Dieser Leitfaden hilft dir bei der perfekten Vorbereitung auf deine... Mehr anzeigen
Melde dich an, um den Inhalt zu sehenKostenlos!
Zugriff auf alle Dokumente
Verbessere deine Noten
Schließ dich Millionen Schülern an
Knowunity KI
Fächer
Triangle Congruence and Similarity Theorems
Triangle Properties and Classification
Linear Equations and Graphs
Geometric Angle Relationships
Trigonometric Functions and Identities
Equation Solving Techniques
Circle Geometry Fundamentals
Division Operations and Methods
Basic Differentiation Rules
Exponent and Logarithm Properties
Alle Themen anzeigen
Human Organ Systems
Reproductive Cell Cycles
Biological Sciences Subdisciplines
Cellular Energy Metabolism
Autotrophic Energy Processes
Inheritance Patterns and Principles
Biomolecular Structure and Organization
Cell Cycle and Division Mechanics
Cellular Organization and Development
Biological Structural Organization
Alle Themen anzeigen
Chemical Sciences and Applications
Atomic Structure and Composition
Molecular Electron Structure Representation
Atomic Electron Behavior
Matter Properties and Water
Mole Concept and Calculations
Gas Laws and Behavior
Periodic Table Organization
Chemical Thermodynamics Fundamentals
Chemical Bond Types and Properties
Alle Themen anzeigen
European Renaissance and Enlightenment
European Cultural Movements 800-1920
American Revolution Era 1763-1797
American Civil War 1861-1865
Global Imperial Systems
Mongol and Chinese Dynasties
U.S. Presidents and World Leaders
Historical Sources and Documentation
World Wars Era and Impact
World Religious Systems
Alle Themen anzeigen
Classic and Contemporary Novels
Literary Character Analysis
Rhetorical Theory and Practice
Classic Literary Narratives
Reading Analysis and Interpretation
Narrative Structure and Techniques
English Language Components
Influential English-Language Authors
Basic Sentence Structure
Narrative Voice and Perspective
Alle Themen anzeigen
263
•
Aktualisiert Mar 19, 2026
•
Bdkf Jidfh
@bdkfjidfh_esia
Dieser Leitfaden hilft dir bei der perfekten Vorbereitung auf deine... Mehr anzeigen











Keine Panik mehr vor Englisch-Klausuren! Dieser Reader zeigt dir Schritt für Schritt, wie du jeden Texttyp meisterst. Von der Charakterisierung über die Gedichtanalyse bis hin zum argumentative essay - hier findest du alle Techniken, die du brauchst.
Das Beste: Es sind keine starren Regeln, sondern praktische Hilfestellungen. Du lernst, wie du Texte strukturiert angehst und dabei die wichtigsten Punkte im Blick behältst.
Die 30 verschiedenen "How to"-Anleitungen decken alle Bereiche ab: Textanalyse, kreatives Schreiben, Filmanalyse und formelle Briefe. So bist du für jede Klausursituation gewappnet.
Tipp: Nutze diesen Reader als Nachschlagewerk - du musst nicht alles auswendig lernen, sondern verstehen, wie die verschiedenen Techniken funktionieren.

Comprehension/Orientation beantwortet nur die gestellte Frage - keine persönliche Meinung, keine Zitate. Analysis ist das Herzstück deiner Klausur und bringt 40-50% der Punkte. Dein erster Satz muss die Frage beantworten, alle folgenden Sätze stützen deine Analyse.
Schreib immer im Simple Present, verwende vollständige Sätze und halte die vorgegebene Reihenfolge ein. Neue Absätze nur bei neuen Aufgabenteilen - nicht bei jedem Satz! Das KISS-Prinzip hilft dir: Keep it short and simple.
Zitate setzt du in Anführungszeichen und belegst sie mit Zeilennummern . Verwende eckige Klammern [...] für Auslassungen und [Ergänzungen]. Achte auf formelle Sprache - keine Kurzformen wie "I'd" oder "she's".
Bei der Evaluation gibst du deine Meinung ab oder schreibst kreativ um. Hier darfst du endlich interpretieren und bewerten!
Merke dir: Der erste Satz deiner Analysis entscheidet über deinen Erfolg - er muss die Frage präzise beantworten.

Aufgabenart A1 ist der Klassiker: (1) Comprehension, (2) Analysis und (3) Evaluation. Diese Form kommt am häufigsten vor und folgt immer dem gleichen Schema. Du analysierst einen Text und bewertest ihn am Ende.
Aufgabenart A2 kombiniert Analyse mit kreativen Aufgaben. Nach Comprehension und Analysis folgt eine creation - du schreibst zum Beispiel einen Tagebucheintrag oder erzählst die Geschichte aus einer anderen Perspektive.
Aufgabenart B wird meist angekündigt und verbindet Texte mit anderen Medien. Das können Statistiken, Diagramme oder Filmsequenzen sein. Besonders nach einer Filmanalyse-Einheit ist diese Form wahrscheinlich.
Aufgabenart C ist komplett produktionsorientiert - hier schreibst du von Anfang an eigene Texte. Diese Form kommt eher selten vor, kann aber mit Aufgabenart B kombiniert werden.
Gut zu wissen: A1 und A2 sind deine Hauptgegner - konzentriere dich auf diese beiden Formen für maximalen Erfolg.

Eine Charakterisierung beschreibt die Eigenschaften und Merkmale von Figuren, als wären sie echte Menschen. Du analysierst, ob jemand schüchtern, selbstbewusst oder rücksichtslos ist.
Es gibt direkte Charakterisierung (Informationen werden direkt genannt) und indirekte Charakterisierung (du musst aus Aussehen, Handlungen und Gesprächen schließen). Die meisten Texte mischen beide Techniken.
Round characters sind komplex und entwickeln sich, flat characters bleiben eindimensional. Hauptfiguren sind meist round, Nebenfiguren oft flat. Achte auch auf sprechende Namen - sie verraten oft viel über die Figur.
Gehe systematisch vor: Markiere relevante Textstellen, erstelle eine Mindmap mit Aussehen, Verhalten, Gedanken und Beziehungen. Strukturiere dann deine Analyse logisch und vergiss nicht die Charakterkonstellation - wer steht mit wem in Beziehung?
Profi-Tipp: Zeichne ein Beziehungsnetz mit Pfeilen zwischen den Figuren - so erkennst du komplexe Verbindungen auf einen Blick.

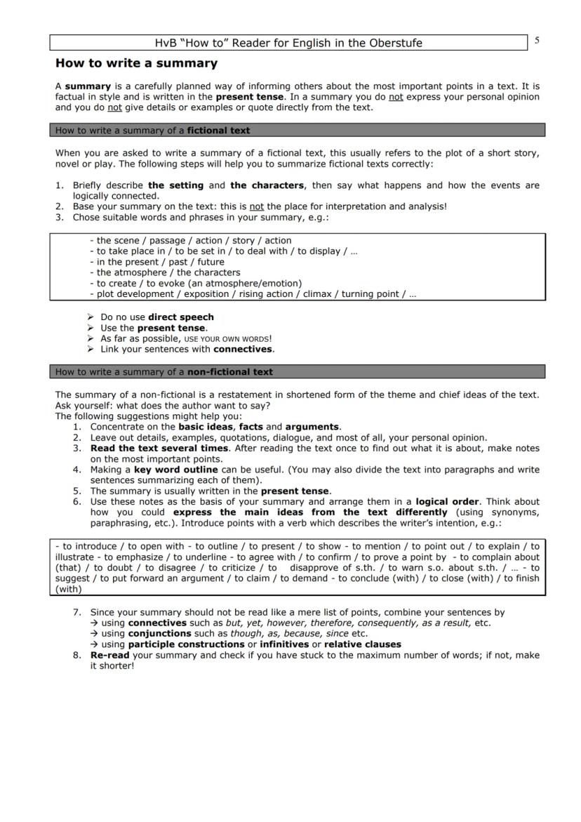
Eine Summary informiert sachlich über die wichtigsten Punkte eines Textes. Keine persönliche Meinung, keine Details, keine direkten Zitate - nur die Kernaussagen im Present.
Bei fiktionalen Texten beschreibst du Setting, Charaktere und Handlungsablauf. Verwende Wörter wie "the story takes place in", "deals with" oder "displays". Vermeide direkte Rede und verknüpfe deine Sätze mit Konnektoren.
Bei non-fiktionalen Texten konzentrierst du dich auf Hauptthema und zentrale Argumente. Frage dich: Was will der Autor sagen? Verwende Verben wie "to outline", "to emphasize", "to claim" oder "to conclude with".
Das Erfolgsrezept: Text mehrmals lesen, Stichpunkte machen, logisch ordnen und in eigenen Worten formulieren. Gliedere den Text in Abschnitte und fasse jeden in einem Satz zusammen.
Zeit sparen: Erstelle zuerst eine Stichwort-Gliederung - das verhindert, dass du wichtige Punkte vergisst oder zu ausführlich wirst.

Textanalyse untersucht formale Mittel, Sprache und Stil systematisch. Starte mit einer klaren Einleitung: "The text/article '...' by XY deals with..." und führe das Thema ein.
Im Hauptteil entwickelst du deine Punkte klar und strukturiert. Jeder Absatz behandelt eine zentrale Idee. Beginne mit Übergängen wie "It becomes obvious that the author manages to..." oder "The use of language emphasizes that...".
Untersuche verschiedene Sprachebenen: Satzstruktur (einfach oder komplex), Wortfelder (Religion, Politik, Familie), besonders positive/negative Ausdrücke und rhetorische Mittel. Achte auf die Verwendung von "we/us" zur Einbeziehung der Leser.
Stilmittel wie Wiederholungen, Alliterationen oder Bilder verstärken die Aussage ohne die Grundbedeutung zu ändern. Erkläre immer deren Wirkung: "underlines that", "creates the impression of" oder "appeals to the reader because".
Struktur ist alles: Jeder Absatz = eine Hauptidee. So verlierst du nie den roten Faden und deine Analyse wird überzeugend.

Professionelle Verknüpfungswörter machen deine Texte fließender und überzeugender. Statt langweiliger Übergänge nutzt du präzise Formulierungen für jeden Zweck.
Zum Strukturieren verwendest du "firstly", "accordingly", "therefore" oder "consequently". Zum Kontrastieren helfen "however", "conversely", "on the other hand" oder "nevertheless".
Für Beispiele und Zusätze nutzt du "furthermore", "moreover", "in addition to" oder "to illustrate this". Beim Schlussfolgern wählst du "to conclude", "all these points" oder "this leads to the conclusion".
Verben zur Meinungsäußerung machen deine Analyse präziser: "acknowledge" (bestätigen), "contend" (behaupten), "demonstrate" (zeigen) oder "refuse" (verweigern). Diese Wörter zeigen genau, was der Autor tut.
Wortschatz-Boost: Lerne pro Woche 5-10 neue Verknüpfungswörter - nach einem Monat klingen deine Texte deutlich professioneller.

Politische Reden nutzen spezielle Techniken zur Überzeugung. Du untersuchst non-verbale Elemente (Gestik, Mimik), paraverbale Elemente (Betonung, Pausen) und vor allem die Sprachverwendung.
Rhetorische Mittel verstärken die Wirkung: Alliteration (gleiche Anfangslaute), Anaphern (Wortwiederholung am Satzanfang), Antithesen (Gegensätze) oder rhetorische Fragen. Diese Mittel prägen sich besser ein und überzeugen stärker.
Bildliche Sprache schafft mentale Bilder: Metaphern, Vergleiche, Symbole und Personifikationen. Ein "turbulentes Meer" für schwierige Zeiten oder eine "weiße Taube" für Frieden wirken emotional.
Typische Techniken in Reden sind: direkte Ansprache, "wir/unser"-Formulierungen, Aufzählungen, Wiederholungen und Bezüge zur Geschichte. Amerikanische Präsidenten nutzen zusätzlich biblische Bezüge und Verweise auf andere Präsidenten.
Analyse-Trick: Suche zuerst nach Wiederholungen und direkter Ansprache - diese Mittel findest du in fast jeder politischen Rede.

Politische Themen erfordern spezifischen Wortschatz. Politiker "address issues", "set out aims", "outline visions" oder "achieve breakthroughs". Diese Formulierungen zeigen professionelle Sprachkenntnis.
Für Reformen und Veränderungen verwendest du: "introduce reforms", "reduce poverty", "eliminate weapons", "expand the economy" oder "strengthen security". Für Konflikte: "fight terrorism", "intervene in", "negotiate with" oder "stabilize regions".
Beim Analysieren der Redewirkung hilfst du dir mit: "by referring to..., the President suggests", "to focus on certain areas", "to have high expectations" oder "to offer hope to someone".
Emotionale Aspekte beschreibst du mit: "to be concerned about", "to have a social conscience", "to have a clear vision" oder "to give a solemn promise". Diese Wendungen zeigen, dass du die emotionale Ebene verstehst.
Praxis-Tipp: Sammle beim Lesen politischer Texte neue Wendungen - so baust du systematisch deinen Spezialwortschatz aus.

Ein Roman ist ein langes fiktionales Werk mit komplexer Handlung und vielen Charakteren. Der Begriff "novella" stammt aus der Renaissance von Giovanni Boccaccio und bezeichnete ursprünglich kurze Erzählungen.
Plot ist die Anordnung der Geschichte durch den Autor. Es gibt logische Entwicklungen mit sorgfältiger Szenenverknüpfung oder scheinbar unverbundene Szenen, die erst am Ende zusammengeführt werden. Der Höhepunkt (Climax) ist der spannendste Moment.
Setting umfasst Zeit , Ort , soziales Umfeld (Nebenfiguren) und Atmosphäre (bedrohlich, entspannend, nostalgisch).
Subplot ist eine Nebenhandlung, die parallel zur Haupthandlung verläuft. Sie kann diese verstärken oder kontrastieren. Charakterisierung erfolgt direkt (durch Erzähler) oder indirekt (durch Handlungen und Dialoge).
Überblick behalten: Erstelle beim Lesen eine Mindmap mit den wichtigsten Elementen - so verlierst du bei längeren Romanen nicht den Überblick.
Unser KI-Begleiter ist ein speziell für Schüler entwickeltes KI-Tool, das mehr als nur Antworten bietet. Basierend auf Millionen von Knowunity-Inhalten liefert er relevante Informationen, personalisierte Lernpläne, Quizze und Inhalte direkt im Chat und passt sich deinem individuellen Lernweg an.
Du kannst die App im Google Play Store und im Apple App Store herunterladen.
Genau! Genieße kostenlosen Zugang zu Lerninhalten, vernetze dich mit anderen Schülern und hol dir sofortige Hilfe – alles direkt auf deinem Handy.
App Store
Google Play
Die App ist sehr einfach zu bedienen und gut gestaltet. Ich habe bisher alles gefunden, wonach ich gesucht habe, und konnte viel aus den Präsentationen lernen! Ich werde die App definitiv für ein Schulprojekt nutzen! Und natürlich hilft sie auch sehr als Inspiration.
Stefan S
iOS-Nutzer
Diese App ist wirklich super. Es gibt so viele Lernzettel und Hilfen [...]. Mein Problemfach ist zum Beispiel Französisch und die App hat so viele Möglichkeiten zur Hilfe. Dank dieser App habe ich mich in Französisch verbessert. Ich würde sie jedem empfehlen.
Samantha Klich
Android-Nutzerin
Wow, ich bin wirklich begeistert. Ich habe die App einfach mal ausprobiert, weil ich sie schon oft beworben gesehen habe und war absolut beeindruckt. Diese App ist DIE HILFE, die man für die Schule braucht und vor allem bietet sie so viele Dinge wie Übungen und Lernzettel, die mir persönlich SEHR geholfen haben.
Anna
iOS-Nutzerin
Beste App der Welt! Keine Worte, weil sie einfach zu gut ist
Thomas R
iOS-Nutzer
Einfach genial. Lässt mich 10x besser lernen, diese App ist eine glatte 10/10. Ich empfehle sie jedem. Ich kann Lernzettel anschauen und suchen. Ich kann sie im Fachordner speichern. Ich kann sie jederzeit wiederholen, wenn ich zurückkomme. Wenn du diese App noch nicht ausprobiert hast, verpasst du wirklich was.
Basil
Android-Nutzer
Diese App hat mich so viel selbstbewusster in meiner Klausurvorbereitung gemacht, nicht nur durch die Stärkung meines Selbstvertrauens durch die Features, die es dir ermöglichen, dich mit anderen zu vernetzen und dich weniger allein zu fühlen, sondern auch durch die Art, wie die App selbst darauf ausgerichtet ist, dass du dich besser fühlst. Sie ist einfach zu bedienen, macht Spaß und hilft jedem, der in irgendeiner Weise Schwierigkeiten hat.
David K
iOS-Nutzer
Die App ist einfach super! Ich muss nur das Thema in die Suche eingeben und bekomme sofort eine Antwort. Ich muss nicht mehr 10 YouTube-Videos schauen, um etwas zu verstehen, und spare dadurch richtig viel Zeit. Sehr empfehlenswert!
Sudenaz Ocak
Android-Nutzerin
In der Schule war ich echt schlecht in Mathe, aber dank der App bin ich jetzt besser geworden. Ich bin so dankbar, dass ihr die App gemacht habt.
Greenlight Bonnie
Android-Nutzerin
sehr zuverlässige App, um deine Ideen in Mathe, Englisch und anderen verwandten Themen zu verbessern. bitte nutze diese App, wenn du in bestimmten Bereichen Schwierigkeiten hast, diese App ist dafür der Schlüssel. wünschte, ich hätte früher eine Bewertung geschrieben. und sie ist auch kostenlos, also mach dir darüber keine Sorgen.
Rohan U
Android-Nutzer
Ich weiß, dass viele Apps gefälschte Accounts nutzen, um ihre Bewertungen zu pushen, aber diese App verdient das alles. Ursprünglich hatte ich eine 4 in meinen Englisch-Klausuren und dieses Mal habe ich eine 2 bekommen. Ich wusste erst drei Tage vor der Klausur von dieser App und sie hat mir SEHR geholfen. Bitte vertrau mir wirklich und nutze sie, denn ich bin sicher, dass auch du Fortschritte sehen wirst.
Xander S
iOS-Nutzer
DIE QUIZZE UND KARTEIKARTEN SIND SO NÜTZLICH UND ICH LIEBE Knowunity KI. ES IST AUCH BUCHSTÄBLICH WIE CHATGPT ABER SCHLAUER!! HAT MIR AUCH BEI MEINEN MASCARA-PROBLEMEN GEHOLFEN!! SOWIE BEI MEINEN ECHTEN FÄCHERN! NATÜRLICH 😍😁😲🤑💗✨🎀😮
Elisha
iOS-Nutzer
Diese App ist echt der Hammer. Ich finde Lernen so langweilig, aber diese App macht es so einfach, alles zu organisieren und dann kannst du die kostenlose KI bitten, dich abzufragen, so gut, und du kannst einfach deine eigenen Sachen hochladen. sehr empfehlenswert als jemand, der gerade Probeklausuren schreibt
Paul T
iOS-Nutzer
Die App ist sehr einfach zu bedienen und gut gestaltet. Ich habe bisher alles gefunden, wonach ich gesucht habe, und konnte viel aus den Präsentationen lernen! Ich werde die App definitiv für ein Schulprojekt nutzen! Und natürlich hilft sie auch sehr als Inspiration.
Stefan S
iOS-Nutzer
Diese App ist wirklich super. Es gibt so viele Lernzettel und Hilfen [...]. Mein Problemfach ist zum Beispiel Französisch und die App hat so viele Möglichkeiten zur Hilfe. Dank dieser App habe ich mich in Französisch verbessert. Ich würde sie jedem empfehlen.
Samantha Klich
Android-Nutzerin
Wow, ich bin wirklich begeistert. Ich habe die App einfach mal ausprobiert, weil ich sie schon oft beworben gesehen habe und war absolut beeindruckt. Diese App ist DIE HILFE, die man für die Schule braucht und vor allem bietet sie so viele Dinge wie Übungen und Lernzettel, die mir persönlich SEHR geholfen haben.
Anna
iOS-Nutzerin
Beste App der Welt! Keine Worte, weil sie einfach zu gut ist
Thomas R
iOS-Nutzer
Einfach genial. Lässt mich 10x besser lernen, diese App ist eine glatte 10/10. Ich empfehle sie jedem. Ich kann Lernzettel anschauen und suchen. Ich kann sie im Fachordner speichern. Ich kann sie jederzeit wiederholen, wenn ich zurückkomme. Wenn du diese App noch nicht ausprobiert hast, verpasst du wirklich was.
Basil
Android-Nutzer
Diese App hat mich so viel selbstbewusster in meiner Klausurvorbereitung gemacht, nicht nur durch die Stärkung meines Selbstvertrauens durch die Features, die es dir ermöglichen, dich mit anderen zu vernetzen und dich weniger allein zu fühlen, sondern auch durch die Art, wie die App selbst darauf ausgerichtet ist, dass du dich besser fühlst. Sie ist einfach zu bedienen, macht Spaß und hilft jedem, der in irgendeiner Weise Schwierigkeiten hat.
David K
iOS-Nutzer
Die App ist einfach super! Ich muss nur das Thema in die Suche eingeben und bekomme sofort eine Antwort. Ich muss nicht mehr 10 YouTube-Videos schauen, um etwas zu verstehen, und spare dadurch richtig viel Zeit. Sehr empfehlenswert!
Sudenaz Ocak
Android-Nutzerin
In der Schule war ich echt schlecht in Mathe, aber dank der App bin ich jetzt besser geworden. Ich bin so dankbar, dass ihr die App gemacht habt.
Greenlight Bonnie
Android-Nutzerin
sehr zuverlässige App, um deine Ideen in Mathe, Englisch und anderen verwandten Themen zu verbessern. bitte nutze diese App, wenn du in bestimmten Bereichen Schwierigkeiten hast, diese App ist dafür der Schlüssel. wünschte, ich hätte früher eine Bewertung geschrieben. und sie ist auch kostenlos, also mach dir darüber keine Sorgen.
Rohan U
Android-Nutzer
Ich weiß, dass viele Apps gefälschte Accounts nutzen, um ihre Bewertungen zu pushen, aber diese App verdient das alles. Ursprünglich hatte ich eine 4 in meinen Englisch-Klausuren und dieses Mal habe ich eine 2 bekommen. Ich wusste erst drei Tage vor der Klausur von dieser App und sie hat mir SEHR geholfen. Bitte vertrau mir wirklich und nutze sie, denn ich bin sicher, dass auch du Fortschritte sehen wirst.
Xander S
iOS-Nutzer
DIE QUIZZE UND KARTEIKARTEN SIND SO NÜTZLICH UND ICH LIEBE Knowunity KI. ES IST AUCH BUCHSTÄBLICH WIE CHATGPT ABER SCHLAUER!! HAT MIR AUCH BEI MEINEN MASCARA-PROBLEMEN GEHOLFEN!! SOWIE BEI MEINEN ECHTEN FÄCHERN! NATÜRLICH 😍😁😲🤑💗✨🎀😮
Elisha
iOS-Nutzer
Diese App ist echt der Hammer. Ich finde Lernen so langweilig, aber diese App macht es so einfach, alles zu organisieren und dann kannst du die kostenlose KI bitten, dich abzufragen, so gut, und du kannst einfach deine eigenen Sachen hochladen. sehr empfehlenswert als jemand, der gerade Probeklausuren schreibt
Paul T
iOS-Nutzer
Bdkf Jidfh
@bdkfjidfh_esia
Dieser Leitfaden hilft dir bei der perfekten Vorbereitung auf deine Englisch-Oberstufenklausuren. Du lernst hier alle wichtigen Schreibtechniken, Analyseformen und Textarten kennen, die du in der Oberstufe beherrschen musst.

Zugriff auf alle Dokumente
Verbessere deine Noten
Schließ dich Millionen Schülern an
Keine Panik mehr vor Englisch-Klausuren! Dieser Reader zeigt dir Schritt für Schritt, wie du jeden Texttyp meisterst. Von der Charakterisierung über die Gedichtanalyse bis hin zum argumentative essay - hier findest du alle Techniken, die du brauchst.
Das Beste: Es sind keine starren Regeln, sondern praktische Hilfestellungen. Du lernst, wie du Texte strukturiert angehst und dabei die wichtigsten Punkte im Blick behältst.
Die 30 verschiedenen "How to"-Anleitungen decken alle Bereiche ab: Textanalyse, kreatives Schreiben, Filmanalyse und formelle Briefe. So bist du für jede Klausursituation gewappnet.
Tipp: Nutze diesen Reader als Nachschlagewerk - du musst nicht alles auswendig lernen, sondern verstehen, wie die verschiedenen Techniken funktionieren.

Zugriff auf alle Dokumente
Verbessere deine Noten
Schließ dich Millionen Schülern an
Comprehension/Orientation beantwortet nur die gestellte Frage - keine persönliche Meinung, keine Zitate. Analysis ist das Herzstück deiner Klausur und bringt 40-50% der Punkte. Dein erster Satz muss die Frage beantworten, alle folgenden Sätze stützen deine Analyse.
Schreib immer im Simple Present, verwende vollständige Sätze und halte die vorgegebene Reihenfolge ein. Neue Absätze nur bei neuen Aufgabenteilen - nicht bei jedem Satz! Das KISS-Prinzip hilft dir: Keep it short and simple.
Zitate setzt du in Anführungszeichen und belegst sie mit Zeilennummern . Verwende eckige Klammern [...] für Auslassungen und [Ergänzungen]. Achte auf formelle Sprache - keine Kurzformen wie "I'd" oder "she's".
Bei der Evaluation gibst du deine Meinung ab oder schreibst kreativ um. Hier darfst du endlich interpretieren und bewerten!
Merke dir: Der erste Satz deiner Analysis entscheidet über deinen Erfolg - er muss die Frage präzise beantworten.

Zugriff auf alle Dokumente
Verbessere deine Noten
Schließ dich Millionen Schülern an
Aufgabenart A1 ist der Klassiker: (1) Comprehension, (2) Analysis und (3) Evaluation. Diese Form kommt am häufigsten vor und folgt immer dem gleichen Schema. Du analysierst einen Text und bewertest ihn am Ende.
Aufgabenart A2 kombiniert Analyse mit kreativen Aufgaben. Nach Comprehension und Analysis folgt eine creation - du schreibst zum Beispiel einen Tagebucheintrag oder erzählst die Geschichte aus einer anderen Perspektive.
Aufgabenart B wird meist angekündigt und verbindet Texte mit anderen Medien. Das können Statistiken, Diagramme oder Filmsequenzen sein. Besonders nach einer Filmanalyse-Einheit ist diese Form wahrscheinlich.
Aufgabenart C ist komplett produktionsorientiert - hier schreibst du von Anfang an eigene Texte. Diese Form kommt eher selten vor, kann aber mit Aufgabenart B kombiniert werden.
Gut zu wissen: A1 und A2 sind deine Hauptgegner - konzentriere dich auf diese beiden Formen für maximalen Erfolg.

Zugriff auf alle Dokumente
Verbessere deine Noten
Schließ dich Millionen Schülern an
Eine Charakterisierung beschreibt die Eigenschaften und Merkmale von Figuren, als wären sie echte Menschen. Du analysierst, ob jemand schüchtern, selbstbewusst oder rücksichtslos ist.
Es gibt direkte Charakterisierung (Informationen werden direkt genannt) und indirekte Charakterisierung (du musst aus Aussehen, Handlungen und Gesprächen schließen). Die meisten Texte mischen beide Techniken.
Round characters sind komplex und entwickeln sich, flat characters bleiben eindimensional. Hauptfiguren sind meist round, Nebenfiguren oft flat. Achte auch auf sprechende Namen - sie verraten oft viel über die Figur.
Gehe systematisch vor: Markiere relevante Textstellen, erstelle eine Mindmap mit Aussehen, Verhalten, Gedanken und Beziehungen. Strukturiere dann deine Analyse logisch und vergiss nicht die Charakterkonstellation - wer steht mit wem in Beziehung?
Profi-Tipp: Zeichne ein Beziehungsnetz mit Pfeilen zwischen den Figuren - so erkennst du komplexe Verbindungen auf einen Blick.

Zugriff auf alle Dokumente
Verbessere deine Noten
Schließ dich Millionen Schülern an
Eine Summary informiert sachlich über die wichtigsten Punkte eines Textes. Keine persönliche Meinung, keine Details, keine direkten Zitate - nur die Kernaussagen im Present.
Bei fiktionalen Texten beschreibst du Setting, Charaktere und Handlungsablauf. Verwende Wörter wie "the story takes place in", "deals with" oder "displays". Vermeide direkte Rede und verknüpfe deine Sätze mit Konnektoren.
Bei non-fiktionalen Texten konzentrierst du dich auf Hauptthema und zentrale Argumente. Frage dich: Was will der Autor sagen? Verwende Verben wie "to outline", "to emphasize", "to claim" oder "to conclude with".
Das Erfolgsrezept: Text mehrmals lesen, Stichpunkte machen, logisch ordnen und in eigenen Worten formulieren. Gliedere den Text in Abschnitte und fasse jeden in einem Satz zusammen.
Zeit sparen: Erstelle zuerst eine Stichwort-Gliederung - das verhindert, dass du wichtige Punkte vergisst oder zu ausführlich wirst.

Zugriff auf alle Dokumente
Verbessere deine Noten
Schließ dich Millionen Schülern an
Textanalyse untersucht formale Mittel, Sprache und Stil systematisch. Starte mit einer klaren Einleitung: "The text/article '...' by XY deals with..." und führe das Thema ein.
Im Hauptteil entwickelst du deine Punkte klar und strukturiert. Jeder Absatz behandelt eine zentrale Idee. Beginne mit Übergängen wie "It becomes obvious that the author manages to..." oder "The use of language emphasizes that...".
Untersuche verschiedene Sprachebenen: Satzstruktur (einfach oder komplex), Wortfelder (Religion, Politik, Familie), besonders positive/negative Ausdrücke und rhetorische Mittel. Achte auf die Verwendung von "we/us" zur Einbeziehung der Leser.
Stilmittel wie Wiederholungen, Alliterationen oder Bilder verstärken die Aussage ohne die Grundbedeutung zu ändern. Erkläre immer deren Wirkung: "underlines that", "creates the impression of" oder "appeals to the reader because".
Struktur ist alles: Jeder Absatz = eine Hauptidee. So verlierst du nie den roten Faden und deine Analyse wird überzeugend.

Zugriff auf alle Dokumente
Verbessere deine Noten
Schließ dich Millionen Schülern an
Professionelle Verknüpfungswörter machen deine Texte fließender und überzeugender. Statt langweiliger Übergänge nutzt du präzise Formulierungen für jeden Zweck.
Zum Strukturieren verwendest du "firstly", "accordingly", "therefore" oder "consequently". Zum Kontrastieren helfen "however", "conversely", "on the other hand" oder "nevertheless".
Für Beispiele und Zusätze nutzt du "furthermore", "moreover", "in addition to" oder "to illustrate this". Beim Schlussfolgern wählst du "to conclude", "all these points" oder "this leads to the conclusion".
Verben zur Meinungsäußerung machen deine Analyse präziser: "acknowledge" (bestätigen), "contend" (behaupten), "demonstrate" (zeigen) oder "refuse" (verweigern). Diese Wörter zeigen genau, was der Autor tut.
Wortschatz-Boost: Lerne pro Woche 5-10 neue Verknüpfungswörter - nach einem Monat klingen deine Texte deutlich professioneller.

Zugriff auf alle Dokumente
Verbessere deine Noten
Schließ dich Millionen Schülern an
Politische Reden nutzen spezielle Techniken zur Überzeugung. Du untersuchst non-verbale Elemente (Gestik, Mimik), paraverbale Elemente (Betonung, Pausen) und vor allem die Sprachverwendung.
Rhetorische Mittel verstärken die Wirkung: Alliteration (gleiche Anfangslaute), Anaphern (Wortwiederholung am Satzanfang), Antithesen (Gegensätze) oder rhetorische Fragen. Diese Mittel prägen sich besser ein und überzeugen stärker.
Bildliche Sprache schafft mentale Bilder: Metaphern, Vergleiche, Symbole und Personifikationen. Ein "turbulentes Meer" für schwierige Zeiten oder eine "weiße Taube" für Frieden wirken emotional.
Typische Techniken in Reden sind: direkte Ansprache, "wir/unser"-Formulierungen, Aufzählungen, Wiederholungen und Bezüge zur Geschichte. Amerikanische Präsidenten nutzen zusätzlich biblische Bezüge und Verweise auf andere Präsidenten.
Analyse-Trick: Suche zuerst nach Wiederholungen und direkter Ansprache - diese Mittel findest du in fast jeder politischen Rede.

Zugriff auf alle Dokumente
Verbessere deine Noten
Schließ dich Millionen Schülern an
Politische Themen erfordern spezifischen Wortschatz. Politiker "address issues", "set out aims", "outline visions" oder "achieve breakthroughs". Diese Formulierungen zeigen professionelle Sprachkenntnis.
Für Reformen und Veränderungen verwendest du: "introduce reforms", "reduce poverty", "eliminate weapons", "expand the economy" oder "strengthen security". Für Konflikte: "fight terrorism", "intervene in", "negotiate with" oder "stabilize regions".
Beim Analysieren der Redewirkung hilfst du dir mit: "by referring to..., the President suggests", "to focus on certain areas", "to have high expectations" oder "to offer hope to someone".
Emotionale Aspekte beschreibst du mit: "to be concerned about", "to have a social conscience", "to have a clear vision" oder "to give a solemn promise". Diese Wendungen zeigen, dass du die emotionale Ebene verstehst.
Praxis-Tipp: Sammle beim Lesen politischer Texte neue Wendungen - so baust du systematisch deinen Spezialwortschatz aus.

Zugriff auf alle Dokumente
Verbessere deine Noten
Schließ dich Millionen Schülern an
Ein Roman ist ein langes fiktionales Werk mit komplexer Handlung und vielen Charakteren. Der Begriff "novella" stammt aus der Renaissance von Giovanni Boccaccio und bezeichnete ursprünglich kurze Erzählungen.
Plot ist die Anordnung der Geschichte durch den Autor. Es gibt logische Entwicklungen mit sorgfältiger Szenenverknüpfung oder scheinbar unverbundene Szenen, die erst am Ende zusammengeführt werden. Der Höhepunkt (Climax) ist der spannendste Moment.
Setting umfasst Zeit , Ort , soziales Umfeld (Nebenfiguren) und Atmosphäre (bedrohlich, entspannend, nostalgisch).
Subplot ist eine Nebenhandlung, die parallel zur Haupthandlung verläuft. Sie kann diese verstärken oder kontrastieren. Charakterisierung erfolgt direkt (durch Erzähler) oder indirekt (durch Handlungen und Dialoge).
Überblick behalten: Erstelle beim Lesen eine Mindmap mit den wichtigsten Elementen - so verlierst du bei längeren Romanen nicht den Überblick.
Unser KI-Begleiter ist ein speziell für Schüler entwickeltes KI-Tool, das mehr als nur Antworten bietet. Basierend auf Millionen von Knowunity-Inhalten liefert er relevante Informationen, personalisierte Lernpläne, Quizze und Inhalte direkt im Chat und passt sich deinem individuellen Lernweg an.
Du kannst die App im Google Play Store und im Apple App Store herunterladen.
Genau! Genieße kostenlosen Zugang zu Lerninhalten, vernetze dich mit anderen Schülern und hol dir sofortige Hilfe – alles direkt auf deinem Handy.
6
Smart Tools NEU
Verwandle diesen Lernzettel in: ✓ 50+ Übungsfragen ✓ Interaktive Karteikarten ✓ Komplette Probeklausur ✓ Aufsatzgliederungen
App Store
Google Play
Die App ist sehr einfach zu bedienen und gut gestaltet. Ich habe bisher alles gefunden, wonach ich gesucht habe, und konnte viel aus den Präsentationen lernen! Ich werde die App definitiv für ein Schulprojekt nutzen! Und natürlich hilft sie auch sehr als Inspiration.
Stefan S
iOS-Nutzer
Diese App ist wirklich super. Es gibt so viele Lernzettel und Hilfen [...]. Mein Problemfach ist zum Beispiel Französisch und die App hat so viele Möglichkeiten zur Hilfe. Dank dieser App habe ich mich in Französisch verbessert. Ich würde sie jedem empfehlen.
Samantha Klich
Android-Nutzerin
Wow, ich bin wirklich begeistert. Ich habe die App einfach mal ausprobiert, weil ich sie schon oft beworben gesehen habe und war absolut beeindruckt. Diese App ist DIE HILFE, die man für die Schule braucht und vor allem bietet sie so viele Dinge wie Übungen und Lernzettel, die mir persönlich SEHR geholfen haben.
Anna
iOS-Nutzerin
Beste App der Welt! Keine Worte, weil sie einfach zu gut ist
Thomas R
iOS-Nutzer
Einfach genial. Lässt mich 10x besser lernen, diese App ist eine glatte 10/10. Ich empfehle sie jedem. Ich kann Lernzettel anschauen und suchen. Ich kann sie im Fachordner speichern. Ich kann sie jederzeit wiederholen, wenn ich zurückkomme. Wenn du diese App noch nicht ausprobiert hast, verpasst du wirklich was.
Basil
Android-Nutzer
Diese App hat mich so viel selbstbewusster in meiner Klausurvorbereitung gemacht, nicht nur durch die Stärkung meines Selbstvertrauens durch die Features, die es dir ermöglichen, dich mit anderen zu vernetzen und dich weniger allein zu fühlen, sondern auch durch die Art, wie die App selbst darauf ausgerichtet ist, dass du dich besser fühlst. Sie ist einfach zu bedienen, macht Spaß und hilft jedem, der in irgendeiner Weise Schwierigkeiten hat.
David K
iOS-Nutzer
Die App ist einfach super! Ich muss nur das Thema in die Suche eingeben und bekomme sofort eine Antwort. Ich muss nicht mehr 10 YouTube-Videos schauen, um etwas zu verstehen, und spare dadurch richtig viel Zeit. Sehr empfehlenswert!
Sudenaz Ocak
Android-Nutzerin
In der Schule war ich echt schlecht in Mathe, aber dank der App bin ich jetzt besser geworden. Ich bin so dankbar, dass ihr die App gemacht habt.
Greenlight Bonnie
Android-Nutzerin
sehr zuverlässige App, um deine Ideen in Mathe, Englisch und anderen verwandten Themen zu verbessern. bitte nutze diese App, wenn du in bestimmten Bereichen Schwierigkeiten hast, diese App ist dafür der Schlüssel. wünschte, ich hätte früher eine Bewertung geschrieben. und sie ist auch kostenlos, also mach dir darüber keine Sorgen.
Rohan U
Android-Nutzer
Ich weiß, dass viele Apps gefälschte Accounts nutzen, um ihre Bewertungen zu pushen, aber diese App verdient das alles. Ursprünglich hatte ich eine 4 in meinen Englisch-Klausuren und dieses Mal habe ich eine 2 bekommen. Ich wusste erst drei Tage vor der Klausur von dieser App und sie hat mir SEHR geholfen. Bitte vertrau mir wirklich und nutze sie, denn ich bin sicher, dass auch du Fortschritte sehen wirst.
Xander S
iOS-Nutzer
DIE QUIZZE UND KARTEIKARTEN SIND SO NÜTZLICH UND ICH LIEBE Knowunity KI. ES IST AUCH BUCHSTÄBLICH WIE CHATGPT ABER SCHLAUER!! HAT MIR AUCH BEI MEINEN MASCARA-PROBLEMEN GEHOLFEN!! SOWIE BEI MEINEN ECHTEN FÄCHERN! NATÜRLICH 😍😁😲🤑💗✨🎀😮
Elisha
iOS-Nutzer
Diese App ist echt der Hammer. Ich finde Lernen so langweilig, aber diese App macht es so einfach, alles zu organisieren und dann kannst du die kostenlose KI bitten, dich abzufragen, so gut, und du kannst einfach deine eigenen Sachen hochladen. sehr empfehlenswert als jemand, der gerade Probeklausuren schreibt
Paul T
iOS-Nutzer
Die App ist sehr einfach zu bedienen und gut gestaltet. Ich habe bisher alles gefunden, wonach ich gesucht habe, und konnte viel aus den Präsentationen lernen! Ich werde die App definitiv für ein Schulprojekt nutzen! Und natürlich hilft sie auch sehr als Inspiration.
Stefan S
iOS-Nutzer
Diese App ist wirklich super. Es gibt so viele Lernzettel und Hilfen [...]. Mein Problemfach ist zum Beispiel Französisch und die App hat so viele Möglichkeiten zur Hilfe. Dank dieser App habe ich mich in Französisch verbessert. Ich würde sie jedem empfehlen.
Samantha Klich
Android-Nutzerin
Wow, ich bin wirklich begeistert. Ich habe die App einfach mal ausprobiert, weil ich sie schon oft beworben gesehen habe und war absolut beeindruckt. Diese App ist DIE HILFE, die man für die Schule braucht und vor allem bietet sie so viele Dinge wie Übungen und Lernzettel, die mir persönlich SEHR geholfen haben.
Anna
iOS-Nutzerin
Beste App der Welt! Keine Worte, weil sie einfach zu gut ist
Thomas R
iOS-Nutzer
Einfach genial. Lässt mich 10x besser lernen, diese App ist eine glatte 10/10. Ich empfehle sie jedem. Ich kann Lernzettel anschauen und suchen. Ich kann sie im Fachordner speichern. Ich kann sie jederzeit wiederholen, wenn ich zurückkomme. Wenn du diese App noch nicht ausprobiert hast, verpasst du wirklich was.
Basil
Android-Nutzer
Diese App hat mich so viel selbstbewusster in meiner Klausurvorbereitung gemacht, nicht nur durch die Stärkung meines Selbstvertrauens durch die Features, die es dir ermöglichen, dich mit anderen zu vernetzen und dich weniger allein zu fühlen, sondern auch durch die Art, wie die App selbst darauf ausgerichtet ist, dass du dich besser fühlst. Sie ist einfach zu bedienen, macht Spaß und hilft jedem, der in irgendeiner Weise Schwierigkeiten hat.
David K
iOS-Nutzer
Die App ist einfach super! Ich muss nur das Thema in die Suche eingeben und bekomme sofort eine Antwort. Ich muss nicht mehr 10 YouTube-Videos schauen, um etwas zu verstehen, und spare dadurch richtig viel Zeit. Sehr empfehlenswert!
Sudenaz Ocak
Android-Nutzerin
In der Schule war ich echt schlecht in Mathe, aber dank der App bin ich jetzt besser geworden. Ich bin so dankbar, dass ihr die App gemacht habt.
Greenlight Bonnie
Android-Nutzerin
sehr zuverlässige App, um deine Ideen in Mathe, Englisch und anderen verwandten Themen zu verbessern. bitte nutze diese App, wenn du in bestimmten Bereichen Schwierigkeiten hast, diese App ist dafür der Schlüssel. wünschte, ich hätte früher eine Bewertung geschrieben. und sie ist auch kostenlos, also mach dir darüber keine Sorgen.
Rohan U
Android-Nutzer
Ich weiß, dass viele Apps gefälschte Accounts nutzen, um ihre Bewertungen zu pushen, aber diese App verdient das alles. Ursprünglich hatte ich eine 4 in meinen Englisch-Klausuren und dieses Mal habe ich eine 2 bekommen. Ich wusste erst drei Tage vor der Klausur von dieser App und sie hat mir SEHR geholfen. Bitte vertrau mir wirklich und nutze sie, denn ich bin sicher, dass auch du Fortschritte sehen wirst.
Xander S
iOS-Nutzer
DIE QUIZZE UND KARTEIKARTEN SIND SO NÜTZLICH UND ICH LIEBE Knowunity KI. ES IST AUCH BUCHSTÄBLICH WIE CHATGPT ABER SCHLAUER!! HAT MIR AUCH BEI MEINEN MASCARA-PROBLEMEN GEHOLFEN!! SOWIE BEI MEINEN ECHTEN FÄCHERN! NATÜRLICH 😍😁😲🤑💗✨🎀😮
Elisha
iOS-Nutzer
Diese App ist echt der Hammer. Ich finde Lernen so langweilig, aber diese App macht es so einfach, alles zu organisieren und dann kannst du die kostenlose KI bitten, dich abzufragen, so gut, und du kannst einfach deine eigenen Sachen hochladen. sehr empfehlenswert als jemand, der gerade Probeklausuren schreibt
Paul T
iOS-Nutzer