App öffnen

Fächer

Physik LK Klausur Schwingungen

63

0

M

M

21.9.2025

Physik

Physik LK Klausur Schwingungen

2.280

21. Sept. 2025

8 Seiten

Physik LK Klausur Schwingungen

M

M

@m_psge

Klausur Schwingungen im LK Bitte gibt mir ein feedback oder reagiert falls es euch gefällt

Page 1
Page 2
Page 3
Page 4
Page 5
Page 6
Page 7
Page 8
1 / 8
Physikklausur Nr. 4
Bearbeitungszeit: 90 Minuten
LF J1/2
17.06.2021 Name:
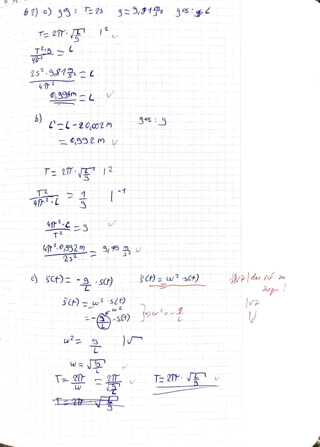
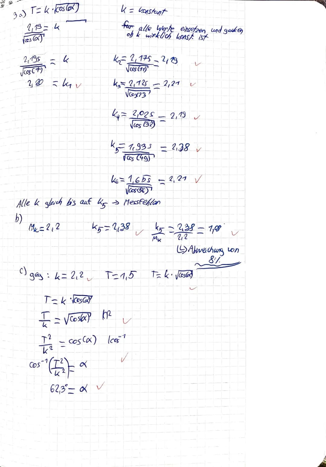
1. Ein Wagen der Masse 500 g kann sich auf einer horizontalen
Unte
Physikklausur Nr. 4
Bearbeitungszeit: 90 Minuten
LF J1/2
17.06.2021 Name:
1. Ein Wagen der Masse 500 g kann sich auf einer horizontalen
Unte
Physikklausur Nr. 4
Bearbeitungszeit: 90 Minuten
LF J1/2
17.06.2021 Name:
1. Ein Wagen der Masse 500 g kann sich auf einer horizontalen
Unte
Physikklausur Nr. 4
Bearbeitungszeit: 90 Minuten
LF J1/2
17.06.2021 Name:
1. Ein Wagen der Masse 500 g kann sich auf einer horizontalen
Unte
Physikklausur Nr. 4
Bearbeitungszeit: 90 Minuten
LF J1/2
17.06.2021 Name:
1. Ein Wagen der Masse 500 g kann sich auf einer horizontalen
Unte
Physikklausur Nr. 4
Bearbeitungszeit: 90 Minuten
LF J1/2
17.06.2021 Name:
1. Ein Wagen der Masse 500 g kann sich auf einer horizontalen
Unte
Physikklausur Nr. 4
Bearbeitungszeit: 90 Minuten
LF J1/2
17.06.2021 Name:
1. Ein Wagen der Masse 500 g kann sich auf einer horizontalen
Unte
Physikklausur Nr. 4
Bearbeitungszeit: 90 Minuten
LF J1/2
17.06.2021 Name:
1. Ein Wagen der Masse 500 g kann sich auf einer horizontalen
Unte


Wir dachten, du würdest nie fragen...

Was ist der Knowunity KI-Begleiter?

Unser KI-Begleiter ist speziell auf die Bedürfnisse von Schülern zugeschnitten. Basierend auf den Millionen von Inhalten, die wir auf der Plattform haben, können wir den Schülern wirklich sinnvolle und relevante Antworten geben. Aber es geht nicht nur um Antworten, sondern der Begleiter führt die Schüler auch durch ihre täglichen Lernherausforderungen, mit personalisierten Lernplänen, Quizfragen oder Inhalten im Chat und einer 100% Personalisierung basierend auf den Fähigkeiten und Entwicklungen der Schüler.

Wo kann ich mir die Knowunity-App herunterladen?

Du kannst dir die App im Google Play Store und im Apple App Store herunterladen.

Ist Knowunity wirklich kostenlos?

Ja, du hast kostenlosen Zugriff auf Inhalte in der App und auf unseren KI-Begleiter. Zum Freischalten bestimmter Features in der App kannst du Knowunity Pro erwerben.

Nichts passendes dabei? Erkunde andere Fachbereiche.

Schüler:innen lieben uns — und du wirst es auch.

4.9/5

App Store

4.8/5

Google Play

Die App ist sehr leicht und gut gestaltet. Habe bis jetzt alles gefunden, nachdem ich gesucht habe und aus den Präsentationen echt viel lernen können! Die App werde ich auf jeden Fall für eine Klassenarbeit verwenden! Und als eigene Inspiration hilft sie natürlich auch sehr.

Stefan S

iOS user

Diese App ist wirklich echt super. Es gibt so viele Lernzettel und Hilfen, […]. Mein Problemfach ist zum Beispiel Französisch und die App hat mega viel Auswahl für Hilfe. Dank dieser App habe ich mich in Französisch verbessert. Ich würde diese jedem weiterempfehlen.

Samantha Klich

Android user

Wow ich bin wirklich komplett baff. Habe die App nur mal so ausprobiert, weil ich es schon oft in der Werbung gesehen habe und war absolut geschockt. Diese App ist DIE HILFE, die man sich für die Schule wünscht und vor allem werden so viele Sachen angeboten, wie z.B. Ausarbeitungen und Merkblätter, welche mir persönlich SEHR weitergeholfen haben.

Anna

iOS user

Ich finde Knowunity so grandios. Ich lerne wirklich für alles damit. Es gibt so viele verschiedene Lernzettel, die sehr gut erklärt sind!

Jana V

iOS user

Ich liebe diese App sie hilft mir vor jeder Arbeit kann Aufgaben kontrollieren sowie lösen und ist wirklich vielfältig verwendbar. Man kann mit diesem Fuchs auch normal reden so wie Probleme im echten Leben besprechen und er hilft einem. Wirklich sehr gut diese App kann ich nur weiter empfehlen, gerade für Menschen die etwas länger brauchen etwas zu verstehen!

Lena M

Android user

Ich finde Knowunity ist eine super App. Für die Schule ist sie ideal , wegen den Lernzetteln, Quizen und dem AI. Das gute an AI ist , dass er nicht direkt nur die Lösung ausspuckt sondern einen Weg zeigt wie man darauf kommt. Manchmal gibt er einem auch nur einen Tipp damit man selbst darauf kommt . Mir hilft Knowunity persönlich sehr viel und ich kann sie nur weiterempfehlen ☺️

Timo S

iOS user

Die App ist einfach super! Ich muss nur in die Suchleiste mein Thema eintragen und ich checke es sehr schnell. Ich muss nicht mehr 10 YouTube Videos gucken, um etwas zu verstehen und somit spare ich mir meine Zeit. Einfach zu empfehlen!!

Sudenaz Ocak

Android user

Diese App hat mich echt verbessert! In der Schule war ich richtig schlecht in Mathe und dank der App kann ich besser Mathe! Ich bin so dankbar, dass ihr die App gemacht habt.

Greenlight Bonnie

Android user

Ich benutze Knowunity schon sehr lange und meine Noten haben sich verbessert die App hilft mir bei Mathe,Englisch u.s.w. Ich bekomme Hilfe wenn ich sie brauche und bekomme sogar Glückwünsche für meine Arbeit Deswegen von mir 5 Sterne🫶🏼

Julia S

Android user

Also die App hat mir echt in super vielen Fächern geholfen! Ich hatte in der Mathe Arbeit davor eine 3+ und habe nur durch den School GPT und die Lernzettek auf der App eine 1-3 in Mathe geschafft…Ich bin Mega glücklich darüber also ja wircklich eine super App zum lernen und es spart sehr viel Heit dass man mehr Freizeit hat!

Marcus B

iOS user

Mit dieser App hab ich bessere Noten bekommen. Bessere Lernzettel gekriegt. Ich habe die App benutzt, als ich die Fächer nicht ganz verstanden habe,diese App ist ein würcklich GameChanger für die Schule, Hausaufgaben

Sarah L

Android user

Hatte noch nie so viel Spaß beim Lernen und der School Bot macht super Aufschriebe die man Herunterladen kann total Übersichtlich und Lehreich. Bin begeistert.

Hans T

iOS user

Die App ist sehr leicht und gut gestaltet. Habe bis jetzt alles gefunden, nachdem ich gesucht habe und aus den Präsentationen echt viel lernen können! Die App werde ich auf jeden Fall für eine Klassenarbeit verwenden! Und als eigene Inspiration hilft sie natürlich auch sehr.

Stefan S

iOS user

Diese App ist wirklich echt super. Es gibt so viele Lernzettel und Hilfen, […]. Mein Problemfach ist zum Beispiel Französisch und die App hat mega viel Auswahl für Hilfe. Dank dieser App habe ich mich in Französisch verbessert. Ich würde diese jedem weiterempfehlen.

Samantha Klich

Android user

Wow ich bin wirklich komplett baff. Habe die App nur mal so ausprobiert, weil ich es schon oft in der Werbung gesehen habe und war absolut geschockt. Diese App ist DIE HILFE, die man sich für die Schule wünscht und vor allem werden so viele Sachen angeboten, wie z.B. Ausarbeitungen und Merkblätter, welche mir persönlich SEHR weitergeholfen haben.

Anna

iOS user

Ich finde Knowunity so grandios. Ich lerne wirklich für alles damit. Es gibt so viele verschiedene Lernzettel, die sehr gut erklärt sind!

Jana V

iOS user

Ich liebe diese App sie hilft mir vor jeder Arbeit kann Aufgaben kontrollieren sowie lösen und ist wirklich vielfältig verwendbar. Man kann mit diesem Fuchs auch normal reden so wie Probleme im echten Leben besprechen und er hilft einem. Wirklich sehr gut diese App kann ich nur weiter empfehlen, gerade für Menschen die etwas länger brauchen etwas zu verstehen!

Lena M

Android user

Ich finde Knowunity ist eine super App. Für die Schule ist sie ideal , wegen den Lernzetteln, Quizen und dem AI. Das gute an AI ist , dass er nicht direkt nur die Lösung ausspuckt sondern einen Weg zeigt wie man darauf kommt. Manchmal gibt er einem auch nur einen Tipp damit man selbst darauf kommt . Mir hilft Knowunity persönlich sehr viel und ich kann sie nur weiterempfehlen ☺️

Timo S

iOS user

Die App ist einfach super! Ich muss nur in die Suchleiste mein Thema eintragen und ich checke es sehr schnell. Ich muss nicht mehr 10 YouTube Videos gucken, um etwas zu verstehen und somit spare ich mir meine Zeit. Einfach zu empfehlen!!

Sudenaz Ocak

Android user

Diese App hat mich echt verbessert! In der Schule war ich richtig schlecht in Mathe und dank der App kann ich besser Mathe! Ich bin so dankbar, dass ihr die App gemacht habt.

Greenlight Bonnie

Android user

Ich benutze Knowunity schon sehr lange und meine Noten haben sich verbessert die App hilft mir bei Mathe,Englisch u.s.w. Ich bekomme Hilfe wenn ich sie brauche und bekomme sogar Glückwünsche für meine Arbeit Deswegen von mir 5 Sterne🫶🏼

Julia S

Android user

Also die App hat mir echt in super vielen Fächern geholfen! Ich hatte in der Mathe Arbeit davor eine 3+ und habe nur durch den School GPT und die Lernzettek auf der App eine 1-3 in Mathe geschafft…Ich bin Mega glücklich darüber also ja wircklich eine super App zum lernen und es spart sehr viel Heit dass man mehr Freizeit hat!

Marcus B

iOS user

Mit dieser App hab ich bessere Noten bekommen. Bessere Lernzettel gekriegt. Ich habe die App benutzt, als ich die Fächer nicht ganz verstanden habe,diese App ist ein würcklich GameChanger für die Schule, Hausaufgaben

Sarah L

Android user

Hatte noch nie so viel Spaß beim Lernen und der School Bot macht super Aufschriebe die man Herunterladen kann total Übersichtlich und Lehreich. Bin begeistert.

Hans T

iOS user

 

Physik

2.280

21. Sept. 2025

8 Seiten

Physik LK Klausur Schwingungen

M

M

@m_psge

Klausur Schwingungen im LK Bitte gibt mir ein feedback oder reagiert falls es euch gefällt

Physikklausur Nr. 4
Bearbeitungszeit: 90 Minuten
LF J1/2
17.06.2021 Name:
1. Ein Wagen der Masse 500 g kann sich auf einer horizontalen
Unte

Melde dich an, um den Inhalt freizuschaltenEs ist kostenlos!

Zugriff auf alle Dokumente

Verbessere deine Noten

Werde Teil der Community

Mit der Anmeldung akzeptierst du die Nutzungsbedingungen und die Datenschutzrichtlinie

Physikklausur Nr. 4
Bearbeitungszeit: 90 Minuten
LF J1/2
17.06.2021 Name:
1. Ein Wagen der Masse 500 g kann sich auf einer horizontalen
Unte

Melde dich an, um den Inhalt freizuschaltenEs ist kostenlos!

Zugriff auf alle Dokumente

Verbessere deine Noten

Werde Teil der Community

Mit der Anmeldung akzeptierst du die Nutzungsbedingungen und die Datenschutzrichtlinie

Physikklausur Nr. 4
Bearbeitungszeit: 90 Minuten
LF J1/2
17.06.2021 Name:
1. Ein Wagen der Masse 500 g kann sich auf einer horizontalen
Unte

Melde dich an, um den Inhalt freizuschaltenEs ist kostenlos!

Zugriff auf alle Dokumente

Verbessere deine Noten

Werde Teil der Community

Mit der Anmeldung akzeptierst du die Nutzungsbedingungen und die Datenschutzrichtlinie

Physikklausur Nr. 4
Bearbeitungszeit: 90 Minuten
LF J1/2
17.06.2021 Name:
1. Ein Wagen der Masse 500 g kann sich auf einer horizontalen
Unte

Melde dich an, um den Inhalt freizuschaltenEs ist kostenlos!

Zugriff auf alle Dokumente

Verbessere deine Noten

Werde Teil der Community

Mit der Anmeldung akzeptierst du die Nutzungsbedingungen und die Datenschutzrichtlinie

Physikklausur Nr. 4
Bearbeitungszeit: 90 Minuten
LF J1/2
17.06.2021 Name:
1. Ein Wagen der Masse 500 g kann sich auf einer horizontalen
Unte

Melde dich an, um den Inhalt freizuschaltenEs ist kostenlos!

Zugriff auf alle Dokumente

Verbessere deine Noten

Werde Teil der Community

Mit der Anmeldung akzeptierst du die Nutzungsbedingungen und die Datenschutzrichtlinie

Physikklausur Nr. 4
Bearbeitungszeit: 90 Minuten
LF J1/2
17.06.2021 Name:
1. Ein Wagen der Masse 500 g kann sich auf einer horizontalen
Unte

Melde dich an, um den Inhalt freizuschaltenEs ist kostenlos!

Zugriff auf alle Dokumente

Verbessere deine Noten

Werde Teil der Community

Mit der Anmeldung akzeptierst du die Nutzungsbedingungen und die Datenschutzrichtlinie

Physikklausur Nr. 4
Bearbeitungszeit: 90 Minuten
LF J1/2
17.06.2021 Name:
1. Ein Wagen der Masse 500 g kann sich auf einer horizontalen
Unte

Melde dich an, um den Inhalt freizuschaltenEs ist kostenlos!

Zugriff auf alle Dokumente

Verbessere deine Noten

Werde Teil der Community

Mit der Anmeldung akzeptierst du die Nutzungsbedingungen und die Datenschutzrichtlinie

Physikklausur Nr. 4
Bearbeitungszeit: 90 Minuten
LF J1/2
17.06.2021 Name:
1. Ein Wagen der Masse 500 g kann sich auf einer horizontalen
Unte

Melde dich an, um den Inhalt freizuschaltenEs ist kostenlos!

Zugriff auf alle Dokumente

Verbessere deine Noten

Werde Teil der Community

Mit der Anmeldung akzeptierst du die Nutzungsbedingungen und die Datenschutzrichtlinie

Wir dachten, du würdest nie fragen...

Was ist der Knowunity KI-Begleiter?

Unser KI-Begleiter ist speziell auf die Bedürfnisse von Schülern zugeschnitten. Basierend auf den Millionen von Inhalten, die wir auf der Plattform haben, können wir den Schülern wirklich sinnvolle und relevante Antworten geben. Aber es geht nicht nur um Antworten, sondern der Begleiter führt die Schüler auch durch ihre täglichen Lernherausforderungen, mit personalisierten Lernplänen, Quizfragen oder Inhalten im Chat und einer 100% Personalisierung basierend auf den Fähigkeiten und Entwicklungen der Schüler.

Wo kann ich mir die Knowunity-App herunterladen?

Du kannst dir die App im Google Play Store und im Apple App Store herunterladen.

Ist Knowunity wirklich kostenlos?

Ja, du hast kostenlosen Zugriff auf Inhalte in der App und auf unseren KI-Begleiter. Zum Freischalten bestimmter Features in der App kannst du Knowunity Pro erwerben.

Nichts passendes dabei? Erkunde andere Fachbereiche.

Schüler:innen lieben uns — und du wirst es auch.

4.9/5

App Store

4.8/5

Google Play

Die App ist sehr leicht und gut gestaltet. Habe bis jetzt alles gefunden, nachdem ich gesucht habe und aus den Präsentationen echt viel lernen können! Die App werde ich auf jeden Fall für eine Klassenarbeit verwenden! Und als eigene Inspiration hilft sie natürlich auch sehr.

Stefan S

iOS user

Diese App ist wirklich echt super. Es gibt so viele Lernzettel und Hilfen, […]. Mein Problemfach ist zum Beispiel Französisch und die App hat mega viel Auswahl für Hilfe. Dank dieser App habe ich mich in Französisch verbessert. Ich würde diese jedem weiterempfehlen.

Samantha Klich

Android user

Wow ich bin wirklich komplett baff. Habe die App nur mal so ausprobiert, weil ich es schon oft in der Werbung gesehen habe und war absolut geschockt. Diese App ist DIE HILFE, die man sich für die Schule wünscht und vor allem werden so viele Sachen angeboten, wie z.B. Ausarbeitungen und Merkblätter, welche mir persönlich SEHR weitergeholfen haben.

Anna

iOS user

Ich finde Knowunity so grandios. Ich lerne wirklich für alles damit. Es gibt so viele verschiedene Lernzettel, die sehr gut erklärt sind!

Jana V

iOS user

Ich liebe diese App sie hilft mir vor jeder Arbeit kann Aufgaben kontrollieren sowie lösen und ist wirklich vielfältig verwendbar. Man kann mit diesem Fuchs auch normal reden so wie Probleme im echten Leben besprechen und er hilft einem. Wirklich sehr gut diese App kann ich nur weiter empfehlen, gerade für Menschen die etwas länger brauchen etwas zu verstehen!

Lena M

Android user

Ich finde Knowunity ist eine super App. Für die Schule ist sie ideal , wegen den Lernzetteln, Quizen und dem AI. Das gute an AI ist , dass er nicht direkt nur die Lösung ausspuckt sondern einen Weg zeigt wie man darauf kommt. Manchmal gibt er einem auch nur einen Tipp damit man selbst darauf kommt . Mir hilft Knowunity persönlich sehr viel und ich kann sie nur weiterempfehlen ☺️

Timo S

iOS user

Die App ist einfach super! Ich muss nur in die Suchleiste mein Thema eintragen und ich checke es sehr schnell. Ich muss nicht mehr 10 YouTube Videos gucken, um etwas zu verstehen und somit spare ich mir meine Zeit. Einfach zu empfehlen!!

Sudenaz Ocak

Android user

Diese App hat mich echt verbessert! In der Schule war ich richtig schlecht in Mathe und dank der App kann ich besser Mathe! Ich bin so dankbar, dass ihr die App gemacht habt.

Greenlight Bonnie

Android user

Ich benutze Knowunity schon sehr lange und meine Noten haben sich verbessert die App hilft mir bei Mathe,Englisch u.s.w. Ich bekomme Hilfe wenn ich sie brauche und bekomme sogar Glückwünsche für meine Arbeit Deswegen von mir 5 Sterne🫶🏼

Julia S

Android user

Also die App hat mir echt in super vielen Fächern geholfen! Ich hatte in der Mathe Arbeit davor eine 3+ und habe nur durch den School GPT und die Lernzettek auf der App eine 1-3 in Mathe geschafft…Ich bin Mega glücklich darüber also ja wircklich eine super App zum lernen und es spart sehr viel Heit dass man mehr Freizeit hat!

Marcus B

iOS user

Mit dieser App hab ich bessere Noten bekommen. Bessere Lernzettel gekriegt. Ich habe die App benutzt, als ich die Fächer nicht ganz verstanden habe,diese App ist ein würcklich GameChanger für die Schule, Hausaufgaben

Sarah L

Android user

Hatte noch nie so viel Spaß beim Lernen und der School Bot macht super Aufschriebe die man Herunterladen kann total Übersichtlich und Lehreich. Bin begeistert.

Hans T

iOS user

Die App ist sehr leicht und gut gestaltet. Habe bis jetzt alles gefunden, nachdem ich gesucht habe und aus den Präsentationen echt viel lernen können! Die App werde ich auf jeden Fall für eine Klassenarbeit verwenden! Und als eigene Inspiration hilft sie natürlich auch sehr.

Stefan S

iOS user

Diese App ist wirklich echt super. Es gibt so viele Lernzettel und Hilfen, […]. Mein Problemfach ist zum Beispiel Französisch und die App hat mega viel Auswahl für Hilfe. Dank dieser App habe ich mich in Französisch verbessert. Ich würde diese jedem weiterempfehlen.

Samantha Klich

Android user

Wow ich bin wirklich komplett baff. Habe die App nur mal so ausprobiert, weil ich es schon oft in der Werbung gesehen habe und war absolut geschockt. Diese App ist DIE HILFE, die man sich für die Schule wünscht und vor allem werden so viele Sachen angeboten, wie z.B. Ausarbeitungen und Merkblätter, welche mir persönlich SEHR weitergeholfen haben.

Anna

iOS user

Ich finde Knowunity so grandios. Ich lerne wirklich für alles damit. Es gibt so viele verschiedene Lernzettel, die sehr gut erklärt sind!

Jana V

iOS user

Ich liebe diese App sie hilft mir vor jeder Arbeit kann Aufgaben kontrollieren sowie lösen und ist wirklich vielfältig verwendbar. Man kann mit diesem Fuchs auch normal reden so wie Probleme im echten Leben besprechen und er hilft einem. Wirklich sehr gut diese App kann ich nur weiter empfehlen, gerade für Menschen die etwas länger brauchen etwas zu verstehen!

Lena M

Android user

Ich finde Knowunity ist eine super App. Für die Schule ist sie ideal , wegen den Lernzetteln, Quizen und dem AI. Das gute an AI ist , dass er nicht direkt nur die Lösung ausspuckt sondern einen Weg zeigt wie man darauf kommt. Manchmal gibt er einem auch nur einen Tipp damit man selbst darauf kommt . Mir hilft Knowunity persönlich sehr viel und ich kann sie nur weiterempfehlen ☺️

Timo S

iOS user

Die App ist einfach super! Ich muss nur in die Suchleiste mein Thema eintragen und ich checke es sehr schnell. Ich muss nicht mehr 10 YouTube Videos gucken, um etwas zu verstehen und somit spare ich mir meine Zeit. Einfach zu empfehlen!!

Sudenaz Ocak

Android user

Diese App hat mich echt verbessert! In der Schule war ich richtig schlecht in Mathe und dank der App kann ich besser Mathe! Ich bin so dankbar, dass ihr die App gemacht habt.

Greenlight Bonnie

Android user

Ich benutze Knowunity schon sehr lange und meine Noten haben sich verbessert die App hilft mir bei Mathe,Englisch u.s.w. Ich bekomme Hilfe wenn ich sie brauche und bekomme sogar Glückwünsche für meine Arbeit Deswegen von mir 5 Sterne🫶🏼

Julia S

Android user

Also die App hat mir echt in super vielen Fächern geholfen! Ich hatte in der Mathe Arbeit davor eine 3+ und habe nur durch den School GPT und die Lernzettek auf der App eine 1-3 in Mathe geschafft…Ich bin Mega glücklich darüber also ja wircklich eine super App zum lernen und es spart sehr viel Heit dass man mehr Freizeit hat!

Marcus B

iOS user

Mit dieser App hab ich bessere Noten bekommen. Bessere Lernzettel gekriegt. Ich habe die App benutzt, als ich die Fächer nicht ganz verstanden habe,diese App ist ein würcklich GameChanger für die Schule, Hausaufgaben

Sarah L

Android user

Hatte noch nie so viel Spaß beim Lernen und der School Bot macht super Aufschriebe die man Herunterladen kann total Übersichtlich und Lehreich. Bin begeistert.

Hans T

iOS user