App öffnen

Fächer

Schwingungen / Wellen

16

0

user profile picture

Emely

27.9.2025

Physik

Schwingungen / Wellen

2.308

27. Sept. 2025

29 Seiten

Schwingungen / Wellen

user profile picture

Emely

@nemexx

Hier findest du alles, was wir im Leistungskurs Physik zu Schwingungen / Wellen gemacht haben. (:

Page 1
Page 2
Page 3
Page 4
Page 5
Page 6
Page 7
Page 8
Page 9
Page 10
1 / 10
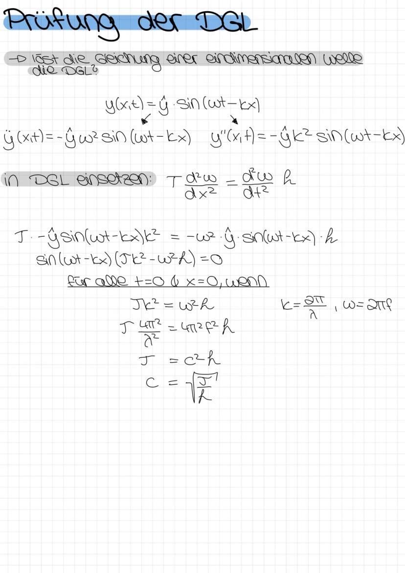
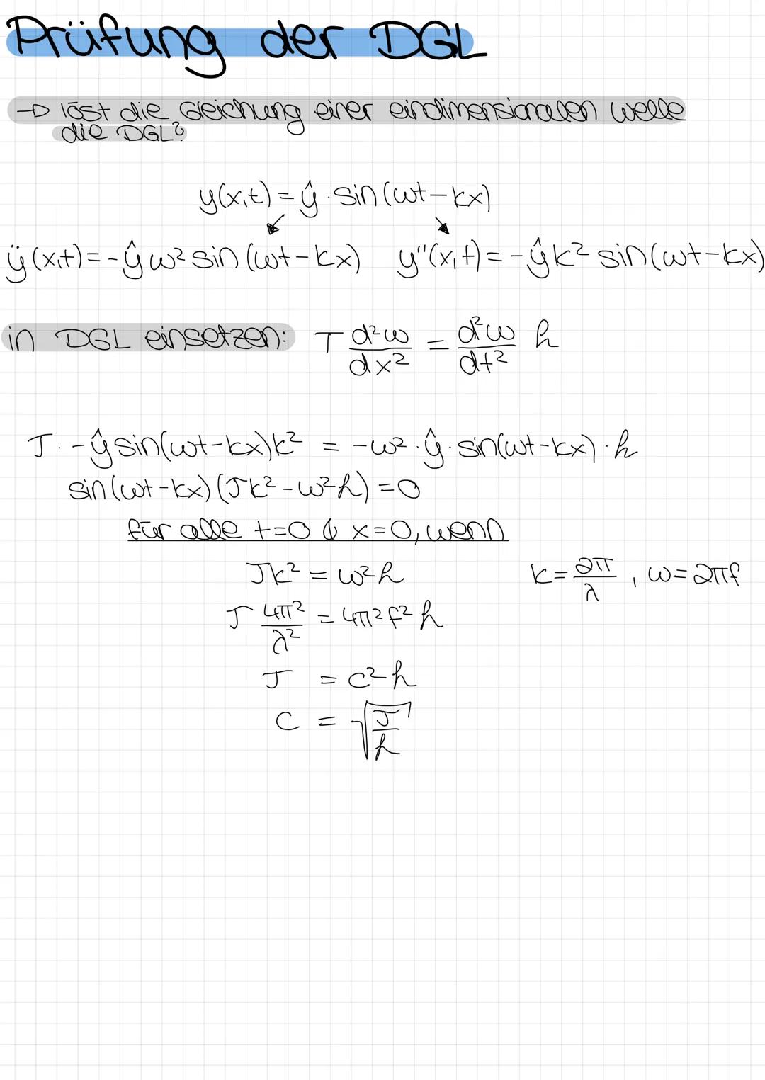
ANNONIMAIS DGL schwingende Saite
Fw(x) = -At sin(x)
Fw (dx + x) = AT- sin(a+da)
Fr = Fw (x) + Fw (dx+x)
= -AT· Sin (α) + AT·Sin (x+da)
Fr =
ANNONIMAIS DGL schwingende Saite
Fw(x) = -At sin(x)
Fw (dx + x) = AT- sin(a+da)
Fr = Fw (x) + Fw (dx+x)
= -AT· Sin (α) + AT·Sin (x+da)
Fr =
ANNONIMAIS DGL schwingende Saite
Fw(x) = -At sin(x)
Fw (dx + x) = AT- sin(a+da)
Fr = Fw (x) + Fw (dx+x)
= -AT· Sin (α) + AT·Sin (x+da)
Fr =
ANNONIMAIS DGL schwingende Saite
Fw(x) = -At sin(x)
Fw (dx + x) = AT- sin(a+da)
Fr = Fw (x) + Fw (dx+x)
= -AT· Sin (α) + AT·Sin (x+da)
Fr =
ANNONIMAIS DGL schwingende Saite
Fw(x) = -At sin(x)
Fw (dx + x) = AT- sin(a+da)
Fr = Fw (x) + Fw (dx+x)
= -AT· Sin (α) + AT·Sin (x+da)
Fr =
ANNONIMAIS DGL schwingende Saite
Fw(x) = -At sin(x)
Fw (dx + x) = AT- sin(a+da)
Fr = Fw (x) + Fw (dx+x)
= -AT· Sin (α) + AT·Sin (x+da)
Fr =
ANNONIMAIS DGL schwingende Saite
Fw(x) = -At sin(x)
Fw (dx + x) = AT- sin(a+da)
Fr = Fw (x) + Fw (dx+x)
= -AT· Sin (α) + AT·Sin (x+da)
Fr =
ANNONIMAIS DGL schwingende Saite
Fw(x) = -At sin(x)
Fw (dx + x) = AT- sin(a+da)
Fr = Fw (x) + Fw (dx+x)
= -AT· Sin (α) + AT·Sin (x+da)
Fr =
ANNONIMAIS DGL schwingende Saite
Fw(x) = -At sin(x)
Fw (dx + x) = AT- sin(a+da)
Fr = Fw (x) + Fw (dx+x)
= -AT· Sin (α) + AT·Sin (x+da)
Fr =
ANNONIMAIS DGL schwingende Saite
Fw(x) = -At sin(x)
Fw (dx + x) = AT- sin(a+da)
Fr = Fw (x) + Fw (dx+x)
= -AT· Sin (α) + AT·Sin (x+da)
Fr =


Wir dachten, du würdest nie fragen...

Was ist der Knowunity KI-Begleiter?

Unser KI-Begleiter ist speziell auf die Bedürfnisse von Schülern zugeschnitten. Basierend auf den Millionen von Inhalten, die wir auf der Plattform haben, können wir den Schülern wirklich sinnvolle und relevante Antworten geben. Aber es geht nicht nur um Antworten, sondern der Begleiter führt die Schüler auch durch ihre täglichen Lernherausforderungen, mit personalisierten Lernplänen, Quizfragen oder Inhalten im Chat und einer 100% Personalisierung basierend auf den Fähigkeiten und Entwicklungen der Schüler.

Wo kann ich mir die Knowunity-App herunterladen?

Du kannst dir die App im Google Play Store und im Apple App Store herunterladen.

Ist Knowunity wirklich kostenlos?

Ja, du hast kostenlosen Zugriff auf Inhalte in der App und auf unseren KI-Begleiter. Zum Freischalten bestimmter Features in der App kannst du Knowunity Pro erwerben.

Nichts passendes dabei? Erkunde andere Fachbereiche.

Schüler:innen lieben uns — und du wirst es auch.

4.9/5

App Store

4.8/5

Google Play

Die App ist sehr leicht und gut gestaltet. Habe bis jetzt alles gefunden, nachdem ich gesucht habe und aus den Präsentationen echt viel lernen können! Die App werde ich auf jeden Fall für eine Klassenarbeit verwenden! Und als eigene Inspiration hilft sie natürlich auch sehr.

Stefan S

iOS user

Diese App ist wirklich echt super. Es gibt so viele Lernzettel und Hilfen, […]. Mein Problemfach ist zum Beispiel Französisch und die App hat mega viel Auswahl für Hilfe. Dank dieser App habe ich mich in Französisch verbessert. Ich würde diese jedem weiterempfehlen.

Samantha Klich

Android user

Wow ich bin wirklich komplett baff. Habe die App nur mal so ausprobiert, weil ich es schon oft in der Werbung gesehen habe und war absolut geschockt. Diese App ist DIE HILFE, die man sich für die Schule wünscht und vor allem werden so viele Sachen angeboten, wie z.B. Ausarbeitungen und Merkblätter, welche mir persönlich SEHR weitergeholfen haben.

Anna

iOS user

Ich finde Knowunity so grandios. Ich lerne wirklich für alles damit. Es gibt so viele verschiedene Lernzettel, die sehr gut erklärt sind!

Jana V

iOS user

Ich liebe diese App sie hilft mir vor jeder Arbeit kann Aufgaben kontrollieren sowie lösen und ist wirklich vielfältig verwendbar. Man kann mit diesem Fuchs auch normal reden so wie Probleme im echten Leben besprechen und er hilft einem. Wirklich sehr gut diese App kann ich nur weiter empfehlen, gerade für Menschen die etwas länger brauchen etwas zu verstehen!

Lena M

Android user

Ich finde Knowunity ist eine super App. Für die Schule ist sie ideal , wegen den Lernzetteln, Quizen und dem AI. Das gute an AI ist , dass er nicht direkt nur die Lösung ausspuckt sondern einen Weg zeigt wie man darauf kommt. Manchmal gibt er einem auch nur einen Tipp damit man selbst darauf kommt . Mir hilft Knowunity persönlich sehr viel und ich kann sie nur weiterempfehlen ☺️

Timo S

iOS user

Die App ist einfach super! Ich muss nur in die Suchleiste mein Thema eintragen und ich checke es sehr schnell. Ich muss nicht mehr 10 YouTube Videos gucken, um etwas zu verstehen und somit spare ich mir meine Zeit. Einfach zu empfehlen!!

Sudenaz Ocak

Android user

Diese App hat mich echt verbessert! In der Schule war ich richtig schlecht in Mathe und dank der App kann ich besser Mathe! Ich bin so dankbar, dass ihr die App gemacht habt.

Greenlight Bonnie

Android user

Ich benutze Knowunity schon sehr lange und meine Noten haben sich verbessert die App hilft mir bei Mathe,Englisch u.s.w. Ich bekomme Hilfe wenn ich sie brauche und bekomme sogar Glückwünsche für meine Arbeit Deswegen von mir 5 Sterne🫶🏼

Julia S

Android user

Also die App hat mir echt in super vielen Fächern geholfen! Ich hatte in der Mathe Arbeit davor eine 3+ und habe nur durch den School GPT und die Lernzettek auf der App eine 1-3 in Mathe geschafft…Ich bin Mega glücklich darüber also ja wircklich eine super App zum lernen und es spart sehr viel Heit dass man mehr Freizeit hat!

Marcus B

iOS user

Mit dieser App hab ich bessere Noten bekommen. Bessere Lernzettel gekriegt. Ich habe die App benutzt, als ich die Fächer nicht ganz verstanden habe,diese App ist ein würcklich GameChanger für die Schule, Hausaufgaben

Sarah L

Android user

Hatte noch nie so viel Spaß beim Lernen und der School Bot macht super Aufschriebe die man Herunterladen kann total Übersichtlich und Lehreich. Bin begeistert.

Hans T

iOS user

Die App ist sehr leicht und gut gestaltet. Habe bis jetzt alles gefunden, nachdem ich gesucht habe und aus den Präsentationen echt viel lernen können! Die App werde ich auf jeden Fall für eine Klassenarbeit verwenden! Und als eigene Inspiration hilft sie natürlich auch sehr.

Stefan S

iOS user

Diese App ist wirklich echt super. Es gibt so viele Lernzettel und Hilfen, […]. Mein Problemfach ist zum Beispiel Französisch und die App hat mega viel Auswahl für Hilfe. Dank dieser App habe ich mich in Französisch verbessert. Ich würde diese jedem weiterempfehlen.

Samantha Klich

Android user

Wow ich bin wirklich komplett baff. Habe die App nur mal so ausprobiert, weil ich es schon oft in der Werbung gesehen habe und war absolut geschockt. Diese App ist DIE HILFE, die man sich für die Schule wünscht und vor allem werden so viele Sachen angeboten, wie z.B. Ausarbeitungen und Merkblätter, welche mir persönlich SEHR weitergeholfen haben.

Anna

iOS user

Ich finde Knowunity so grandios. Ich lerne wirklich für alles damit. Es gibt so viele verschiedene Lernzettel, die sehr gut erklärt sind!

Jana V

iOS user

Ich liebe diese App sie hilft mir vor jeder Arbeit kann Aufgaben kontrollieren sowie lösen und ist wirklich vielfältig verwendbar. Man kann mit diesem Fuchs auch normal reden so wie Probleme im echten Leben besprechen und er hilft einem. Wirklich sehr gut diese App kann ich nur weiter empfehlen, gerade für Menschen die etwas länger brauchen etwas zu verstehen!

Lena M

Android user

Ich finde Knowunity ist eine super App. Für die Schule ist sie ideal , wegen den Lernzetteln, Quizen und dem AI. Das gute an AI ist , dass er nicht direkt nur die Lösung ausspuckt sondern einen Weg zeigt wie man darauf kommt. Manchmal gibt er einem auch nur einen Tipp damit man selbst darauf kommt . Mir hilft Knowunity persönlich sehr viel und ich kann sie nur weiterempfehlen ☺️

Timo S

iOS user

Die App ist einfach super! Ich muss nur in die Suchleiste mein Thema eintragen und ich checke es sehr schnell. Ich muss nicht mehr 10 YouTube Videos gucken, um etwas zu verstehen und somit spare ich mir meine Zeit. Einfach zu empfehlen!!

Sudenaz Ocak

Android user

Diese App hat mich echt verbessert! In der Schule war ich richtig schlecht in Mathe und dank der App kann ich besser Mathe! Ich bin so dankbar, dass ihr die App gemacht habt.

Greenlight Bonnie

Android user

Ich benutze Knowunity schon sehr lange und meine Noten haben sich verbessert die App hilft mir bei Mathe,Englisch u.s.w. Ich bekomme Hilfe wenn ich sie brauche und bekomme sogar Glückwünsche für meine Arbeit Deswegen von mir 5 Sterne🫶🏼

Julia S

Android user

Also die App hat mir echt in super vielen Fächern geholfen! Ich hatte in der Mathe Arbeit davor eine 3+ und habe nur durch den School GPT und die Lernzettek auf der App eine 1-3 in Mathe geschafft…Ich bin Mega glücklich darüber also ja wircklich eine super App zum lernen und es spart sehr viel Heit dass man mehr Freizeit hat!

Marcus B

iOS user

Mit dieser App hab ich bessere Noten bekommen. Bessere Lernzettel gekriegt. Ich habe die App benutzt, als ich die Fächer nicht ganz verstanden habe,diese App ist ein würcklich GameChanger für die Schule, Hausaufgaben

Sarah L

Android user

Hatte noch nie so viel Spaß beim Lernen und der School Bot macht super Aufschriebe die man Herunterladen kann total Übersichtlich und Lehreich. Bin begeistert.

Hans T

iOS user

 

Physik

2.308

27. Sept. 2025

29 Seiten

Schwingungen / Wellen

user profile picture

Emely

@nemexx

Hier findest du alles, was wir im Leistungskurs Physik zu Schwingungen / Wellen gemacht haben. (:

ANNONIMAIS DGL schwingende Saite
Fw(x) = -At sin(x)
Fw (dx + x) = AT- sin(a+da)
Fr = Fw (x) + Fw (dx+x)
= -AT· Sin (α) + AT·Sin (x+da)
Fr =

Melde dich an, um den Inhalt freizuschaltenEs ist kostenlos!

Zugriff auf alle Dokumente

Verbessere deine Noten

Werde Teil der Community

Mit der Anmeldung akzeptierst du die Nutzungsbedingungen und die Datenschutzrichtlinie

ANNONIMAIS DGL schwingende Saite
Fw(x) = -At sin(x)
Fw (dx + x) = AT- sin(a+da)
Fr = Fw (x) + Fw (dx+x)
= -AT· Sin (α) + AT·Sin (x+da)
Fr =

Melde dich an, um den Inhalt freizuschaltenEs ist kostenlos!

Zugriff auf alle Dokumente

Verbessere deine Noten

Werde Teil der Community

Mit der Anmeldung akzeptierst du die Nutzungsbedingungen und die Datenschutzrichtlinie

ANNONIMAIS DGL schwingende Saite
Fw(x) = -At sin(x)
Fw (dx + x) = AT- sin(a+da)
Fr = Fw (x) + Fw (dx+x)
= -AT· Sin (α) + AT·Sin (x+da)
Fr =

Melde dich an, um den Inhalt freizuschaltenEs ist kostenlos!

Zugriff auf alle Dokumente

Verbessere deine Noten

Werde Teil der Community

Mit der Anmeldung akzeptierst du die Nutzungsbedingungen und die Datenschutzrichtlinie

ANNONIMAIS DGL schwingende Saite
Fw(x) = -At sin(x)
Fw (dx + x) = AT- sin(a+da)
Fr = Fw (x) + Fw (dx+x)
= -AT· Sin (α) + AT·Sin (x+da)
Fr =

Melde dich an, um den Inhalt freizuschaltenEs ist kostenlos!

Zugriff auf alle Dokumente

Verbessere deine Noten

Werde Teil der Community

Mit der Anmeldung akzeptierst du die Nutzungsbedingungen und die Datenschutzrichtlinie

ANNONIMAIS DGL schwingende Saite
Fw(x) = -At sin(x)
Fw (dx + x) = AT- sin(a+da)
Fr = Fw (x) + Fw (dx+x)
= -AT· Sin (α) + AT·Sin (x+da)
Fr =

Melde dich an, um den Inhalt freizuschaltenEs ist kostenlos!

Zugriff auf alle Dokumente

Verbessere deine Noten

Werde Teil der Community

Mit der Anmeldung akzeptierst du die Nutzungsbedingungen und die Datenschutzrichtlinie

ANNONIMAIS DGL schwingende Saite
Fw(x) = -At sin(x)
Fw (dx + x) = AT- sin(a+da)
Fr = Fw (x) + Fw (dx+x)
= -AT· Sin (α) + AT·Sin (x+da)
Fr =

Melde dich an, um den Inhalt freizuschaltenEs ist kostenlos!

Zugriff auf alle Dokumente

Verbessere deine Noten

Werde Teil der Community

Mit der Anmeldung akzeptierst du die Nutzungsbedingungen und die Datenschutzrichtlinie

ANNONIMAIS DGL schwingende Saite
Fw(x) = -At sin(x)
Fw (dx + x) = AT- sin(a+da)
Fr = Fw (x) + Fw (dx+x)
= -AT· Sin (α) + AT·Sin (x+da)
Fr =

Melde dich an, um den Inhalt freizuschaltenEs ist kostenlos!

Zugriff auf alle Dokumente

Verbessere deine Noten

Werde Teil der Community

Mit der Anmeldung akzeptierst du die Nutzungsbedingungen und die Datenschutzrichtlinie

ANNONIMAIS DGL schwingende Saite
Fw(x) = -At sin(x)
Fw (dx + x) = AT- sin(a+da)
Fr = Fw (x) + Fw (dx+x)
= -AT· Sin (α) + AT·Sin (x+da)
Fr =

Melde dich an, um den Inhalt freizuschaltenEs ist kostenlos!

Zugriff auf alle Dokumente

Verbessere deine Noten

Werde Teil der Community

Mit der Anmeldung akzeptierst du die Nutzungsbedingungen und die Datenschutzrichtlinie

ANNONIMAIS DGL schwingende Saite
Fw(x) = -At sin(x)
Fw (dx + x) = AT- sin(a+da)
Fr = Fw (x) + Fw (dx+x)
= -AT· Sin (α) + AT·Sin (x+da)
Fr =

Melde dich an, um den Inhalt freizuschaltenEs ist kostenlos!

Zugriff auf alle Dokumente

Verbessere deine Noten

Werde Teil der Community

Mit der Anmeldung akzeptierst du die Nutzungsbedingungen und die Datenschutzrichtlinie

ANNONIMAIS DGL schwingende Saite
Fw(x) = -At sin(x)
Fw (dx + x) = AT- sin(a+da)
Fr = Fw (x) + Fw (dx+x)
= -AT· Sin (α) + AT·Sin (x+da)
Fr =

Melde dich an, um den Inhalt freizuschaltenEs ist kostenlos!

Zugriff auf alle Dokumente

Verbessere deine Noten

Werde Teil der Community

Mit der Anmeldung akzeptierst du die Nutzungsbedingungen und die Datenschutzrichtlinie

Wir dachten, du würdest nie fragen...

Was ist der Knowunity KI-Begleiter?

Unser KI-Begleiter ist speziell auf die Bedürfnisse von Schülern zugeschnitten. Basierend auf den Millionen von Inhalten, die wir auf der Plattform haben, können wir den Schülern wirklich sinnvolle und relevante Antworten geben. Aber es geht nicht nur um Antworten, sondern der Begleiter führt die Schüler auch durch ihre täglichen Lernherausforderungen, mit personalisierten Lernplänen, Quizfragen oder Inhalten im Chat und einer 100% Personalisierung basierend auf den Fähigkeiten und Entwicklungen der Schüler.

Wo kann ich mir die Knowunity-App herunterladen?

Du kannst dir die App im Google Play Store und im Apple App Store herunterladen.

Ist Knowunity wirklich kostenlos?

Ja, du hast kostenlosen Zugriff auf Inhalte in der App und auf unseren KI-Begleiter. Zum Freischalten bestimmter Features in der App kannst du Knowunity Pro erwerben.

16

App Logo

Knowunity ist besser in der App

Hol dir die App, um Zugang zu den smarten Tools mit interaktiven Karteikarten, Übungsaufgaben, Probeklausuren und Zusammenfassungen zu bekommen

Ähnliche Inhalte

Interferenz von Wellen

Entdecken Sie die Grundlagen der Welleninterferenz, einschließlich konstruktiver und destruktiver Interferenz. Diese Zusammenfassung behandelt die Prinzipien der Überlagerung von Wellen, das Huygens‘sche Prinzip, Reflexion und Brechung. Ideal für Physik LK-Studierende, die sich auf Prüfungen vorbereiten oder ihr Wissen vertiefen möchten.

PhysikPhysik
11

Wellenphänomene: Brechung & Beugung

Entdecken Sie die grundlegenden Konzepte der Wellenphänomene in diesem Merkblatt. Erfahren Sie mehr über das Huygensche Prinzip, die Brechung und Reflexion von Licht- und Wasserwellen sowie die Beugung hinter Hindernissen. Ideal für Studierende der Physik, die ein tieferes Verständnis dieser wichtigen Themen suchen.

PhysikPhysik
11

Fluoreszenz & Atomhülle

Vertiefte Zusammenfassung zu Fluoreszenz und der Atomhülle, einschließlich des Franck-Hertz-Versuchs, des Bohrschen Atommodells und der Resonanzfluoreszenz bei Natrium. Ideal für die Klausurvorbereitung. Enthält wichtige Konzepte wie Energieübertragung, Quantensprünge und Absorptionsspektren.

PhysikPhysik
13

Kernkonzepte der Quantenphysik

Entdecken Sie die zentralen Aspekte der Quantenphysik, einschließlich des Photoeffekts, des Compton-Effekts, der Laser-Technologie und des Bohrschen Atommodells. Diese Zusammenfassung bietet eine klare Übersicht über die wichtigsten Experimente und Theorien, die die Grundlagen der Quantenmechanik bilden. Ideal für Studierende, die sich auf Prüfungen vorbereiten oder ihr Wissen vertiefen möchten.

PhysikPhysik
11

Photoeffekt und Grenzfrequenz

Diese Zusammenfassung behandelt den Photoeffekt, einschließlich der Grenzfrequenz, der Austrittsarbeit und der Gegenfeldmethode. Erfahren Sie, wie die Wellenlänge und Frequenz die Elektronenemission beeinflussen und wie die Energie von Photonen in der quantenphysikalischen Betrachtung eine Rolle spielt. Ideal für die Vorbereitung auf Klausuren in der Quantenphysik.

PhysikPhysik
11

Franck-Hertz Experiment

Detaillierte Analyse des Franck-Hertz-Experiments zur Anregung von Quecksilberatomen durch Elektronenstöße. Enthält eine beschriftete Skizze, Erklärungen zu Stromstärke-Diagrammen, Berechnungen der Elektronengeschwindigkeit und Wellenlängen der emittierten Strahlung. Ideal für Schüler, die sich auf das Abitur vorbereiten. (Typ: Ausarbeitung)

PhysikPhysik
12

Nichts passendes dabei? Erkunde andere Fachbereiche.

Schüler:innen lieben uns — und du wirst es auch.

4.9/5

App Store

4.8/5

Google Play

Die App ist sehr leicht und gut gestaltet. Habe bis jetzt alles gefunden, nachdem ich gesucht habe und aus den Präsentationen echt viel lernen können! Die App werde ich auf jeden Fall für eine Klassenarbeit verwenden! Und als eigene Inspiration hilft sie natürlich auch sehr.

Stefan S

iOS user

Diese App ist wirklich echt super. Es gibt so viele Lernzettel und Hilfen, […]. Mein Problemfach ist zum Beispiel Französisch und die App hat mega viel Auswahl für Hilfe. Dank dieser App habe ich mich in Französisch verbessert. Ich würde diese jedem weiterempfehlen.

Samantha Klich

Android user

Wow ich bin wirklich komplett baff. Habe die App nur mal so ausprobiert, weil ich es schon oft in der Werbung gesehen habe und war absolut geschockt. Diese App ist DIE HILFE, die man sich für die Schule wünscht und vor allem werden so viele Sachen angeboten, wie z.B. Ausarbeitungen und Merkblätter, welche mir persönlich SEHR weitergeholfen haben.

Anna

iOS user

Ich finde Knowunity so grandios. Ich lerne wirklich für alles damit. Es gibt so viele verschiedene Lernzettel, die sehr gut erklärt sind!

Jana V

iOS user

Ich liebe diese App sie hilft mir vor jeder Arbeit kann Aufgaben kontrollieren sowie lösen und ist wirklich vielfältig verwendbar. Man kann mit diesem Fuchs auch normal reden so wie Probleme im echten Leben besprechen und er hilft einem. Wirklich sehr gut diese App kann ich nur weiter empfehlen, gerade für Menschen die etwas länger brauchen etwas zu verstehen!

Lena M

Android user

Ich finde Knowunity ist eine super App. Für die Schule ist sie ideal , wegen den Lernzetteln, Quizen und dem AI. Das gute an AI ist , dass er nicht direkt nur die Lösung ausspuckt sondern einen Weg zeigt wie man darauf kommt. Manchmal gibt er einem auch nur einen Tipp damit man selbst darauf kommt . Mir hilft Knowunity persönlich sehr viel und ich kann sie nur weiterempfehlen ☺️

Timo S

iOS user

Die App ist einfach super! Ich muss nur in die Suchleiste mein Thema eintragen und ich checke es sehr schnell. Ich muss nicht mehr 10 YouTube Videos gucken, um etwas zu verstehen und somit spare ich mir meine Zeit. Einfach zu empfehlen!!

Sudenaz Ocak

Android user

Diese App hat mich echt verbessert! In der Schule war ich richtig schlecht in Mathe und dank der App kann ich besser Mathe! Ich bin so dankbar, dass ihr die App gemacht habt.

Greenlight Bonnie

Android user

Ich benutze Knowunity schon sehr lange und meine Noten haben sich verbessert die App hilft mir bei Mathe,Englisch u.s.w. Ich bekomme Hilfe wenn ich sie brauche und bekomme sogar Glückwünsche für meine Arbeit Deswegen von mir 5 Sterne🫶🏼

Julia S

Android user

Also die App hat mir echt in super vielen Fächern geholfen! Ich hatte in der Mathe Arbeit davor eine 3+ und habe nur durch den School GPT und die Lernzettek auf der App eine 1-3 in Mathe geschafft…Ich bin Mega glücklich darüber also ja wircklich eine super App zum lernen und es spart sehr viel Heit dass man mehr Freizeit hat!

Marcus B

iOS user

Mit dieser App hab ich bessere Noten bekommen. Bessere Lernzettel gekriegt. Ich habe die App benutzt, als ich die Fächer nicht ganz verstanden habe,diese App ist ein würcklich GameChanger für die Schule, Hausaufgaben

Sarah L

Android user

Hatte noch nie so viel Spaß beim Lernen und der School Bot macht super Aufschriebe die man Herunterladen kann total Übersichtlich und Lehreich. Bin begeistert.

Hans T

iOS user

Die App ist sehr leicht und gut gestaltet. Habe bis jetzt alles gefunden, nachdem ich gesucht habe und aus den Präsentationen echt viel lernen können! Die App werde ich auf jeden Fall für eine Klassenarbeit verwenden! Und als eigene Inspiration hilft sie natürlich auch sehr.

Stefan S

iOS user

Diese App ist wirklich echt super. Es gibt so viele Lernzettel und Hilfen, […]. Mein Problemfach ist zum Beispiel Französisch und die App hat mega viel Auswahl für Hilfe. Dank dieser App habe ich mich in Französisch verbessert. Ich würde diese jedem weiterempfehlen.

Samantha Klich

Android user

Wow ich bin wirklich komplett baff. Habe die App nur mal so ausprobiert, weil ich es schon oft in der Werbung gesehen habe und war absolut geschockt. Diese App ist DIE HILFE, die man sich für die Schule wünscht und vor allem werden so viele Sachen angeboten, wie z.B. Ausarbeitungen und Merkblätter, welche mir persönlich SEHR weitergeholfen haben.

Anna

iOS user

Ich finde Knowunity so grandios. Ich lerne wirklich für alles damit. Es gibt so viele verschiedene Lernzettel, die sehr gut erklärt sind!

Jana V

iOS user

Ich liebe diese App sie hilft mir vor jeder Arbeit kann Aufgaben kontrollieren sowie lösen und ist wirklich vielfältig verwendbar. Man kann mit diesem Fuchs auch normal reden so wie Probleme im echten Leben besprechen und er hilft einem. Wirklich sehr gut diese App kann ich nur weiter empfehlen, gerade für Menschen die etwas länger brauchen etwas zu verstehen!

Lena M

Android user

Ich finde Knowunity ist eine super App. Für die Schule ist sie ideal , wegen den Lernzetteln, Quizen und dem AI. Das gute an AI ist , dass er nicht direkt nur die Lösung ausspuckt sondern einen Weg zeigt wie man darauf kommt. Manchmal gibt er einem auch nur einen Tipp damit man selbst darauf kommt . Mir hilft Knowunity persönlich sehr viel und ich kann sie nur weiterempfehlen ☺️

Timo S

iOS user

Die App ist einfach super! Ich muss nur in die Suchleiste mein Thema eintragen und ich checke es sehr schnell. Ich muss nicht mehr 10 YouTube Videos gucken, um etwas zu verstehen und somit spare ich mir meine Zeit. Einfach zu empfehlen!!

Sudenaz Ocak

Android user

Diese App hat mich echt verbessert! In der Schule war ich richtig schlecht in Mathe und dank der App kann ich besser Mathe! Ich bin so dankbar, dass ihr die App gemacht habt.

Greenlight Bonnie

Android user

Ich benutze Knowunity schon sehr lange und meine Noten haben sich verbessert die App hilft mir bei Mathe,Englisch u.s.w. Ich bekomme Hilfe wenn ich sie brauche und bekomme sogar Glückwünsche für meine Arbeit Deswegen von mir 5 Sterne🫶🏼

Julia S

Android user

Also die App hat mir echt in super vielen Fächern geholfen! Ich hatte in der Mathe Arbeit davor eine 3+ und habe nur durch den School GPT und die Lernzettek auf der App eine 1-3 in Mathe geschafft…Ich bin Mega glücklich darüber also ja wircklich eine super App zum lernen und es spart sehr viel Heit dass man mehr Freizeit hat!

Marcus B

iOS user

Mit dieser App hab ich bessere Noten bekommen. Bessere Lernzettel gekriegt. Ich habe die App benutzt, als ich die Fächer nicht ganz verstanden habe,diese App ist ein würcklich GameChanger für die Schule, Hausaufgaben

Sarah L

Android user

Hatte noch nie so viel Spaß beim Lernen und der School Bot macht super Aufschriebe die man Herunterladen kann total Übersichtlich und Lehreich. Bin begeistert.

Hans T

iOS user