir hilft Knowunity persönlich sehr viel und ich kann sie nur weiterempfehlen ☺️

Timo S

iOS user

Die App ist einfach super! Ich muss nur in die Suchleiste mein Thema eintragen und ich checke es sehr schnell. Ich muss nicht mehr 10 YouTube Videos gucken, um etwas zu verstehen und somit spare ich mir meine Zeit. Einfach zu empfehlen!!

Sudenaz Ocak

Android user

Diese App hat mich echt verbessert! In der Schule war ich richtig schlecht in Mathe und dank der App kann ich besser Mathe! Ich bin so dankbar, dass ihr die App gemacht habt.

Greenlight Bonnie

Android user

Ich benutze Knowunity schon sehr lange und meine Noten haben sich verbessert die App hilft mir bei Mathe,Englisch u.s.w. Ich bekomme Hilfe wenn ich sie brauche und bekomme sogar Glückwünsche für meine Arbeit Deswegen von mir 5 Sterne🫶🏼

Julia S

Android user

Also die App hat mir echt in super vielen Fächern geholfen! Ich hatte in der Mathe Arbeit davor eine 3+ und habe nur durch den School GPT und die Lernzettek auf der App eine 1-3 in Mathe geschafft…Ich bin Mega glücklich darüber also ja wircklich eine super App zum lernen und es spart sehr viel Heit dass man mehr Freizeit hat!

Marcus B

iOS user

Mit dieser App hab ich bessere Noten bekommen. Bessere Lernzettel gekriegt. Ich habe die App benutzt, als ich die Fächer nicht ganz verstanden habe,diese App ist ein würcklich GameChanger für die Schule, Hausaufgaben

Sarah L

Android user

Hatte noch nie so viel Spaß beim Lernen und der School Bot macht super Aufschriebe die man Herunterladen kann total Übersichtlich und Lehreich. Bin begeistert.

Hans T

iOS user