App öffnen

Fächer

885

Aktualisiert 26. Feb. 2026

7 Seiten

Entdecke die Säure-Base-Welt: Brönsted, Arrhenius und pH-Werte einfach erklärt!

user profile picture

Eva Anna

@evaanna

Willkommen in der spannenden Welt der Säure-Base-Theorien! Lerne, was Brönsted Säure-Base-Theorie und Arrhenius-Theorie bedeuten. Finde heraus, wie du den pH-Wert berechnen kannst und was Natronlauge damit zu tun hat. Entdecke Beispiele für Säure-Base-Reaktionen und wie man konjugierte Säure-Base-Paare wie H2PO4- erkennt. Wir haben Übungen und Tabellen für dich, um den pH-Wert von Essigsäure oder Salzsäure zu berechnen, und viele mehr. Alles ganz einfach erklärt!

Page 1
Page 2
Page 3
Page 4
Page 5
Page 6
Page 7
1 / 7
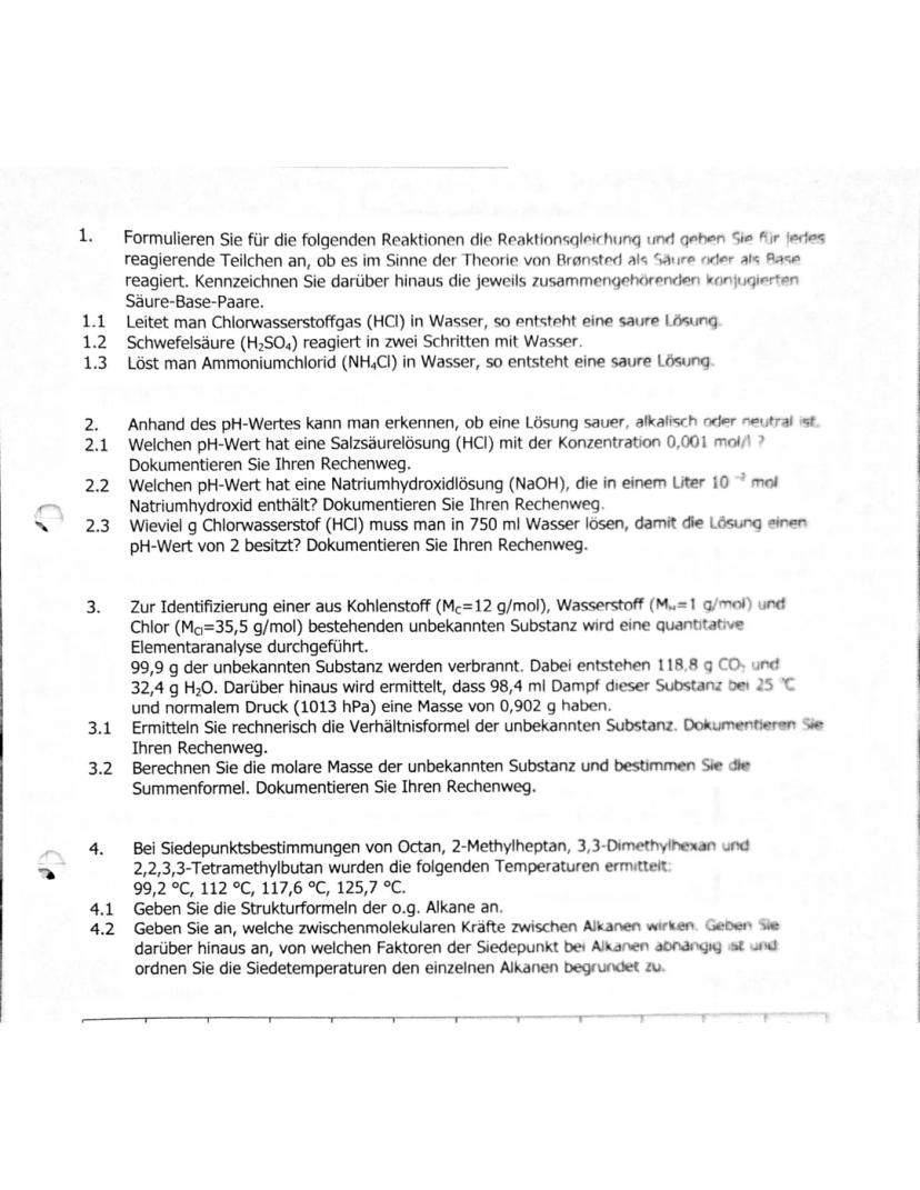
1.
Formulieren Sie für die folgenden Reaktionen die Reaktionsgleichung und geben Sie für jedes
reagierende Teilchen an, ob es im Sinne der T

Elementaranalyse und Molekulare Strukturbestimmung

Dieser Teil konzentriert sich auf die quantitative Elementaranalyse zur Identifizierung unbekannter organischer Verbindungen. Es wird ein detailliertes Beispiel vorgestellt, bei dem eine Substanz aus Kohlenstoff, Wasserstoff und Chlor analysiert wird.

Die Analyse beginnt mit der Verbrennung von 99,9 g der unbekannten Substanz, was zur Bildung von 118,8 g CO₂ und 32,4 g H₂O führt. Zusätzlich wird die Dampfdichte der Substanz unter Standardbedingungen gemessen.

Vocabulary: Elementaranalyse ist eine Methode zur Bestimmung der prozentualen Zusammensetzung von Elementen in einer Verbindung.

Der Prozess zur Ermittlung der Verhältnisformel wird Schritt für Schritt erklärt:

  1. Berechnung der Stoffmengen von C, H und Cl aus den Verbrennungsprodukten.
  2. Bestimmung des molaren Verhältnisses der Elemente.
  3. Vereinfachung des Verhältnisses auf ganze Zahlen.

Example: Aus den berechneten Stoffmengen ergibt sich ein Verhältnis von C:H:Cl = 2:7:1,8, was auf eine Verhältnisformel von C₆H₂₁Cl₅ hindeutet.

Anschließend wird die molare Masse der Verbindung unter Verwendung des idealen Gasgesetzes berechnet, was zur Bestimmung der Summenformel führt.

Highlight: Die Kombination von Elementaranalyse und Dampfdichtemessung ermöglicht die präzise Bestimmung der molekularen Zusammensetzung.

1.
Formulieren Sie für die folgenden Reaktionen die Reaktionsgleichung und geben Sie für jedes
reagierende Teilchen an, ob es im Sinne der T

Struktur und Eigenschaften von Alkanen

Dieser Abschnitt behandelt die Alkane Strukturformel und ihre physikalischen Eigenschaften, insbesondere im Hinblick auf Siedepunkte. Es werden vier spezifische Alkane untersucht: Octan, 2-Methylheptan, 3,3-Dimethylhexan und 2,2,3,3-Tetramethylbutan.

Definition: Alkane sind gesättigte Kohlenwasserstoffe mit der allgemeinen Summenformel CₙH₂ₙ₊₂.

Die Strukturformeln dieser Alkane werden detailliert dargestellt, wobei die Unterschiede in der Verzweigung hervorgehoben werden. Diese Strukturunterschiede spielen eine entscheidende Rolle bei der Bestimmung ihrer physikalischen Eigenschaften.

Vocabulary: Isomere sind Verbindungen mit gleicher Summenformel, aber unterschiedlicher Strukturformel.

Der Text erklärt die zwischenmolekularen Kräfte, die in Alkanen wirken, nämlich die Van-der-Waals-Kräfte. Diese schwachen Anziehungskräfte entstehen durch kurzzeitige Dipole und sind für die physikalischen Eigenschaften der Alkane verantwortlich.

Highlight: Die Stärke der Van-der-Waals-Kräfte nimmt mit der Kettenlänge der Alkane zu, was direkt die Siedepunkte beeinflusst.

Es wird eine detaillierte Analyse der Faktoren präsentiert, die den Siedepunkt von Alkanen beeinflussen:

  1. Kettenlänge: Längere Ketten führen zu höheren Siedepunkten.
  2. Verzweigungsgrad: Stärkere Verzweigung senkt den Siedepunkt.
  3. Molekülmasse: Höhere Masse tendiert zu höheren Siedepunkten.

Example: Octan hat den höchsten Siedepunkt (125,7°C) aufgrund seiner längsten unverzweigten Kette, während 2,2,3,3-Tetramethylbutan den niedrigsten Siedepunkt (99,2°C) aufgrund der stärksten Verzweigung hat.

Die Siedepunkte werden den einzelnen Alkanen zugeordnet und die Gründe für die Reihenfolge werden ausführlich erklärt. Dies verdeutlicht den Zusammenhang zwischen molekularer Struktur und makroskopischen Eigenschaften in der organischen Chemie.

1.
Formulieren Sie für die folgenden Reaktionen die Reaktionsgleichung und geben Sie für jedes
reagierende Teilchen an, ob es im Sinne der T

Zusammenfassung und Anwendungen

Dieser abschließende Teil fasst die wichtigsten Konzepte zusammen und betont ihre praktische Relevanz. Es wird hervorgehoben, wie das Verständnis von Säure-Base-Reaktionen, pH-Wert-Berechnungen und den Eigenschaften von Alkanen in verschiedenen Bereichen der Chemie und darüber hinaus angewendet wird.

Highlight: Die Fähigkeit, pH-Werte zu berechnen und zu verstehen, ist entscheidend in Bereichen wie Umweltwissenschaften, Biologie und industrieller Chemie.

Die Homologe Reihe der Alkane wird nochmals betont, wobei die systematische Zunahme der Kohlenstoffatome und die damit verbundenen Änderungen in den physikalischen Eigenschaften hervorgehoben werden.

Vocabulary: Die homologe Reihe bezeichnet eine Gruppe von Verbindungen mit ähnlicher Struktur und chemischen Eigenschaften, die sich in der Anzahl der CH₂-Gruppen unterscheiden.

Es wird auch auf die Verwendung von Alkanen eingegangen, die von Treibstoffen bis hin zu Lösungsmitteln und Rohstoffen für die chemische Industrie reicht.

Example: Octan ist ein wichtiger Bestandteil von Benzin, während längere Alkane in Schmierölen verwendet werden.

Abschließend wird die Bedeutung des Verständnisses dieser grundlegenden chemischen Konzepte für weiterführende Studien und praktische Anwendungen in der Chemie betont. Die Fähigkeit, Reaktionsgleichungen zu formulieren, pH-Werte zu berechnen und molekulare Strukturen zu analysieren, bildet die Grundlage für fortgeschrittene chemische Untersuchungen und Innovationen.

1.
Formulieren Sie für die folgenden Reaktionen die Reaktionsgleichung und geben Sie für jedes
reagierende Teilchen an, ob es im Sinne der T

Berechnung der Summenformel

Auf dieser Seite wird die Berechnung der molaren Masse und der Summenformel der unbekannten Substanz fortgesetzt. Die Berechnungen basieren auf den Ergebnissen der Elementaranalyse und den Dampfeigenschaften der Substanz.

Definition: Die Summenformel gibt die tatsächliche Anzahl und Art der Atome in einem Molekül an.

Highlight: Die Bestimmung der molaren Masse erfolgt durch die Anwendung des idealen Gasgesetzes auf die Dampfeigenschaften der Substanz.

1.
Formulieren Sie für die folgenden Reaktionen die Reaktionsgleichung und geben Sie für jedes
reagierende Teilchen an, ob es im Sinne der T

Strukturformeln von Alkanen

Diese Seite konzentriert sich auf die Strukturformeln verschiedener Alkane wie Octan, 2-Methylheptan, 3,3-Dimethylhexan und 2,2,3,3-Tetramethylbutan. Es werden die Strukturformeln dieser Verbindungen dargestellt und die zwischenmolekularen Kräfte zwischen Alkanen erläutert.

Vocabulary: Van-der-Waals-Kräfte sind schwache zwischenmolekulare Anziehungskräfte, die bei Alkanen auftreten.

Highlight: Die Struktur der Alkane, insbesondere die Länge der Kohlenstoffkette und der Grad der Verzweigung, beeinflusst direkt ihre physikalischen Eigenschaften wie den Siedepunkt.

1.
Formulieren Sie für die folgenden Reaktionen die Reaktionsgleichung und geben Sie für jedes
reagierende Teilchen an, ob es im Sinne der T

Siedepunkte von Alkanen

Die letzte Seite behandelt den Zusammenhang zwischen der Struktur von Alkanen und ihren Siedepunkten. Es wird erklärt, wie Faktoren wie Kettenlänge, Verzweigungsgrad und Molekülmasse die Siedetemperatur beeinflussen.

Example: Octan hat mit 125,7°C den höchsten Siedepunkt unter den genannten Alkanen, da es die längste unverzweigte Kette aufweist.

Highlight: Eine zunehmende Verzweigung der Kohlenstoffkette führt zu einer Verringerung der Siedetemperatur, da die Oberfläche des Moleküls kleiner wird und somit die Van-der-Waals-Kräfte zwischen den Molekülen schwächer werden.

Quote: "Eine Verzweigung der Alkane senkt die Siedetemperatur, da die Oberfläche kleiner wird."

1.
Formulieren Sie für die folgenden Reaktionen die Reaktionsgleichung und geben Sie für jedes
reagierende Teilchen an, ob es im Sinne der T

Säure-Base-Reaktionen und pH-Wert-Berechnungen

Dieser Abschnitt befasst sich mit der Brønsted-Säure-Base-Theorie und der Anwendung auf verschiedene chemische Reaktionen. Es werden Reaktionsgleichungen für Chlorwasserstoff in Wasser, Schwefelsäure und Ammoniumchlorid aufgestellt und analysiert.

Definition: Die Brønsted-Säure-Base-Theorie definiert Säuren als Protonendonatoren und Basen als Protonenakzeptoren.

Die Chlorwasserstoff Reaktionsgleichung wird detailliert erklärt, wobei HCl als Säure und H₂O als Base fungiert. Dies führt zur Bildung von H₃O⁺ und Cl⁻ Ionen, was die saure Natur der resultierenden Lösung erklärt.

Example: HCl + H₂O → H₃O⁺ + Cl⁻

Für Schwefelsäure wird eine zweistufige Reaktion mit Wasser beschrieben, die die Komplexität mehrprotoniger Säuren veranschaulicht.

Der Abschnitt geht dann zur pH-Wert berechnen Formel über, mit praktischen Beispielen für Salzsäure und Natriumhydroxid-Lösungen. Es wird gezeigt, wie man den pH-Wert einer 0,001 mol/l HCl-Lösung berechnet, was zu einem pH-Wert von 3 führt.

Highlight: Die Formel pH = -log₁₀[H⁺] ist entscheidend für die Berechnung von pH-Werten.

Für Basen wird die Berechnung des pOH-Werts eingeführt, gefolgt von der Umrechnung in den pH-Wert unter Verwendung der Beziehung pH + pOH = 14.



Wir dachten schon, du fragst nie...

Was ist der Knowunity KI-Begleiter?

Unser KI-Begleiter ist ein speziell für Schüler entwickeltes KI-Tool, das mehr als nur Antworten bietet. Basierend auf Millionen von Knowunity-Inhalten liefert er relevante Informationen, personalisierte Lernpläne, Quizze und Inhalte direkt im Chat und passt sich deinem individuellen Lernweg an.

Wo kann ich die Knowunity-App herunterladen?

Du kannst die App im Google Play Store und im Apple App Store herunterladen.

Ist Knowunity wirklich kostenlos?

Genau! Genieße kostenlosen Zugang zu Lerninhalten, vernetze dich mit anderen Schülern und hol dir sofortige Hilfe – alles direkt auf deinem Handy.

Beliebtester Inhalt: Säure-Base-Chemie

Beliebtester Inhalt in Chemie

Beliebtester Inhalt

Findest du nicht, was du suchst? Entdecke andere Fächer.

Schüler lieben uns — und du auch.

4.6/5

App Store

4.7/5

Google Play

Die App ist sehr einfach zu bedienen und gut gestaltet. Ich habe bisher alles gefunden, wonach ich gesucht habe, und konnte viel aus den Präsentationen lernen! Ich werde die App definitiv für ein Schulprojekt nutzen! Und natürlich hilft sie auch sehr als Inspiration.

Stefan S

iOS-Nutzer

Diese App ist wirklich super. Es gibt so viele Lernzettel und Hilfen [...]. Mein Problemfach ist zum Beispiel Französisch und die App hat so viele Möglichkeiten zur Hilfe. Dank dieser App habe ich mich in Französisch verbessert. Ich würde sie jedem empfehlen.

Samantha Klich

Android-Nutzerin

Wow, ich bin wirklich begeistert. Ich habe die App einfach mal ausprobiert, weil ich sie schon oft beworben gesehen habe und war absolut beeindruckt. Diese App ist DIE HILFE, die man für die Schule braucht und vor allem bietet sie so viele Dinge wie Übungen und Lernzettel, die mir persönlich SEHR geholfen haben.

Anna

iOS-Nutzerin

Beste App der Welt! Keine Worte, weil sie einfach zu gut ist

Thomas R

iOS-Nutzer

Einfach genial. Lässt mich 10x besser lernen, diese App ist eine glatte 10/10. Ich empfehle sie jedem. Ich kann Lernzettel anschauen und suchen. Ich kann sie im Fachordner speichern. Ich kann sie jederzeit wiederholen, wenn ich zurückkomme. Wenn du diese App noch nicht ausprobiert hast, verpasst du wirklich was.

Basil

Android-Nutzer

Diese App hat mich so viel selbstbewusster in meiner Klausurvorbereitung gemacht, nicht nur durch die Stärkung meines Selbstvertrauens durch die Features, die es dir ermöglichen, dich mit anderen zu vernetzen und dich weniger allein zu fühlen, sondern auch durch die Art, wie die App selbst darauf ausgerichtet ist, dass du dich besser fühlst. Sie ist einfach zu bedienen, macht Spaß und hilft jedem, der in irgendeiner Weise Schwierigkeiten hat.

David K

iOS-Nutzer

Die App ist einfach super! Ich muss nur das Thema in die Suche eingeben und bekomme sofort eine Antwort. Ich muss nicht mehr 10 YouTube-Videos schauen, um etwas zu verstehen, und spare dadurch richtig viel Zeit. Sehr empfehlenswert!

Sudenaz Ocak

Android-Nutzerin

In der Schule war ich echt schlecht in Mathe, aber dank der App bin ich jetzt besser geworden. Ich bin so dankbar, dass ihr die App gemacht habt.

Greenlight Bonnie

Android-Nutzerin

sehr zuverlässige App, um deine Ideen in Mathe, Englisch und anderen verwandten Themen zu verbessern. bitte nutze diese App, wenn du in bestimmten Bereichen Schwierigkeiten hast, diese App ist dafür der Schlüssel. wünschte, ich hätte früher eine Bewertung geschrieben. und sie ist auch kostenlos, also mach dir darüber keine Sorgen.

Rohan U

Android-Nutzer

Ich weiß, dass viele Apps gefälschte Accounts nutzen, um ihre Bewertungen zu pushen, aber diese App verdient das alles. Ursprünglich hatte ich eine 4 in meinen Englisch-Klausuren und dieses Mal habe ich eine 2 bekommen. Ich wusste erst drei Tage vor der Klausur von dieser App und sie hat mir SEHR geholfen. Bitte vertrau mir wirklich und nutze sie, denn ich bin sicher, dass auch du Fortschritte sehen wirst.

Xander S

iOS-Nutzer

DIE QUIZZE UND KARTEIKARTEN SIND SO NÜTZLICH UND ICH LIEBE Knowunity KI. ES IST AUCH BUCHSTÄBLICH WIE CHATGPT ABER SCHLAUER!! HAT MIR AUCH BEI MEINEN MASCARA-PROBLEMEN GEHOLFEN!! SOWIE BEI MEINEN ECHTEN FÄCHERN! NATÜRLICH 😍😁😲🤑💗✨🎀😮

Elisha

iOS-Nutzer

Diese App ist echt der Hammer. Ich finde Lernen so langweilig, aber diese App macht es so einfach, alles zu organisieren und dann kannst du die kostenlose KI bitten, dich abzufragen, so gut, und du kannst einfach deine eigenen Sachen hochladen. sehr empfehlenswert als jemand, der gerade Probeklausuren schreibt

Paul T

iOS-Nutzer

Die App ist sehr einfach zu bedienen und gut gestaltet. Ich habe bisher alles gefunden, wonach ich gesucht habe, und konnte viel aus den Präsentationen lernen! Ich werde die App definitiv für ein Schulprojekt nutzen! Und natürlich hilft sie auch sehr als Inspiration.

Stefan S

iOS-Nutzer

Diese App ist wirklich super. Es gibt so viele Lernzettel und Hilfen [...]. Mein Problemfach ist zum Beispiel Französisch und die App hat so viele Möglichkeiten zur Hilfe. Dank dieser App habe ich mich in Französisch verbessert. Ich würde sie jedem empfehlen.

Samantha Klich

Android-Nutzerin

Wow, ich bin wirklich begeistert. Ich habe die App einfach mal ausprobiert, weil ich sie schon oft beworben gesehen habe und war absolut beeindruckt. Diese App ist DIE HILFE, die man für die Schule braucht und vor allem bietet sie so viele Dinge wie Übungen und Lernzettel, die mir persönlich SEHR geholfen haben.

Anna

iOS-Nutzerin

Beste App der Welt! Keine Worte, weil sie einfach zu gut ist

Thomas R

iOS-Nutzer

Einfach genial. Lässt mich 10x besser lernen, diese App ist eine glatte 10/10. Ich empfehle sie jedem. Ich kann Lernzettel anschauen und suchen. Ich kann sie im Fachordner speichern. Ich kann sie jederzeit wiederholen, wenn ich zurückkomme. Wenn du diese App noch nicht ausprobiert hast, verpasst du wirklich was.

Basil

Android-Nutzer

Diese App hat mich so viel selbstbewusster in meiner Klausurvorbereitung gemacht, nicht nur durch die Stärkung meines Selbstvertrauens durch die Features, die es dir ermöglichen, dich mit anderen zu vernetzen und dich weniger allein zu fühlen, sondern auch durch die Art, wie die App selbst darauf ausgerichtet ist, dass du dich besser fühlst. Sie ist einfach zu bedienen, macht Spaß und hilft jedem, der in irgendeiner Weise Schwierigkeiten hat.

David K

iOS-Nutzer

Die App ist einfach super! Ich muss nur das Thema in die Suche eingeben und bekomme sofort eine Antwort. Ich muss nicht mehr 10 YouTube-Videos schauen, um etwas zu verstehen, und spare dadurch richtig viel Zeit. Sehr empfehlenswert!

Sudenaz Ocak

Android-Nutzerin

In der Schule war ich echt schlecht in Mathe, aber dank der App bin ich jetzt besser geworden. Ich bin so dankbar, dass ihr die App gemacht habt.

Greenlight Bonnie

Android-Nutzerin

sehr zuverlässige App, um deine Ideen in Mathe, Englisch und anderen verwandten Themen zu verbessern. bitte nutze diese App, wenn du in bestimmten Bereichen Schwierigkeiten hast, diese App ist dafür der Schlüssel. wünschte, ich hätte früher eine Bewertung geschrieben. und sie ist auch kostenlos, also mach dir darüber keine Sorgen.

Rohan U

Android-Nutzer

Ich weiß, dass viele Apps gefälschte Accounts nutzen, um ihre Bewertungen zu pushen, aber diese App verdient das alles. Ursprünglich hatte ich eine 4 in meinen Englisch-Klausuren und dieses Mal habe ich eine 2 bekommen. Ich wusste erst drei Tage vor der Klausur von dieser App und sie hat mir SEHR geholfen. Bitte vertrau mir wirklich und nutze sie, denn ich bin sicher, dass auch du Fortschritte sehen wirst.

Xander S

iOS-Nutzer

DIE QUIZZE UND KARTEIKARTEN SIND SO NÜTZLICH UND ICH LIEBE Knowunity KI. ES IST AUCH BUCHSTÄBLICH WIE CHATGPT ABER SCHLAUER!! HAT MIR AUCH BEI MEINEN MASCARA-PROBLEMEN GEHOLFEN!! SOWIE BEI MEINEN ECHTEN FÄCHERN! NATÜRLICH 😍😁😲🤑💗✨🎀😮

Elisha

iOS-Nutzer

Diese App ist echt der Hammer. Ich finde Lernen so langweilig, aber diese App macht es so einfach, alles zu organisieren und dann kannst du die kostenlose KI bitten, dich abzufragen, so gut, und du kannst einfach deine eigenen Sachen hochladen. sehr empfehlenswert als jemand, der gerade Probeklausuren schreibt

Paul T

iOS-Nutzer

 

Chemie

885

Aktualisiert 26. Feb. 2026

7 Seiten

Entdecke die Säure-Base-Welt: Brönsted, Arrhenius und pH-Werte einfach erklärt!

user profile picture

Eva Anna

@evaanna

Willkommen in der spannenden Welt der Säure-Base-Theorien! Lerne, was Brönsted Säure-Base-Theorie und Arrhenius-Theorie bedeuten. Finde heraus, wie du den pH-Wert berechnen kannst und was Natronlauge damit zu tun hat. Entdecke Beispiele für Säure-Base-Reaktionen und wie man konjugierte Säure-Base-Paare wie H2PO4- erkennt. Wir haben Übungen und Tabellen für dich, um den pH-Wert von Essigsäure oder Salzsäure zu berechnen, und viele mehr. Alles ganz einfach erklärt!

1.
Formulieren Sie für die folgenden Reaktionen die Reaktionsgleichung und geben Sie für jedes
reagierende Teilchen an, ob es im Sinne der T

Melde dich an, um den Inhalt zu sehenKostenlos!

Zugriff auf alle Dokumente

Verbessere deine Noten

Schließ dich Millionen Schülern an

Mit der Anmeldung akzeptierst du die Nutzungsbedingungen und Datenschutzerklärung

Elementaranalyse und Molekulare Strukturbestimmung

Dieser Teil konzentriert sich auf die quantitative Elementaranalyse zur Identifizierung unbekannter organischer Verbindungen. Es wird ein detailliertes Beispiel vorgestellt, bei dem eine Substanz aus Kohlenstoff, Wasserstoff und Chlor analysiert wird.

Die Analyse beginnt mit der Verbrennung von 99,9 g der unbekannten Substanz, was zur Bildung von 118,8 g CO₂ und 32,4 g H₂O führt. Zusätzlich wird die Dampfdichte der Substanz unter Standardbedingungen gemessen.

Vocabulary: Elementaranalyse ist eine Methode zur Bestimmung der prozentualen Zusammensetzung von Elementen in einer Verbindung.

Der Prozess zur Ermittlung der Verhältnisformel wird Schritt für Schritt erklärt:

  1. Berechnung der Stoffmengen von C, H und Cl aus den Verbrennungsprodukten.
  2. Bestimmung des molaren Verhältnisses der Elemente.
  3. Vereinfachung des Verhältnisses auf ganze Zahlen.

Example: Aus den berechneten Stoffmengen ergibt sich ein Verhältnis von C:H:Cl = 2:7:1,8, was auf eine Verhältnisformel von C₆H₂₁Cl₅ hindeutet.

Anschließend wird die molare Masse der Verbindung unter Verwendung des idealen Gasgesetzes berechnet, was zur Bestimmung der Summenformel führt.

Highlight: Die Kombination von Elementaranalyse und Dampfdichtemessung ermöglicht die präzise Bestimmung der molekularen Zusammensetzung.

1.
Formulieren Sie für die folgenden Reaktionen die Reaktionsgleichung und geben Sie für jedes
reagierende Teilchen an, ob es im Sinne der T

Melde dich an, um den Inhalt zu sehenKostenlos!

Zugriff auf alle Dokumente

Verbessere deine Noten

Schließ dich Millionen Schülern an

Mit der Anmeldung akzeptierst du die Nutzungsbedingungen und Datenschutzerklärung

Struktur und Eigenschaften von Alkanen

Dieser Abschnitt behandelt die Alkane Strukturformel und ihre physikalischen Eigenschaften, insbesondere im Hinblick auf Siedepunkte. Es werden vier spezifische Alkane untersucht: Octan, 2-Methylheptan, 3,3-Dimethylhexan und 2,2,3,3-Tetramethylbutan.

Definition: Alkane sind gesättigte Kohlenwasserstoffe mit der allgemeinen Summenformel CₙH₂ₙ₊₂.

Die Strukturformeln dieser Alkane werden detailliert dargestellt, wobei die Unterschiede in der Verzweigung hervorgehoben werden. Diese Strukturunterschiede spielen eine entscheidende Rolle bei der Bestimmung ihrer physikalischen Eigenschaften.

Vocabulary: Isomere sind Verbindungen mit gleicher Summenformel, aber unterschiedlicher Strukturformel.

Der Text erklärt die zwischenmolekularen Kräfte, die in Alkanen wirken, nämlich die Van-der-Waals-Kräfte. Diese schwachen Anziehungskräfte entstehen durch kurzzeitige Dipole und sind für die physikalischen Eigenschaften der Alkane verantwortlich.

Highlight: Die Stärke der Van-der-Waals-Kräfte nimmt mit der Kettenlänge der Alkane zu, was direkt die Siedepunkte beeinflusst.

Es wird eine detaillierte Analyse der Faktoren präsentiert, die den Siedepunkt von Alkanen beeinflussen:

  1. Kettenlänge: Längere Ketten führen zu höheren Siedepunkten.
  2. Verzweigungsgrad: Stärkere Verzweigung senkt den Siedepunkt.
  3. Molekülmasse: Höhere Masse tendiert zu höheren Siedepunkten.

Example: Octan hat den höchsten Siedepunkt (125,7°C) aufgrund seiner längsten unverzweigten Kette, während 2,2,3,3-Tetramethylbutan den niedrigsten Siedepunkt (99,2°C) aufgrund der stärksten Verzweigung hat.

Die Siedepunkte werden den einzelnen Alkanen zugeordnet und die Gründe für die Reihenfolge werden ausführlich erklärt. Dies verdeutlicht den Zusammenhang zwischen molekularer Struktur und makroskopischen Eigenschaften in der organischen Chemie.

1.
Formulieren Sie für die folgenden Reaktionen die Reaktionsgleichung und geben Sie für jedes
reagierende Teilchen an, ob es im Sinne der T

Melde dich an, um den Inhalt zu sehenKostenlos!

Zugriff auf alle Dokumente

Verbessere deine Noten

Schließ dich Millionen Schülern an

Mit der Anmeldung akzeptierst du die Nutzungsbedingungen und Datenschutzerklärung

Zusammenfassung und Anwendungen

Dieser abschließende Teil fasst die wichtigsten Konzepte zusammen und betont ihre praktische Relevanz. Es wird hervorgehoben, wie das Verständnis von Säure-Base-Reaktionen, pH-Wert-Berechnungen und den Eigenschaften von Alkanen in verschiedenen Bereichen der Chemie und darüber hinaus angewendet wird.

Highlight: Die Fähigkeit, pH-Werte zu berechnen und zu verstehen, ist entscheidend in Bereichen wie Umweltwissenschaften, Biologie und industrieller Chemie.

Die Homologe Reihe der Alkane wird nochmals betont, wobei die systematische Zunahme der Kohlenstoffatome und die damit verbundenen Änderungen in den physikalischen Eigenschaften hervorgehoben werden.

Vocabulary: Die homologe Reihe bezeichnet eine Gruppe von Verbindungen mit ähnlicher Struktur und chemischen Eigenschaften, die sich in der Anzahl der CH₂-Gruppen unterscheiden.

Es wird auch auf die Verwendung von Alkanen eingegangen, die von Treibstoffen bis hin zu Lösungsmitteln und Rohstoffen für die chemische Industrie reicht.

Example: Octan ist ein wichtiger Bestandteil von Benzin, während längere Alkane in Schmierölen verwendet werden.

Abschließend wird die Bedeutung des Verständnisses dieser grundlegenden chemischen Konzepte für weiterführende Studien und praktische Anwendungen in der Chemie betont. Die Fähigkeit, Reaktionsgleichungen zu formulieren, pH-Werte zu berechnen und molekulare Strukturen zu analysieren, bildet die Grundlage für fortgeschrittene chemische Untersuchungen und Innovationen.

1.
Formulieren Sie für die folgenden Reaktionen die Reaktionsgleichung und geben Sie für jedes
reagierende Teilchen an, ob es im Sinne der T

Melde dich an, um den Inhalt zu sehenKostenlos!

Zugriff auf alle Dokumente

Verbessere deine Noten

Schließ dich Millionen Schülern an

Mit der Anmeldung akzeptierst du die Nutzungsbedingungen und Datenschutzerklärung

Berechnung der Summenformel

Auf dieser Seite wird die Berechnung der molaren Masse und der Summenformel der unbekannten Substanz fortgesetzt. Die Berechnungen basieren auf den Ergebnissen der Elementaranalyse und den Dampfeigenschaften der Substanz.

Definition: Die Summenformel gibt die tatsächliche Anzahl und Art der Atome in einem Molekül an.

Highlight: Die Bestimmung der molaren Masse erfolgt durch die Anwendung des idealen Gasgesetzes auf die Dampfeigenschaften der Substanz.

1.
Formulieren Sie für die folgenden Reaktionen die Reaktionsgleichung und geben Sie für jedes
reagierende Teilchen an, ob es im Sinne der T

Melde dich an, um den Inhalt zu sehenKostenlos!

Zugriff auf alle Dokumente

Verbessere deine Noten

Schließ dich Millionen Schülern an

Mit der Anmeldung akzeptierst du die Nutzungsbedingungen und Datenschutzerklärung

Strukturformeln von Alkanen

Diese Seite konzentriert sich auf die Strukturformeln verschiedener Alkane wie Octan, 2-Methylheptan, 3,3-Dimethylhexan und 2,2,3,3-Tetramethylbutan. Es werden die Strukturformeln dieser Verbindungen dargestellt und die zwischenmolekularen Kräfte zwischen Alkanen erläutert.

Vocabulary: Van-der-Waals-Kräfte sind schwache zwischenmolekulare Anziehungskräfte, die bei Alkanen auftreten.

Highlight: Die Struktur der Alkane, insbesondere die Länge der Kohlenstoffkette und der Grad der Verzweigung, beeinflusst direkt ihre physikalischen Eigenschaften wie den Siedepunkt.

1.
Formulieren Sie für die folgenden Reaktionen die Reaktionsgleichung und geben Sie für jedes
reagierende Teilchen an, ob es im Sinne der T

Melde dich an, um den Inhalt zu sehenKostenlos!

Zugriff auf alle Dokumente

Verbessere deine Noten

Schließ dich Millionen Schülern an

Mit der Anmeldung akzeptierst du die Nutzungsbedingungen und Datenschutzerklärung

Siedepunkte von Alkanen

Die letzte Seite behandelt den Zusammenhang zwischen der Struktur von Alkanen und ihren Siedepunkten. Es wird erklärt, wie Faktoren wie Kettenlänge, Verzweigungsgrad und Molekülmasse die Siedetemperatur beeinflussen.

Example: Octan hat mit 125,7°C den höchsten Siedepunkt unter den genannten Alkanen, da es die längste unverzweigte Kette aufweist.

Highlight: Eine zunehmende Verzweigung der Kohlenstoffkette führt zu einer Verringerung der Siedetemperatur, da die Oberfläche des Moleküls kleiner wird und somit die Van-der-Waals-Kräfte zwischen den Molekülen schwächer werden.

Quote: "Eine Verzweigung der Alkane senkt die Siedetemperatur, da die Oberfläche kleiner wird."

1.
Formulieren Sie für die folgenden Reaktionen die Reaktionsgleichung und geben Sie für jedes
reagierende Teilchen an, ob es im Sinne der T

Melde dich an, um den Inhalt zu sehenKostenlos!

Zugriff auf alle Dokumente

Verbessere deine Noten

Schließ dich Millionen Schülern an

Mit der Anmeldung akzeptierst du die Nutzungsbedingungen und Datenschutzerklärung

Säure-Base-Reaktionen und pH-Wert-Berechnungen

Dieser Abschnitt befasst sich mit der Brønsted-Säure-Base-Theorie und der Anwendung auf verschiedene chemische Reaktionen. Es werden Reaktionsgleichungen für Chlorwasserstoff in Wasser, Schwefelsäure und Ammoniumchlorid aufgestellt und analysiert.

Definition: Die Brønsted-Säure-Base-Theorie definiert Säuren als Protonendonatoren und Basen als Protonenakzeptoren.

Die Chlorwasserstoff Reaktionsgleichung wird detailliert erklärt, wobei HCl als Säure und H₂O als Base fungiert. Dies führt zur Bildung von H₃O⁺ und Cl⁻ Ionen, was die saure Natur der resultierenden Lösung erklärt.

Example: HCl + H₂O → H₃O⁺ + Cl⁻

Für Schwefelsäure wird eine zweistufige Reaktion mit Wasser beschrieben, die die Komplexität mehrprotoniger Säuren veranschaulicht.

Der Abschnitt geht dann zur pH-Wert berechnen Formel über, mit praktischen Beispielen für Salzsäure und Natriumhydroxid-Lösungen. Es wird gezeigt, wie man den pH-Wert einer 0,001 mol/l HCl-Lösung berechnet, was zu einem pH-Wert von 3 führt.

Highlight: Die Formel pH = -log₁₀[H⁺] ist entscheidend für die Berechnung von pH-Werten.

Für Basen wird die Berechnung des pOH-Werts eingeführt, gefolgt von der Umrechnung in den pH-Wert unter Verwendung der Beziehung pH + pOH = 14.

Wir dachten schon, du fragst nie...

Was ist der Knowunity KI-Begleiter?

Unser KI-Begleiter ist ein speziell für Schüler entwickeltes KI-Tool, das mehr als nur Antworten bietet. Basierend auf Millionen von Knowunity-Inhalten liefert er relevante Informationen, personalisierte Lernpläne, Quizze und Inhalte direkt im Chat und passt sich deinem individuellen Lernweg an.

Wo kann ich die Knowunity-App herunterladen?

Du kannst die App im Google Play Store und im Apple App Store herunterladen.

Ist Knowunity wirklich kostenlos?

Genau! Genieße kostenlosen Zugang zu Lerninhalten, vernetze dich mit anderen Schülern und hol dir sofortige Hilfe – alles direkt auf deinem Handy.

30

Smart Tools NEU

Verwandle diesen Lernzettel in: ✓ 50+ Übungsfragen ✓ Interaktive Karteikarten ✓ Komplette Probeklausur ✓ Aufsatzgliederungen

Probeklausur
Quiz
Karteikarten
Aufsatz

Ähnlicher Inhalt

Lewis-Strukturen verstehen

Entdecken Sie die Grundlagen der Lewis-Strukturen, einschließlich der Darstellung von Atomen und Molekülen, der Oktettregel und der verschiedenen Bindungsarten. Diese Zusammenfassung bietet eine klare Erklärung der Valenzelektronen und deren Bedeutung in chemischen Verbindungen. Ideal für Chemie-Studierende, die sich auf Molekülstrukturen vorbereiten. Typ: Zusammenfassung.

ChemieChemie
11

Intermolekulare Kräfte verstehen

Entdecken Sie die Grundlagen der intermolekularen Wechselwirkungen in der Chemie der 10. Klasse. Dieser Überblick behandelt Van-der-Waals-Kräfte, Dipol-Dipol-Wechselwirkungen und Wasserstoffbrückenbindungen. Lernen Sie, wie Moleküle interagieren und welche Rolle die Polarität dabei spielt. Ideal für Schüler, die sich auf Prüfungen vorbereiten oder ihr Wissen vertiefen möchten.

ChemieChemie
11

Dipolmoleküle und Wasser

Erforschen Sie die Eigenschaften von Dipolmolekülen am Beispiel von Wasser. Diese Präsentation behandelt die Grundlagen der Molekularpolarität, erklärt den Einfluss von elektrischen Ladungen auf Wassermoleküle und bietet eine Übung zur Identifizierung von Dipolen. Ideal für Abiturvorbereitung.

ChemieChemie
11

Periodensystem der Elemente

Entdecken Sie das Periodensystem der Elemente, einschließlich der Ordnungszahlen, Atommasse und Eigenschaften der chemischen Elemente. Diese Zusammenfassung bietet eine klare Übersicht über Alkalimetalle, Halogene, Edelgase und mehr. Ideal für Chemie-Studierende, die sich auf Prüfungen vorbereiten oder ihr Wissen vertiefen möchten.

ChemieChemie
11

Polare Elektronenpaarbindungen

Entdecken Sie die Grundlagen der polarer Elektronenpaarbindungen, einschließlich der Elektronegativität, Molekülpolarität und deren Bedeutung. Diese Zusammenfassung bietet anschauliche Beispiele, Abbildungen und Aufgaben zur Vertiefung des Verständnisses. Ideal für Studierende der Chemie, die sich mit chemischen Bindungen und deren Eigenschaften auseinandersetzen.

ChemieChemie
11

Ionenbindung und Eigenschaften

Diese Zusammenfassung behandelt die Struktur und Eigenschaften von Ionenverbindungen, einschließlich der Ionenbindung, der kristallinen Struktur von Salzen wie NaCl und MgO sowie deren hohe Schmelztemperaturen. Erfahren Sie, wie die Anziehungskräfte zwischen Kationen und Anionen die Eigenschaften von ionischen Feststoffen beeinflussen und welche Rolle die Dissoziation in Lösungen spielt. Ideal für Chemie-Studierende, die ein tieferes Verständnis der Ionenbindung suchen.

ChemieChemie
11

Beliebtester Inhalt: Säure-Base-Chemie

Beliebtester Inhalt in Chemie

Beliebtester Inhalt

Findest du nicht, was du suchst? Entdecke andere Fächer.

Schüler lieben uns — und du auch.

4.6/5

App Store

4.7/5

Google Play

Die App ist sehr einfach zu bedienen und gut gestaltet. Ich habe bisher alles gefunden, wonach ich gesucht habe, und konnte viel aus den Präsentationen lernen! Ich werde die App definitiv für ein Schulprojekt nutzen! Und natürlich hilft sie auch sehr als Inspiration.

Stefan S

iOS-Nutzer

Diese App ist wirklich super. Es gibt so viele Lernzettel und Hilfen [...]. Mein Problemfach ist zum Beispiel Französisch und die App hat so viele Möglichkeiten zur Hilfe. Dank dieser App habe ich mich in Französisch verbessert. Ich würde sie jedem empfehlen.

Samantha Klich

Android-Nutzerin

Wow, ich bin wirklich begeistert. Ich habe die App einfach mal ausprobiert, weil ich sie schon oft beworben gesehen habe und war absolut beeindruckt. Diese App ist DIE HILFE, die man für die Schule braucht und vor allem bietet sie so viele Dinge wie Übungen und Lernzettel, die mir persönlich SEHR geholfen haben.

Anna

iOS-Nutzerin

Beste App der Welt! Keine Worte, weil sie einfach zu gut ist

Thomas R

iOS-Nutzer

Einfach genial. Lässt mich 10x besser lernen, diese App ist eine glatte 10/10. Ich empfehle sie jedem. Ich kann Lernzettel anschauen und suchen. Ich kann sie im Fachordner speichern. Ich kann sie jederzeit wiederholen, wenn ich zurückkomme. Wenn du diese App noch nicht ausprobiert hast, verpasst du wirklich was.

Basil

Android-Nutzer

Diese App hat mich so viel selbstbewusster in meiner Klausurvorbereitung gemacht, nicht nur durch die Stärkung meines Selbstvertrauens durch die Features, die es dir ermöglichen, dich mit anderen zu vernetzen und dich weniger allein zu fühlen, sondern auch durch die Art, wie die App selbst darauf ausgerichtet ist, dass du dich besser fühlst. Sie ist einfach zu bedienen, macht Spaß und hilft jedem, der in irgendeiner Weise Schwierigkeiten hat.

David K

iOS-Nutzer

Die App ist einfach super! Ich muss nur das Thema in die Suche eingeben und bekomme sofort eine Antwort. Ich muss nicht mehr 10 YouTube-Videos schauen, um etwas zu verstehen, und spare dadurch richtig viel Zeit. Sehr empfehlenswert!

Sudenaz Ocak

Android-Nutzerin

In der Schule war ich echt schlecht in Mathe, aber dank der App bin ich jetzt besser geworden. Ich bin so dankbar, dass ihr die App gemacht habt.

Greenlight Bonnie

Android-Nutzerin

sehr zuverlässige App, um deine Ideen in Mathe, Englisch und anderen verwandten Themen zu verbessern. bitte nutze diese App, wenn du in bestimmten Bereichen Schwierigkeiten hast, diese App ist dafür der Schlüssel. wünschte, ich hätte früher eine Bewertung geschrieben. und sie ist auch kostenlos, also mach dir darüber keine Sorgen.

Rohan U

Android-Nutzer

Ich weiß, dass viele Apps gefälschte Accounts nutzen, um ihre Bewertungen zu pushen, aber diese App verdient das alles. Ursprünglich hatte ich eine 4 in meinen Englisch-Klausuren und dieses Mal habe ich eine 2 bekommen. Ich wusste erst drei Tage vor der Klausur von dieser App und sie hat mir SEHR geholfen. Bitte vertrau mir wirklich und nutze sie, denn ich bin sicher, dass auch du Fortschritte sehen wirst.

Xander S

iOS-Nutzer

DIE QUIZZE UND KARTEIKARTEN SIND SO NÜTZLICH UND ICH LIEBE Knowunity KI. ES IST AUCH BUCHSTÄBLICH WIE CHATGPT ABER SCHLAUER!! HAT MIR AUCH BEI MEINEN MASCARA-PROBLEMEN GEHOLFEN!! SOWIE BEI MEINEN ECHTEN FÄCHERN! NATÜRLICH 😍😁😲🤑💗✨🎀😮

Elisha

iOS-Nutzer

Diese App ist echt der Hammer. Ich finde Lernen so langweilig, aber diese App macht es so einfach, alles zu organisieren und dann kannst du die kostenlose KI bitten, dich abzufragen, so gut, und du kannst einfach deine eigenen Sachen hochladen. sehr empfehlenswert als jemand, der gerade Probeklausuren schreibt

Paul T

iOS-Nutzer

Die App ist sehr einfach zu bedienen und gut gestaltet. Ich habe bisher alles gefunden, wonach ich gesucht habe, und konnte viel aus den Präsentationen lernen! Ich werde die App definitiv für ein Schulprojekt nutzen! Und natürlich hilft sie auch sehr als Inspiration.

Stefan S

iOS-Nutzer

Diese App ist wirklich super. Es gibt so viele Lernzettel und Hilfen [...]. Mein Problemfach ist zum Beispiel Französisch und die App hat so viele Möglichkeiten zur Hilfe. Dank dieser App habe ich mich in Französisch verbessert. Ich würde sie jedem empfehlen.

Samantha Klich

Android-Nutzerin

Wow, ich bin wirklich begeistert. Ich habe die App einfach mal ausprobiert, weil ich sie schon oft beworben gesehen habe und war absolut beeindruckt. Diese App ist DIE HILFE, die man für die Schule braucht und vor allem bietet sie so viele Dinge wie Übungen und Lernzettel, die mir persönlich SEHR geholfen haben.

Anna

iOS-Nutzerin

Beste App der Welt! Keine Worte, weil sie einfach zu gut ist

Thomas R

iOS-Nutzer

Einfach genial. Lässt mich 10x besser lernen, diese App ist eine glatte 10/10. Ich empfehle sie jedem. Ich kann Lernzettel anschauen und suchen. Ich kann sie im Fachordner speichern. Ich kann sie jederzeit wiederholen, wenn ich zurückkomme. Wenn du diese App noch nicht ausprobiert hast, verpasst du wirklich was.

Basil

Android-Nutzer

Diese App hat mich so viel selbstbewusster in meiner Klausurvorbereitung gemacht, nicht nur durch die Stärkung meines Selbstvertrauens durch die Features, die es dir ermöglichen, dich mit anderen zu vernetzen und dich weniger allein zu fühlen, sondern auch durch die Art, wie die App selbst darauf ausgerichtet ist, dass du dich besser fühlst. Sie ist einfach zu bedienen, macht Spaß und hilft jedem, der in irgendeiner Weise Schwierigkeiten hat.

David K

iOS-Nutzer

Die App ist einfach super! Ich muss nur das Thema in die Suche eingeben und bekomme sofort eine Antwort. Ich muss nicht mehr 10 YouTube-Videos schauen, um etwas zu verstehen, und spare dadurch richtig viel Zeit. Sehr empfehlenswert!

Sudenaz Ocak

Android-Nutzerin

In der Schule war ich echt schlecht in Mathe, aber dank der App bin ich jetzt besser geworden. Ich bin so dankbar, dass ihr die App gemacht habt.

Greenlight Bonnie

Android-Nutzerin

sehr zuverlässige App, um deine Ideen in Mathe, Englisch und anderen verwandten Themen zu verbessern. bitte nutze diese App, wenn du in bestimmten Bereichen Schwierigkeiten hast, diese App ist dafür der Schlüssel. wünschte, ich hätte früher eine Bewertung geschrieben. und sie ist auch kostenlos, also mach dir darüber keine Sorgen.

Rohan U

Android-Nutzer

Ich weiß, dass viele Apps gefälschte Accounts nutzen, um ihre Bewertungen zu pushen, aber diese App verdient das alles. Ursprünglich hatte ich eine 4 in meinen Englisch-Klausuren und dieses Mal habe ich eine 2 bekommen. Ich wusste erst drei Tage vor der Klausur von dieser App und sie hat mir SEHR geholfen. Bitte vertrau mir wirklich und nutze sie, denn ich bin sicher, dass auch du Fortschritte sehen wirst.

Xander S

iOS-Nutzer

DIE QUIZZE UND KARTEIKARTEN SIND SO NÜTZLICH UND ICH LIEBE Knowunity KI. ES IST AUCH BUCHSTÄBLICH WIE CHATGPT ABER SCHLAUER!! HAT MIR AUCH BEI MEINEN MASCARA-PROBLEMEN GEHOLFEN!! SOWIE BEI MEINEN ECHTEN FÄCHERN! NATÜRLICH 😍😁😲🤑💗✨🎀😮

Elisha

iOS-Nutzer

Diese App ist echt der Hammer. Ich finde Lernen so langweilig, aber diese App macht es so einfach, alles zu organisieren und dann kannst du die kostenlose KI bitten, dich abzufragen, so gut, und du kannst einfach deine eigenen Sachen hochladen. sehr empfehlenswert als jemand, der gerade Probeklausuren schreibt

Paul T

iOS-Nutzer