Kakao ist nicht nur die Basis unserer Lieblings-Schokolade, sondern auch... Mehr anzeigen
Melde dich an, um den Inhalt zu sehenKostenlos!
Zugriff auf alle Dokumente
Verbessere deine Noten
Schließ dich Millionen Schülern an
Knowunity KI
Fächer
Triangle Congruence and Similarity Theorems
Triangle Properties and Classification
Linear Equations and Graphs
Geometric Angle Relationships
Trigonometric Functions and Identities
Equation Solving Techniques
Circle Geometry Fundamentals
Division Operations and Methods
Basic Differentiation Rules
Exponent and Logarithm Properties
Alle Themen anzeigen
Human Organ Systems
Reproductive Cell Cycles
Biological Sciences Subdisciplines
Cellular Energy Metabolism
Autotrophic Energy Processes
Inheritance Patterns and Principles
Biomolecular Structure and Organization
Cell Cycle and Division Mechanics
Cellular Organization and Development
Biological Structural Organization
Alle Themen anzeigen
Chemical Sciences and Applications
Atomic Structure and Composition
Molecular Electron Structure Representation
Atomic Electron Behavior
Matter Properties and Water
Mole Concept and Calculations
Gas Laws and Behavior
Periodic Table Organization
Chemical Thermodynamics Fundamentals
Chemical Bond Types and Properties
Alle Themen anzeigen
European Renaissance and Enlightenment
European Cultural Movements 800-1920
American Revolution Era 1763-1797
American Civil War 1861-1865
Global Imperial Systems
Mongol and Chinese Dynasties
U.S. Presidents and World Leaders
Historical Sources and Documentation
World Wars Era and Impact
World Religious Systems
Alle Themen anzeigen
Classic and Contemporary Novels
Literary Character Analysis
Rhetorical Theory and Practice
Classic Literary Narratives
Reading Analysis and Interpretation
Narrative Structure and Techniques
English Language Components
Influential English-Language Authors
Basic Sentence Structure
Narrative Voice and Perspective
Alle Themen anzeigen
157
•
Aktualisiert Mar 25, 2026
•
ceylin
@ceylin_drnt9
Kakao ist nicht nur die Basis unserer Lieblings-Schokolade, sondern auch... Mehr anzeigen











Du sollst in dieser Klausur drei zentrale Aspekte des Kakaoanbaus in der Elfenbeinküste bearbeiten. Zunächst geht es um die geografische Lage und die naturgeographischen Voraussetzungen für den Anbau.
Danach analysierst du die wirtschaftliche Bedeutung des Kakaoanbaus für das Land. Die Elfenbeinküste ist mit über 1,4 Millionen Tonnen jährlich der weltgrößte Kakaoproduzent und damit deutlich vor Ghana und Indonesien.
💡 Tipp: Bei der Erörterung nachhaltiger Entwicklungsperspektiven solltest du sowohl Chancen als auch Probleme wie Kinderarbeit und Umweltschutz berücksichtigen.
Die bereitgestellten Materialien umfassen Atlaskarten, Klimadaten und aktuelle sozioökonomische Informationen, die dir bei der Bearbeitung helfen.

Die Elfenbeinküste liegt in Westafrika, westlich von Ghana am Atlantischen Ozean. Das Land erstreckt sich von der Küste bis ins Landesinnere und bietet damit verschiedene Klimazonen.
Die Kakaoanbauregionen konzentrieren sich hauptsächlich im südlichen Teil des Landes. Hier herrschen die optimalen klimatischen Bedingungen mit ausreichend Niederschlag und konstanten Temperaturen.
Die bereitgestellten Atlaskarten zeigen dir die physischen Gegebenheiten, das Klima und die wirtschaftliche Nutzung. Besonders wichtig sind die Karten zu Landwirtschaft und Kakaoanbau.
🌍 Merke dir: Die Nationalparks sind von den Anbauregionen umgeben - ein wichtiger Aspekt für Umweltfragen bei nachhaltiger Entwicklung.

Der Kakaobaum ist ziemlich anspruchsvoll: Er braucht Temperaturen zwischen 24-28°C, eine Luftfeuchtigkeit von 80-90% und 1.500-2.000mm Niederschlag pro Jahr. In Plantagen wird er auf 4m gekürzt, obwohl er natürlich bis zu 18m hoch werden kann.
Die Ernte ist reine Handarbeit und sehr aufwendig. Nach vier Jahren gibt's die ersten Früchte, aber die höchsten Erträge kommen erst nach 10-20 Jahren. Das erklärt, warum viele Bauern langfristig planen müssen.
Bei den weltweiten Produktionszahlen dominiert die Elfenbeinküste mit 1,4 Millionen Tonnen deutlich. Ghana folgt mit 858.000 Tonnen, Indonesien mit 728.000 Tonnen.
⚠️ Problem: Über 90% der Plantagen sind nur 1-3 Hektar groß. Die Kleinbauern haben wenig Kapital und Wissen, verdienen nur etwa 0,50 US-$ pro Tag.

Die Elfenbeinküste hat etwa 23,3 Millionen Einwohner und kämpft mit großen sozialen Herausforderungen. Fast die Hälfte der Bevölkerung (46,3%) lebt in Armut - das sind Menschen, die weniger als 2 US-$ pro Tag haben.
Der Kakaoexport macht immer noch 37,8% aller Exporte aus, auch wenn der Anteil leicht sinkt. Das zeigt, wie abhängig das Land von diesem einen Produkt ist. Der Welthungerindex liegt bei 25 Punkten, was "leichten Hunger" bedeutet.
Politisch ist das Land seit 1999 instabil mit Krisen und Bürgerkriegen. Bis 2017 waren UN-Friedenstruppen im Land stationiert. Korruption ist ein großes Problem - das Land liegt auf Rang 108 von 172 im Korruptionsindex.
📊 Wichtig: 68% der Erwerbstätigen arbeiten im Agrarsektor, aber der trägt nur 23,7% zum Bruttoinlandsprodukt bei.

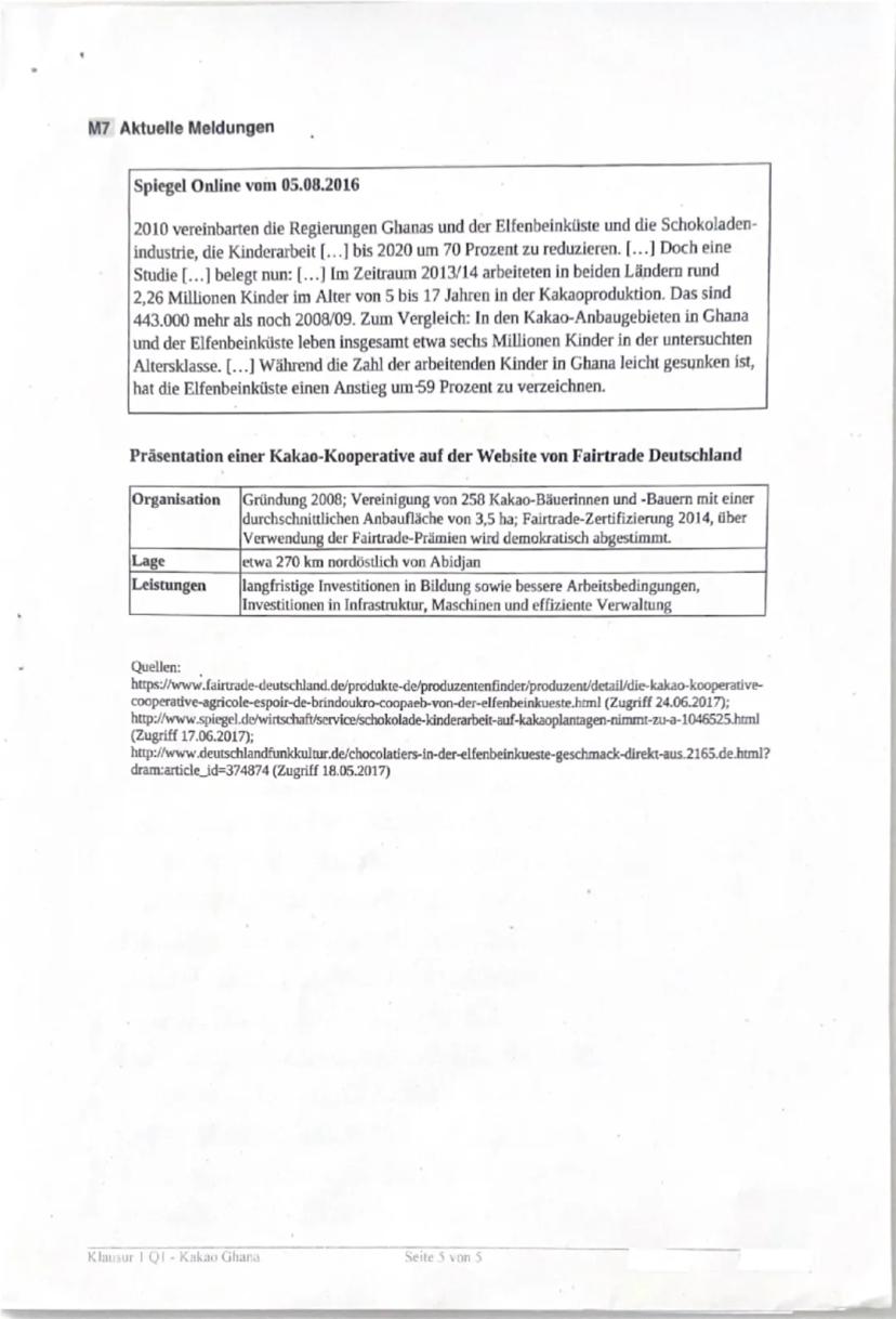
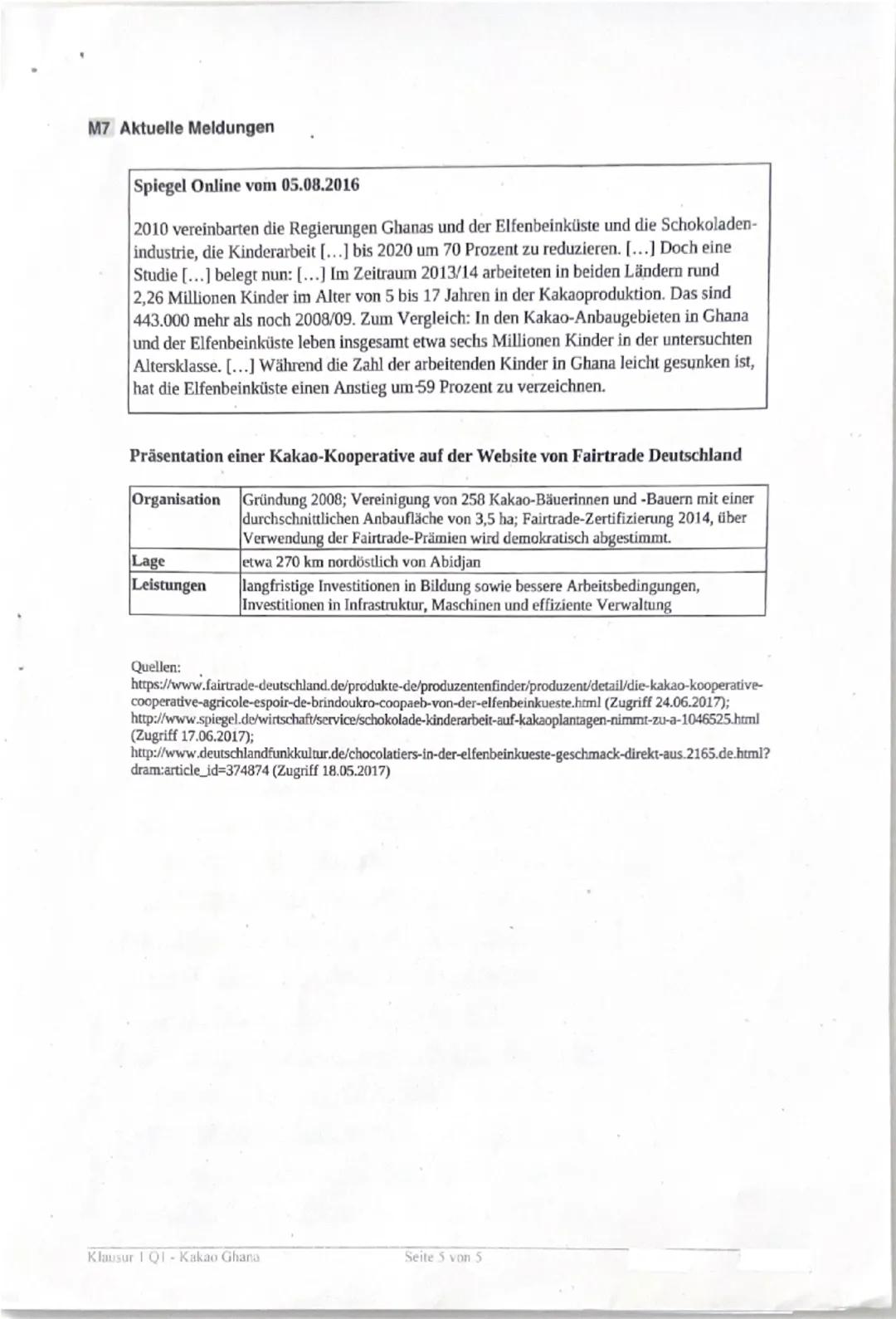
Das größte Problem ist die Kinderarbeit: Statt wie geplant um 70% zu sinken, ist sie in der Elfenbeinküste um 59% gestiegen! 2013/14 arbeiteten 2,26 Millionen Kinder zwischen 5 und 17 Jahren in der Kakaoproduktion.
Fair Trade zeigt einen Lösungsansatz: Die vorgestellte Kooperative vereint 258 Bauern mit durchschnittlich 3,5 Hektar. Seit der Fairtrade-Zertifizierung 2014 können sie langfristig in Bildung und bessere Arbeitsbedingungen investieren.
Über die Verwendung der Fairtrade-Prämien wird demokratisch abgestimmt. Das Geld fließt in Infrastruktur, Maschinen und effiziente Verwaltung.
🤝 Hoffnung: Fair Trade zeigt, dass nachhaltiger Kakaoanbau möglich ist - aber bisher erreicht er nur einen kleinen Teil der Produzenten.

Ein Schüler hat die geografische Lage korrekt beschrieben: Die Elfenbeinküste liegt in Westafrika, grenzt an Ghana und Liberia und hat Zugang zum Atlantischen Ozean. Die Sahara liegt nördlich davon.
Bei den Klimadaten von Grabo an der Küste zeigt sich das typische Tropenmuster: 25,9°C Jahresdurchschnittstemperatur und 2.382mm Niederschlag. Besonders der Juni ist regenreich mit 340mm.
Die Analyse der Anbaubedingungen ist richtig: Die Temperaturen zwischen 24-28°C und der Niederschlag von über 1.500mm erfüllen die Ansprüche des Kakaobaums perfekt. Nach vier Jahren Wachstum können die Bäume geerntet werden.
✅ Gut gemacht: Der Schüler hat die Verbindung zwischen Klimadaten und Anbauvoraussetzungen hergestellt.

Der Schüler erklärt richtig, dass die Elfenbeinküste mit 1,43 Millionen Tonnen weltgrößter Kakaoproduzent ist. Das macht den Kakaoanbau zur wichtigsten Einnahmequelle des Landes.
Die Exporteinnahmen durch Kakao sind tatsächlich relativ hoch und bringen dem Land dringend benötigte Devisen. Der Kakaoexport macht über ein Drittel aller Exporte aus.
Bei den sozialen Aspekten wird die zwiespältige Rolle deutlich: Einerseits entstehen viele Arbeitsplätze, andererseits führt das zu mehr Kinderarbeit. Die sozioökonomischen Daten zeigen leichte Verbesserungen bei Lebenserwartung und Einkommen.
⚡ Verbesserung: Die Antwort hätte die Probleme der einseitigen Abhängigkeit und niedrigen Wertschöpfung stärker betonen können.

Der Schüler nennt wichtige Vorteile nachhaltiger Entwicklung: Wirtschaftliche Stabilität durch höhere Einnahmen, Armutsbekämpfung besonders in ländlichen Gebieten und Umweltschutz durch Agroforstwirtschaft.
Fair Trade und Kooperativen werden als Lösungsansätze gegen Kinderarbeit und für soziale Verantwortung genannt. Das zeigt Verständnis für die komplexen Zusammenhänge.
Die Bedenken sind berechtigt: Umweltauswirkungen bleiben auch bei nachhaltigem Anbau bestehen, und Kinderarbeit sowie Armut sind hartnäckige Probleme.
🎯 Fazit: Die Balance zwischen Umweltschutz, sozialer Verantwortung und wirtschaftlicher Entwicklung ist der Schlüssel - aber alle Akteure müssen mithelfen.

Die Lokalisierung sollte geografische Koordinaten, Nachbarländer und die Lage der Kakaoanbaugebiete in der Südhälfte des Landes umfassen. Wichtig sind auch die klimatischen Bedingungen der humiden Warmtropen.
Für die wirtschaftliche Bedeutung musst du die kleinbäuerlichen Strukturen (unter 3 Hektar), die Rolle als Devisenquelle und die Abhängigkeit vom Weltmarkt erklären. Der hohe Beschäftigungsfaktor bei gleichzeitig geringem Einkommen ist ein Paradox.
Bei der nachhaltigen Entwicklung solltest du Lösungsansätze wie Kooperativen und Fair Trade gegen Probleme wie Kinderarbeit und einseitige Exportabhängigkeit abwägen. Die geringe Wertschöpfung im Land ist ein Kernproblem.
📝 Tipp: Verwende immer konkrete Zahlen aus den Materialien und verknüpfe verschiedene Aspekte miteinander.

Unser KI-Begleiter ist ein speziell für Schüler entwickeltes KI-Tool, das mehr als nur Antworten bietet. Basierend auf Millionen von Knowunity-Inhalten liefert er relevante Informationen, personalisierte Lernpläne, Quizze und Inhalte direkt im Chat und passt sich deinem individuellen Lernweg an.
Du kannst die App im Google Play Store und im Apple App Store herunterladen.
Genau! Genieße kostenlosen Zugang zu Lerninhalten, vernetze dich mit anderen Schülern und hol dir sofortige Hilfe – alles direkt auf deinem Handy.
Erdkunde LK Zusammenfassung aller Themen von 12 & 13 Klasse
App Store
Google Play
Die App ist sehr einfach zu bedienen und gut gestaltet. Ich habe bisher alles gefunden, wonach ich gesucht habe, und konnte viel aus den Präsentationen lernen! Ich werde die App definitiv für ein Schulprojekt nutzen! Und natürlich hilft sie auch sehr als Inspiration.
Stefan S
iOS-Nutzer
Diese App ist wirklich super. Es gibt so viele Lernzettel und Hilfen [...]. Mein Problemfach ist zum Beispiel Französisch und die App hat so viele Möglichkeiten zur Hilfe. Dank dieser App habe ich mich in Französisch verbessert. Ich würde sie jedem empfehlen.
Samantha Klich
Android-Nutzerin
Wow, ich bin wirklich begeistert. Ich habe die App einfach mal ausprobiert, weil ich sie schon oft beworben gesehen habe und war absolut beeindruckt. Diese App ist DIE HILFE, die man für die Schule braucht und vor allem bietet sie so viele Dinge wie Übungen und Lernzettel, die mir persönlich SEHR geholfen haben.
Anna
iOS-Nutzerin
Beste App der Welt! Keine Worte, weil sie einfach zu gut ist
Thomas R
iOS-Nutzer
Einfach genial. Lässt mich 10x besser lernen, diese App ist eine glatte 10/10. Ich empfehle sie jedem. Ich kann Lernzettel anschauen und suchen. Ich kann sie im Fachordner speichern. Ich kann sie jederzeit wiederholen, wenn ich zurückkomme. Wenn du diese App noch nicht ausprobiert hast, verpasst du wirklich was.
Basil
Android-Nutzer
Diese App hat mich so viel selbstbewusster in meiner Klausurvorbereitung gemacht, nicht nur durch die Stärkung meines Selbstvertrauens durch die Features, die es dir ermöglichen, dich mit anderen zu vernetzen und dich weniger allein zu fühlen, sondern auch durch die Art, wie die App selbst darauf ausgerichtet ist, dass du dich besser fühlst. Sie ist einfach zu bedienen, macht Spaß und hilft jedem, der in irgendeiner Weise Schwierigkeiten hat.
David K
iOS-Nutzer
Die App ist einfach super! Ich muss nur das Thema in die Suche eingeben und bekomme sofort eine Antwort. Ich muss nicht mehr 10 YouTube-Videos schauen, um etwas zu verstehen, und spare dadurch richtig viel Zeit. Sehr empfehlenswert!
Sudenaz Ocak
Android-Nutzerin
In der Schule war ich echt schlecht in Mathe, aber dank der App bin ich jetzt besser geworden. Ich bin so dankbar, dass ihr die App gemacht habt.
Greenlight Bonnie
Android-Nutzerin
sehr zuverlässige App, um deine Ideen in Mathe, Englisch und anderen verwandten Themen zu verbessern. bitte nutze diese App, wenn du in bestimmten Bereichen Schwierigkeiten hast, diese App ist dafür der Schlüssel. wünschte, ich hätte früher eine Bewertung geschrieben. und sie ist auch kostenlos, also mach dir darüber keine Sorgen.
Rohan U
Android-Nutzer
Ich weiß, dass viele Apps gefälschte Accounts nutzen, um ihre Bewertungen zu pushen, aber diese App verdient das alles. Ursprünglich hatte ich eine 4 in meinen Englisch-Klausuren und dieses Mal habe ich eine 2 bekommen. Ich wusste erst drei Tage vor der Klausur von dieser App und sie hat mir SEHR geholfen. Bitte vertrau mir wirklich und nutze sie, denn ich bin sicher, dass auch du Fortschritte sehen wirst.
Xander S
iOS-Nutzer
DIE QUIZZE UND KARTEIKARTEN SIND SO NÜTZLICH UND ICH LIEBE Knowunity KI. ES IST AUCH BUCHSTÄBLICH WIE CHATGPT ABER SCHLAUER!! HAT MIR AUCH BEI MEINEN MASCARA-PROBLEMEN GEHOLFEN!! SOWIE BEI MEINEN ECHTEN FÄCHERN! NATÜRLICH 😍😁😲🤑💗✨🎀😮
Elisha
iOS-Nutzer
Diese App ist echt der Hammer. Ich finde Lernen so langweilig, aber diese App macht es so einfach, alles zu organisieren und dann kannst du die kostenlose KI bitten, dich abzufragen, so gut, und du kannst einfach deine eigenen Sachen hochladen. sehr empfehlenswert als jemand, der gerade Probeklausuren schreibt
Paul T
iOS-Nutzer
Die App ist sehr einfach zu bedienen und gut gestaltet. Ich habe bisher alles gefunden, wonach ich gesucht habe, und konnte viel aus den Präsentationen lernen! Ich werde die App definitiv für ein Schulprojekt nutzen! Und natürlich hilft sie auch sehr als Inspiration.
Stefan S
iOS-Nutzer
Diese App ist wirklich super. Es gibt so viele Lernzettel und Hilfen [...]. Mein Problemfach ist zum Beispiel Französisch und die App hat so viele Möglichkeiten zur Hilfe. Dank dieser App habe ich mich in Französisch verbessert. Ich würde sie jedem empfehlen.
Samantha Klich
Android-Nutzerin
Wow, ich bin wirklich begeistert. Ich habe die App einfach mal ausprobiert, weil ich sie schon oft beworben gesehen habe und war absolut beeindruckt. Diese App ist DIE HILFE, die man für die Schule braucht und vor allem bietet sie so viele Dinge wie Übungen und Lernzettel, die mir persönlich SEHR geholfen haben.
Anna
iOS-Nutzerin
Beste App der Welt! Keine Worte, weil sie einfach zu gut ist
Thomas R
iOS-Nutzer
Einfach genial. Lässt mich 10x besser lernen, diese App ist eine glatte 10/10. Ich empfehle sie jedem. Ich kann Lernzettel anschauen und suchen. Ich kann sie im Fachordner speichern. Ich kann sie jederzeit wiederholen, wenn ich zurückkomme. Wenn du diese App noch nicht ausprobiert hast, verpasst du wirklich was.
Basil
Android-Nutzer
Diese App hat mich so viel selbstbewusster in meiner Klausurvorbereitung gemacht, nicht nur durch die Stärkung meines Selbstvertrauens durch die Features, die es dir ermöglichen, dich mit anderen zu vernetzen und dich weniger allein zu fühlen, sondern auch durch die Art, wie die App selbst darauf ausgerichtet ist, dass du dich besser fühlst. Sie ist einfach zu bedienen, macht Spaß und hilft jedem, der in irgendeiner Weise Schwierigkeiten hat.
David K
iOS-Nutzer
Die App ist einfach super! Ich muss nur das Thema in die Suche eingeben und bekomme sofort eine Antwort. Ich muss nicht mehr 10 YouTube-Videos schauen, um etwas zu verstehen, und spare dadurch richtig viel Zeit. Sehr empfehlenswert!
Sudenaz Ocak
Android-Nutzerin
In der Schule war ich echt schlecht in Mathe, aber dank der App bin ich jetzt besser geworden. Ich bin so dankbar, dass ihr die App gemacht habt.
Greenlight Bonnie
Android-Nutzerin
sehr zuverlässige App, um deine Ideen in Mathe, Englisch und anderen verwandten Themen zu verbessern. bitte nutze diese App, wenn du in bestimmten Bereichen Schwierigkeiten hast, diese App ist dafür der Schlüssel. wünschte, ich hätte früher eine Bewertung geschrieben. und sie ist auch kostenlos, also mach dir darüber keine Sorgen.
Rohan U
Android-Nutzer
Ich weiß, dass viele Apps gefälschte Accounts nutzen, um ihre Bewertungen zu pushen, aber diese App verdient das alles. Ursprünglich hatte ich eine 4 in meinen Englisch-Klausuren und dieses Mal habe ich eine 2 bekommen. Ich wusste erst drei Tage vor der Klausur von dieser App und sie hat mir SEHR geholfen. Bitte vertrau mir wirklich und nutze sie, denn ich bin sicher, dass auch du Fortschritte sehen wirst.
Xander S
iOS-Nutzer
DIE QUIZZE UND KARTEIKARTEN SIND SO NÜTZLICH UND ICH LIEBE Knowunity KI. ES IST AUCH BUCHSTÄBLICH WIE CHATGPT ABER SCHLAUER!! HAT MIR AUCH BEI MEINEN MASCARA-PROBLEMEN GEHOLFEN!! SOWIE BEI MEINEN ECHTEN FÄCHERN! NATÜRLICH 😍😁😲🤑💗✨🎀😮
Elisha
iOS-Nutzer
Diese App ist echt der Hammer. Ich finde Lernen so langweilig, aber diese App macht es so einfach, alles zu organisieren und dann kannst du die kostenlose KI bitten, dich abzufragen, so gut, und du kannst einfach deine eigenen Sachen hochladen. sehr empfehlenswert als jemand, der gerade Probeklausuren schreibt
Paul T
iOS-Nutzer
ceylin
@ceylin_drnt9
Kakao ist nicht nur die Basis unserer Lieblings-Schokolade, sondern auch ein entscheidender Wirtschaftsfaktor für viele Entwicklungsländer. Die Elfenbeinküste dominiert als weltgrößter Kakaoproduzent den globalen Markt und zeigt dabei alle Herausforderungen auf, die mit nachhaltiger landwirtschaftlicher Entwicklung verbunden sind.

Zugriff auf alle Dokumente
Verbessere deine Noten
Schließ dich Millionen Schülern an
Du sollst in dieser Klausur drei zentrale Aspekte des Kakaoanbaus in der Elfenbeinküste bearbeiten. Zunächst geht es um die geografische Lage und die naturgeographischen Voraussetzungen für den Anbau.
Danach analysierst du die wirtschaftliche Bedeutung des Kakaoanbaus für das Land. Die Elfenbeinküste ist mit über 1,4 Millionen Tonnen jährlich der weltgrößte Kakaoproduzent und damit deutlich vor Ghana und Indonesien.
💡 Tipp: Bei der Erörterung nachhaltiger Entwicklungsperspektiven solltest du sowohl Chancen als auch Probleme wie Kinderarbeit und Umweltschutz berücksichtigen.
Die bereitgestellten Materialien umfassen Atlaskarten, Klimadaten und aktuelle sozioökonomische Informationen, die dir bei der Bearbeitung helfen.

Zugriff auf alle Dokumente
Verbessere deine Noten
Schließ dich Millionen Schülern an
Die Elfenbeinküste liegt in Westafrika, westlich von Ghana am Atlantischen Ozean. Das Land erstreckt sich von der Küste bis ins Landesinnere und bietet damit verschiedene Klimazonen.
Die Kakaoanbauregionen konzentrieren sich hauptsächlich im südlichen Teil des Landes. Hier herrschen die optimalen klimatischen Bedingungen mit ausreichend Niederschlag und konstanten Temperaturen.
Die bereitgestellten Atlaskarten zeigen dir die physischen Gegebenheiten, das Klima und die wirtschaftliche Nutzung. Besonders wichtig sind die Karten zu Landwirtschaft und Kakaoanbau.
🌍 Merke dir: Die Nationalparks sind von den Anbauregionen umgeben - ein wichtiger Aspekt für Umweltfragen bei nachhaltiger Entwicklung.

Zugriff auf alle Dokumente
Verbessere deine Noten
Schließ dich Millionen Schülern an
Der Kakaobaum ist ziemlich anspruchsvoll: Er braucht Temperaturen zwischen 24-28°C, eine Luftfeuchtigkeit von 80-90% und 1.500-2.000mm Niederschlag pro Jahr. In Plantagen wird er auf 4m gekürzt, obwohl er natürlich bis zu 18m hoch werden kann.
Die Ernte ist reine Handarbeit und sehr aufwendig. Nach vier Jahren gibt's die ersten Früchte, aber die höchsten Erträge kommen erst nach 10-20 Jahren. Das erklärt, warum viele Bauern langfristig planen müssen.
Bei den weltweiten Produktionszahlen dominiert die Elfenbeinküste mit 1,4 Millionen Tonnen deutlich. Ghana folgt mit 858.000 Tonnen, Indonesien mit 728.000 Tonnen.
⚠️ Problem: Über 90% der Plantagen sind nur 1-3 Hektar groß. Die Kleinbauern haben wenig Kapital und Wissen, verdienen nur etwa 0,50 US-$ pro Tag.

Zugriff auf alle Dokumente
Verbessere deine Noten
Schließ dich Millionen Schülern an
Die Elfenbeinküste hat etwa 23,3 Millionen Einwohner und kämpft mit großen sozialen Herausforderungen. Fast die Hälfte der Bevölkerung (46,3%) lebt in Armut - das sind Menschen, die weniger als 2 US-$ pro Tag haben.
Der Kakaoexport macht immer noch 37,8% aller Exporte aus, auch wenn der Anteil leicht sinkt. Das zeigt, wie abhängig das Land von diesem einen Produkt ist. Der Welthungerindex liegt bei 25 Punkten, was "leichten Hunger" bedeutet.
Politisch ist das Land seit 1999 instabil mit Krisen und Bürgerkriegen. Bis 2017 waren UN-Friedenstruppen im Land stationiert. Korruption ist ein großes Problem - das Land liegt auf Rang 108 von 172 im Korruptionsindex.
📊 Wichtig: 68% der Erwerbstätigen arbeiten im Agrarsektor, aber der trägt nur 23,7% zum Bruttoinlandsprodukt bei.

Zugriff auf alle Dokumente
Verbessere deine Noten
Schließ dich Millionen Schülern an
Das größte Problem ist die Kinderarbeit: Statt wie geplant um 70% zu sinken, ist sie in der Elfenbeinküste um 59% gestiegen! 2013/14 arbeiteten 2,26 Millionen Kinder zwischen 5 und 17 Jahren in der Kakaoproduktion.
Fair Trade zeigt einen Lösungsansatz: Die vorgestellte Kooperative vereint 258 Bauern mit durchschnittlich 3,5 Hektar. Seit der Fairtrade-Zertifizierung 2014 können sie langfristig in Bildung und bessere Arbeitsbedingungen investieren.
Über die Verwendung der Fairtrade-Prämien wird demokratisch abgestimmt. Das Geld fließt in Infrastruktur, Maschinen und effiziente Verwaltung.
🤝 Hoffnung: Fair Trade zeigt, dass nachhaltiger Kakaoanbau möglich ist - aber bisher erreicht er nur einen kleinen Teil der Produzenten.

Zugriff auf alle Dokumente
Verbessere deine Noten
Schließ dich Millionen Schülern an
Ein Schüler hat die geografische Lage korrekt beschrieben: Die Elfenbeinküste liegt in Westafrika, grenzt an Ghana und Liberia und hat Zugang zum Atlantischen Ozean. Die Sahara liegt nördlich davon.
Bei den Klimadaten von Grabo an der Küste zeigt sich das typische Tropenmuster: 25,9°C Jahresdurchschnittstemperatur und 2.382mm Niederschlag. Besonders der Juni ist regenreich mit 340mm.
Die Analyse der Anbaubedingungen ist richtig: Die Temperaturen zwischen 24-28°C und der Niederschlag von über 1.500mm erfüllen die Ansprüche des Kakaobaums perfekt. Nach vier Jahren Wachstum können die Bäume geerntet werden.
✅ Gut gemacht: Der Schüler hat die Verbindung zwischen Klimadaten und Anbauvoraussetzungen hergestellt.

Zugriff auf alle Dokumente
Verbessere deine Noten
Schließ dich Millionen Schülern an
Der Schüler erklärt richtig, dass die Elfenbeinküste mit 1,43 Millionen Tonnen weltgrößter Kakaoproduzent ist. Das macht den Kakaoanbau zur wichtigsten Einnahmequelle des Landes.
Die Exporteinnahmen durch Kakao sind tatsächlich relativ hoch und bringen dem Land dringend benötigte Devisen. Der Kakaoexport macht über ein Drittel aller Exporte aus.
Bei den sozialen Aspekten wird die zwiespältige Rolle deutlich: Einerseits entstehen viele Arbeitsplätze, andererseits führt das zu mehr Kinderarbeit. Die sozioökonomischen Daten zeigen leichte Verbesserungen bei Lebenserwartung und Einkommen.
⚡ Verbesserung: Die Antwort hätte die Probleme der einseitigen Abhängigkeit und niedrigen Wertschöpfung stärker betonen können.

Zugriff auf alle Dokumente
Verbessere deine Noten
Schließ dich Millionen Schülern an
Der Schüler nennt wichtige Vorteile nachhaltiger Entwicklung: Wirtschaftliche Stabilität durch höhere Einnahmen, Armutsbekämpfung besonders in ländlichen Gebieten und Umweltschutz durch Agroforstwirtschaft.
Fair Trade und Kooperativen werden als Lösungsansätze gegen Kinderarbeit und für soziale Verantwortung genannt. Das zeigt Verständnis für die komplexen Zusammenhänge.
Die Bedenken sind berechtigt: Umweltauswirkungen bleiben auch bei nachhaltigem Anbau bestehen, und Kinderarbeit sowie Armut sind hartnäckige Probleme.
🎯 Fazit: Die Balance zwischen Umweltschutz, sozialer Verantwortung und wirtschaftlicher Entwicklung ist der Schlüssel - aber alle Akteure müssen mithelfen.

Zugriff auf alle Dokumente
Verbessere deine Noten
Schließ dich Millionen Schülern an
Die Lokalisierung sollte geografische Koordinaten, Nachbarländer und die Lage der Kakaoanbaugebiete in der Südhälfte des Landes umfassen. Wichtig sind auch die klimatischen Bedingungen der humiden Warmtropen.
Für die wirtschaftliche Bedeutung musst du die kleinbäuerlichen Strukturen (unter 3 Hektar), die Rolle als Devisenquelle und die Abhängigkeit vom Weltmarkt erklären. Der hohe Beschäftigungsfaktor bei gleichzeitig geringem Einkommen ist ein Paradox.
Bei der nachhaltigen Entwicklung solltest du Lösungsansätze wie Kooperativen und Fair Trade gegen Probleme wie Kinderarbeit und einseitige Exportabhängigkeit abwägen. Die geringe Wertschöpfung im Land ist ein Kernproblem.
📝 Tipp: Verwende immer konkrete Zahlen aus den Materialien und verknüpfe verschiedene Aspekte miteinander.

Zugriff auf alle Dokumente
Verbessere deine Noten
Schließ dich Millionen Schülern an
Unser KI-Begleiter ist ein speziell für Schüler entwickeltes KI-Tool, das mehr als nur Antworten bietet. Basierend auf Millionen von Knowunity-Inhalten liefert er relevante Informationen, personalisierte Lernpläne, Quizze und Inhalte direkt im Chat und passt sich deinem individuellen Lernweg an.
Du kannst die App im Google Play Store und im Apple App Store herunterladen.
Genau! Genieße kostenlosen Zugang zu Lerninhalten, vernetze dich mit anderen Schülern und hol dir sofortige Hilfe – alles direkt auf deinem Handy.
4
Smart Tools NEU
Verwandle diesen Lernzettel in: ✓ 50+ Übungsfragen ✓ Interaktive Karteikarten ✓ Komplette Probeklausur ✓ Aufsatzgliederungen
Erdkunde LK Zusammenfassung aller Themen von 12 & 13 Klasse
App Store
Google Play
Die App ist sehr einfach zu bedienen und gut gestaltet. Ich habe bisher alles gefunden, wonach ich gesucht habe, und konnte viel aus den Präsentationen lernen! Ich werde die App definitiv für ein Schulprojekt nutzen! Und natürlich hilft sie auch sehr als Inspiration.
Stefan S
iOS-Nutzer
Diese App ist wirklich super. Es gibt so viele Lernzettel und Hilfen [...]. Mein Problemfach ist zum Beispiel Französisch und die App hat so viele Möglichkeiten zur Hilfe. Dank dieser App habe ich mich in Französisch verbessert. Ich würde sie jedem empfehlen.
Samantha Klich
Android-Nutzerin
Wow, ich bin wirklich begeistert. Ich habe die App einfach mal ausprobiert, weil ich sie schon oft beworben gesehen habe und war absolut beeindruckt. Diese App ist DIE HILFE, die man für die Schule braucht und vor allem bietet sie so viele Dinge wie Übungen und Lernzettel, die mir persönlich SEHR geholfen haben.
Anna
iOS-Nutzerin
Beste App der Welt! Keine Worte, weil sie einfach zu gut ist
Thomas R
iOS-Nutzer
Einfach genial. Lässt mich 10x besser lernen, diese App ist eine glatte 10/10. Ich empfehle sie jedem. Ich kann Lernzettel anschauen und suchen. Ich kann sie im Fachordner speichern. Ich kann sie jederzeit wiederholen, wenn ich zurückkomme. Wenn du diese App noch nicht ausprobiert hast, verpasst du wirklich was.
Basil
Android-Nutzer
Diese App hat mich so viel selbstbewusster in meiner Klausurvorbereitung gemacht, nicht nur durch die Stärkung meines Selbstvertrauens durch die Features, die es dir ermöglichen, dich mit anderen zu vernetzen und dich weniger allein zu fühlen, sondern auch durch die Art, wie die App selbst darauf ausgerichtet ist, dass du dich besser fühlst. Sie ist einfach zu bedienen, macht Spaß und hilft jedem, der in irgendeiner Weise Schwierigkeiten hat.
David K
iOS-Nutzer
Die App ist einfach super! Ich muss nur das Thema in die Suche eingeben und bekomme sofort eine Antwort. Ich muss nicht mehr 10 YouTube-Videos schauen, um etwas zu verstehen, und spare dadurch richtig viel Zeit. Sehr empfehlenswert!
Sudenaz Ocak
Android-Nutzerin
In der Schule war ich echt schlecht in Mathe, aber dank der App bin ich jetzt besser geworden. Ich bin so dankbar, dass ihr die App gemacht habt.
Greenlight Bonnie
Android-Nutzerin
sehr zuverlässige App, um deine Ideen in Mathe, Englisch und anderen verwandten Themen zu verbessern. bitte nutze diese App, wenn du in bestimmten Bereichen Schwierigkeiten hast, diese App ist dafür der Schlüssel. wünschte, ich hätte früher eine Bewertung geschrieben. und sie ist auch kostenlos, also mach dir darüber keine Sorgen.
Rohan U
Android-Nutzer
Ich weiß, dass viele Apps gefälschte Accounts nutzen, um ihre Bewertungen zu pushen, aber diese App verdient das alles. Ursprünglich hatte ich eine 4 in meinen Englisch-Klausuren und dieses Mal habe ich eine 2 bekommen. Ich wusste erst drei Tage vor der Klausur von dieser App und sie hat mir SEHR geholfen. Bitte vertrau mir wirklich und nutze sie, denn ich bin sicher, dass auch du Fortschritte sehen wirst.
Xander S
iOS-Nutzer
DIE QUIZZE UND KARTEIKARTEN SIND SO NÜTZLICH UND ICH LIEBE Knowunity KI. ES IST AUCH BUCHSTÄBLICH WIE CHATGPT ABER SCHLAUER!! HAT MIR AUCH BEI MEINEN MASCARA-PROBLEMEN GEHOLFEN!! SOWIE BEI MEINEN ECHTEN FÄCHERN! NATÜRLICH 😍😁😲🤑💗✨🎀😮
Elisha
iOS-Nutzer
Diese App ist echt der Hammer. Ich finde Lernen so langweilig, aber diese App macht es so einfach, alles zu organisieren und dann kannst du die kostenlose KI bitten, dich abzufragen, so gut, und du kannst einfach deine eigenen Sachen hochladen. sehr empfehlenswert als jemand, der gerade Probeklausuren schreibt
Paul T
iOS-Nutzer
Die App ist sehr einfach zu bedienen und gut gestaltet. Ich habe bisher alles gefunden, wonach ich gesucht habe, und konnte viel aus den Präsentationen lernen! Ich werde die App definitiv für ein Schulprojekt nutzen! Und natürlich hilft sie auch sehr als Inspiration.
Stefan S
iOS-Nutzer
Diese App ist wirklich super. Es gibt so viele Lernzettel und Hilfen [...]. Mein Problemfach ist zum Beispiel Französisch und die App hat so viele Möglichkeiten zur Hilfe. Dank dieser App habe ich mich in Französisch verbessert. Ich würde sie jedem empfehlen.
Samantha Klich
Android-Nutzerin
Wow, ich bin wirklich begeistert. Ich habe die App einfach mal ausprobiert, weil ich sie schon oft beworben gesehen habe und war absolut beeindruckt. Diese App ist DIE HILFE, die man für die Schule braucht und vor allem bietet sie so viele Dinge wie Übungen und Lernzettel, die mir persönlich SEHR geholfen haben.
Anna
iOS-Nutzerin
Beste App der Welt! Keine Worte, weil sie einfach zu gut ist
Thomas R
iOS-Nutzer
Einfach genial. Lässt mich 10x besser lernen, diese App ist eine glatte 10/10. Ich empfehle sie jedem. Ich kann Lernzettel anschauen und suchen. Ich kann sie im Fachordner speichern. Ich kann sie jederzeit wiederholen, wenn ich zurückkomme. Wenn du diese App noch nicht ausprobiert hast, verpasst du wirklich was.
Basil
Android-Nutzer
Diese App hat mich so viel selbstbewusster in meiner Klausurvorbereitung gemacht, nicht nur durch die Stärkung meines Selbstvertrauens durch die Features, die es dir ermöglichen, dich mit anderen zu vernetzen und dich weniger allein zu fühlen, sondern auch durch die Art, wie die App selbst darauf ausgerichtet ist, dass du dich besser fühlst. Sie ist einfach zu bedienen, macht Spaß und hilft jedem, der in irgendeiner Weise Schwierigkeiten hat.
David K
iOS-Nutzer
Die App ist einfach super! Ich muss nur das Thema in die Suche eingeben und bekomme sofort eine Antwort. Ich muss nicht mehr 10 YouTube-Videos schauen, um etwas zu verstehen, und spare dadurch richtig viel Zeit. Sehr empfehlenswert!
Sudenaz Ocak
Android-Nutzerin
In der Schule war ich echt schlecht in Mathe, aber dank der App bin ich jetzt besser geworden. Ich bin so dankbar, dass ihr die App gemacht habt.
Greenlight Bonnie
Android-Nutzerin
sehr zuverlässige App, um deine Ideen in Mathe, Englisch und anderen verwandten Themen zu verbessern. bitte nutze diese App, wenn du in bestimmten Bereichen Schwierigkeiten hast, diese App ist dafür der Schlüssel. wünschte, ich hätte früher eine Bewertung geschrieben. und sie ist auch kostenlos, also mach dir darüber keine Sorgen.
Rohan U
Android-Nutzer
Ich weiß, dass viele Apps gefälschte Accounts nutzen, um ihre Bewertungen zu pushen, aber diese App verdient das alles. Ursprünglich hatte ich eine 4 in meinen Englisch-Klausuren und dieses Mal habe ich eine 2 bekommen. Ich wusste erst drei Tage vor der Klausur von dieser App und sie hat mir SEHR geholfen. Bitte vertrau mir wirklich und nutze sie, denn ich bin sicher, dass auch du Fortschritte sehen wirst.
Xander S
iOS-Nutzer
DIE QUIZZE UND KARTEIKARTEN SIND SO NÜTZLICH UND ICH LIEBE Knowunity KI. ES IST AUCH BUCHSTÄBLICH WIE CHATGPT ABER SCHLAUER!! HAT MIR AUCH BEI MEINEN MASCARA-PROBLEMEN GEHOLFEN!! SOWIE BEI MEINEN ECHTEN FÄCHERN! NATÜRLICH 😍😁😲🤑💗✨🎀😮
Elisha
iOS-Nutzer
Diese App ist echt der Hammer. Ich finde Lernen so langweilig, aber diese App macht es so einfach, alles zu organisieren und dann kannst du die kostenlose KI bitten, dich abzufragen, so gut, und du kannst einfach deine eigenen Sachen hochladen. sehr empfehlenswert als jemand, der gerade Probeklausuren schreibt
Paul T
iOS-Nutzer