App öffnen

Fächer

Religion

6. Dez. 2025

4.268

11 Seiten

Christologie Lernblätter - Abitur Zusammenfassung

S

sstrn @sstrn_qwue

Christologie beschäftigt sich mit der Person Jesus Christus - sowohl dem historischen Menschen als auch dem Glauben an... Mehr anzeigen

ABI-ZUSAMMENFASSUNG
I. Christologie
Historischer Jesus vs. Christus des Glaubens
->kontroverse Person (konfliktreiches Auftreten, Auferstehu

Jesus zwischen Geschichte und Glaube

Kennst du das? Manche sehen Jesus nur als historische Figur, andere nur als Glaubensgestalt. Dabei braucht es beide Perspektiven! Der historische Jesus war ein echter Mensch im ersten Jahrhundert, während der Christus des Glaubens der auferstandene Jesus ist, an den Christen glauben.

Die Zeit Jesu war geprägt von politischen und religiösen Konflikten. Seine Reich-Gottes-Botschaft und die Auferstehung sind zentral - auch wenn letztere naturwissenschaftlich nicht erklärbar ist. Hier setzt der Glaube ein.

Faszination und Provokation - so wirkt Jesus bis heute. Seine radikale Hingabe zu Menschen steht unserer Selbstverwirklichung gegenüber. Sein grenzenloses Gottvertrauen passt nicht zu unseren Machbarkeitsträumen. Menschen setzen sich immer noch mit ihm auseinander - in Filmen, Musik oder persönlichen Lebensentscheidungen.

💡 Merke Jesus war eine kontroverse Person, die bis heute fasziniert und herausfordert!

ABI-ZUSAMMENFASSUNG
I. Christologie
Historischer Jesus vs. Christus des Glaubens
->kontroverse Person (konfliktreiches Auftreten, Auferstehu

Verschiedene Jesusbilder

Du begegnest Jesus heute in vielen verschiedenen Darstellungen - als romantischer Träumer oder revolutionärer Kämpfer. Einseitige Jesusbilder verkürzen jedoch seine komplexe Botschaft und Person.

Das Problem Jede Zeit projiziert ihre eigenen Vorstellungen auf Jesus. Dabei entsteht oft ein "frommes Gebrauchsbild", das nur bestimmte Aspekte betont und andere ignoriert.

Eine ausgewogene Betrachtung berücksichtigt sowohl seine göttliche als auch menschliche Seite. Jesus war Jude seiner Zeit und sprach in jüdischen Kontexten - das führte zu Konflikten, die letztendlich zu seiner Hinrichtung führten.

💡 Wichtig Hüte dich vor vereinfachten Jesusdarstellungen - die Realität war viel komplexer!

ABI-ZUSAMMENFASSUNG
I. Christologie
Historischer Jesus vs. Christus des Glaubens
->kontroverse Person (konfliktreiches Auftreten, Auferstehu

Politischer und religiöser Kontext

Stell dir vor Jesus lebte unter römischer Besatzung mit Kaiser Augustus als vergöttlichtem Herrscher. Palästina war eine unruhige Provinz unter der Kontrolle von Pontius Pilatus, dem römischen Präfekten.

Das römische Steuersystem belastete die Bevölkerung schwer. Zöllner trieben im Auftrag Roms Abgaben von Bauern, Fischern und Händlern ein - kein Wunder, dass sie verhasst waren.

Jesus geriet sowohl mit jüdischen Autoritäten als auch mit der römischen Macht in Konflikt. Seine Botschaft stellte bestehende Machtverhältnisse infrage und bedrohte sowohl religiöse als auch politische Interessen.

💡 Kontext ist wichtig Ohne die politische Lage zu verstehen, kannst du Jesu Botschaft nicht richtig einordnen!

ABI-ZUSAMMENFASSUNG
I. Christologie
Historischer Jesus vs. Christus des Glaubens
->kontroverse Person (konfliktreiches Auftreten, Auferstehu

Jesus als Bote der Gottesherrschaft

"Die Zeit ist erfüllt, das Reich Gottes ist nahe!" - das war Jesu zentrale Botschaft. Als Jude sprach er zu Juden und wusste, dass seine Worte Konflikte auslösen würden.

Seine religiöse Sozialisation als Jude prägte sein ganzes Wirken. Er verkündete nicht etwas völlig Neues, sondern interpretierte jüdische Traditionen neu - das machte ihn für viele so provokant.

Das Reich Gottes war für Jesus keine ferne Zukunftsvision, sondern bereits angebrochen. Diese Radikalität seiner Botschaft führte letztendlich zu seinem Tod am Kreuz.

💡 Zentral Jesu Reich-Gottes-Botschaft war der rote Faden seines ganzen Wirkens!

ABI-ZUSAMMENFASSUNG
I. Christologie
Historischer Jesus vs. Christus des Glaubens
->kontroverse Person (konfliktreiches Auftreten, Auferstehu

Jesus als Wundertäter und Lehrer

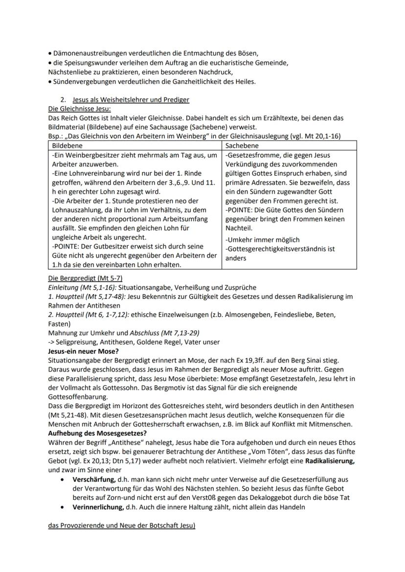
Jesu Wundertaten hatten verschiedene Funktionen Dämonenaustreibungen zeigten die Entmachtung des Bösen, Speisungswunder verdeutlichten die Nächstenliebe, und Sündenvergebungen machten die Ganzheitlichkeit des Heils sichtbar.

Seine Gleichnisse waren geniale Lehrgeschichten. Das Bildmaterial (Bildebene) verwies auf eine tiefere Sachaussage (Sachebene). Ein Beispiel ist das "Gleichnis von den Arbeitern im Weinberg" - es zeigt Gottes überraschende Gerechtigkeit.

Die Seligpreisungen stellten gültige Werte wie Reichtum und Macht radikal infrage. Jesus "verkehrte" die normalen Maßstäbe und stellte die Armen und Leidenden in den Mittelpunkt.

💡 Verstehe Jesu Lehrmethoden waren revolutionär für seine Zeit!

ABI-ZUSAMMENFASSUNG
I. Christologie
Historischer Jesus vs. Christus des Glaubens
->kontroverse Person (konfliktreiches Auftreten, Auferstehu

Wunder im antiken Weltbild

Das antike Weltbild sah Wunder als auffällige Ereignisse, die als Gottes Handeln verstanden wurden. Unser naturwissenschaftliches Weltbild erklärt sie als Vorgänge, die wissenschaftlich nicht erklärbar sind.

Untergattungen der Wundertaten zeigen die Vielfalt Exorzismen (Dämonenaustreibung), Therapien (Heilungswunder), Naturwunder wie die Stillung des Seesturms, und weitere Kategorien.

Diese Wunder waren für Jesus nie Selbstzweck, sondern Zeichen für das angebrochene Reich Gottes. Sie verdeutlichten seine Botschaft und zeigten Gottes heilende Kraft in der Welt.

💡 Denk dran Wunder waren Zeichen für Gottes Handeln, nicht magische Tricks!

ABI-ZUSAMMENFASSUNG
I. Christologie
Historischer Jesus vs. Christus des Glaubens
->kontroverse Person (konfliktreiches Auftreten, Auferstehu

Tod als Konsequenz des Wirkens

Jesu öffentliches Wirken provozierte alle wichtigen Gruppen seiner Zeit. Sein Aufruf zur Feindesliebe richtete sich gegen die Zeloten, seine Kritik am starren Gesetzesgehorsam gegen die Pharisäer.

Für die Römer war er ein gefährlicher Aufrührer, für die Hohepriester bedrohte er ihre Macht. Die Tempelreinigung und das "Gleichnis von den bösen Winzern" ließen den Konflikt eskalieren.

Besonders brisant war Jesu Vollmachtsanspruch Er vergab Sünden, was nach jüdischem Verständnis nur Gott zustand. Die Schriftgelehrten sahen das als Gotteslästerung - ein Vergehen, das die Todesstrafe nach sich zog.

Pontius Pilatus wurde vom Hohen Rat zur Verurteilung gedrängt und verurteilte Jesus gegen seine eigene Überzeugung als "König der Juden".

💡 Logisch Jesu Tod war die direkte Folge seiner kompromisslosen Botschaft!

ABI-ZUSAMMENFASSUNG
I. Christologie
Historischer Jesus vs. Christus des Glaubens
->kontroverse Person (konfliktreiches Auftreten, Auferstehu

Auferstehung und Bedeutung des Todes

Der Tod Jesu ist historisch gut belegt Er starb am Freitag vor dem Passahfest durch Kreuzigung. Die Passionsberichte der Evangelien zeigen hohe Übereinstimmung und gelten als historisch plausibel.

Die Auferstehung wird durch zwei Traditionsstränge bezeugt das leere Grab in Jerusalem und die Erscheinungen vor den Jüngern. Der Auferstehungsglaube half den Jüngern, Jesu Tod als Gottes Handeln zu verstehen.

Das Neue Testament interpretiert Jesu Tod dreifach als Lösegeld (Freikauf aus der Sünde), als Versöhnung (Wiederherstellung der Gottesbeziehung) und als Sühneopfer (Wiederherstellung der Gerechtigkeit).

1 Kor 15,3-8 gilt als ältestes Zeugnis der Auferstehung Jesus starb "für unsere Sünden", wurde begraben und am dritten Tag auferweckt - "gemäß der Schrift".

💡 Zentral Ohne Auferstehung hätte Jesu Tod nur Scheitern bedeutet!

ABI-ZUSAMMENFASSUNG
I. Christologie
Historischer Jesus vs. Christus des Glaubens
->kontroverse Person (konfliktreiches Auftreten, Auferstehu

Deutungen des Kreuzestodes

Für Juden war der Kreuzestod ein Skandal - Jesus starb als ein von Gott Verfluchter. Doch das letzte Abendmahl zeigt Jesus deutete seinen Tod als neuen Bundesschluss mit Gott.

Jesus blieb seiner Botschaft "dienen, nicht herrschen" bis in den Tod treu. Durch seine konsequent gelebte Liebe und seinen unerschütterlichen Gottesglauben durchbrach er den Teufelskreis der Sünde.

Die Satisfaktionslehre von Anselm von Canterbury erklärt Die Sünde entehrte Gott und musste gesühnt werden. Da Menschen dazu unfähig waren, wurde Gott Mensch, um als Jesus Christus die nötige Genugtuung zu leisten.

Kritik an dieser Lehre Braucht Gott wirklich ein blutiges Opfer? Mittelposition Der Kreuzestod war heilsnotwendig, weil Christus zeigte, dass Leiden nicht gleichgültig ist - er stellte sich zu den Leidenden.

💡 Komplex Es gibt verschiedene Deutungen - alle versuchen das Unfassbare zu erklären!

ABI-ZUSAMMENFASSUNG
I. Christologie
Historischer Jesus vs. Christus des Glaubens
->kontroverse Person (konfliktreiches Auftreten, Auferstehu

Wir dachten, du würdest nie fragen...

Was ist der Knowunity KI-Begleiter?

Unser KI-Begleiter ist speziell auf die Bedürfnisse von Schülern zugeschnitten. Basierend auf den Millionen von Inhalten, die wir auf der Plattform haben, können wir den Schülern wirklich sinnvolle und relevante Antworten geben. Aber es geht nicht nur um Antworten, sondern der Begleiter führt die Schüler auch durch ihre täglichen Lernherausforderungen, mit personalisierten Lernplänen, Quizfragen oder Inhalten im Chat und einer 100% Personalisierung basierend auf den Fähigkeiten und Entwicklungen der Schüler.

Wo kann ich mir die Knowunity-App herunterladen?

Du kannst dir die App im Google Play Store und im Apple App Store herunterladen.

Ist Knowunity wirklich kostenlos?

Ja, du hast kostenlosen Zugriff auf Inhalte in der App und auf unseren KI-Begleiter. Zum Freischalten bestimmter Features in der App kannst du Knowunity Pro erwerben.

91

Smarte Tools NEU

Verwandle diese Notizen in: ✓ 50+ Übungsaufgaben ✓ Interaktive Karteikarten ✓ Vollständige Probeklausur ✓ Aufsatz-Gliederungen

Probeklausur
Quiz
Flashcards
Aufsatz

Ähnliche Inhalte

Reich Gottes: Glauben und Gleichnisse

Entdecken Sie die Konzepte des Reiches Gottes, das durch Glauben wächst und in der Gegenwart sowie Zukunft wirkt. Diese Zusammenfassung behandelt die Verkündigung durch Jesus, die Bedeutung von Gleichnissen wie dem Senfkorn und dem barmherzigen Samariter, sowie die Dimensionen der Botschaft. Ideal für Studierende, die die theologischen Grundlagen und die praktische Anwendung im Glaubensleben verstehen möchten.

ReligionReligion
11

Jesu Selbstverständnis und das Reich Gottes

Diese Zusammenfassung behandelt das Selbstverständnis Jesu als Befreier und seine Botschaft vom Reich Gottes. Es wird erläutert, wie Jesus durch seine Taten und Predigten das Reich Gottes verkündet und gegenwärtig macht. Die zentrale Rolle seiner Wunder und die positive Botschaft der Frohbotschaft werden hervorgehoben. Ideal für Studierende der Theologie und Religionswissenschaften.

ReligionReligion
11

Christologie: Göttlich und Menschlich

Diese Zusammenfassung behandelt die duale Perspektive der Christologie, die sowohl die Göttlichkeit als auch die Menschlichkeit Jesu Christi beleuchtet. Die Christologie von oben betont die göttlichen Eigenschaften Jesu und seine Erfüllung des göttlichen Willens, während die Christologie von unten die menschlichen Erfahrungen und das Leiden Jesu in den Vordergrund stellt. Beide Perspektiven sind entscheidend für das Verständnis von Jesus Christus als wahrer Mensch und wahrer Gott, wie im Konzil von Chalcedon formuliert.

ReligionReligion
11

Nächstenliebe und Altruismus

Diese Präsentation behandelt die Konzepte der Nächstenliebe und des Altruismus innerhalb der christlichen Ethik. Sie umfasst das Trolleyproblem, das Doppelgebot der Liebe und die Bedeutung von selbstlosem Handeln. Ideal für Studierende, die sich mit ethischen Fragestellungen im Christentum auseinandersetzen möchten.

ReligionReligion
11

Christologie: Mensch und Gott

Dieser Lernzettel bietet eine umfassende Analyse der Christologie, die die menschliche und göttliche Natur Jesu beleuchtet. Er behandelt zentrale Themen wie die Auferstehung, den Tod Jesu, die Bedeutung des Abendmahls und die Prädestination. Ideal für Studierende, die ein tieferes Verständnis der vier Evangelien und der Grundlagen des Christentums erlangen möchten.

ReligionReligion
11

Reich Gottes und Jesus

Erforschen Sie die zentrale Rolle Jesu im Reich Gottes, seine Lehren, die Bergpredigt und die Bedeutung seiner Wiederkunft. Diese Zusammenfassung bietet einen tiefen Einblick in die theologischen Konzepte und die historische Perspektive Jesu, einschließlich der Erwartungen an das Himmelreich und der Herausforderungen für Gläubige. Ideal für das Verständnis der christlichen Lehre und der biblischen Grundlagen.

ReligionReligion
13

Nichts passendes dabei? Erkunde andere Fachbereiche.

Schüler:innen lieben uns — und du wirst es auch.

4.9/5

App Store

4.8/5

Google Play

Die App ist sehr leicht und gut gestaltet. Habe bis jetzt alles gefunden, nachdem ich gesucht habe und aus den Präsentationen echt viel lernen können! Die App werde ich auf jeden Fall für eine Klassenarbeit verwenden! Und als eigene Inspiration hilft sie natürlich auch sehr.

Stefan S

iOS user

Diese App ist wirklich echt super. Es gibt so viele Lernzettel und Hilfen, […]. Mein Problemfach ist zum Beispiel Französisch und die App hat mega viel Auswahl für Hilfe. Dank dieser App habe ich mich in Französisch verbessert. Ich würde diese jedem weiterempfehlen.

Samantha Klich

Android user

Wow ich bin wirklich komplett baff. Habe die App nur mal so ausprobiert, weil ich es schon oft in der Werbung gesehen habe und war absolut geschockt. Diese App ist DIE HILFE, die man sich für die Schule wünscht und vor allem werden so viele Sachen angeboten, wie z.B. Ausarbeitungen und Merkblätter, welche mir persönlich SEHR weitergeholfen haben.

Anna

iOS user

Ich finde Knowunity so grandios. Ich lerne wirklich für alles damit. Es gibt so viele verschiedene Lernzettel, die sehr gut erklärt sind!

Jana V

iOS user

Ich liebe diese App sie hilft mir vor jeder Arbeit kann Aufgaben kontrollieren sowie lösen und ist wirklich vielfältig verwendbar. Man kann mit diesem Fuchs auch normal reden so wie Probleme im echten Leben besprechen und er hilft einem. Wirklich sehr gut diese App kann ich nur weiter empfehlen, gerade für Menschen die etwas länger brauchen etwas zu verstehen!

Lena M

Android user

Ich finde Knowunity ist eine super App. Für die Schule ist sie ideal , wegen den Lernzetteln, Quizen und dem AI. Das gute an AI ist , dass er nicht direkt nur die Lösung ausspuckt sondern einen Weg zeigt wie man darauf kommt. Manchmal gibt er einem auch nur einen Tipp damit man selbst darauf kommt . Mir hilft Knowunity persönlich sehr viel und ich kann sie nur weiterempfehlen ☺️

Timo S

iOS user

Die App ist einfach super! Ich muss nur in die Suchleiste mein Thema eintragen und ich checke es sehr schnell. Ich muss nicht mehr 10 YouTube Videos gucken, um etwas zu verstehen und somit spare ich mir meine Zeit. Einfach zu empfehlen!!

Sudenaz Ocak

Android user

Diese App hat mich echt verbessert! In der Schule war ich richtig schlecht in Mathe und dank der App kann ich besser Mathe! Ich bin so dankbar, dass ihr die App gemacht habt.

Greenlight Bonnie

Android user

Ich benutze Knowunity schon sehr lange und meine Noten haben sich verbessert die App hilft mir bei Mathe,Englisch u.s.w. Ich bekomme Hilfe wenn ich sie brauche und bekomme sogar Glückwünsche für meine Arbeit Deswegen von mir 5 Sterne🫶🏼

Julia S

Android user

Also die App hat mir echt in super vielen Fächern geholfen! Ich hatte in der Mathe Arbeit davor eine 3+ und habe nur durch den School GPT und die Lernzettek auf der App eine 1-3 in Mathe geschafft…Ich bin Mega glücklich darüber also ja wircklich eine super App zum lernen und es spart sehr viel Heit dass man mehr Freizeit hat!

Marcus B

iOS user

Mit dieser App hab ich bessere Noten bekommen. Bessere Lernzettel gekriegt. Ich habe die App benutzt, als ich die Fächer nicht ganz verstanden habe,diese App ist ein würcklich GameChanger für die Schule, Hausaufgaben

Sarah L

Android user

Hatte noch nie so viel Spaß beim Lernen und der School Bot macht super Aufschriebe die man Herunterladen kann total Übersichtlich und Lehreich. Bin begeistert.

Hans T

iOS user

Die App ist sehr leicht und gut gestaltet. Habe bis jetzt alles gefunden, nachdem ich gesucht habe und aus den Präsentationen echt viel lernen können! Die App werde ich auf jeden Fall für eine Klassenarbeit verwenden! Und als eigene Inspiration hilft sie natürlich auch sehr.

Stefan S

iOS user

Diese App ist wirklich echt super. Es gibt so viele Lernzettel und Hilfen, […]. Mein Problemfach ist zum Beispiel Französisch und die App hat mega viel Auswahl für Hilfe. Dank dieser App habe ich mich in Französisch verbessert. Ich würde diese jedem weiterempfehlen.

Samantha Klich

Android user

Wow ich bin wirklich komplett baff. Habe die App nur mal so ausprobiert, weil ich es schon oft in der Werbung gesehen habe und war absolut geschockt. Diese App ist DIE HILFE, die man sich für die Schule wünscht und vor allem werden so viele Sachen angeboten, wie z.B. Ausarbeitungen und Merkblätter, welche mir persönlich SEHR weitergeholfen haben.

Anna

iOS user

Ich finde Knowunity so grandios. Ich lerne wirklich für alles damit. Es gibt so viele verschiedene Lernzettel, die sehr gut erklärt sind!

Jana V

iOS user

Ich liebe diese App sie hilft mir vor jeder Arbeit kann Aufgaben kontrollieren sowie lösen und ist wirklich vielfältig verwendbar. Man kann mit diesem Fuchs auch normal reden so wie Probleme im echten Leben besprechen und er hilft einem. Wirklich sehr gut diese App kann ich nur weiter empfehlen, gerade für Menschen die etwas länger brauchen etwas zu verstehen!

Lena M

Android user

Ich finde Knowunity ist eine super App. Für die Schule ist sie ideal , wegen den Lernzetteln, Quizen und dem AI. Das gute an AI ist , dass er nicht direkt nur die Lösung ausspuckt sondern einen Weg zeigt wie man darauf kommt. Manchmal gibt er einem auch nur einen Tipp damit man selbst darauf kommt . Mir hilft Knowunity persönlich sehr viel und ich kann sie nur weiterempfehlen ☺️

Timo S

iOS user

Die App ist einfach super! Ich muss nur in die Suchleiste mein Thema eintragen und ich checke es sehr schnell. Ich muss nicht mehr 10 YouTube Videos gucken, um etwas zu verstehen und somit spare ich mir meine Zeit. Einfach zu empfehlen!!

Sudenaz Ocak

Android user

Diese App hat mich echt verbessert! In der Schule war ich richtig schlecht in Mathe und dank der App kann ich besser Mathe! Ich bin so dankbar, dass ihr die App gemacht habt.

Greenlight Bonnie

Android user

Ich benutze Knowunity schon sehr lange und meine Noten haben sich verbessert die App hilft mir bei Mathe,Englisch u.s.w. Ich bekomme Hilfe wenn ich sie brauche und bekomme sogar Glückwünsche für meine Arbeit Deswegen von mir 5 Sterne🫶🏼

Julia S

Android user

Also die App hat mir echt in super vielen Fächern geholfen! Ich hatte in der Mathe Arbeit davor eine 3+ und habe nur durch den School GPT und die Lernzettek auf der App eine 1-3 in Mathe geschafft…Ich bin Mega glücklich darüber also ja wircklich eine super App zum lernen und es spart sehr viel Heit dass man mehr Freizeit hat!

Marcus B

iOS user

Mit dieser App hab ich bessere Noten bekommen. Bessere Lernzettel gekriegt. Ich habe die App benutzt, als ich die Fächer nicht ganz verstanden habe,diese App ist ein würcklich GameChanger für die Schule, Hausaufgaben

Sarah L

Android user

Hatte noch nie so viel Spaß beim Lernen und der School Bot macht super Aufschriebe die man Herunterladen kann total Übersichtlich und Lehreich. Bin begeistert.

Hans T

iOS user

 

Religion

4.268

6. Dez. 2025

11 Seiten

Christologie Lernblätter - Abitur Zusammenfassung

S

sstrn

@sstrn_qwue

Christologie beschäftigt sich mit der Person Jesus Christus - sowohl dem historischen Menschen als auch dem Glauben an ihn. Es geht darum, wer Jesus wirklich war und welche Bedeutung er heute noch hat.

ABI-ZUSAMMENFASSUNG
I. Christologie
Historischer Jesus vs. Christus des Glaubens
->kontroverse Person (konfliktreiches Auftreten, Auferstehu

Melde dich an, um den Inhalt freizuschaltenEs ist kostenlos!

Zugriff auf alle Dokumente

Verbessere deine Noten

Werde Teil der Community

Mit der Anmeldung akzeptierst du die Nutzungsbedingungen und die Datenschutzrichtlinie

Jesus zwischen Geschichte und Glaube

Kennst du das? Manche sehen Jesus nur als historische Figur, andere nur als Glaubensgestalt. Dabei braucht es beide Perspektiven! Der historische Jesus war ein echter Mensch im ersten Jahrhundert, während der Christus des Glaubens der auferstandene Jesus ist, an den Christen glauben.

Die Zeit Jesu war geprägt von politischen und religiösen Konflikten. Seine Reich-Gottes-Botschaft und die Auferstehung sind zentral - auch wenn letztere naturwissenschaftlich nicht erklärbar ist. Hier setzt der Glaube ein.

Faszination und Provokation - so wirkt Jesus bis heute. Seine radikale Hingabe zu Menschen steht unserer Selbstverwirklichung gegenüber. Sein grenzenloses Gottvertrauen passt nicht zu unseren Machbarkeitsträumen. Menschen setzen sich immer noch mit ihm auseinander - in Filmen, Musik oder persönlichen Lebensentscheidungen.

💡 Merke: Jesus war eine kontroverse Person, die bis heute fasziniert und herausfordert!

ABI-ZUSAMMENFASSUNG
I. Christologie
Historischer Jesus vs. Christus des Glaubens
->kontroverse Person (konfliktreiches Auftreten, Auferstehu

Melde dich an, um den Inhalt freizuschaltenEs ist kostenlos!

Zugriff auf alle Dokumente

Verbessere deine Noten

Werde Teil der Community

Mit der Anmeldung akzeptierst du die Nutzungsbedingungen und die Datenschutzrichtlinie

Verschiedene Jesusbilder

Du begegnest Jesus heute in vielen verschiedenen Darstellungen - als romantischer Träumer oder revolutionärer Kämpfer. Einseitige Jesusbilder verkürzen jedoch seine komplexe Botschaft und Person.

Das Problem: Jede Zeit projiziert ihre eigenen Vorstellungen auf Jesus. Dabei entsteht oft ein "frommes Gebrauchsbild", das nur bestimmte Aspekte betont und andere ignoriert.

Eine ausgewogene Betrachtung berücksichtigt sowohl seine göttliche als auch menschliche Seite. Jesus war Jude seiner Zeit und sprach in jüdischen Kontexten - das führte zu Konflikten, die letztendlich zu seiner Hinrichtung führten.

💡 Wichtig: Hüte dich vor vereinfachten Jesusdarstellungen - die Realität war viel komplexer!

ABI-ZUSAMMENFASSUNG
I. Christologie
Historischer Jesus vs. Christus des Glaubens
->kontroverse Person (konfliktreiches Auftreten, Auferstehu

Melde dich an, um den Inhalt freizuschaltenEs ist kostenlos!

Zugriff auf alle Dokumente

Verbessere deine Noten

Werde Teil der Community

Mit der Anmeldung akzeptierst du die Nutzungsbedingungen und die Datenschutzrichtlinie

Politischer und religiöser Kontext

Stell dir vor: Jesus lebte unter römischer Besatzung mit Kaiser Augustus als vergöttlichtem Herrscher. Palästina war eine unruhige Provinz unter der Kontrolle von Pontius Pilatus, dem römischen Präfekten.

Das römische Steuersystem belastete die Bevölkerung schwer. Zöllner trieben im Auftrag Roms Abgaben von Bauern, Fischern und Händlern ein - kein Wunder, dass sie verhasst waren.

Jesus geriet sowohl mit jüdischen Autoritäten als auch mit der römischen Macht in Konflikt. Seine Botschaft stellte bestehende Machtverhältnisse infrage und bedrohte sowohl religiöse als auch politische Interessen.

💡 Kontext ist wichtig: Ohne die politische Lage zu verstehen, kannst du Jesu Botschaft nicht richtig einordnen!

ABI-ZUSAMMENFASSUNG
I. Christologie
Historischer Jesus vs. Christus des Glaubens
->kontroverse Person (konfliktreiches Auftreten, Auferstehu

Melde dich an, um den Inhalt freizuschaltenEs ist kostenlos!

Zugriff auf alle Dokumente

Verbessere deine Noten

Werde Teil der Community

Mit der Anmeldung akzeptierst du die Nutzungsbedingungen und die Datenschutzrichtlinie

Jesus als Bote der Gottesherrschaft

"Die Zeit ist erfüllt, das Reich Gottes ist nahe!" - das war Jesu zentrale Botschaft. Als Jude sprach er zu Juden und wusste, dass seine Worte Konflikte auslösen würden.

Seine religiöse Sozialisation als Jude prägte sein ganzes Wirken. Er verkündete nicht etwas völlig Neues, sondern interpretierte jüdische Traditionen neu - das machte ihn für viele so provokant.

Das Reich Gottes war für Jesus keine ferne Zukunftsvision, sondern bereits angebrochen. Diese Radikalität seiner Botschaft führte letztendlich zu seinem Tod am Kreuz.

💡 Zentral: Jesu Reich-Gottes-Botschaft war der rote Faden seines ganzen Wirkens!

ABI-ZUSAMMENFASSUNG
I. Christologie
Historischer Jesus vs. Christus des Glaubens
->kontroverse Person (konfliktreiches Auftreten, Auferstehu

Melde dich an, um den Inhalt freizuschaltenEs ist kostenlos!

Zugriff auf alle Dokumente

Verbessere deine Noten

Werde Teil der Community

Mit der Anmeldung akzeptierst du die Nutzungsbedingungen und die Datenschutzrichtlinie

Jesus als Wundertäter und Lehrer

Jesu Wundertaten hatten verschiedene Funktionen: Dämonenaustreibungen zeigten die Entmachtung des Bösen, Speisungswunder verdeutlichten die Nächstenliebe, und Sündenvergebungen machten die Ganzheitlichkeit des Heils sichtbar.

Seine Gleichnisse waren geniale Lehrgeschichten. Das Bildmaterial (Bildebene) verwies auf eine tiefere Sachaussage (Sachebene). Ein Beispiel ist das "Gleichnis von den Arbeitern im Weinberg" - es zeigt Gottes überraschende Gerechtigkeit.

Die Seligpreisungen stellten gültige Werte wie Reichtum und Macht radikal infrage. Jesus "verkehrte" die normalen Maßstäbe und stellte die Armen und Leidenden in den Mittelpunkt.

💡 Verstehe: Jesu Lehrmethoden waren revolutionär für seine Zeit!

ABI-ZUSAMMENFASSUNG
I. Christologie
Historischer Jesus vs. Christus des Glaubens
->kontroverse Person (konfliktreiches Auftreten, Auferstehu

Melde dich an, um den Inhalt freizuschaltenEs ist kostenlos!

Zugriff auf alle Dokumente

Verbessere deine Noten

Werde Teil der Community

Mit der Anmeldung akzeptierst du die Nutzungsbedingungen und die Datenschutzrichtlinie

Wunder im antiken Weltbild

Das antike Weltbild sah Wunder als auffällige Ereignisse, die als Gottes Handeln verstanden wurden. Unser naturwissenschaftliches Weltbild erklärt sie als Vorgänge, die wissenschaftlich nicht erklärbar sind.

Untergattungen der Wundertaten zeigen die Vielfalt: Exorzismen (Dämonenaustreibung), Therapien (Heilungswunder), Naturwunder wie die Stillung des Seesturms, und weitere Kategorien.

Diese Wunder waren für Jesus nie Selbstzweck, sondern Zeichen für das angebrochene Reich Gottes. Sie verdeutlichten seine Botschaft und zeigten Gottes heilende Kraft in der Welt.

💡 Denk dran: Wunder waren Zeichen für Gottes Handeln, nicht magische Tricks!

ABI-ZUSAMMENFASSUNG
I. Christologie
Historischer Jesus vs. Christus des Glaubens
->kontroverse Person (konfliktreiches Auftreten, Auferstehu

Melde dich an, um den Inhalt freizuschaltenEs ist kostenlos!

Zugriff auf alle Dokumente

Verbessere deine Noten

Werde Teil der Community

Mit der Anmeldung akzeptierst du die Nutzungsbedingungen und die Datenschutzrichtlinie

Tod als Konsequenz des Wirkens

Jesu öffentliches Wirken provozierte alle wichtigen Gruppen seiner Zeit. Sein Aufruf zur Feindesliebe richtete sich gegen die Zeloten, seine Kritik am starren Gesetzesgehorsam gegen die Pharisäer.

Für die Römer war er ein gefährlicher Aufrührer, für die Hohepriester bedrohte er ihre Macht. Die Tempelreinigung und das "Gleichnis von den bösen Winzern" ließen den Konflikt eskalieren.

Besonders brisant war Jesu Vollmachtsanspruch: Er vergab Sünden, was nach jüdischem Verständnis nur Gott zustand. Die Schriftgelehrten sahen das als Gotteslästerung - ein Vergehen, das die Todesstrafe nach sich zog.

Pontius Pilatus wurde vom Hohen Rat zur Verurteilung gedrängt und verurteilte Jesus gegen seine eigene Überzeugung als "König der Juden".

💡 Logisch: Jesu Tod war die direkte Folge seiner kompromisslosen Botschaft!

ABI-ZUSAMMENFASSUNG
I. Christologie
Historischer Jesus vs. Christus des Glaubens
->kontroverse Person (konfliktreiches Auftreten, Auferstehu

Melde dich an, um den Inhalt freizuschaltenEs ist kostenlos!

Zugriff auf alle Dokumente

Verbessere deine Noten

Werde Teil der Community

Mit der Anmeldung akzeptierst du die Nutzungsbedingungen und die Datenschutzrichtlinie

Auferstehung und Bedeutung des Todes

Der Tod Jesu ist historisch gut belegt: Er starb am Freitag vor dem Passahfest durch Kreuzigung. Die Passionsberichte der Evangelien zeigen hohe Übereinstimmung und gelten als historisch plausibel.

Die Auferstehung wird durch zwei Traditionsstränge bezeugt: das leere Grab in Jerusalem und die Erscheinungen vor den Jüngern. Der Auferstehungsglaube half den Jüngern, Jesu Tod als Gottes Handeln zu verstehen.

Das Neue Testament interpretiert Jesu Tod dreifach: als Lösegeld (Freikauf aus der Sünde), als Versöhnung (Wiederherstellung der Gottesbeziehung) und als Sühneopfer (Wiederherstellung der Gerechtigkeit).

1 Kor 15,3-8 gilt als ältestes Zeugnis der Auferstehung: Jesus starb "für unsere Sünden", wurde begraben und am dritten Tag auferweckt - "gemäß der Schrift".

💡 Zentral: Ohne Auferstehung hätte Jesu Tod nur Scheitern bedeutet!

ABI-ZUSAMMENFASSUNG
I. Christologie
Historischer Jesus vs. Christus des Glaubens
->kontroverse Person (konfliktreiches Auftreten, Auferstehu

Melde dich an, um den Inhalt freizuschaltenEs ist kostenlos!

Zugriff auf alle Dokumente

Verbessere deine Noten

Werde Teil der Community

Mit der Anmeldung akzeptierst du die Nutzungsbedingungen und die Datenschutzrichtlinie

Deutungen des Kreuzestodes

Für Juden war der Kreuzestod ein Skandal - Jesus starb als ein von Gott Verfluchter. Doch das letzte Abendmahl zeigt: Jesus deutete seinen Tod als neuen Bundesschluss mit Gott.

Jesus blieb seiner Botschaft "dienen, nicht herrschen" bis in den Tod treu. Durch seine konsequent gelebte Liebe und seinen unerschütterlichen Gottesglauben durchbrach er den Teufelskreis der Sünde.

Die Satisfaktionslehre von Anselm von Canterbury erklärt: Die Sünde entehrte Gott und musste gesühnt werden. Da Menschen dazu unfähig waren, wurde Gott Mensch, um als Jesus Christus die nötige Genugtuung zu leisten.

Kritik an dieser Lehre: Braucht Gott wirklich ein blutiges Opfer? Mittelposition: Der Kreuzestod war heilsnotwendig, weil Christus zeigte, dass Leiden nicht gleichgültig ist - er stellte sich zu den Leidenden.

💡 Komplex: Es gibt verschiedene Deutungen - alle versuchen das Unfassbare zu erklären!

ABI-ZUSAMMENFASSUNG
I. Christologie
Historischer Jesus vs. Christus des Glaubens
->kontroverse Person (konfliktreiches Auftreten, Auferstehu

Melde dich an, um den Inhalt freizuschaltenEs ist kostenlos!

Zugriff auf alle Dokumente

Verbessere deine Noten

Werde Teil der Community

Mit der Anmeldung akzeptierst du die Nutzungsbedingungen und die Datenschutzrichtlinie

Wir dachten, du würdest nie fragen...

Was ist der Knowunity KI-Begleiter?

Unser KI-Begleiter ist speziell auf die Bedürfnisse von Schülern zugeschnitten. Basierend auf den Millionen von Inhalten, die wir auf der Plattform haben, können wir den Schülern wirklich sinnvolle und relevante Antworten geben. Aber es geht nicht nur um Antworten, sondern der Begleiter führt die Schüler auch durch ihre täglichen Lernherausforderungen, mit personalisierten Lernplänen, Quizfragen oder Inhalten im Chat und einer 100% Personalisierung basierend auf den Fähigkeiten und Entwicklungen der Schüler.

Wo kann ich mir die Knowunity-App herunterladen?

Du kannst dir die App im Google Play Store und im Apple App Store herunterladen.

Ist Knowunity wirklich kostenlos?

Ja, du hast kostenlosen Zugriff auf Inhalte in der App und auf unseren KI-Begleiter. Zum Freischalten bestimmter Features in der App kannst du Knowunity Pro erwerben.

91

Smarte Tools NEU

Verwandle diese Notizen in: ✓ 50+ Übungsaufgaben ✓ Interaktive Karteikarten ✓ Vollständige Probeklausur ✓ Aufsatz-Gliederungen

Probeklausur
Quiz
Flashcards
Aufsatz

Ähnliche Inhalte

Reich Gottes: Glauben und Gleichnisse

Entdecken Sie die Konzepte des Reiches Gottes, das durch Glauben wächst und in der Gegenwart sowie Zukunft wirkt. Diese Zusammenfassung behandelt die Verkündigung durch Jesus, die Bedeutung von Gleichnissen wie dem Senfkorn und dem barmherzigen Samariter, sowie die Dimensionen der Botschaft. Ideal für Studierende, die die theologischen Grundlagen und die praktische Anwendung im Glaubensleben verstehen möchten.

ReligionReligion
11

Jesu Selbstverständnis und das Reich Gottes

Diese Zusammenfassung behandelt das Selbstverständnis Jesu als Befreier und seine Botschaft vom Reich Gottes. Es wird erläutert, wie Jesus durch seine Taten und Predigten das Reich Gottes verkündet und gegenwärtig macht. Die zentrale Rolle seiner Wunder und die positive Botschaft der Frohbotschaft werden hervorgehoben. Ideal für Studierende der Theologie und Religionswissenschaften.

ReligionReligion
11

Christologie: Göttlich und Menschlich

Diese Zusammenfassung behandelt die duale Perspektive der Christologie, die sowohl die Göttlichkeit als auch die Menschlichkeit Jesu Christi beleuchtet. Die Christologie von oben betont die göttlichen Eigenschaften Jesu und seine Erfüllung des göttlichen Willens, während die Christologie von unten die menschlichen Erfahrungen und das Leiden Jesu in den Vordergrund stellt. Beide Perspektiven sind entscheidend für das Verständnis von Jesus Christus als wahrer Mensch und wahrer Gott, wie im Konzil von Chalcedon formuliert.

ReligionReligion
11

Nächstenliebe und Altruismus

Diese Präsentation behandelt die Konzepte der Nächstenliebe und des Altruismus innerhalb der christlichen Ethik. Sie umfasst das Trolleyproblem, das Doppelgebot der Liebe und die Bedeutung von selbstlosem Handeln. Ideal für Studierende, die sich mit ethischen Fragestellungen im Christentum auseinandersetzen möchten.

ReligionReligion
11

Christologie: Mensch und Gott

Dieser Lernzettel bietet eine umfassende Analyse der Christologie, die die menschliche und göttliche Natur Jesu beleuchtet. Er behandelt zentrale Themen wie die Auferstehung, den Tod Jesu, die Bedeutung des Abendmahls und die Prädestination. Ideal für Studierende, die ein tieferes Verständnis der vier Evangelien und der Grundlagen des Christentums erlangen möchten.

ReligionReligion
11

Reich Gottes und Jesus

Erforschen Sie die zentrale Rolle Jesu im Reich Gottes, seine Lehren, die Bergpredigt und die Bedeutung seiner Wiederkunft. Diese Zusammenfassung bietet einen tiefen Einblick in die theologischen Konzepte und die historische Perspektive Jesu, einschließlich der Erwartungen an das Himmelreich und der Herausforderungen für Gläubige. Ideal für das Verständnis der christlichen Lehre und der biblischen Grundlagen.

ReligionReligion
13

Nichts passendes dabei? Erkunde andere Fachbereiche.

Schüler:innen lieben uns — und du wirst es auch.

4.9/5

App Store

4.8/5

Google Play

Die App ist sehr leicht und gut gestaltet. Habe bis jetzt alles gefunden, nachdem ich gesucht habe und aus den Präsentationen echt viel lernen können! Die App werde ich auf jeden Fall für eine Klassenarbeit verwenden! Und als eigene Inspiration hilft sie natürlich auch sehr.

Stefan S

iOS user

Diese App ist wirklich echt super. Es gibt so viele Lernzettel und Hilfen, […]. Mein Problemfach ist zum Beispiel Französisch und die App hat mega viel Auswahl für Hilfe. Dank dieser App habe ich mich in Französisch verbessert. Ich würde diese jedem weiterempfehlen.

Samantha Klich

Android user

Wow ich bin wirklich komplett baff. Habe die App nur mal so ausprobiert, weil ich es schon oft in der Werbung gesehen habe und war absolut geschockt. Diese App ist DIE HILFE, die man sich für die Schule wünscht und vor allem werden so viele Sachen angeboten, wie z.B. Ausarbeitungen und Merkblätter, welche mir persönlich SEHR weitergeholfen haben.

Anna

iOS user

Ich finde Knowunity so grandios. Ich lerne wirklich für alles damit. Es gibt so viele verschiedene Lernzettel, die sehr gut erklärt sind!

Jana V

iOS user

Ich liebe diese App sie hilft mir vor jeder Arbeit kann Aufgaben kontrollieren sowie lösen und ist wirklich vielfältig verwendbar. Man kann mit diesem Fuchs auch normal reden so wie Probleme im echten Leben besprechen und er hilft einem. Wirklich sehr gut diese App kann ich nur weiter empfehlen, gerade für Menschen die etwas länger brauchen etwas zu verstehen!

Lena M

Android user

Ich finde Knowunity ist eine super App. Für die Schule ist sie ideal , wegen den Lernzetteln, Quizen und dem AI. Das gute an AI ist , dass er nicht direkt nur die Lösung ausspuckt sondern einen Weg zeigt wie man darauf kommt. Manchmal gibt er einem auch nur einen Tipp damit man selbst darauf kommt . Mir hilft Knowunity persönlich sehr viel und ich kann sie nur weiterempfehlen ☺️

Timo S

iOS user

Die App ist einfach super! Ich muss nur in die Suchleiste mein Thema eintragen und ich checke es sehr schnell. Ich muss nicht mehr 10 YouTube Videos gucken, um etwas zu verstehen und somit spare ich mir meine Zeit. Einfach zu empfehlen!!

Sudenaz Ocak

Android user

Diese App hat mich echt verbessert! In der Schule war ich richtig schlecht in Mathe und dank der App kann ich besser Mathe! Ich bin so dankbar, dass ihr die App gemacht habt.

Greenlight Bonnie

Android user

Ich benutze Knowunity schon sehr lange und meine Noten haben sich verbessert die App hilft mir bei Mathe,Englisch u.s.w. Ich bekomme Hilfe wenn ich sie brauche und bekomme sogar Glückwünsche für meine Arbeit Deswegen von mir 5 Sterne🫶🏼

Julia S

Android user

Also die App hat mir echt in super vielen Fächern geholfen! Ich hatte in der Mathe Arbeit davor eine 3+ und habe nur durch den School GPT und die Lernzettek auf der App eine 1-3 in Mathe geschafft…Ich bin Mega glücklich darüber also ja wircklich eine super App zum lernen und es spart sehr viel Heit dass man mehr Freizeit hat!

Marcus B

iOS user

Mit dieser App hab ich bessere Noten bekommen. Bessere Lernzettel gekriegt. Ich habe die App benutzt, als ich die Fächer nicht ganz verstanden habe,diese App ist ein würcklich GameChanger für die Schule, Hausaufgaben

Sarah L

Android user

Hatte noch nie so viel Spaß beim Lernen und der School Bot macht super Aufschriebe die man Herunterladen kann total Übersichtlich und Lehreich. Bin begeistert.

Hans T

iOS user

Die App ist sehr leicht und gut gestaltet. Habe bis jetzt alles gefunden, nachdem ich gesucht habe und aus den Präsentationen echt viel lernen können! Die App werde ich auf jeden Fall für eine Klassenarbeit verwenden! Und als eigene Inspiration hilft sie natürlich auch sehr.

Stefan S

iOS user

Diese App ist wirklich echt super. Es gibt so viele Lernzettel und Hilfen, […]. Mein Problemfach ist zum Beispiel Französisch und die App hat mega viel Auswahl für Hilfe. Dank dieser App habe ich mich in Französisch verbessert. Ich würde diese jedem weiterempfehlen.

Samantha Klich

Android user

Wow ich bin wirklich komplett baff. Habe die App nur mal so ausprobiert, weil ich es schon oft in der Werbung gesehen habe und war absolut geschockt. Diese App ist DIE HILFE, die man sich für die Schule wünscht und vor allem werden so viele Sachen angeboten, wie z.B. Ausarbeitungen und Merkblätter, welche mir persönlich SEHR weitergeholfen haben.

Anna

iOS user

Ich finde Knowunity so grandios. Ich lerne wirklich für alles damit. Es gibt so viele verschiedene Lernzettel, die sehr gut erklärt sind!

Jana V

iOS user

Ich liebe diese App sie hilft mir vor jeder Arbeit kann Aufgaben kontrollieren sowie lösen und ist wirklich vielfältig verwendbar. Man kann mit diesem Fuchs auch normal reden so wie Probleme im echten Leben besprechen und er hilft einem. Wirklich sehr gut diese App kann ich nur weiter empfehlen, gerade für Menschen die etwas länger brauchen etwas zu verstehen!

Lena M

Android user

Ich finde Knowunity ist eine super App. Für die Schule ist sie ideal , wegen den Lernzetteln, Quizen und dem AI. Das gute an AI ist , dass er nicht direkt nur die Lösung ausspuckt sondern einen Weg zeigt wie man darauf kommt. Manchmal gibt er einem auch nur einen Tipp damit man selbst darauf kommt . Mir hilft Knowunity persönlich sehr viel und ich kann sie nur weiterempfehlen ☺️

Timo S

iOS user

Die App ist einfach super! Ich muss nur in die Suchleiste mein Thema eintragen und ich checke es sehr schnell. Ich muss nicht mehr 10 YouTube Videos gucken, um etwas zu verstehen und somit spare ich mir meine Zeit. Einfach zu empfehlen!!

Sudenaz Ocak

Android user

Diese App hat mich echt verbessert! In der Schule war ich richtig schlecht in Mathe und dank der App kann ich besser Mathe! Ich bin so dankbar, dass ihr die App gemacht habt.

Greenlight Bonnie

Android user

Ich benutze Knowunity schon sehr lange und meine Noten haben sich verbessert die App hilft mir bei Mathe,Englisch u.s.w. Ich bekomme Hilfe wenn ich sie brauche und bekomme sogar Glückwünsche für meine Arbeit Deswegen von mir 5 Sterne🫶🏼

Julia S

Android user

Also die App hat mir echt in super vielen Fächern geholfen! Ich hatte in der Mathe Arbeit davor eine 3+ und habe nur durch den School GPT und die Lernzettek auf der App eine 1-3 in Mathe geschafft…Ich bin Mega glücklich darüber also ja wircklich eine super App zum lernen und es spart sehr viel Heit dass man mehr Freizeit hat!

Marcus B

iOS user

Mit dieser App hab ich bessere Noten bekommen. Bessere Lernzettel gekriegt. Ich habe die App benutzt, als ich die Fächer nicht ganz verstanden habe,diese App ist ein würcklich GameChanger für die Schule, Hausaufgaben

Sarah L

Android user

Hatte noch nie so viel Spaß beim Lernen und der School Bot macht super Aufschriebe die man Herunterladen kann total Übersichtlich und Lehreich. Bin begeistert.

Hans T

iOS user