Identität ist ein mega komplexes Thema, das jeden von uns... Mehr anzeigen
Melde dich an, um den Inhalt zu sehenKostenlos!
Zugriff auf alle Dokumente
Verbessere deine Noten
Schließ dich Millionen Schülern an
Knowunity KI
Fächer
Triangle Congruence and Similarity Theorems
Triangle Properties and Classification
Linear Equations and Graphs
Geometric Angle Relationships
Trigonometric Functions and Identities
Equation Solving Techniques
Circle Geometry Fundamentals
Division Operations and Methods
Basic Differentiation Rules
Exponent and Logarithm Properties
Alle Themen anzeigen
Human Organ Systems
Reproductive Cell Cycles
Biological Sciences Subdisciplines
Cellular Energy Metabolism
Autotrophic Energy Processes
Inheritance Patterns and Principles
Biomolecular Structure and Organization
Cell Cycle and Division Mechanics
Cellular Organization and Development
Biological Structural Organization
Alle Themen anzeigen
Chemical Sciences and Applications
Atomic Structure and Composition
Molecular Electron Structure Representation
Atomic Electron Behavior
Matter Properties and Water
Mole Concept and Calculations
Gas Laws and Behavior
Periodic Table Organization
Chemical Thermodynamics Fundamentals
Chemical Bond Types and Properties
Alle Themen anzeigen
European Renaissance and Enlightenment
European Cultural Movements 800-1920
American Revolution Era 1763-1797
American Civil War 1861-1865
Global Imperial Systems
Mongol and Chinese Dynasties
U.S. Presidents and World Leaders
Historical Sources and Documentation
World Wars Era and Impact
World Religious Systems
Alle Themen anzeigen
Classic and Contemporary Novels
Literary Character Analysis
Rhetorical Theory and Practice
Classic Literary Narratives
Reading Analysis and Interpretation
Narrative Structure and Techniques
English Language Components
Influential English-Language Authors
Basic Sentence Structure
Narrative Voice and Perspective
Alle Themen anzeigen
784
•
Aktualisiert Apr 21, 2026
•
omgomg
@omgomgomg
Identität ist ein mega komplexes Thema, das jeden von uns... Mehr anzeigen






Diese Englisch-Klausur dreht sich um das spannende Thema Identität und die Frage, ob wir selbst bestimmen können, wer wir sind. Du bekommst 90 Minuten Zeit für drei verschiedene Aufgaben.
In der ersten Aufgabe (16 Punkte) sollst du zusammenfassen, was Appiah über Identität sagt. Hier geht's ums reine Textverständnis - lies den Text gründlich und erfasse die Hauptaussagen.
Die zweite Aufgabe (24 Punkte) ist eine Analyse: Wie versucht der Autor, dich als Leser zu beeinflussen und einzubeziehen? Achte dabei auf Stil, Tonfall und andere Überzeugungsmittel wie rhetorische Fragen oder Metaphern.
Tipp: Bei der dritten Aufgabe (20 Punkte) hast du die Wahl zwischen zwei Zitaten zum Kommentieren - wähle das aus, zu dem dir mehr einfällt!
Zusätzlich zu den Inhaltsaufgaben bekommst du 90 Punkte für deine sprachliche Leistung - achte also auf korrektes Englisch, abwechslungsreichen Wortschatz und sauberen Satzbau.

Appiah startet mit dem Beispiel von Caitlyn Jenner, die 2015 öffentlich als trans Frau lebte. Das zeigt direkt: Identität ist persönlich, aber auch gesellschaftlich umstritten.
Identität ist wie ein Label, das wir uns selbst und anderen geben - Geschlecht, Nationalität, Religion usw. Diese Labels kommen mit Regeln: Wenn du dich als etwas bezeichnest, musst du bestimmte Eigenschaften haben und dich entsprechend verhalten.
Das Problem: Diese Identitätslabels sind gesellschaftlich verhandelt, nicht individuell bestimmt. Appiah erklärt das mit Humpty Dumpty aus Alice im Wunderland - wenn jeder Wörtern seine eigene Bedeutung gibt, können wir uns nicht mehr verständigen.
Wichtig: Identität funktioniert nur, wenn alle ungefähr dasselbe darunter verstehen - sonst wissen andere nicht, was sie von dir erwarten können.
Identität als politisches Thema ist relativ neu. Erst seit der Mitte des 20. Jahrhunderts sprechen wir so über Rasse, Geschlecht oder Nationalität. Heute kämpfen marginalisierte Gruppen um Anerkennung ihrer Identität.
Der zentrale Konflikt: Einerseits wollen wir selbst bestimmen, wer wir sind ("Don't try to tell me who I am"). Andererseits brauchen Identitätslabels gemeinsame Bedeutungen, um zu funktionieren.

Der Text endet mit dem Spannungsfeld zwischen persönlicher Authentizität und gesellschaftlichen Erwartungen. Diese "seismische Verwerfungslinie" zieht sich durch alle modernen Identitätsdiskussionen.
Die Annotationen helfen dir bei schwierigen Begriffen: "seismic" (erdbebenhaft), "contested" (umstritten), "marginalised" (ausgegrenzt). Diese Wörter sind wichtig für dein Textverständnis.
Besonders relevant ist die Erklärung zu "Daughter of the American Revolution" - das zeigt, wie komplex Identitätszuschreibungen sein können. Ist jemand noch Amerikaner, wenn er die Staatsbürgerschaft aufgibt?
Prüfungstipp: Die Annotationen geben dir oft Hinweise auf die Hauptthemen - nutze sie für deine Analyse!
Der Verweis auf George Eliot am Ende zeigt die historische Dimension: Schon frühere Generationen kämpften mit Fragen der Authentizität und Selbstbestimmung, nur nannten sie es noch nicht "Identität".

Das Bewertungsschema zeigt dir genau, worauf es ankommt. Für die Zusammenfassung musst du verstehen, dass Identität sowohl persönlich als auch gesellschaftlich bestimmt wird.
Bei der Analyse solltest du den formalen, seriösen Stil erkennen, der durch komplexe Satzstrukturen und Literaturverweise entsteht. Appiah macht den Text zugänglich durch persönliche Beispiele und direkte Ansprache mit "you".
Wichtige Stilmittel: Rhetorische Fragen ("Isn't it up to her?"), Antithesen ("The question is straightforward; the answer is anything but"), und die Humpty Dumpty-Metapher zur Veranschaulichung.
Erfolgsformel: Erkenne sowohl die formalen Mittel als auch ihre Wirkung auf den Leser - das bringt die meisten Punkte!
Für den Kommentar zur "National identities are political theatre" musst du verstehen: Nationale Identität wird oft künstlich geschaffen und inszeniert, um Menschen zu vereinen - kann aber auch zu Nationalismus führen.
Die Beispielantworten zeigen: Gute Schüler erkennen, dass Identitätslabels sowohl verbinden als auch eingrenzen können. Sie sind notwendig für Verständigung, aber auch problematisch, wenn sie zu starr werden.

Unser KI-Begleiter ist ein speziell für Schüler entwickeltes KI-Tool, das mehr als nur Antworten bietet. Basierend auf Millionen von Knowunity-Inhalten liefert er relevante Informationen, personalisierte Lernpläne, Quizze und Inhalte direkt im Chat und passt sich deinem individuellen Lernweg an.
Du kannst die App im Google Play Store und im Apple App Store herunterladen.
Genau! Genieße kostenlosen Zugang zu Lerninhalten, vernetze dich mit anderen Schülern und hol dir sofortige Hilfe – alles direkt auf deinem Handy.
App Store
Google Play
Die App ist sehr einfach zu bedienen und gut gestaltet. Ich habe bisher alles gefunden, wonach ich gesucht habe, und konnte viel aus den Präsentationen lernen! Ich werde die App definitiv für ein Schulprojekt nutzen! Und natürlich hilft sie auch sehr als Inspiration.
Stefan S
iOS-Nutzer
Diese App ist wirklich super. Es gibt so viele Lernzettel und Hilfen [...]. Mein Problemfach ist zum Beispiel Französisch und die App hat so viele Möglichkeiten zur Hilfe. Dank dieser App habe ich mich in Französisch verbessert. Ich würde sie jedem empfehlen.
Samantha Klich
Android-Nutzerin
Wow, ich bin wirklich begeistert. Ich habe die App einfach mal ausprobiert, weil ich sie schon oft beworben gesehen habe und war absolut beeindruckt. Diese App ist DIE HILFE, die man für die Schule braucht und vor allem bietet sie so viele Dinge wie Übungen und Lernzettel, die mir persönlich SEHR geholfen haben.
Anna
iOS-Nutzerin
Beste App der Welt! Keine Worte, weil sie einfach zu gut ist
Thomas R
iOS-Nutzer
Einfach genial. Lässt mich 10x besser lernen, diese App ist eine glatte 10/10. Ich empfehle sie jedem. Ich kann Lernzettel anschauen und suchen. Ich kann sie im Fachordner speichern. Ich kann sie jederzeit wiederholen, wenn ich zurückkomme. Wenn du diese App noch nicht ausprobiert hast, verpasst du wirklich was.
Basil
Android-Nutzer
Diese App hat mich so viel selbstbewusster in meiner Klausurvorbereitung gemacht, nicht nur durch die Stärkung meines Selbstvertrauens durch die Features, die es dir ermöglichen, dich mit anderen zu vernetzen und dich weniger allein zu fühlen, sondern auch durch die Art, wie die App selbst darauf ausgerichtet ist, dass du dich besser fühlst. Sie ist einfach zu bedienen, macht Spaß und hilft jedem, der in irgendeiner Weise Schwierigkeiten hat.
David K
iOS-Nutzer
Die App ist einfach super! Ich muss nur das Thema in die Suche eingeben und bekomme sofort eine Antwort. Ich muss nicht mehr 10 YouTube-Videos schauen, um etwas zu verstehen, und spare dadurch richtig viel Zeit. Sehr empfehlenswert!
Sudenaz Ocak
Android-Nutzerin
In der Schule war ich echt schlecht in Mathe, aber dank der App bin ich jetzt besser geworden. Ich bin so dankbar, dass ihr die App gemacht habt.
Greenlight Bonnie
Android-Nutzerin
sehr zuverlässige App, um deine Ideen in Mathe, Englisch und anderen verwandten Themen zu verbessern. bitte nutze diese App, wenn du in bestimmten Bereichen Schwierigkeiten hast, diese App ist dafür der Schlüssel. wünschte, ich hätte früher eine Bewertung geschrieben. und sie ist auch kostenlos, also mach dir darüber keine Sorgen.
Rohan U
Android-Nutzer
Ich weiß, dass viele Apps gefälschte Accounts nutzen, um ihre Bewertungen zu pushen, aber diese App verdient das alles. Ursprünglich hatte ich eine 4 in meinen Englisch-Klausuren und dieses Mal habe ich eine 2 bekommen. Ich wusste erst drei Tage vor der Klausur von dieser App und sie hat mir SEHR geholfen. Bitte vertrau mir wirklich und nutze sie, denn ich bin sicher, dass auch du Fortschritte sehen wirst.
Xander S
iOS-Nutzer
DIE QUIZZE UND KARTEIKARTEN SIND SO NÜTZLICH UND ICH LIEBE Knowunity KI. ES IST AUCH BUCHSTÄBLICH WIE CHATGPT ABER SCHLAUER!! HAT MIR AUCH BEI MEINEN MASCARA-PROBLEMEN GEHOLFEN!! SOWIE BEI MEINEN ECHTEN FÄCHERN! NATÜRLICH 😍😁😲🤑💗✨🎀😮
Elisha
iOS-Nutzer
Diese App ist echt der Hammer. Ich finde Lernen so langweilig, aber diese App macht es so einfach, alles zu organisieren und dann kannst du die kostenlose KI bitten, dich abzufragen, so gut, und du kannst einfach deine eigenen Sachen hochladen. sehr empfehlenswert als jemand, der gerade Probeklausuren schreibt
Paul T
iOS-Nutzer
Die App ist sehr einfach zu bedienen und gut gestaltet. Ich habe bisher alles gefunden, wonach ich gesucht habe, und konnte viel aus den Präsentationen lernen! Ich werde die App definitiv für ein Schulprojekt nutzen! Und natürlich hilft sie auch sehr als Inspiration.
Stefan S
iOS-Nutzer
Diese App ist wirklich super. Es gibt so viele Lernzettel und Hilfen [...]. Mein Problemfach ist zum Beispiel Französisch und die App hat so viele Möglichkeiten zur Hilfe. Dank dieser App habe ich mich in Französisch verbessert. Ich würde sie jedem empfehlen.
Samantha Klich
Android-Nutzerin
Wow, ich bin wirklich begeistert. Ich habe die App einfach mal ausprobiert, weil ich sie schon oft beworben gesehen habe und war absolut beeindruckt. Diese App ist DIE HILFE, die man für die Schule braucht und vor allem bietet sie so viele Dinge wie Übungen und Lernzettel, die mir persönlich SEHR geholfen haben.
Anna
iOS-Nutzerin
Beste App der Welt! Keine Worte, weil sie einfach zu gut ist
Thomas R
iOS-Nutzer
Einfach genial. Lässt mich 10x besser lernen, diese App ist eine glatte 10/10. Ich empfehle sie jedem. Ich kann Lernzettel anschauen und suchen. Ich kann sie im Fachordner speichern. Ich kann sie jederzeit wiederholen, wenn ich zurückkomme. Wenn du diese App noch nicht ausprobiert hast, verpasst du wirklich was.
Basil
Android-Nutzer
Diese App hat mich so viel selbstbewusster in meiner Klausurvorbereitung gemacht, nicht nur durch die Stärkung meines Selbstvertrauens durch die Features, die es dir ermöglichen, dich mit anderen zu vernetzen und dich weniger allein zu fühlen, sondern auch durch die Art, wie die App selbst darauf ausgerichtet ist, dass du dich besser fühlst. Sie ist einfach zu bedienen, macht Spaß und hilft jedem, der in irgendeiner Weise Schwierigkeiten hat.
David K
iOS-Nutzer
Die App ist einfach super! Ich muss nur das Thema in die Suche eingeben und bekomme sofort eine Antwort. Ich muss nicht mehr 10 YouTube-Videos schauen, um etwas zu verstehen, und spare dadurch richtig viel Zeit. Sehr empfehlenswert!
Sudenaz Ocak
Android-Nutzerin
In der Schule war ich echt schlecht in Mathe, aber dank der App bin ich jetzt besser geworden. Ich bin so dankbar, dass ihr die App gemacht habt.
Greenlight Bonnie
Android-Nutzerin
sehr zuverlässige App, um deine Ideen in Mathe, Englisch und anderen verwandten Themen zu verbessern. bitte nutze diese App, wenn du in bestimmten Bereichen Schwierigkeiten hast, diese App ist dafür der Schlüssel. wünschte, ich hätte früher eine Bewertung geschrieben. und sie ist auch kostenlos, also mach dir darüber keine Sorgen.
Rohan U
Android-Nutzer
Ich weiß, dass viele Apps gefälschte Accounts nutzen, um ihre Bewertungen zu pushen, aber diese App verdient das alles. Ursprünglich hatte ich eine 4 in meinen Englisch-Klausuren und dieses Mal habe ich eine 2 bekommen. Ich wusste erst drei Tage vor der Klausur von dieser App und sie hat mir SEHR geholfen. Bitte vertrau mir wirklich und nutze sie, denn ich bin sicher, dass auch du Fortschritte sehen wirst.
Xander S
iOS-Nutzer
DIE QUIZZE UND KARTEIKARTEN SIND SO NÜTZLICH UND ICH LIEBE Knowunity KI. ES IST AUCH BUCHSTÄBLICH WIE CHATGPT ABER SCHLAUER!! HAT MIR AUCH BEI MEINEN MASCARA-PROBLEMEN GEHOLFEN!! SOWIE BEI MEINEN ECHTEN FÄCHERN! NATÜRLICH 😍😁😲🤑💗✨🎀😮
Elisha
iOS-Nutzer
Diese App ist echt der Hammer. Ich finde Lernen so langweilig, aber diese App macht es so einfach, alles zu organisieren und dann kannst du die kostenlose KI bitten, dich abzufragen, so gut, und du kannst einfach deine eigenen Sachen hochladen. sehr empfehlenswert als jemand, der gerade Probeklausuren schreibt
Paul T
iOS-Nutzer
omgomg
@omgomgomg
Identität ist ein mega komplexes Thema, das jeden von uns betrifft. Der Philosoph Kwame Anthony Appiah erklärt, warum die Frage "Können wir unsere eigene Identität wählen?" gar nicht so einfach zu beantworten ist, wie es zunächst scheint.

Zugriff auf alle Dokumente
Verbessere deine Noten
Schließ dich Millionen Schülern an
Diese Englisch-Klausur dreht sich um das spannende Thema Identität und die Frage, ob wir selbst bestimmen können, wer wir sind. Du bekommst 90 Minuten Zeit für drei verschiedene Aufgaben.
In der ersten Aufgabe (16 Punkte) sollst du zusammenfassen, was Appiah über Identität sagt. Hier geht's ums reine Textverständnis - lies den Text gründlich und erfasse die Hauptaussagen.
Die zweite Aufgabe (24 Punkte) ist eine Analyse: Wie versucht der Autor, dich als Leser zu beeinflussen und einzubeziehen? Achte dabei auf Stil, Tonfall und andere Überzeugungsmittel wie rhetorische Fragen oder Metaphern.
Tipp: Bei der dritten Aufgabe (20 Punkte) hast du die Wahl zwischen zwei Zitaten zum Kommentieren - wähle das aus, zu dem dir mehr einfällt!
Zusätzlich zu den Inhaltsaufgaben bekommst du 90 Punkte für deine sprachliche Leistung - achte also auf korrektes Englisch, abwechslungsreichen Wortschatz und sauberen Satzbau.

Zugriff auf alle Dokumente
Verbessere deine Noten
Schließ dich Millionen Schülern an
Appiah startet mit dem Beispiel von Caitlyn Jenner, die 2015 öffentlich als trans Frau lebte. Das zeigt direkt: Identität ist persönlich, aber auch gesellschaftlich umstritten.
Identität ist wie ein Label, das wir uns selbst und anderen geben - Geschlecht, Nationalität, Religion usw. Diese Labels kommen mit Regeln: Wenn du dich als etwas bezeichnest, musst du bestimmte Eigenschaften haben und dich entsprechend verhalten.
Das Problem: Diese Identitätslabels sind gesellschaftlich verhandelt, nicht individuell bestimmt. Appiah erklärt das mit Humpty Dumpty aus Alice im Wunderland - wenn jeder Wörtern seine eigene Bedeutung gibt, können wir uns nicht mehr verständigen.
Wichtig: Identität funktioniert nur, wenn alle ungefähr dasselbe darunter verstehen - sonst wissen andere nicht, was sie von dir erwarten können.
Identität als politisches Thema ist relativ neu. Erst seit der Mitte des 20. Jahrhunderts sprechen wir so über Rasse, Geschlecht oder Nationalität. Heute kämpfen marginalisierte Gruppen um Anerkennung ihrer Identität.
Der zentrale Konflikt: Einerseits wollen wir selbst bestimmen, wer wir sind ("Don't try to tell me who I am"). Andererseits brauchen Identitätslabels gemeinsame Bedeutungen, um zu funktionieren.

Zugriff auf alle Dokumente
Verbessere deine Noten
Schließ dich Millionen Schülern an
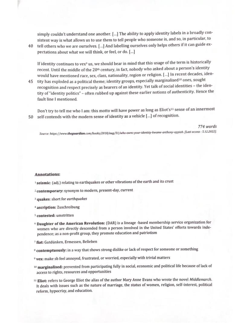
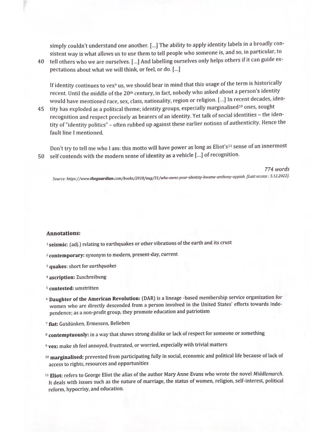
Der Text endet mit dem Spannungsfeld zwischen persönlicher Authentizität und gesellschaftlichen Erwartungen. Diese "seismische Verwerfungslinie" zieht sich durch alle modernen Identitätsdiskussionen.
Die Annotationen helfen dir bei schwierigen Begriffen: "seismic" (erdbebenhaft), "contested" (umstritten), "marginalised" (ausgegrenzt). Diese Wörter sind wichtig für dein Textverständnis.
Besonders relevant ist die Erklärung zu "Daughter of the American Revolution" - das zeigt, wie komplex Identitätszuschreibungen sein können. Ist jemand noch Amerikaner, wenn er die Staatsbürgerschaft aufgibt?
Prüfungstipp: Die Annotationen geben dir oft Hinweise auf die Hauptthemen - nutze sie für deine Analyse!
Der Verweis auf George Eliot am Ende zeigt die historische Dimension: Schon frühere Generationen kämpften mit Fragen der Authentizität und Selbstbestimmung, nur nannten sie es noch nicht "Identität".

Zugriff auf alle Dokumente
Verbessere deine Noten
Schließ dich Millionen Schülern an
Das Bewertungsschema zeigt dir genau, worauf es ankommt. Für die Zusammenfassung musst du verstehen, dass Identität sowohl persönlich als auch gesellschaftlich bestimmt wird.
Bei der Analyse solltest du den formalen, seriösen Stil erkennen, der durch komplexe Satzstrukturen und Literaturverweise entsteht. Appiah macht den Text zugänglich durch persönliche Beispiele und direkte Ansprache mit "you".
Wichtige Stilmittel: Rhetorische Fragen ("Isn't it up to her?"), Antithesen ("The question is straightforward; the answer is anything but"), und die Humpty Dumpty-Metapher zur Veranschaulichung.
Erfolgsformel: Erkenne sowohl die formalen Mittel als auch ihre Wirkung auf den Leser - das bringt die meisten Punkte!
Für den Kommentar zur "National identities are political theatre" musst du verstehen: Nationale Identität wird oft künstlich geschaffen und inszeniert, um Menschen zu vereinen - kann aber auch zu Nationalismus führen.
Die Beispielantworten zeigen: Gute Schüler erkennen, dass Identitätslabels sowohl verbinden als auch eingrenzen können. Sie sind notwendig für Verständigung, aber auch problematisch, wenn sie zu starr werden.

Zugriff auf alle Dokumente
Verbessere deine Noten
Schließ dich Millionen Schülern an
Unser KI-Begleiter ist ein speziell für Schüler entwickeltes KI-Tool, das mehr als nur Antworten bietet. Basierend auf Millionen von Knowunity-Inhalten liefert er relevante Informationen, personalisierte Lernpläne, Quizze und Inhalte direkt im Chat und passt sich deinem individuellen Lernweg an.
Du kannst die App im Google Play Store und im Apple App Store herunterladen.
Genau! Genieße kostenlosen Zugang zu Lerninhalten, vernetze dich mit anderen Schülern und hol dir sofortige Hilfe – alles direkt auf deinem Handy.
13
Smart Tools NEU
Verwandle diesen Lernzettel in: ✓ 50+ Übungsfragen ✓ Interaktive Karteikarten ✓ Komplette Probeklausur ✓ Aufsatzgliederungen
App Store
Google Play
Die App ist sehr einfach zu bedienen und gut gestaltet. Ich habe bisher alles gefunden, wonach ich gesucht habe, und konnte viel aus den Präsentationen lernen! Ich werde die App definitiv für ein Schulprojekt nutzen! Und natürlich hilft sie auch sehr als Inspiration.
Stefan S
iOS-Nutzer
Diese App ist wirklich super. Es gibt so viele Lernzettel und Hilfen [...]. Mein Problemfach ist zum Beispiel Französisch und die App hat so viele Möglichkeiten zur Hilfe. Dank dieser App habe ich mich in Französisch verbessert. Ich würde sie jedem empfehlen.
Samantha Klich
Android-Nutzerin
Wow, ich bin wirklich begeistert. Ich habe die App einfach mal ausprobiert, weil ich sie schon oft beworben gesehen habe und war absolut beeindruckt. Diese App ist DIE HILFE, die man für die Schule braucht und vor allem bietet sie so viele Dinge wie Übungen und Lernzettel, die mir persönlich SEHR geholfen haben.
Anna
iOS-Nutzerin
Beste App der Welt! Keine Worte, weil sie einfach zu gut ist
Thomas R
iOS-Nutzer
Einfach genial. Lässt mich 10x besser lernen, diese App ist eine glatte 10/10. Ich empfehle sie jedem. Ich kann Lernzettel anschauen und suchen. Ich kann sie im Fachordner speichern. Ich kann sie jederzeit wiederholen, wenn ich zurückkomme. Wenn du diese App noch nicht ausprobiert hast, verpasst du wirklich was.
Basil
Android-Nutzer
Diese App hat mich so viel selbstbewusster in meiner Klausurvorbereitung gemacht, nicht nur durch die Stärkung meines Selbstvertrauens durch die Features, die es dir ermöglichen, dich mit anderen zu vernetzen und dich weniger allein zu fühlen, sondern auch durch die Art, wie die App selbst darauf ausgerichtet ist, dass du dich besser fühlst. Sie ist einfach zu bedienen, macht Spaß und hilft jedem, der in irgendeiner Weise Schwierigkeiten hat.
David K
iOS-Nutzer
Die App ist einfach super! Ich muss nur das Thema in die Suche eingeben und bekomme sofort eine Antwort. Ich muss nicht mehr 10 YouTube-Videos schauen, um etwas zu verstehen, und spare dadurch richtig viel Zeit. Sehr empfehlenswert!
Sudenaz Ocak
Android-Nutzerin
In der Schule war ich echt schlecht in Mathe, aber dank der App bin ich jetzt besser geworden. Ich bin so dankbar, dass ihr die App gemacht habt.
Greenlight Bonnie
Android-Nutzerin
sehr zuverlässige App, um deine Ideen in Mathe, Englisch und anderen verwandten Themen zu verbessern. bitte nutze diese App, wenn du in bestimmten Bereichen Schwierigkeiten hast, diese App ist dafür der Schlüssel. wünschte, ich hätte früher eine Bewertung geschrieben. und sie ist auch kostenlos, also mach dir darüber keine Sorgen.
Rohan U
Android-Nutzer
Ich weiß, dass viele Apps gefälschte Accounts nutzen, um ihre Bewertungen zu pushen, aber diese App verdient das alles. Ursprünglich hatte ich eine 4 in meinen Englisch-Klausuren und dieses Mal habe ich eine 2 bekommen. Ich wusste erst drei Tage vor der Klausur von dieser App und sie hat mir SEHR geholfen. Bitte vertrau mir wirklich und nutze sie, denn ich bin sicher, dass auch du Fortschritte sehen wirst.
Xander S
iOS-Nutzer
DIE QUIZZE UND KARTEIKARTEN SIND SO NÜTZLICH UND ICH LIEBE Knowunity KI. ES IST AUCH BUCHSTÄBLICH WIE CHATGPT ABER SCHLAUER!! HAT MIR AUCH BEI MEINEN MASCARA-PROBLEMEN GEHOLFEN!! SOWIE BEI MEINEN ECHTEN FÄCHERN! NATÜRLICH 😍😁😲🤑💗✨🎀😮
Elisha
iOS-Nutzer
Diese App ist echt der Hammer. Ich finde Lernen so langweilig, aber diese App macht es so einfach, alles zu organisieren und dann kannst du die kostenlose KI bitten, dich abzufragen, so gut, und du kannst einfach deine eigenen Sachen hochladen. sehr empfehlenswert als jemand, der gerade Probeklausuren schreibt
Paul T
iOS-Nutzer
Die App ist sehr einfach zu bedienen und gut gestaltet. Ich habe bisher alles gefunden, wonach ich gesucht habe, und konnte viel aus den Präsentationen lernen! Ich werde die App definitiv für ein Schulprojekt nutzen! Und natürlich hilft sie auch sehr als Inspiration.
Stefan S
iOS-Nutzer
Diese App ist wirklich super. Es gibt so viele Lernzettel und Hilfen [...]. Mein Problemfach ist zum Beispiel Französisch und die App hat so viele Möglichkeiten zur Hilfe. Dank dieser App habe ich mich in Französisch verbessert. Ich würde sie jedem empfehlen.
Samantha Klich
Android-Nutzerin
Wow, ich bin wirklich begeistert. Ich habe die App einfach mal ausprobiert, weil ich sie schon oft beworben gesehen habe und war absolut beeindruckt. Diese App ist DIE HILFE, die man für die Schule braucht und vor allem bietet sie so viele Dinge wie Übungen und Lernzettel, die mir persönlich SEHR geholfen haben.
Anna
iOS-Nutzerin
Beste App der Welt! Keine Worte, weil sie einfach zu gut ist
Thomas R
iOS-Nutzer
Einfach genial. Lässt mich 10x besser lernen, diese App ist eine glatte 10/10. Ich empfehle sie jedem. Ich kann Lernzettel anschauen und suchen. Ich kann sie im Fachordner speichern. Ich kann sie jederzeit wiederholen, wenn ich zurückkomme. Wenn du diese App noch nicht ausprobiert hast, verpasst du wirklich was.
Basil
Android-Nutzer
Diese App hat mich so viel selbstbewusster in meiner Klausurvorbereitung gemacht, nicht nur durch die Stärkung meines Selbstvertrauens durch die Features, die es dir ermöglichen, dich mit anderen zu vernetzen und dich weniger allein zu fühlen, sondern auch durch die Art, wie die App selbst darauf ausgerichtet ist, dass du dich besser fühlst. Sie ist einfach zu bedienen, macht Spaß und hilft jedem, der in irgendeiner Weise Schwierigkeiten hat.
David K
iOS-Nutzer
Die App ist einfach super! Ich muss nur das Thema in die Suche eingeben und bekomme sofort eine Antwort. Ich muss nicht mehr 10 YouTube-Videos schauen, um etwas zu verstehen, und spare dadurch richtig viel Zeit. Sehr empfehlenswert!
Sudenaz Ocak
Android-Nutzerin
In der Schule war ich echt schlecht in Mathe, aber dank der App bin ich jetzt besser geworden. Ich bin so dankbar, dass ihr die App gemacht habt.
Greenlight Bonnie
Android-Nutzerin
sehr zuverlässige App, um deine Ideen in Mathe, Englisch und anderen verwandten Themen zu verbessern. bitte nutze diese App, wenn du in bestimmten Bereichen Schwierigkeiten hast, diese App ist dafür der Schlüssel. wünschte, ich hätte früher eine Bewertung geschrieben. und sie ist auch kostenlos, also mach dir darüber keine Sorgen.
Rohan U
Android-Nutzer
Ich weiß, dass viele Apps gefälschte Accounts nutzen, um ihre Bewertungen zu pushen, aber diese App verdient das alles. Ursprünglich hatte ich eine 4 in meinen Englisch-Klausuren und dieses Mal habe ich eine 2 bekommen. Ich wusste erst drei Tage vor der Klausur von dieser App und sie hat mir SEHR geholfen. Bitte vertrau mir wirklich und nutze sie, denn ich bin sicher, dass auch du Fortschritte sehen wirst.
Xander S
iOS-Nutzer
DIE QUIZZE UND KARTEIKARTEN SIND SO NÜTZLICH UND ICH LIEBE Knowunity KI. ES IST AUCH BUCHSTÄBLICH WIE CHATGPT ABER SCHLAUER!! HAT MIR AUCH BEI MEINEN MASCARA-PROBLEMEN GEHOLFEN!! SOWIE BEI MEINEN ECHTEN FÄCHERN! NATÜRLICH 😍😁😲🤑💗✨🎀😮
Elisha
iOS-Nutzer
Diese App ist echt der Hammer. Ich finde Lernen so langweilig, aber diese App macht es so einfach, alles zu organisieren und dann kannst du die kostenlose KI bitten, dich abzufragen, so gut, und du kannst einfach deine eigenen Sachen hochladen. sehr empfehlenswert als jemand, der gerade Probeklausuren schreibt
Paul T
iOS-Nutzer