Die Neurobiologie ist ein faszinierender Bereich, der erklärt, wie dein... Mehr anzeigen
Melde dich an, um den Inhalt zu sehenKostenlos!
Zugriff auf alle Dokumente
Verbessere deine Noten
Schließ dich Millionen Schülern an
Knowunity KI
Fächer
Triangle Congruence and Similarity Theorems
Triangle Properties and Classification
Linear Equations and Graphs
Geometric Angle Relationships
Trigonometric Functions and Identities
Equation Solving Techniques
Circle Geometry Fundamentals
Division Operations and Methods
Basic Differentiation Rules
Exponent and Logarithm Properties
Alle Themen anzeigen
Human Organ Systems
Reproductive Cell Cycles
Biological Sciences Subdisciplines
Cellular Energy Metabolism
Autotrophic Energy Processes
Inheritance Patterns and Principles
Biomolecular Structure and Organization
Cell Cycle and Division Mechanics
Cellular Organization and Development
Biological Structural Organization
Alle Themen anzeigen
Chemical Sciences and Applications
Atomic Structure and Composition
Molecular Electron Structure Representation
Atomic Electron Behavior
Matter Properties and Water
Mole Concept and Calculations
Gas Laws and Behavior
Periodic Table Organization
Chemical Thermodynamics Fundamentals
Chemical Bond Types and Properties
Alle Themen anzeigen
European Renaissance and Enlightenment
European Cultural Movements 800-1920
American Revolution Era 1763-1797
American Civil War 1861-1865
Global Imperial Systems
Mongol and Chinese Dynasties
U.S. Presidents and World Leaders
Historical Sources and Documentation
World Wars Era and Impact
World Religious Systems
Alle Themen anzeigen
Classic and Contemporary Novels
Literary Character Analysis
Rhetorical Theory and Practice
Classic Literary Narratives
Reading Analysis and Interpretation
Narrative Structure and Techniques
English Language Components
Influential English-Language Authors
Basic Sentence Structure
Narrative Voice and Perspective
Alle Themen anzeigen
549
•
Aktualisiert Mar 16, 2026
•
Stella
@stella_rlf78484
Die Neurobiologie ist ein faszinierender Bereich, der erklärt, wie dein... Mehr anzeigen











Biomembranen sind wie unsichtbare Wände, die jede Zelle umgeben und ihre Organellen schützen. Sie bestehen aus einer Phospholipid-Doppelschicht, wo jedes Molekül einen wasserlöslichen Kopf und wasserabweisende Schwänzchen hat.
Das Flüssig-Mosaik-Modell erklärt, wie verschiedene Proteine frei in dieser Membran schwimmen. Periphere Proteine sitzen lose an der Oberfläche, während integrale Proteine tief in die Membran eindringen - manche sogar komplett hindurch.
Die wichtigsten Funktionen sind Schutz, Kompartimentierung und selektive Durchlässigkeit. Durch Ausstülpungen wie Mikrovilli kann die Oberfläche vergrößert werden, um mehr Stoffaustausch zu ermöglichen.
Merkregel: Die hydrophilen Köpfe zeigen immer nach außen zum Wasser, die hydrophoben Schwänzchen verstecken sich innen!

Nervenzellmembranen haben besondere Eigenschaften für die Reizweiterleitung. Sie enthalten Ionenkanäle als Membranproteine und sind leicht durchlässig für Natrium-Ionen, was den "Natrium-Leckstrom" verursacht.
Die Natrium-Kalium-Pumpe ist der Held der Zelle: Sie pumpt unter ATP-Verbrauch 3 Na⁺-Ionen raus und 2 K⁺-Ionen rein. Dadurch wird das Zellinnere negativer geladen und das Ruhepotenzial bleibt stabil.
Transportstörungen können die Reizweiterleitung lahmlegen. Polare Stoffe können Kanäle zu weit öffnen und zu neutraler Ladung führen. Unpolare Stoffe blockieren Kanäle komplett und verhindern jeglichen Ladungsaustausch.
Wichtig: Die 3:2-Regel der Natrium-Kalium-Pumpe ist essentiell für das Ruhepotenzial und kommt garantiert in der Klausur vor!

Ein Neuron ist wie eine biologische Datenleitung mit verschiedenen Bauteilen. Dendriten fangen Reize auf, das Soma ist der Zellkörper, und der Axonhügel filtert unwichtige Signale raus - nur relevante Reize werden weitergeleitet.
Das Axon transportiert Aktionspotenziale zu anderen Zellen. Schwann'sche Zellen und die Myelinscheide schützen das Axon, während Ranvier'sche Schnürringe für turbo-schnelle Weiterleitung sorgen.
Das Nervensystem teilt sich funktionell auf: Das somatische NS steuert bewusste Bewegungen, das vegetative NS regelt automatische Prozesse wie Atmung. Strukturell unterscheidet man zwischen zentralem NS und peripherem NS.
Eselsbrücke: Dendriten = empfangen (wie Baumäste), Axon = senden (wie ein Kabel)!

Es gibt zwei Arten der Erregungsleitung: Die saltatorische (markhaltige) ist der Sportwagen unter den Nervenleitungen. Das Signal springt von Schnürring zu Schnürring und ist dadurch super schnell und energiesparend.
Die kontinuierliche (marklose) Leitung ist wie ein Regionalzug - sie muss an jeder Station halten. Das ganze Axon wird Stück für Stück depolarisiert, was langsamer und energieaufwendiger ist.
Bei der kontinuierlichen Leitung entsteht am Axonbeginn ein Aktionspotenzial, das sich durch Spannungsdifferenzen auf Nachbarbereiche ausbreitet. Jeder Abschnitt muss einzeln depolarisiert werden.
Klausur-Tipp: Markhaltige Nervenfasern sind bis zu 120 m/s schnell - das ist wichtig für Reflexe!

Das Ruhepotenzial von -70mV entsteht durch clevere Ionenverteilung. Außen sind viele Na⁺ und Cl⁻-Ionen, innen mainly K⁺-Ionen und negativ geladene Proteine.
K⁺-Ionen diffundieren durch immer offene K⁺-Sickerkanäle nach außen. Dadurch wird der Außenraum positiver und das Zellinnere negativer - das Ruhepotenzial entsteht automatisch!
Die Natrium-Kalium-Pumpe verhindert, dass Natrium-Leckströme alles kaputt machen. Sie arbeitet im 3:2-Verhältnis und hält die Ladungsverteilung stabil. Ohne sie würde das System zusammenbrechen.
Aha-Moment: Das Ruhepotenzial ist wie eine gespannte Feder - bereit, bei Bedarf schnell zu reagieren!

Ein Aktionspotenzial läuft in fünf Phasen ab. Zuerst liegt das Ruhepotenzial bei -70mV vor. Bei Reizen über dem Schwellenwert startet die Action!
In der Depolarisation öffnen sich spannungsgesteuerte Na⁺-Kanäle lawinenartig. Natrium strömt rein und die Spannung schießt bis +30mV hoch - das ist die Umpolarisation.
Die Repolarisation bringt alles zurück: Na⁺-Kanäle schließen sich, K⁺-Kanäle öffnen sich. Kalium strömt raus und die Spannung sinkt. In der Hyperpolarisation wird's kurz zu negativ, bevor das Ruhepotenzial wiederhergestellt ist.
Merksatz: "Natrium rein, Kalium raus" - so funktioniert jedes Aktionspotenzial!

Das Alles-oder-Nichts-Gesetz ist kompromisslos: Entweder wird der Schwellenwert erreicht und ein vollständiges AP ausgelöst - oder gar nichts passiert. Die Reizstärke beeinflusst nicht die Größe des APs.
Nach jedem AP folgt die Refraktärzeit - eine Zwangspause für die Zelle. In der absoluten Refraktärphase geht absolut nichts, da die Na-Kanäle inaktiv sind. In der relativen Phase braucht's stärkere Reize.
Ligantengesteuerte Ionenkanäle sind wie Schloss und Schlüssel. Sie öffnen sich nur, wenn der passende Ligand (Botenstoff) an den Rezeptor andockt - super wichtig für die Kommunikation zwischen Neuronen.
Klausur-Trick: Die Refraktärzeit verhindert, dass Signale rückwärts laufen - dadurch haben APs eine klare Richtung!

Am synaptischen Spalt wird's richtig spannend! Wenn ein AP die Präsynapse erreicht, öffnen sich Ca²⁺-Kanäle und Kalzium strömt rein. Das löst eine Kettenreaktion aus.
Vesikel mit Neurotransmittern verschmelzen mit der Membran und entlassen ihre Ladung in den Spalt. Die Neurotransmitter (wie Acetylcholin) diffundieren zur Postsynapse und docken an Rezeptoren an.
Das öffnet ligantengesteuerte Na⁺-Kanäle in der Postsynapse. Natrium strömt rein, die Zelle depolarisiert und ein neues AP kann entstehen. Enzyme wie Cholinesterase räumen danach auf und spalten die Neurotransmitter.
Fun Fact: Ein einziges AP kann tausende Neurotransmitter-Moleküle freisetzen - echte Informations-Explosion!

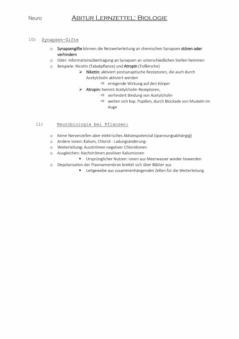
Synapsengifte sind faszinierende Störenfriede! Nikotin aktiviert dieselben Rezeptoren wie Acetylcholin und wirkt daher erregend. Atropin aus der Tollkirsche blockiert Acetylcholin-Rezeptoren und kann Pupillen weiten.
Diese Gifte zeigen, wie präzise das Nervensystem arbeitet - schon kleine Veränderungen haben große Auswirkungen. Sie können Reizweiterleitung hemmen, verstärken oder komplett blockieren.
Pflanzen-Neurobiologie ist überraschend! Pflanzen haben zwar keine Nervenzellen, aber können trotzdem Aktionspotenziale erzeugen. Sie nutzen Kalium- und Chlorid-Ionen statt Natrium für die elektrische Signalübertragung.
Wow-Faktor: Pflanzen entwickelten elektrische Signale ursprünglich, um überschüssige Salzionen aus dem Meerwasser loszuwerden!

Unser KI-Begleiter ist ein speziell für Schüler entwickeltes KI-Tool, das mehr als nur Antworten bietet. Basierend auf Millionen von Knowunity-Inhalten liefert er relevante Informationen, personalisierte Lernpläne, Quizze und Inhalte direkt im Chat und passt sich deinem individuellen Lernweg an.
Du kannst die App im Google Play Store und im Apple App Store herunterladen.
Genau! Genieße kostenlosen Zugang zu Lerninhalten, vernetze dich mit anderen Schülern und hol dir sofortige Hilfe – alles direkt auf deinem Handy.
App Store
Google Play
Die App ist sehr einfach zu bedienen und gut gestaltet. Ich habe bisher alles gefunden, wonach ich gesucht habe, und konnte viel aus den Präsentationen lernen! Ich werde die App definitiv für ein Schulprojekt nutzen! Und natürlich hilft sie auch sehr als Inspiration.
Stefan S
iOS-Nutzer
Diese App ist wirklich super. Es gibt so viele Lernzettel und Hilfen [...]. Mein Problemfach ist zum Beispiel Französisch und die App hat so viele Möglichkeiten zur Hilfe. Dank dieser App habe ich mich in Französisch verbessert. Ich würde sie jedem empfehlen.
Samantha Klich
Android-Nutzerin
Wow, ich bin wirklich begeistert. Ich habe die App einfach mal ausprobiert, weil ich sie schon oft beworben gesehen habe und war absolut beeindruckt. Diese App ist DIE HILFE, die man für die Schule braucht und vor allem bietet sie so viele Dinge wie Übungen und Lernzettel, die mir persönlich SEHR geholfen haben.
Anna
iOS-Nutzerin
Beste App der Welt! Keine Worte, weil sie einfach zu gut ist
Thomas R
iOS-Nutzer
Einfach genial. Lässt mich 10x besser lernen, diese App ist eine glatte 10/10. Ich empfehle sie jedem. Ich kann Lernzettel anschauen und suchen. Ich kann sie im Fachordner speichern. Ich kann sie jederzeit wiederholen, wenn ich zurückkomme. Wenn du diese App noch nicht ausprobiert hast, verpasst du wirklich was.
Basil
Android-Nutzer
Diese App hat mich so viel selbstbewusster in meiner Klausurvorbereitung gemacht, nicht nur durch die Stärkung meines Selbstvertrauens durch die Features, die es dir ermöglichen, dich mit anderen zu vernetzen und dich weniger allein zu fühlen, sondern auch durch die Art, wie die App selbst darauf ausgerichtet ist, dass du dich besser fühlst. Sie ist einfach zu bedienen, macht Spaß und hilft jedem, der in irgendeiner Weise Schwierigkeiten hat.
David K
iOS-Nutzer
Die App ist einfach super! Ich muss nur das Thema in die Suche eingeben und bekomme sofort eine Antwort. Ich muss nicht mehr 10 YouTube-Videos schauen, um etwas zu verstehen, und spare dadurch richtig viel Zeit. Sehr empfehlenswert!
Sudenaz Ocak
Android-Nutzerin
In der Schule war ich echt schlecht in Mathe, aber dank der App bin ich jetzt besser geworden. Ich bin so dankbar, dass ihr die App gemacht habt.
Greenlight Bonnie
Android-Nutzerin
sehr zuverlässige App, um deine Ideen in Mathe, Englisch und anderen verwandten Themen zu verbessern. bitte nutze diese App, wenn du in bestimmten Bereichen Schwierigkeiten hast, diese App ist dafür der Schlüssel. wünschte, ich hätte früher eine Bewertung geschrieben. und sie ist auch kostenlos, also mach dir darüber keine Sorgen.
Rohan U
Android-Nutzer
Ich weiß, dass viele Apps gefälschte Accounts nutzen, um ihre Bewertungen zu pushen, aber diese App verdient das alles. Ursprünglich hatte ich eine 4 in meinen Englisch-Klausuren und dieses Mal habe ich eine 2 bekommen. Ich wusste erst drei Tage vor der Klausur von dieser App und sie hat mir SEHR geholfen. Bitte vertrau mir wirklich und nutze sie, denn ich bin sicher, dass auch du Fortschritte sehen wirst.
Xander S
iOS-Nutzer
DIE QUIZZE UND KARTEIKARTEN SIND SO NÜTZLICH UND ICH LIEBE Knowunity KI. ES IST AUCH BUCHSTÄBLICH WIE CHATGPT ABER SCHLAUER!! HAT MIR AUCH BEI MEINEN MASCARA-PROBLEMEN GEHOLFEN!! SOWIE BEI MEINEN ECHTEN FÄCHERN! NATÜRLICH 😍😁😲🤑💗✨🎀😮
Elisha
iOS-Nutzer
Diese App ist echt der Hammer. Ich finde Lernen so langweilig, aber diese App macht es so einfach, alles zu organisieren und dann kannst du die kostenlose KI bitten, dich abzufragen, so gut, und du kannst einfach deine eigenen Sachen hochladen. sehr empfehlenswert als jemand, der gerade Probeklausuren schreibt
Paul T
iOS-Nutzer
Die App ist sehr einfach zu bedienen und gut gestaltet. Ich habe bisher alles gefunden, wonach ich gesucht habe, und konnte viel aus den Präsentationen lernen! Ich werde die App definitiv für ein Schulprojekt nutzen! Und natürlich hilft sie auch sehr als Inspiration.
Stefan S
iOS-Nutzer
Diese App ist wirklich super. Es gibt so viele Lernzettel und Hilfen [...]. Mein Problemfach ist zum Beispiel Französisch und die App hat so viele Möglichkeiten zur Hilfe. Dank dieser App habe ich mich in Französisch verbessert. Ich würde sie jedem empfehlen.
Samantha Klich
Android-Nutzerin
Wow, ich bin wirklich begeistert. Ich habe die App einfach mal ausprobiert, weil ich sie schon oft beworben gesehen habe und war absolut beeindruckt. Diese App ist DIE HILFE, die man für die Schule braucht und vor allem bietet sie so viele Dinge wie Übungen und Lernzettel, die mir persönlich SEHR geholfen haben.
Anna
iOS-Nutzerin
Beste App der Welt! Keine Worte, weil sie einfach zu gut ist
Thomas R
iOS-Nutzer
Einfach genial. Lässt mich 10x besser lernen, diese App ist eine glatte 10/10. Ich empfehle sie jedem. Ich kann Lernzettel anschauen und suchen. Ich kann sie im Fachordner speichern. Ich kann sie jederzeit wiederholen, wenn ich zurückkomme. Wenn du diese App noch nicht ausprobiert hast, verpasst du wirklich was.
Basil
Android-Nutzer
Diese App hat mich so viel selbstbewusster in meiner Klausurvorbereitung gemacht, nicht nur durch die Stärkung meines Selbstvertrauens durch die Features, die es dir ermöglichen, dich mit anderen zu vernetzen und dich weniger allein zu fühlen, sondern auch durch die Art, wie die App selbst darauf ausgerichtet ist, dass du dich besser fühlst. Sie ist einfach zu bedienen, macht Spaß und hilft jedem, der in irgendeiner Weise Schwierigkeiten hat.
David K
iOS-Nutzer
Die App ist einfach super! Ich muss nur das Thema in die Suche eingeben und bekomme sofort eine Antwort. Ich muss nicht mehr 10 YouTube-Videos schauen, um etwas zu verstehen, und spare dadurch richtig viel Zeit. Sehr empfehlenswert!
Sudenaz Ocak
Android-Nutzerin
In der Schule war ich echt schlecht in Mathe, aber dank der App bin ich jetzt besser geworden. Ich bin so dankbar, dass ihr die App gemacht habt.
Greenlight Bonnie
Android-Nutzerin
sehr zuverlässige App, um deine Ideen in Mathe, Englisch und anderen verwandten Themen zu verbessern. bitte nutze diese App, wenn du in bestimmten Bereichen Schwierigkeiten hast, diese App ist dafür der Schlüssel. wünschte, ich hätte früher eine Bewertung geschrieben. und sie ist auch kostenlos, also mach dir darüber keine Sorgen.
Rohan U
Android-Nutzer
Ich weiß, dass viele Apps gefälschte Accounts nutzen, um ihre Bewertungen zu pushen, aber diese App verdient das alles. Ursprünglich hatte ich eine 4 in meinen Englisch-Klausuren und dieses Mal habe ich eine 2 bekommen. Ich wusste erst drei Tage vor der Klausur von dieser App und sie hat mir SEHR geholfen. Bitte vertrau mir wirklich und nutze sie, denn ich bin sicher, dass auch du Fortschritte sehen wirst.
Xander S
iOS-Nutzer
DIE QUIZZE UND KARTEIKARTEN SIND SO NÜTZLICH UND ICH LIEBE Knowunity KI. ES IST AUCH BUCHSTÄBLICH WIE CHATGPT ABER SCHLAUER!! HAT MIR AUCH BEI MEINEN MASCARA-PROBLEMEN GEHOLFEN!! SOWIE BEI MEINEN ECHTEN FÄCHERN! NATÜRLICH 😍😁😲🤑💗✨🎀😮
Elisha
iOS-Nutzer
Diese App ist echt der Hammer. Ich finde Lernen so langweilig, aber diese App macht es so einfach, alles zu organisieren und dann kannst du die kostenlose KI bitten, dich abzufragen, so gut, und du kannst einfach deine eigenen Sachen hochladen. sehr empfehlenswert als jemand, der gerade Probeklausuren schreibt
Paul T
iOS-Nutzer
Stella
@stella_rlf78484
Die Neurobiologie ist ein faszinierender Bereich, der erklärt, wie dein Gehirn und Nervensystem funktionieren. Von der Struktur der Zellmembranen bis zur blitzschnellen Weiterleitung von Reizen - hier lernst du die Grundlagen, die für dein Abitur wichtig sind.

Zugriff auf alle Dokumente
Verbessere deine Noten
Schließ dich Millionen Schülern an
Biomembranen sind wie unsichtbare Wände, die jede Zelle umgeben und ihre Organellen schützen. Sie bestehen aus einer Phospholipid-Doppelschicht, wo jedes Molekül einen wasserlöslichen Kopf und wasserabweisende Schwänzchen hat.
Das Flüssig-Mosaik-Modell erklärt, wie verschiedene Proteine frei in dieser Membran schwimmen. Periphere Proteine sitzen lose an der Oberfläche, während integrale Proteine tief in die Membran eindringen - manche sogar komplett hindurch.
Die wichtigsten Funktionen sind Schutz, Kompartimentierung und selektive Durchlässigkeit. Durch Ausstülpungen wie Mikrovilli kann die Oberfläche vergrößert werden, um mehr Stoffaustausch zu ermöglichen.
Merkregel: Die hydrophilen Köpfe zeigen immer nach außen zum Wasser, die hydrophoben Schwänzchen verstecken sich innen!

Zugriff auf alle Dokumente
Verbessere deine Noten
Schließ dich Millionen Schülern an
Nervenzellmembranen haben besondere Eigenschaften für die Reizweiterleitung. Sie enthalten Ionenkanäle als Membranproteine und sind leicht durchlässig für Natrium-Ionen, was den "Natrium-Leckstrom" verursacht.
Die Natrium-Kalium-Pumpe ist der Held der Zelle: Sie pumpt unter ATP-Verbrauch 3 Na⁺-Ionen raus und 2 K⁺-Ionen rein. Dadurch wird das Zellinnere negativer geladen und das Ruhepotenzial bleibt stabil.
Transportstörungen können die Reizweiterleitung lahmlegen. Polare Stoffe können Kanäle zu weit öffnen und zu neutraler Ladung führen. Unpolare Stoffe blockieren Kanäle komplett und verhindern jeglichen Ladungsaustausch.
Wichtig: Die 3:2-Regel der Natrium-Kalium-Pumpe ist essentiell für das Ruhepotenzial und kommt garantiert in der Klausur vor!

Zugriff auf alle Dokumente
Verbessere deine Noten
Schließ dich Millionen Schülern an
Ein Neuron ist wie eine biologische Datenleitung mit verschiedenen Bauteilen. Dendriten fangen Reize auf, das Soma ist der Zellkörper, und der Axonhügel filtert unwichtige Signale raus - nur relevante Reize werden weitergeleitet.
Das Axon transportiert Aktionspotenziale zu anderen Zellen. Schwann'sche Zellen und die Myelinscheide schützen das Axon, während Ranvier'sche Schnürringe für turbo-schnelle Weiterleitung sorgen.
Das Nervensystem teilt sich funktionell auf: Das somatische NS steuert bewusste Bewegungen, das vegetative NS regelt automatische Prozesse wie Atmung. Strukturell unterscheidet man zwischen zentralem NS und peripherem NS.
Eselsbrücke: Dendriten = empfangen (wie Baumäste), Axon = senden (wie ein Kabel)!

Zugriff auf alle Dokumente
Verbessere deine Noten
Schließ dich Millionen Schülern an
Es gibt zwei Arten der Erregungsleitung: Die saltatorische (markhaltige) ist der Sportwagen unter den Nervenleitungen. Das Signal springt von Schnürring zu Schnürring und ist dadurch super schnell und energiesparend.
Die kontinuierliche (marklose) Leitung ist wie ein Regionalzug - sie muss an jeder Station halten. Das ganze Axon wird Stück für Stück depolarisiert, was langsamer und energieaufwendiger ist.
Bei der kontinuierlichen Leitung entsteht am Axonbeginn ein Aktionspotenzial, das sich durch Spannungsdifferenzen auf Nachbarbereiche ausbreitet. Jeder Abschnitt muss einzeln depolarisiert werden.
Klausur-Tipp: Markhaltige Nervenfasern sind bis zu 120 m/s schnell - das ist wichtig für Reflexe!

Zugriff auf alle Dokumente
Verbessere deine Noten
Schließ dich Millionen Schülern an
Das Ruhepotenzial von -70mV entsteht durch clevere Ionenverteilung. Außen sind viele Na⁺ und Cl⁻-Ionen, innen mainly K⁺-Ionen und negativ geladene Proteine.
K⁺-Ionen diffundieren durch immer offene K⁺-Sickerkanäle nach außen. Dadurch wird der Außenraum positiver und das Zellinnere negativer - das Ruhepotenzial entsteht automatisch!
Die Natrium-Kalium-Pumpe verhindert, dass Natrium-Leckströme alles kaputt machen. Sie arbeitet im 3:2-Verhältnis und hält die Ladungsverteilung stabil. Ohne sie würde das System zusammenbrechen.
Aha-Moment: Das Ruhepotenzial ist wie eine gespannte Feder - bereit, bei Bedarf schnell zu reagieren!

Zugriff auf alle Dokumente
Verbessere deine Noten
Schließ dich Millionen Schülern an
Ein Aktionspotenzial läuft in fünf Phasen ab. Zuerst liegt das Ruhepotenzial bei -70mV vor. Bei Reizen über dem Schwellenwert startet die Action!
In der Depolarisation öffnen sich spannungsgesteuerte Na⁺-Kanäle lawinenartig. Natrium strömt rein und die Spannung schießt bis +30mV hoch - das ist die Umpolarisation.
Die Repolarisation bringt alles zurück: Na⁺-Kanäle schließen sich, K⁺-Kanäle öffnen sich. Kalium strömt raus und die Spannung sinkt. In der Hyperpolarisation wird's kurz zu negativ, bevor das Ruhepotenzial wiederhergestellt ist.
Merksatz: "Natrium rein, Kalium raus" - so funktioniert jedes Aktionspotenzial!

Zugriff auf alle Dokumente
Verbessere deine Noten
Schließ dich Millionen Schülern an
Das Alles-oder-Nichts-Gesetz ist kompromisslos: Entweder wird der Schwellenwert erreicht und ein vollständiges AP ausgelöst - oder gar nichts passiert. Die Reizstärke beeinflusst nicht die Größe des APs.
Nach jedem AP folgt die Refraktärzeit - eine Zwangspause für die Zelle. In der absoluten Refraktärphase geht absolut nichts, da die Na-Kanäle inaktiv sind. In der relativen Phase braucht's stärkere Reize.
Ligantengesteuerte Ionenkanäle sind wie Schloss und Schlüssel. Sie öffnen sich nur, wenn der passende Ligand (Botenstoff) an den Rezeptor andockt - super wichtig für die Kommunikation zwischen Neuronen.
Klausur-Trick: Die Refraktärzeit verhindert, dass Signale rückwärts laufen - dadurch haben APs eine klare Richtung!

Zugriff auf alle Dokumente
Verbessere deine Noten
Schließ dich Millionen Schülern an
Am synaptischen Spalt wird's richtig spannend! Wenn ein AP die Präsynapse erreicht, öffnen sich Ca²⁺-Kanäle und Kalzium strömt rein. Das löst eine Kettenreaktion aus.
Vesikel mit Neurotransmittern verschmelzen mit der Membran und entlassen ihre Ladung in den Spalt. Die Neurotransmitter (wie Acetylcholin) diffundieren zur Postsynapse und docken an Rezeptoren an.
Das öffnet ligantengesteuerte Na⁺-Kanäle in der Postsynapse. Natrium strömt rein, die Zelle depolarisiert und ein neues AP kann entstehen. Enzyme wie Cholinesterase räumen danach auf und spalten die Neurotransmitter.
Fun Fact: Ein einziges AP kann tausende Neurotransmitter-Moleküle freisetzen - echte Informations-Explosion!

Zugriff auf alle Dokumente
Verbessere deine Noten
Schließ dich Millionen Schülern an
Synapsengifte sind faszinierende Störenfriede! Nikotin aktiviert dieselben Rezeptoren wie Acetylcholin und wirkt daher erregend. Atropin aus der Tollkirsche blockiert Acetylcholin-Rezeptoren und kann Pupillen weiten.
Diese Gifte zeigen, wie präzise das Nervensystem arbeitet - schon kleine Veränderungen haben große Auswirkungen. Sie können Reizweiterleitung hemmen, verstärken oder komplett blockieren.
Pflanzen-Neurobiologie ist überraschend! Pflanzen haben zwar keine Nervenzellen, aber können trotzdem Aktionspotenziale erzeugen. Sie nutzen Kalium- und Chlorid-Ionen statt Natrium für die elektrische Signalübertragung.
Wow-Faktor: Pflanzen entwickelten elektrische Signale ursprünglich, um überschüssige Salzionen aus dem Meerwasser loszuwerden!

Zugriff auf alle Dokumente
Verbessere deine Noten
Schließ dich Millionen Schülern an
Unser KI-Begleiter ist ein speziell für Schüler entwickeltes KI-Tool, das mehr als nur Antworten bietet. Basierend auf Millionen von Knowunity-Inhalten liefert er relevante Informationen, personalisierte Lernpläne, Quizze und Inhalte direkt im Chat und passt sich deinem individuellen Lernweg an.
Du kannst die App im Google Play Store und im Apple App Store herunterladen.
Genau! Genieße kostenlosen Zugang zu Lerninhalten, vernetze dich mit anderen Schülern und hol dir sofortige Hilfe – alles direkt auf deinem Handy.
15
Smart Tools NEU
Verwandle diesen Lernzettel in: ✓ 50+ Übungsfragen ✓ Interaktive Karteikarten ✓ Komplette Probeklausur ✓ Aufsatzgliederungen
Erforschen Sie die Mechanismen des Aktionspotentials, die Rolle chemischer Synapsen und die Funktionsweise von erregenden und hemmenden postsynaptischen Potenzialen. Diese Zusammenfassung bietet einen klaren Überblick über die neuronale Kommunikation, einschließlich der Bedeutung von Myelinscheiden und der Erregungsleitung. Ideal für Studierende der Biologie und Neurowissenschaften.
Entdecken Sie die komplexen Mechanismen des Nervensystems und der Augenbiologie. Diese Zusammenfassung behandelt die Erregungsleitung, die Struktur von Synapsen, Aktionspotentiale, postsynaptische Potenziale sowie die Rolle von Photorezeptoren und Anpassungsprozessen im Auge. Ideal für Biologie-Abiturienten, die sich auf Prüfungen vorbereiten.
Diese Zusammenfassung behandelt die Wirkungsweise von Lidocain bei der Lokalanästhesie und die Prinzipien der Erregungsleitung in Nervenzellen. Erfahren Sie, wie Lidocain die Signalübertragung von Schmerz- und Berührungsreizen beeinflusst und welche Rolle die verschiedenen Neuronentypen dabei spielen. Ideal für Studierende der Neurobiologie und Medizin.
Diese Zusammenfassung behandelt die Schlüsselkonzepte des Nervensystems, einschließlich der Struktur von Nervenzellen, Ruhe- und Aktionspotential, sowie die Vorgänge an Synapsen. Erfahren Sie mehr über die Rolle der Natrium-Kalium-Pumpe, erregende und hemmende Synapsen, und die Verrechnung von Signalen. Ideal für die Biologie Oberstufe.
Diese umfassende Zusammenfassung behandelt die zentralen Themen der Evolutionsbiologie und Ökologie für das Abitur 2024 auf Leistungskursniveau. Sie umfasst wichtige Konzepte wie natürliche Selektion, Gendrift, Fotosynthese, Populationsdynamik und Genetik. Ideal für mündliche Prüfungen und zur Vertiefung des Verständnisses biologischer Zusammenhänge.
Diese Zusammenfassung behandelt die Struktur und Funktion von Nervenzellen, einschließlich Ruhe- und Aktionspotential, der Rolle der Natrium-Kalium-Pumpe und der synaptischen Übertragung. Ideal für Studierende der Neurobiologie, die ein vertieftes Verständnis der neuronalen Signalübertragung und der Erregungsleitung suchen.
App Store
Google Play
Die App ist sehr einfach zu bedienen und gut gestaltet. Ich habe bisher alles gefunden, wonach ich gesucht habe, und konnte viel aus den Präsentationen lernen! Ich werde die App definitiv für ein Schulprojekt nutzen! Und natürlich hilft sie auch sehr als Inspiration.
Stefan S
iOS-Nutzer
Diese App ist wirklich super. Es gibt so viele Lernzettel und Hilfen [...]. Mein Problemfach ist zum Beispiel Französisch und die App hat so viele Möglichkeiten zur Hilfe. Dank dieser App habe ich mich in Französisch verbessert. Ich würde sie jedem empfehlen.
Samantha Klich
Android-Nutzerin
Wow, ich bin wirklich begeistert. Ich habe die App einfach mal ausprobiert, weil ich sie schon oft beworben gesehen habe und war absolut beeindruckt. Diese App ist DIE HILFE, die man für die Schule braucht und vor allem bietet sie so viele Dinge wie Übungen und Lernzettel, die mir persönlich SEHR geholfen haben.
Anna
iOS-Nutzerin
Beste App der Welt! Keine Worte, weil sie einfach zu gut ist
Thomas R
iOS-Nutzer
Einfach genial. Lässt mich 10x besser lernen, diese App ist eine glatte 10/10. Ich empfehle sie jedem. Ich kann Lernzettel anschauen und suchen. Ich kann sie im Fachordner speichern. Ich kann sie jederzeit wiederholen, wenn ich zurückkomme. Wenn du diese App noch nicht ausprobiert hast, verpasst du wirklich was.
Basil
Android-Nutzer
Diese App hat mich so viel selbstbewusster in meiner Klausurvorbereitung gemacht, nicht nur durch die Stärkung meines Selbstvertrauens durch die Features, die es dir ermöglichen, dich mit anderen zu vernetzen und dich weniger allein zu fühlen, sondern auch durch die Art, wie die App selbst darauf ausgerichtet ist, dass du dich besser fühlst. Sie ist einfach zu bedienen, macht Spaß und hilft jedem, der in irgendeiner Weise Schwierigkeiten hat.
David K
iOS-Nutzer
Die App ist einfach super! Ich muss nur das Thema in die Suche eingeben und bekomme sofort eine Antwort. Ich muss nicht mehr 10 YouTube-Videos schauen, um etwas zu verstehen, und spare dadurch richtig viel Zeit. Sehr empfehlenswert!
Sudenaz Ocak
Android-Nutzerin
In der Schule war ich echt schlecht in Mathe, aber dank der App bin ich jetzt besser geworden. Ich bin so dankbar, dass ihr die App gemacht habt.
Greenlight Bonnie
Android-Nutzerin
sehr zuverlässige App, um deine Ideen in Mathe, Englisch und anderen verwandten Themen zu verbessern. bitte nutze diese App, wenn du in bestimmten Bereichen Schwierigkeiten hast, diese App ist dafür der Schlüssel. wünschte, ich hätte früher eine Bewertung geschrieben. und sie ist auch kostenlos, also mach dir darüber keine Sorgen.
Rohan U
Android-Nutzer
Ich weiß, dass viele Apps gefälschte Accounts nutzen, um ihre Bewertungen zu pushen, aber diese App verdient das alles. Ursprünglich hatte ich eine 4 in meinen Englisch-Klausuren und dieses Mal habe ich eine 2 bekommen. Ich wusste erst drei Tage vor der Klausur von dieser App und sie hat mir SEHR geholfen. Bitte vertrau mir wirklich und nutze sie, denn ich bin sicher, dass auch du Fortschritte sehen wirst.
Xander S
iOS-Nutzer
DIE QUIZZE UND KARTEIKARTEN SIND SO NÜTZLICH UND ICH LIEBE Knowunity KI. ES IST AUCH BUCHSTÄBLICH WIE CHATGPT ABER SCHLAUER!! HAT MIR AUCH BEI MEINEN MASCARA-PROBLEMEN GEHOLFEN!! SOWIE BEI MEINEN ECHTEN FÄCHERN! NATÜRLICH 😍😁😲🤑💗✨🎀😮
Elisha
iOS-Nutzer
Diese App ist echt der Hammer. Ich finde Lernen so langweilig, aber diese App macht es so einfach, alles zu organisieren und dann kannst du die kostenlose KI bitten, dich abzufragen, so gut, und du kannst einfach deine eigenen Sachen hochladen. sehr empfehlenswert als jemand, der gerade Probeklausuren schreibt
Paul T
iOS-Nutzer
Die App ist sehr einfach zu bedienen und gut gestaltet. Ich habe bisher alles gefunden, wonach ich gesucht habe, und konnte viel aus den Präsentationen lernen! Ich werde die App definitiv für ein Schulprojekt nutzen! Und natürlich hilft sie auch sehr als Inspiration.
Stefan S
iOS-Nutzer
Diese App ist wirklich super. Es gibt so viele Lernzettel und Hilfen [...]. Mein Problemfach ist zum Beispiel Französisch und die App hat so viele Möglichkeiten zur Hilfe. Dank dieser App habe ich mich in Französisch verbessert. Ich würde sie jedem empfehlen.
Samantha Klich
Android-Nutzerin
Wow, ich bin wirklich begeistert. Ich habe die App einfach mal ausprobiert, weil ich sie schon oft beworben gesehen habe und war absolut beeindruckt. Diese App ist DIE HILFE, die man für die Schule braucht und vor allem bietet sie so viele Dinge wie Übungen und Lernzettel, die mir persönlich SEHR geholfen haben.
Anna
iOS-Nutzerin
Beste App der Welt! Keine Worte, weil sie einfach zu gut ist
Thomas R
iOS-Nutzer
Einfach genial. Lässt mich 10x besser lernen, diese App ist eine glatte 10/10. Ich empfehle sie jedem. Ich kann Lernzettel anschauen und suchen. Ich kann sie im Fachordner speichern. Ich kann sie jederzeit wiederholen, wenn ich zurückkomme. Wenn du diese App noch nicht ausprobiert hast, verpasst du wirklich was.
Basil
Android-Nutzer
Diese App hat mich so viel selbstbewusster in meiner Klausurvorbereitung gemacht, nicht nur durch die Stärkung meines Selbstvertrauens durch die Features, die es dir ermöglichen, dich mit anderen zu vernetzen und dich weniger allein zu fühlen, sondern auch durch die Art, wie die App selbst darauf ausgerichtet ist, dass du dich besser fühlst. Sie ist einfach zu bedienen, macht Spaß und hilft jedem, der in irgendeiner Weise Schwierigkeiten hat.
David K
iOS-Nutzer
Die App ist einfach super! Ich muss nur das Thema in die Suche eingeben und bekomme sofort eine Antwort. Ich muss nicht mehr 10 YouTube-Videos schauen, um etwas zu verstehen, und spare dadurch richtig viel Zeit. Sehr empfehlenswert!
Sudenaz Ocak
Android-Nutzerin
In der Schule war ich echt schlecht in Mathe, aber dank der App bin ich jetzt besser geworden. Ich bin so dankbar, dass ihr die App gemacht habt.
Greenlight Bonnie
Android-Nutzerin
sehr zuverlässige App, um deine Ideen in Mathe, Englisch und anderen verwandten Themen zu verbessern. bitte nutze diese App, wenn du in bestimmten Bereichen Schwierigkeiten hast, diese App ist dafür der Schlüssel. wünschte, ich hätte früher eine Bewertung geschrieben. und sie ist auch kostenlos, also mach dir darüber keine Sorgen.
Rohan U
Android-Nutzer
Ich weiß, dass viele Apps gefälschte Accounts nutzen, um ihre Bewertungen zu pushen, aber diese App verdient das alles. Ursprünglich hatte ich eine 4 in meinen Englisch-Klausuren und dieses Mal habe ich eine 2 bekommen. Ich wusste erst drei Tage vor der Klausur von dieser App und sie hat mir SEHR geholfen. Bitte vertrau mir wirklich und nutze sie, denn ich bin sicher, dass auch du Fortschritte sehen wirst.
Xander S
iOS-Nutzer
DIE QUIZZE UND KARTEIKARTEN SIND SO NÜTZLICH UND ICH LIEBE Knowunity KI. ES IST AUCH BUCHSTÄBLICH WIE CHATGPT ABER SCHLAUER!! HAT MIR AUCH BEI MEINEN MASCARA-PROBLEMEN GEHOLFEN!! SOWIE BEI MEINEN ECHTEN FÄCHERN! NATÜRLICH 😍😁😲🤑💗✨🎀😮
Elisha
iOS-Nutzer
Diese App ist echt der Hammer. Ich finde Lernen so langweilig, aber diese App macht es so einfach, alles zu organisieren und dann kannst du die kostenlose KI bitten, dich abzufragen, so gut, und du kannst einfach deine eigenen Sachen hochladen. sehr empfehlenswert als jemand, der gerade Probeklausuren schreibt
Paul T
iOS-Nutzer