Hier dreht sich alles um ganzrationale Funktionen- ein wichtiges... Mehr anzeigen
Melde dich an, um den Inhalt zu sehenKostenlos!
Zugriff auf alle Dokumente
Verbessere deine Noten
Schließ dich Millionen Schülern an
Knowunity KI
Fächer
Triangle Congruence and Similarity Theorems
Triangle Properties and Classification
Linear Equations and Graphs
Geometric Angle Relationships
Trigonometric Functions and Identities
Equation Solving Techniques
Circle Geometry Fundamentals
Division Operations and Methods
Basic Differentiation Rules
Exponent and Logarithm Properties
Alle Themen anzeigen
Human Organ Systems
Reproductive Cell Cycles
Biological Sciences Subdisciplines
Cellular Energy Metabolism
Autotrophic Energy Processes
Inheritance Patterns and Principles
Biomolecular Structure and Organization
Cell Cycle and Division Mechanics
Cellular Organization and Development
Biological Structural Organization
Alle Themen anzeigen
Chemical Sciences and Applications
Atomic Structure and Composition
Molecular Electron Structure Representation
Atomic Electron Behavior
Matter Properties and Water
Mole Concept and Calculations
Gas Laws and Behavior
Periodic Table Organization
Chemical Thermodynamics Fundamentals
Chemical Bond Types and Properties
Alle Themen anzeigen
European Renaissance and Enlightenment
European Cultural Movements 800-1920
American Revolution Era 1763-1797
American Civil War 1861-1865
Global Imperial Systems
Mongol and Chinese Dynasties
U.S. Presidents and World Leaders
Historical Sources and Documentation
World Wars Era and Impact
World Religious Systems
Alle Themen anzeigen
Classic and Contemporary Novels
Literary Character Analysis
Rhetorical Theory and Practice
Classic Literary Narratives
Reading Analysis and Interpretation
Narrative Structure and Techniques
English Language Components
Influential English-Language Authors
Basic Sentence Structure
Narrative Voice and Perspective
Alle Themen anzeigen
769
•
Aktualisiert Mar 24, 2026
•
Hannah
@hannah.ky
Hier dreht sich alles um ganzrationale Funktionen- ein wichtiges... Mehr anzeigen






Das Verhalten im Unendlichen zeigt dir, wohin eine Funktion "läuft", wenn x sehr groß oder sehr klein wird. Das ist super nützlich, um Graphen zu skizzieren!
Entscheidend sind zwei Dinge: der höchste Exponent und sein Vorfaktor (positiv oder negativ). Bei geradem Exponent und positivem Vorfaktor geht die Funktion in beide Richtungen gegen +∞. Bei negativem Vorfaktor geht sie gegen -∞.
Ungerade Exponenten sind anders: Mit positivem Vorfaktor geht die Funktion links gegen -∞ und rechts gegen +∞. Bei negativem Vorfaktor ist es umgekehrt.
Tipp: Schau dir immer zuerst den Term mit dem höchsten Exponenten an - der bestimmt alles!

Symmetrie erkennst du schnell: Achsensymmetrie bedeutet f(x) = f, Punktsymmetrie bedeutet f(x) = -f. Bei achsensymmetrischen Funktionen sind alle Exponenten gerade, bei punktsymmetrischen alle ungerade.
Für Nullstellen gibt es drei bewährte Methoden: Wurzelziehen , Ausklammern mit Satz vom Nullprodukt und Substitution (wenn du x² durch z ersetzt).
Der Satz vom Nullprodukt ist dein bester Freund: Wenn ein Produkt null ist, muss mindestens ein Faktor null sein. So findest du alle Nullstellen systematisch.
Merke: Bei komplexeren Funktionen mit Absolutglied hilft nur der GTR weiter!

Mit dem GTR und der Regression-Funktion stellst du blitzschnell Funktionsgleichungen auf! Gib einfach deine Punkte in L1 und L2 ein und wähle die passende Regression.
Für kubische Funktionen nimmst du "CubicReg", für quadratische "QuadReg". Der GTR spuckt dir sofort die Koeffizienten a, b, c und d aus.
Alternativ funktioniert auch die Matrix-Methode: Du stellst ein Gleichungssystem auf und löst es mit der rref-Funktion. Das ist besonders praktisch bei besonderen Bedingungen wie Punktsymmetrie.
Pro-Tipp: Bei Symmetrie sparst du dir Arbeit - dann fallen nämlich einige Koeffizienten weg!

Ohne GTR musst du zwischen Polynomdarstellung und Linearfaktordarstellung wählen. Die Polynomdarstellung f(x) = ax⁴ + bx³ + cx² + dx + e ist perfekt, wenn du Symmetrie-Eigenschaften nutzen kannst.
Bei Achsensymmetrie fallen alle ungeraden Exponenten weg , bei Punktsymmetrie alle geraden. Das reduziert deine Unbekannten erheblich!
Mit dem Additionsverfahren löst du dann das Gleichungssystem. Multipliziere die Gleichungen geschickt, damit sich Variablen wegkürzen lassen.
Wichtig: Zähle immer zuerst deine Unbekannten - du brauchst genauso viele Informationen!

Die Linearfaktordarstellung f(x) = a ist ideal, wenn du bereits die Nullstellen kennst. Setze sie einfach ein und bestimme den Faktor a mit einem zusätzlichen Punkt.
Du kannst jederzeit zwischen beiden Darstellungen wechseln. Multipliziere die Linearfaktoren schrittweise aus: Erst , dann das Ergebnis mit und so weiter.
Symmetrie-Bedingungen helfen auch hier: Bei Punktsymmetrie ist f(x) = -f, bei Achsensymmetrie f(x) = f. Das gibt dir zusätzliche Punkte!
Trick: Wenn du Nullstellen siehst, denk sofort an Linearfaktordarstellung - das spart meist Zeit!
Unser KI-Begleiter ist ein speziell für Schüler entwickeltes KI-Tool, das mehr als nur Antworten bietet. Basierend auf Millionen von Knowunity-Inhalten liefert er relevante Informationen, personalisierte Lernpläne, Quizze und Inhalte direkt im Chat und passt sich deinem individuellen Lernweg an.
Du kannst die App im Google Play Store und im Apple App Store herunterladen.
Genau! Genieße kostenlosen Zugang zu Lerninhalten, vernetze dich mit anderen Schülern und hol dir sofortige Hilfe – alles direkt auf deinem Handy.
App Store
Google Play
Die App ist sehr einfach zu bedienen und gut gestaltet. Ich habe bisher alles gefunden, wonach ich gesucht habe, und konnte viel aus den Präsentationen lernen! Ich werde die App definitiv für ein Schulprojekt nutzen! Und natürlich hilft sie auch sehr als Inspiration.
Stefan S
iOS-Nutzer
Diese App ist wirklich super. Es gibt so viele Lernzettel und Hilfen [...]. Mein Problemfach ist zum Beispiel Französisch und die App hat so viele Möglichkeiten zur Hilfe. Dank dieser App habe ich mich in Französisch verbessert. Ich würde sie jedem empfehlen.
Samantha Klich
Android-Nutzerin
Wow, ich bin wirklich begeistert. Ich habe die App einfach mal ausprobiert, weil ich sie schon oft beworben gesehen habe und war absolut beeindruckt. Diese App ist DIE HILFE, die man für die Schule braucht und vor allem bietet sie so viele Dinge wie Übungen und Lernzettel, die mir persönlich SEHR geholfen haben.
Anna
iOS-Nutzerin
Beste App der Welt! Keine Worte, weil sie einfach zu gut ist
Thomas R
iOS-Nutzer
Einfach genial. Lässt mich 10x besser lernen, diese App ist eine glatte 10/10. Ich empfehle sie jedem. Ich kann Lernzettel anschauen und suchen. Ich kann sie im Fachordner speichern. Ich kann sie jederzeit wiederholen, wenn ich zurückkomme. Wenn du diese App noch nicht ausprobiert hast, verpasst du wirklich was.
Basil
Android-Nutzer
Diese App hat mich so viel selbstbewusster in meiner Klausurvorbereitung gemacht, nicht nur durch die Stärkung meines Selbstvertrauens durch die Features, die es dir ermöglichen, dich mit anderen zu vernetzen und dich weniger allein zu fühlen, sondern auch durch die Art, wie die App selbst darauf ausgerichtet ist, dass du dich besser fühlst. Sie ist einfach zu bedienen, macht Spaß und hilft jedem, der in irgendeiner Weise Schwierigkeiten hat.
David K
iOS-Nutzer
Die App ist einfach super! Ich muss nur das Thema in die Suche eingeben und bekomme sofort eine Antwort. Ich muss nicht mehr 10 YouTube-Videos schauen, um etwas zu verstehen, und spare dadurch richtig viel Zeit. Sehr empfehlenswert!
Sudenaz Ocak
Android-Nutzerin
In der Schule war ich echt schlecht in Mathe, aber dank der App bin ich jetzt besser geworden. Ich bin so dankbar, dass ihr die App gemacht habt.
Greenlight Bonnie
Android-Nutzerin
sehr zuverlässige App, um deine Ideen in Mathe, Englisch und anderen verwandten Themen zu verbessern. bitte nutze diese App, wenn du in bestimmten Bereichen Schwierigkeiten hast, diese App ist dafür der Schlüssel. wünschte, ich hätte früher eine Bewertung geschrieben. und sie ist auch kostenlos, also mach dir darüber keine Sorgen.
Rohan U
Android-Nutzer
Ich weiß, dass viele Apps gefälschte Accounts nutzen, um ihre Bewertungen zu pushen, aber diese App verdient das alles. Ursprünglich hatte ich eine 4 in meinen Englisch-Klausuren und dieses Mal habe ich eine 2 bekommen. Ich wusste erst drei Tage vor der Klausur von dieser App und sie hat mir SEHR geholfen. Bitte vertrau mir wirklich und nutze sie, denn ich bin sicher, dass auch du Fortschritte sehen wirst.
Xander S
iOS-Nutzer
DIE QUIZZE UND KARTEIKARTEN SIND SO NÜTZLICH UND ICH LIEBE Knowunity KI. ES IST AUCH BUCHSTÄBLICH WIE CHATGPT ABER SCHLAUER!! HAT MIR AUCH BEI MEINEN MASCARA-PROBLEMEN GEHOLFEN!! SOWIE BEI MEINEN ECHTEN FÄCHERN! NATÜRLICH 😍😁😲🤑💗✨🎀😮
Elisha
iOS-Nutzer
Diese App ist echt der Hammer. Ich finde Lernen so langweilig, aber diese App macht es so einfach, alles zu organisieren und dann kannst du die kostenlose KI bitten, dich abzufragen, so gut, und du kannst einfach deine eigenen Sachen hochladen. sehr empfehlenswert als jemand, der gerade Probeklausuren schreibt
Paul T
iOS-Nutzer
Die App ist sehr einfach zu bedienen und gut gestaltet. Ich habe bisher alles gefunden, wonach ich gesucht habe, und konnte viel aus den Präsentationen lernen! Ich werde die App definitiv für ein Schulprojekt nutzen! Und natürlich hilft sie auch sehr als Inspiration.
Stefan S
iOS-Nutzer
Diese App ist wirklich super. Es gibt so viele Lernzettel und Hilfen [...]. Mein Problemfach ist zum Beispiel Französisch und die App hat so viele Möglichkeiten zur Hilfe. Dank dieser App habe ich mich in Französisch verbessert. Ich würde sie jedem empfehlen.
Samantha Klich
Android-Nutzerin
Wow, ich bin wirklich begeistert. Ich habe die App einfach mal ausprobiert, weil ich sie schon oft beworben gesehen habe und war absolut beeindruckt. Diese App ist DIE HILFE, die man für die Schule braucht und vor allem bietet sie so viele Dinge wie Übungen und Lernzettel, die mir persönlich SEHR geholfen haben.
Anna
iOS-Nutzerin
Beste App der Welt! Keine Worte, weil sie einfach zu gut ist
Thomas R
iOS-Nutzer
Einfach genial. Lässt mich 10x besser lernen, diese App ist eine glatte 10/10. Ich empfehle sie jedem. Ich kann Lernzettel anschauen und suchen. Ich kann sie im Fachordner speichern. Ich kann sie jederzeit wiederholen, wenn ich zurückkomme. Wenn du diese App noch nicht ausprobiert hast, verpasst du wirklich was.
Basil
Android-Nutzer
Diese App hat mich so viel selbstbewusster in meiner Klausurvorbereitung gemacht, nicht nur durch die Stärkung meines Selbstvertrauens durch die Features, die es dir ermöglichen, dich mit anderen zu vernetzen und dich weniger allein zu fühlen, sondern auch durch die Art, wie die App selbst darauf ausgerichtet ist, dass du dich besser fühlst. Sie ist einfach zu bedienen, macht Spaß und hilft jedem, der in irgendeiner Weise Schwierigkeiten hat.
David K
iOS-Nutzer
Die App ist einfach super! Ich muss nur das Thema in die Suche eingeben und bekomme sofort eine Antwort. Ich muss nicht mehr 10 YouTube-Videos schauen, um etwas zu verstehen, und spare dadurch richtig viel Zeit. Sehr empfehlenswert!
Sudenaz Ocak
Android-Nutzerin
In der Schule war ich echt schlecht in Mathe, aber dank der App bin ich jetzt besser geworden. Ich bin so dankbar, dass ihr die App gemacht habt.
Greenlight Bonnie
Android-Nutzerin
sehr zuverlässige App, um deine Ideen in Mathe, Englisch und anderen verwandten Themen zu verbessern. bitte nutze diese App, wenn du in bestimmten Bereichen Schwierigkeiten hast, diese App ist dafür der Schlüssel. wünschte, ich hätte früher eine Bewertung geschrieben. und sie ist auch kostenlos, also mach dir darüber keine Sorgen.
Rohan U
Android-Nutzer
Ich weiß, dass viele Apps gefälschte Accounts nutzen, um ihre Bewertungen zu pushen, aber diese App verdient das alles. Ursprünglich hatte ich eine 4 in meinen Englisch-Klausuren und dieses Mal habe ich eine 2 bekommen. Ich wusste erst drei Tage vor der Klausur von dieser App und sie hat mir SEHR geholfen. Bitte vertrau mir wirklich und nutze sie, denn ich bin sicher, dass auch du Fortschritte sehen wirst.
Xander S
iOS-Nutzer
DIE QUIZZE UND KARTEIKARTEN SIND SO NÜTZLICH UND ICH LIEBE Knowunity KI. ES IST AUCH BUCHSTÄBLICH WIE CHATGPT ABER SCHLAUER!! HAT MIR AUCH BEI MEINEN MASCARA-PROBLEMEN GEHOLFEN!! SOWIE BEI MEINEN ECHTEN FÄCHERN! NATÜRLICH 😍😁😲🤑💗✨🎀😮
Elisha
iOS-Nutzer
Diese App ist echt der Hammer. Ich finde Lernen so langweilig, aber diese App macht es so einfach, alles zu organisieren und dann kannst du die kostenlose KI bitten, dich abzufragen, so gut, und du kannst einfach deine eigenen Sachen hochladen. sehr empfehlenswert als jemand, der gerade Probeklausuren schreibt
Paul T
iOS-Nutzer
Hannah
@hannah.ky
Hier dreht sich alles um ganzrationale Funktionen - ein wichtiges Thema in der Oberstufe! Du lernst, wie sich Funktionen im Unendlichen verhalten, wo ihre Nullstellen liegen und wie du Funktionsgleichungen aufstellst.

Zugriff auf alle Dokumente
Verbessere deine Noten
Schließ dich Millionen Schülern an
Das Verhalten im Unendlichen zeigt dir, wohin eine Funktion "läuft", wenn x sehr groß oder sehr klein wird. Das ist super nützlich, um Graphen zu skizzieren!
Entscheidend sind zwei Dinge: der höchste Exponent und sein Vorfaktor (positiv oder negativ). Bei geradem Exponent und positivem Vorfaktor geht die Funktion in beide Richtungen gegen +∞. Bei negativem Vorfaktor geht sie gegen -∞.
Ungerade Exponenten sind anders: Mit positivem Vorfaktor geht die Funktion links gegen -∞ und rechts gegen +∞. Bei negativem Vorfaktor ist es umgekehrt.
Tipp: Schau dir immer zuerst den Term mit dem höchsten Exponenten an - der bestimmt alles!

Zugriff auf alle Dokumente
Verbessere deine Noten
Schließ dich Millionen Schülern an
Symmetrie erkennst du schnell: Achsensymmetrie bedeutet f(x) = f, Punktsymmetrie bedeutet f(x) = -f. Bei achsensymmetrischen Funktionen sind alle Exponenten gerade, bei punktsymmetrischen alle ungerade.
Für Nullstellen gibt es drei bewährte Methoden: Wurzelziehen , Ausklammern mit Satz vom Nullprodukt und Substitution (wenn du x² durch z ersetzt).
Der Satz vom Nullprodukt ist dein bester Freund: Wenn ein Produkt null ist, muss mindestens ein Faktor null sein. So findest du alle Nullstellen systematisch.
Merke: Bei komplexeren Funktionen mit Absolutglied hilft nur der GTR weiter!

Zugriff auf alle Dokumente
Verbessere deine Noten
Schließ dich Millionen Schülern an
Mit dem GTR und der Regression-Funktion stellst du blitzschnell Funktionsgleichungen auf! Gib einfach deine Punkte in L1 und L2 ein und wähle die passende Regression.
Für kubische Funktionen nimmst du "CubicReg", für quadratische "QuadReg". Der GTR spuckt dir sofort die Koeffizienten a, b, c und d aus.
Alternativ funktioniert auch die Matrix-Methode: Du stellst ein Gleichungssystem auf und löst es mit der rref-Funktion. Das ist besonders praktisch bei besonderen Bedingungen wie Punktsymmetrie.
Pro-Tipp: Bei Symmetrie sparst du dir Arbeit - dann fallen nämlich einige Koeffizienten weg!

Zugriff auf alle Dokumente
Verbessere deine Noten
Schließ dich Millionen Schülern an
Ohne GTR musst du zwischen Polynomdarstellung und Linearfaktordarstellung wählen. Die Polynomdarstellung f(x) = ax⁴ + bx³ + cx² + dx + e ist perfekt, wenn du Symmetrie-Eigenschaften nutzen kannst.
Bei Achsensymmetrie fallen alle ungeraden Exponenten weg , bei Punktsymmetrie alle geraden. Das reduziert deine Unbekannten erheblich!
Mit dem Additionsverfahren löst du dann das Gleichungssystem. Multipliziere die Gleichungen geschickt, damit sich Variablen wegkürzen lassen.
Wichtig: Zähle immer zuerst deine Unbekannten - du brauchst genauso viele Informationen!

Zugriff auf alle Dokumente
Verbessere deine Noten
Schließ dich Millionen Schülern an
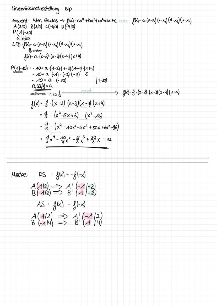
Die Linearfaktordarstellung f(x) = a ist ideal, wenn du bereits die Nullstellen kennst. Setze sie einfach ein und bestimme den Faktor a mit einem zusätzlichen Punkt.
Du kannst jederzeit zwischen beiden Darstellungen wechseln. Multipliziere die Linearfaktoren schrittweise aus: Erst , dann das Ergebnis mit und so weiter.
Symmetrie-Bedingungen helfen auch hier: Bei Punktsymmetrie ist f(x) = -f, bei Achsensymmetrie f(x) = f. Das gibt dir zusätzliche Punkte!
Trick: Wenn du Nullstellen siehst, denk sofort an Linearfaktordarstellung - das spart meist Zeit!
Unser KI-Begleiter ist ein speziell für Schüler entwickeltes KI-Tool, das mehr als nur Antworten bietet. Basierend auf Millionen von Knowunity-Inhalten liefert er relevante Informationen, personalisierte Lernpläne, Quizze und Inhalte direkt im Chat und passt sich deinem individuellen Lernweg an.
Du kannst die App im Google Play Store und im Apple App Store herunterladen.
Genau! Genieße kostenlosen Zugang zu Lerninhalten, vernetze dich mit anderen Schülern und hol dir sofortige Hilfe – alles direkt auf deinem Handy.
18
Smart Tools NEU
Verwandle diesen Lernzettel in: ✓ 50+ Übungsfragen ✓ Interaktive Karteikarten ✓ Komplette Probeklausur ✓ Aufsatzgliederungen
Erfahren Sie, wie Sie ganzrationale Funktionen 2. und 3. Grades bestimmen können. Diese Übersicht behandelt die Anwendung von Gleichungssystemen, den Einsatz des Taschenrechners, Regressionstechniken und die Funktionsanpassung. Ideal für Studierende, die ihre Kenntnisse in der Funktionalanalyse vertiefen möchten.
Entdecke die Grundlagen ganzrationaler und Potenzfunktionen in diesem umfassenden Überblick. Lerne, wie man Nullstellen findet, Symmetrieverhalten analysiert und Graphen skizziert. Ideal für Schüler der 10. Klasse im Gymnasium. Enthält wichtige Konzepte wie faktorisierte Form, Nullstellen und das Verhalten im Unendlichen.
Diese Übersicht behandelt die wesentlichen Eigenschaften von Funktionen, einschließlich Definitionsmenge, Wertemenge, Symmetrie und Nullstellen. Ideal für die Klausur- und Abiturvorbereitung. Enthält auch Informationen zu Transformationen, Tangenten und Sekanten sowie zur Polynomdivision.
Vertiefte Konzepte zu Wahrscheinlichkeit, Logarithmen und Funktionen für die 10. Klasse. Diese Zusammenfassung behandelt bedingte Wahrscheinlichkeiten, multistufige Zufallsexperimente, verschiedene Funktionstypen und deren Transformationen. Ideal für Schüler, die sich auf Prüfungen vorbereiten oder ihr Wissen auffrischen möchten.
Entdecken Sie die Symmetrie und das Verhalten ganzrationaler Funktionen. Diese Zusammenfassung behandelt die Achsensymmetrie, Punktsymmetrie, Transformationen von Graphen sowie die Bestimmung von Nullstellen. Ideal für Schüler, die sich auf Prüfungen vorbereiten und ein besseres Verständnis für Funktionen und deren Graphen entwickeln möchten.
Erfahren Sie, wie man ganzrationale Funktionen bestimmt, indem man Eigenschaften wie Extrempunkte, Sattel- und Wendepunkte analysiert. Diese Zusammenfassung bietet eine Schritt-für-Schritt-Anleitung zur Aufstellung und Lösung von Gleichungssystemen für Funktionen n-ten Grades. Ideal für Studierende, die sich auf Prüfungen vorbereiten oder ihr Verständnis von Funktionen vertiefen möchten.
App Store
Google Play
Die App ist sehr einfach zu bedienen und gut gestaltet. Ich habe bisher alles gefunden, wonach ich gesucht habe, und konnte viel aus den Präsentationen lernen! Ich werde die App definitiv für ein Schulprojekt nutzen! Und natürlich hilft sie auch sehr als Inspiration.
Stefan S
iOS-Nutzer
Diese App ist wirklich super. Es gibt so viele Lernzettel und Hilfen [...]. Mein Problemfach ist zum Beispiel Französisch und die App hat so viele Möglichkeiten zur Hilfe. Dank dieser App habe ich mich in Französisch verbessert. Ich würde sie jedem empfehlen.
Samantha Klich
Android-Nutzerin
Wow, ich bin wirklich begeistert. Ich habe die App einfach mal ausprobiert, weil ich sie schon oft beworben gesehen habe und war absolut beeindruckt. Diese App ist DIE HILFE, die man für die Schule braucht und vor allem bietet sie so viele Dinge wie Übungen und Lernzettel, die mir persönlich SEHR geholfen haben.
Anna
iOS-Nutzerin
Beste App der Welt! Keine Worte, weil sie einfach zu gut ist
Thomas R
iOS-Nutzer
Einfach genial. Lässt mich 10x besser lernen, diese App ist eine glatte 10/10. Ich empfehle sie jedem. Ich kann Lernzettel anschauen und suchen. Ich kann sie im Fachordner speichern. Ich kann sie jederzeit wiederholen, wenn ich zurückkomme. Wenn du diese App noch nicht ausprobiert hast, verpasst du wirklich was.
Basil
Android-Nutzer
Diese App hat mich so viel selbstbewusster in meiner Klausurvorbereitung gemacht, nicht nur durch die Stärkung meines Selbstvertrauens durch die Features, die es dir ermöglichen, dich mit anderen zu vernetzen und dich weniger allein zu fühlen, sondern auch durch die Art, wie die App selbst darauf ausgerichtet ist, dass du dich besser fühlst. Sie ist einfach zu bedienen, macht Spaß und hilft jedem, der in irgendeiner Weise Schwierigkeiten hat.
David K
iOS-Nutzer
Die App ist einfach super! Ich muss nur das Thema in die Suche eingeben und bekomme sofort eine Antwort. Ich muss nicht mehr 10 YouTube-Videos schauen, um etwas zu verstehen, und spare dadurch richtig viel Zeit. Sehr empfehlenswert!
Sudenaz Ocak
Android-Nutzerin
In der Schule war ich echt schlecht in Mathe, aber dank der App bin ich jetzt besser geworden. Ich bin so dankbar, dass ihr die App gemacht habt.
Greenlight Bonnie
Android-Nutzerin
sehr zuverlässige App, um deine Ideen in Mathe, Englisch und anderen verwandten Themen zu verbessern. bitte nutze diese App, wenn du in bestimmten Bereichen Schwierigkeiten hast, diese App ist dafür der Schlüssel. wünschte, ich hätte früher eine Bewertung geschrieben. und sie ist auch kostenlos, also mach dir darüber keine Sorgen.
Rohan U
Android-Nutzer
Ich weiß, dass viele Apps gefälschte Accounts nutzen, um ihre Bewertungen zu pushen, aber diese App verdient das alles. Ursprünglich hatte ich eine 4 in meinen Englisch-Klausuren und dieses Mal habe ich eine 2 bekommen. Ich wusste erst drei Tage vor der Klausur von dieser App und sie hat mir SEHR geholfen. Bitte vertrau mir wirklich und nutze sie, denn ich bin sicher, dass auch du Fortschritte sehen wirst.
Xander S
iOS-Nutzer
DIE QUIZZE UND KARTEIKARTEN SIND SO NÜTZLICH UND ICH LIEBE Knowunity KI. ES IST AUCH BUCHSTÄBLICH WIE CHATGPT ABER SCHLAUER!! HAT MIR AUCH BEI MEINEN MASCARA-PROBLEMEN GEHOLFEN!! SOWIE BEI MEINEN ECHTEN FÄCHERN! NATÜRLICH 😍😁😲🤑💗✨🎀😮
Elisha
iOS-Nutzer
Diese App ist echt der Hammer. Ich finde Lernen so langweilig, aber diese App macht es so einfach, alles zu organisieren und dann kannst du die kostenlose KI bitten, dich abzufragen, so gut, und du kannst einfach deine eigenen Sachen hochladen. sehr empfehlenswert als jemand, der gerade Probeklausuren schreibt
Paul T
iOS-Nutzer
Die App ist sehr einfach zu bedienen und gut gestaltet. Ich habe bisher alles gefunden, wonach ich gesucht habe, und konnte viel aus den Präsentationen lernen! Ich werde die App definitiv für ein Schulprojekt nutzen! Und natürlich hilft sie auch sehr als Inspiration.
Stefan S
iOS-Nutzer
Diese App ist wirklich super. Es gibt so viele Lernzettel und Hilfen [...]. Mein Problemfach ist zum Beispiel Französisch und die App hat so viele Möglichkeiten zur Hilfe. Dank dieser App habe ich mich in Französisch verbessert. Ich würde sie jedem empfehlen.
Samantha Klich
Android-Nutzerin
Wow, ich bin wirklich begeistert. Ich habe die App einfach mal ausprobiert, weil ich sie schon oft beworben gesehen habe und war absolut beeindruckt. Diese App ist DIE HILFE, die man für die Schule braucht und vor allem bietet sie so viele Dinge wie Übungen und Lernzettel, die mir persönlich SEHR geholfen haben.
Anna
iOS-Nutzerin
Beste App der Welt! Keine Worte, weil sie einfach zu gut ist
Thomas R
iOS-Nutzer
Einfach genial. Lässt mich 10x besser lernen, diese App ist eine glatte 10/10. Ich empfehle sie jedem. Ich kann Lernzettel anschauen und suchen. Ich kann sie im Fachordner speichern. Ich kann sie jederzeit wiederholen, wenn ich zurückkomme. Wenn du diese App noch nicht ausprobiert hast, verpasst du wirklich was.
Basil
Android-Nutzer
Diese App hat mich so viel selbstbewusster in meiner Klausurvorbereitung gemacht, nicht nur durch die Stärkung meines Selbstvertrauens durch die Features, die es dir ermöglichen, dich mit anderen zu vernetzen und dich weniger allein zu fühlen, sondern auch durch die Art, wie die App selbst darauf ausgerichtet ist, dass du dich besser fühlst. Sie ist einfach zu bedienen, macht Spaß und hilft jedem, der in irgendeiner Weise Schwierigkeiten hat.
David K
iOS-Nutzer
Die App ist einfach super! Ich muss nur das Thema in die Suche eingeben und bekomme sofort eine Antwort. Ich muss nicht mehr 10 YouTube-Videos schauen, um etwas zu verstehen, und spare dadurch richtig viel Zeit. Sehr empfehlenswert!
Sudenaz Ocak
Android-Nutzerin
In der Schule war ich echt schlecht in Mathe, aber dank der App bin ich jetzt besser geworden. Ich bin so dankbar, dass ihr die App gemacht habt.
Greenlight Bonnie
Android-Nutzerin
sehr zuverlässige App, um deine Ideen in Mathe, Englisch und anderen verwandten Themen zu verbessern. bitte nutze diese App, wenn du in bestimmten Bereichen Schwierigkeiten hast, diese App ist dafür der Schlüssel. wünschte, ich hätte früher eine Bewertung geschrieben. und sie ist auch kostenlos, also mach dir darüber keine Sorgen.
Rohan U
Android-Nutzer
Ich weiß, dass viele Apps gefälschte Accounts nutzen, um ihre Bewertungen zu pushen, aber diese App verdient das alles. Ursprünglich hatte ich eine 4 in meinen Englisch-Klausuren und dieses Mal habe ich eine 2 bekommen. Ich wusste erst drei Tage vor der Klausur von dieser App und sie hat mir SEHR geholfen. Bitte vertrau mir wirklich und nutze sie, denn ich bin sicher, dass auch du Fortschritte sehen wirst.
Xander S
iOS-Nutzer
DIE QUIZZE UND KARTEIKARTEN SIND SO NÜTZLICH UND ICH LIEBE Knowunity KI. ES IST AUCH BUCHSTÄBLICH WIE CHATGPT ABER SCHLAUER!! HAT MIR AUCH BEI MEINEN MASCARA-PROBLEMEN GEHOLFEN!! SOWIE BEI MEINEN ECHTEN FÄCHERN! NATÜRLICH 😍😁😲🤑💗✨🎀😮
Elisha
iOS-Nutzer
Diese App ist echt der Hammer. Ich finde Lernen so langweilig, aber diese App macht es so einfach, alles zu organisieren und dann kannst du die kostenlose KI bitten, dich abzufragen, so gut, und du kannst einfach deine eigenen Sachen hochladen. sehr empfehlenswert als jemand, der gerade Probeklausuren schreibt
Paul T
iOS-Nutzer