Die Minimalkostenkombination ist ein wichtiges Konzept in der Wirtschaftslehre, das... Mehr anzeigen
Melde dich an, um den Inhalt zu sehenKostenlos!
Zugriff auf alle Dokumente
Verbessere deine Noten
Schließ dich Millionen Schülern an
Knowunity KI
Fächer
Triangle Congruence and Similarity Theorems
Triangle Properties and Classification
Linear Equations and Graphs
Geometric Angle Relationships
Trigonometric Functions and Identities
Equation Solving Techniques
Circle Geometry Fundamentals
Division Operations and Methods
Basic Differentiation Rules
Exponent and Logarithm Properties
Alle Themen anzeigen
Human Organ Systems
Reproductive Cell Cycles
Biological Sciences Subdisciplines
Cellular Energy Metabolism
Autotrophic Energy Processes
Inheritance Patterns and Principles
Biomolecular Structure and Organization
Cell Cycle and Division Mechanics
Cellular Organization and Development
Biological Structural Organization
Alle Themen anzeigen
Chemical Sciences and Applications
Atomic Structure and Composition
Molecular Electron Structure Representation
Atomic Electron Behavior
Matter Properties and Water
Mole Concept and Calculations
Gas Laws and Behavior
Periodic Table Organization
Chemical Thermodynamics Fundamentals
Chemical Bond Types and Properties
Alle Themen anzeigen
European Renaissance and Enlightenment
European Cultural Movements 800-1920
American Revolution Era 1763-1797
American Civil War 1861-1865
Global Imperial Systems
Mongol and Chinese Dynasties
U.S. Presidents and World Leaders
Historical Sources and Documentation
World Wars Era and Impact
World Religious Systems
Alle Themen anzeigen
Classic and Contemporary Novels
Literary Character Analysis
Rhetorical Theory and Practice
Classic Literary Narratives
Reading Analysis and Interpretation
Narrative Structure and Techniques
English Language Components
Influential English-Language Authors
Basic Sentence Structure
Narrative Voice and Perspective
Alle Themen anzeigen
619
•
Aktualisiert Mar 14, 2026
•
Sarah
@zankxs
Die Minimalkostenkombination ist ein wichtiges Konzept in der Wirtschaftslehre, das... Mehr anzeigen







Isoquanten sind deine neuen besten Freunde, wenn es um Produktionsoptimierung geht! Eine Isoquante zeigt alle möglichen Kombinationen zweier Produktionsfaktoren (wie Arbeit und Kapital), die zur gleichen Produktionsmenge führen.
Die mathematische Formel lautet: Ip(x) = a/ + c. Hier bestimmen die Parameter a, b und c die Form und Position der Kurve. Der Parameter |a| steuert die Dehnung, b verschiebt die Kurve horizontal und c vertikal.
Wichtig für dich: Der Definitionsbereich ist D_def(Ip) = (b; ∞) und der Wertebereich W_def(Ip) = (c; ∞). Die Polgerade x = b und die Asymptote y = c helfen dir beim Zeichnen der Kurve.
Merktipp: Isoquanten haben immer eine negative Steigung - wenn du mehr von einem Faktor einsetzt, brauchst du weniger vom anderen!

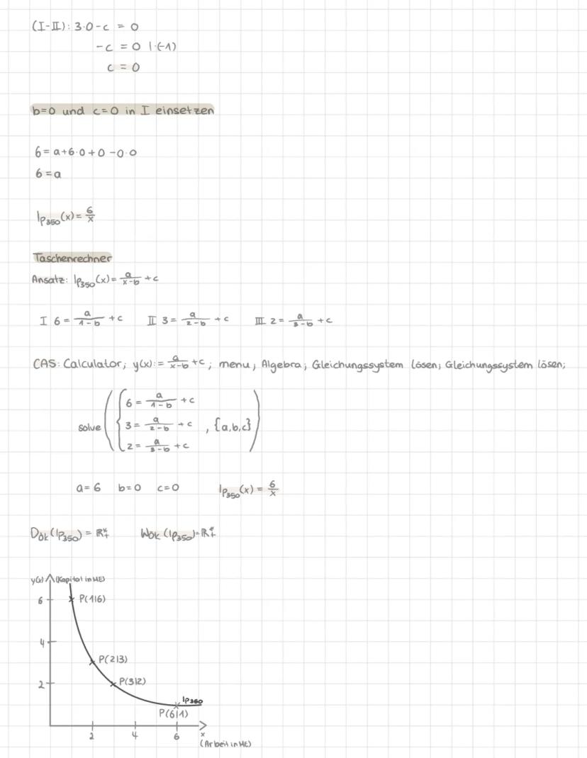
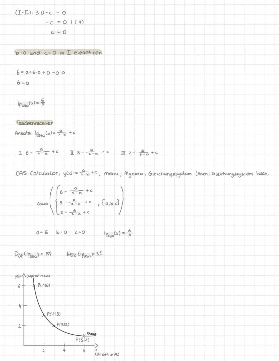
Mit drei gegebenen Punkten kannst du jede Isoquantengleichung bestimmen. Du setzt die Punkte in die allgemeine Form ein und löst das entstehende Gleichungssystem - entweder algebraisch oder mit dem CAS-Rechner.
Das Beispiel zeigt: Für einen Output von 350 ME ergeben die Punkte P₁(1|6), P₂(2|3) und P₃(3|2) die Gleichung Ip₃₅₀(x) = 6/x. Nach dem Einsetzen und Auflösen erhältst du a = 6, b = 0 und c = 0.
Der ökonomisch sinnvolle Bereich umfasst nur positive Werte: D_ok = ℝ⁺ und W_ok = ℝ⁺, da negative Produktionsfaktoren unrealistisch sind.
Praxis-Tipp: Nutze den CAS-Rechner für komplexere Gleichungssysteme - das spart Zeit und reduziert Rechenfehler!

Der CAS-Rechner macht die Berechnung von Isoquanten zum Kinderspiel! Du gibst einfach die drei Gleichungen ein und lässt das Gleichungssystem automatisch lösen.
Mit dem Befehl "solve" und den drei Punktgleichungen erhältst du direkt: a = 6, b = 0, c = 0. Daraus folgt die Isoquantengleichung Ip₃₅₀(x) = 6/x.
Die grafische Darstellung zeigt eine typische Hyperbel, die durch alle gegebenen Produktionspunkte verläuft. Jeder Punkt auf dieser Kurve repräsentiert eine andere Faktorkombination für dieselbe Produktionsmenge.
Zeitsparer: Die CAS-Funktion "solve" löst auch komplizierte Gleichungssysteme mit mehreren Unbekannten in Sekunden!

Isokostengeraden zeigen dir alle Faktorkombinationen, die dasselbe kosten. Die allgemeine Form lautet: Ik(x) = -Px/Py · x + K/Py, wobei Px und Py die Faktorpreise und K das Kostenbudget darstellen.
Bei Faktorpreisen von Px = 10 GE/ME für Arbeit und Py = 15 GE/ME für Kapital mit einem Budget von K = 75 GE ergibt sich: Ik₇₅(x) = -2/3x + 5.
Die Steigung -Px/Py bleibt konstant, während sich nur der y-Achsenabschnitt K/Py ändert. Eine Budgeterhöhung verschiebt die Gerade nach oben, eine Senkung nach unten.
Merkhilfe: Die Steigung der Isokostengerade entspricht immer dem negativen Preisverhältnis der beiden Faktoren!

Die Schnittpunkte zwischen Isoquante und Isokostengerade zeigen mögliche Produktionskombinationen für ein bestimmtes Budget. Mit verschiedenen Kostenbudgets (K₇₅, K₆₀, K₄₅) erhältst du unterschiedliche Ergebnisse.
Bei K = 75 GE gibt es zwei Schnittpunkte: S₁(1,5|4) und S₂(6|1). Bei K = 60 GE berührt die Isokostengerade die Isoquante nur noch in einem Punkt B(3|2) - das ist bereits die optimale Lösung!
Mit K = 45 GE gibt es keinen Schnittpunkt mehr, da das Budget zu gering ist. Die Minimalkostenkombination liegt genau beim Berührpunkt, wo beide Kurven dieselbe Steigung haben.
Ökonomische Bedeutung: Der Berührpunkt zeigt die kostengünstigste Produktion - weniger Budget macht die gewünschte Produktionsmenge unmöglich!

Die Minimalkostenkombination findest du, indem du die Steigungen von Isoquante und Isokostengerade gleichsetzt: Ik' = Ip'.
Für Ip(x) = 6/x ist die Ableitung Ip'(x) = -6/x². Gleichgesetzt mit der Steigung -2/3 ergibt sich: x = 3 und y = 2. Die optimale Faktorkombination ist also B(3|2).
Die minimalen Kosten berechnest du mit K = x·Px + y·Py = 3·10 + 2·15 = 60 GE. Die zugehörige Isokostengerade hat die Gleichung Ik(x) = -2/3x + 4.
Diese Lösung kannst du mit dem CAS-Rechner über die Tangentenfunktion überprüfen: "tangent Line" gibt dir direkt die Berührungsgerade an.
Erfolgsformel: Minimalkostenkombination = gleiche Steigungen von Isoquante und Isokostengerade!
Unser KI-Begleiter ist ein speziell für Schüler entwickeltes KI-Tool, das mehr als nur Antworten bietet. Basierend auf Millionen von Knowunity-Inhalten liefert er relevante Informationen, personalisierte Lernpläne, Quizze und Inhalte direkt im Chat und passt sich deinem individuellen Lernweg an.
Du kannst die App im Google Play Store und im Apple App Store herunterladen.
Genau! Genieße kostenlosen Zugang zu Lerninhalten, vernetze dich mit anderen Schülern und hol dir sofortige Hilfe – alles direkt auf deinem Handy.
App Store
Google Play
Die App ist sehr einfach zu bedienen und gut gestaltet. Ich habe bisher alles gefunden, wonach ich gesucht habe, und konnte viel aus den Präsentationen lernen! Ich werde die App definitiv für ein Schulprojekt nutzen! Und natürlich hilft sie auch sehr als Inspiration.
Stefan S
iOS-Nutzer
Diese App ist wirklich super. Es gibt so viele Lernzettel und Hilfen [...]. Mein Problemfach ist zum Beispiel Französisch und die App hat so viele Möglichkeiten zur Hilfe. Dank dieser App habe ich mich in Französisch verbessert. Ich würde sie jedem empfehlen.
Samantha Klich
Android-Nutzerin
Wow, ich bin wirklich begeistert. Ich habe die App einfach mal ausprobiert, weil ich sie schon oft beworben gesehen habe und war absolut beeindruckt. Diese App ist DIE HILFE, die man für die Schule braucht und vor allem bietet sie so viele Dinge wie Übungen und Lernzettel, die mir persönlich SEHR geholfen haben.
Anna
iOS-Nutzerin
Beste App der Welt! Keine Worte, weil sie einfach zu gut ist
Thomas R
iOS-Nutzer
Einfach genial. Lässt mich 10x besser lernen, diese App ist eine glatte 10/10. Ich empfehle sie jedem. Ich kann Lernzettel anschauen und suchen. Ich kann sie im Fachordner speichern. Ich kann sie jederzeit wiederholen, wenn ich zurückkomme. Wenn du diese App noch nicht ausprobiert hast, verpasst du wirklich was.
Basil
Android-Nutzer
Diese App hat mich so viel selbstbewusster in meiner Klausurvorbereitung gemacht, nicht nur durch die Stärkung meines Selbstvertrauens durch die Features, die es dir ermöglichen, dich mit anderen zu vernetzen und dich weniger allein zu fühlen, sondern auch durch die Art, wie die App selbst darauf ausgerichtet ist, dass du dich besser fühlst. Sie ist einfach zu bedienen, macht Spaß und hilft jedem, der in irgendeiner Weise Schwierigkeiten hat.
David K
iOS-Nutzer
Die App ist einfach super! Ich muss nur das Thema in die Suche eingeben und bekomme sofort eine Antwort. Ich muss nicht mehr 10 YouTube-Videos schauen, um etwas zu verstehen, und spare dadurch richtig viel Zeit. Sehr empfehlenswert!
Sudenaz Ocak
Android-Nutzerin
In der Schule war ich echt schlecht in Mathe, aber dank der App bin ich jetzt besser geworden. Ich bin so dankbar, dass ihr die App gemacht habt.
Greenlight Bonnie
Android-Nutzerin
sehr zuverlässige App, um deine Ideen in Mathe, Englisch und anderen verwandten Themen zu verbessern. bitte nutze diese App, wenn du in bestimmten Bereichen Schwierigkeiten hast, diese App ist dafür der Schlüssel. wünschte, ich hätte früher eine Bewertung geschrieben. und sie ist auch kostenlos, also mach dir darüber keine Sorgen.
Rohan U
Android-Nutzer
Ich weiß, dass viele Apps gefälschte Accounts nutzen, um ihre Bewertungen zu pushen, aber diese App verdient das alles. Ursprünglich hatte ich eine 4 in meinen Englisch-Klausuren und dieses Mal habe ich eine 2 bekommen. Ich wusste erst drei Tage vor der Klausur von dieser App und sie hat mir SEHR geholfen. Bitte vertrau mir wirklich und nutze sie, denn ich bin sicher, dass auch du Fortschritte sehen wirst.
Xander S
iOS-Nutzer
DIE QUIZZE UND KARTEIKARTEN SIND SO NÜTZLICH UND ICH LIEBE Knowunity KI. ES IST AUCH BUCHSTÄBLICH WIE CHATGPT ABER SCHLAUER!! HAT MIR AUCH BEI MEINEN MASCARA-PROBLEMEN GEHOLFEN!! SOWIE BEI MEINEN ECHTEN FÄCHERN! NATÜRLICH 😍😁😲🤑💗✨🎀😮
Elisha
iOS-Nutzer
Diese App ist echt der Hammer. Ich finde Lernen so langweilig, aber diese App macht es so einfach, alles zu organisieren und dann kannst du die kostenlose KI bitten, dich abzufragen, so gut, und du kannst einfach deine eigenen Sachen hochladen. sehr empfehlenswert als jemand, der gerade Probeklausuren schreibt
Paul T
iOS-Nutzer
Die App ist sehr einfach zu bedienen und gut gestaltet. Ich habe bisher alles gefunden, wonach ich gesucht habe, und konnte viel aus den Präsentationen lernen! Ich werde die App definitiv für ein Schulprojekt nutzen! Und natürlich hilft sie auch sehr als Inspiration.
Stefan S
iOS-Nutzer
Diese App ist wirklich super. Es gibt so viele Lernzettel und Hilfen [...]. Mein Problemfach ist zum Beispiel Französisch und die App hat so viele Möglichkeiten zur Hilfe. Dank dieser App habe ich mich in Französisch verbessert. Ich würde sie jedem empfehlen.
Samantha Klich
Android-Nutzerin
Wow, ich bin wirklich begeistert. Ich habe die App einfach mal ausprobiert, weil ich sie schon oft beworben gesehen habe und war absolut beeindruckt. Diese App ist DIE HILFE, die man für die Schule braucht und vor allem bietet sie so viele Dinge wie Übungen und Lernzettel, die mir persönlich SEHR geholfen haben.
Anna
iOS-Nutzerin
Beste App der Welt! Keine Worte, weil sie einfach zu gut ist
Thomas R
iOS-Nutzer
Einfach genial. Lässt mich 10x besser lernen, diese App ist eine glatte 10/10. Ich empfehle sie jedem. Ich kann Lernzettel anschauen und suchen. Ich kann sie im Fachordner speichern. Ich kann sie jederzeit wiederholen, wenn ich zurückkomme. Wenn du diese App noch nicht ausprobiert hast, verpasst du wirklich was.
Basil
Android-Nutzer
Diese App hat mich so viel selbstbewusster in meiner Klausurvorbereitung gemacht, nicht nur durch die Stärkung meines Selbstvertrauens durch die Features, die es dir ermöglichen, dich mit anderen zu vernetzen und dich weniger allein zu fühlen, sondern auch durch die Art, wie die App selbst darauf ausgerichtet ist, dass du dich besser fühlst. Sie ist einfach zu bedienen, macht Spaß und hilft jedem, der in irgendeiner Weise Schwierigkeiten hat.
David K
iOS-Nutzer
Die App ist einfach super! Ich muss nur das Thema in die Suche eingeben und bekomme sofort eine Antwort. Ich muss nicht mehr 10 YouTube-Videos schauen, um etwas zu verstehen, und spare dadurch richtig viel Zeit. Sehr empfehlenswert!
Sudenaz Ocak
Android-Nutzerin
In der Schule war ich echt schlecht in Mathe, aber dank der App bin ich jetzt besser geworden. Ich bin so dankbar, dass ihr die App gemacht habt.
Greenlight Bonnie
Android-Nutzerin
sehr zuverlässige App, um deine Ideen in Mathe, Englisch und anderen verwandten Themen zu verbessern. bitte nutze diese App, wenn du in bestimmten Bereichen Schwierigkeiten hast, diese App ist dafür der Schlüssel. wünschte, ich hätte früher eine Bewertung geschrieben. und sie ist auch kostenlos, also mach dir darüber keine Sorgen.
Rohan U
Android-Nutzer
Ich weiß, dass viele Apps gefälschte Accounts nutzen, um ihre Bewertungen zu pushen, aber diese App verdient das alles. Ursprünglich hatte ich eine 4 in meinen Englisch-Klausuren und dieses Mal habe ich eine 2 bekommen. Ich wusste erst drei Tage vor der Klausur von dieser App und sie hat mir SEHR geholfen. Bitte vertrau mir wirklich und nutze sie, denn ich bin sicher, dass auch du Fortschritte sehen wirst.
Xander S
iOS-Nutzer
DIE QUIZZE UND KARTEIKARTEN SIND SO NÜTZLICH UND ICH LIEBE Knowunity KI. ES IST AUCH BUCHSTÄBLICH WIE CHATGPT ABER SCHLAUER!! HAT MIR AUCH BEI MEINEN MASCARA-PROBLEMEN GEHOLFEN!! SOWIE BEI MEINEN ECHTEN FÄCHERN! NATÜRLICH 😍😁😲🤑💗✨🎀😮
Elisha
iOS-Nutzer
Diese App ist echt der Hammer. Ich finde Lernen so langweilig, aber diese App macht es so einfach, alles zu organisieren und dann kannst du die kostenlose KI bitten, dich abzufragen, so gut, und du kannst einfach deine eigenen Sachen hochladen. sehr empfehlenswert als jemand, der gerade Probeklausuren schreibt
Paul T
iOS-Nutzer
Sarah
@zankxs
Die Minimalkostenkombination ist ein wichtiges Konzept in der Wirtschaftslehre, das dir zeigt, wie Unternehmen ihre Produktionskosten optimieren können. Du lernst hier, wie mit Isoquanten und Isokostengeraden die günstigste Kombination von Produktionsfaktoren gefunden wird.

Zugriff auf alle Dokumente
Verbessere deine Noten
Schließ dich Millionen Schülern an
Isoquanten sind deine neuen besten Freunde, wenn es um Produktionsoptimierung geht! Eine Isoquante zeigt alle möglichen Kombinationen zweier Produktionsfaktoren (wie Arbeit und Kapital), die zur gleichen Produktionsmenge führen.
Die mathematische Formel lautet: Ip(x) = a/ + c. Hier bestimmen die Parameter a, b und c die Form und Position der Kurve. Der Parameter |a| steuert die Dehnung, b verschiebt die Kurve horizontal und c vertikal.
Wichtig für dich: Der Definitionsbereich ist D_def(Ip) = (b; ∞) und der Wertebereich W_def(Ip) = (c; ∞). Die Polgerade x = b und die Asymptote y = c helfen dir beim Zeichnen der Kurve.
Merktipp: Isoquanten haben immer eine negative Steigung - wenn du mehr von einem Faktor einsetzt, brauchst du weniger vom anderen!

Zugriff auf alle Dokumente
Verbessere deine Noten
Schließ dich Millionen Schülern an
Mit drei gegebenen Punkten kannst du jede Isoquantengleichung bestimmen. Du setzt die Punkte in die allgemeine Form ein und löst das entstehende Gleichungssystem - entweder algebraisch oder mit dem CAS-Rechner.
Das Beispiel zeigt: Für einen Output von 350 ME ergeben die Punkte P₁(1|6), P₂(2|3) und P₃(3|2) die Gleichung Ip₃₅₀(x) = 6/x. Nach dem Einsetzen und Auflösen erhältst du a = 6, b = 0 und c = 0.
Der ökonomisch sinnvolle Bereich umfasst nur positive Werte: D_ok = ℝ⁺ und W_ok = ℝ⁺, da negative Produktionsfaktoren unrealistisch sind.
Praxis-Tipp: Nutze den CAS-Rechner für komplexere Gleichungssysteme - das spart Zeit und reduziert Rechenfehler!

Zugriff auf alle Dokumente
Verbessere deine Noten
Schließ dich Millionen Schülern an
Der CAS-Rechner macht die Berechnung von Isoquanten zum Kinderspiel! Du gibst einfach die drei Gleichungen ein und lässt das Gleichungssystem automatisch lösen.
Mit dem Befehl "solve" und den drei Punktgleichungen erhältst du direkt: a = 6, b = 0, c = 0. Daraus folgt die Isoquantengleichung Ip₃₅₀(x) = 6/x.
Die grafische Darstellung zeigt eine typische Hyperbel, die durch alle gegebenen Produktionspunkte verläuft. Jeder Punkt auf dieser Kurve repräsentiert eine andere Faktorkombination für dieselbe Produktionsmenge.
Zeitsparer: Die CAS-Funktion "solve" löst auch komplizierte Gleichungssysteme mit mehreren Unbekannten in Sekunden!

Zugriff auf alle Dokumente
Verbessere deine Noten
Schließ dich Millionen Schülern an
Isokostengeraden zeigen dir alle Faktorkombinationen, die dasselbe kosten. Die allgemeine Form lautet: Ik(x) = -Px/Py · x + K/Py, wobei Px und Py die Faktorpreise und K das Kostenbudget darstellen.
Bei Faktorpreisen von Px = 10 GE/ME für Arbeit und Py = 15 GE/ME für Kapital mit einem Budget von K = 75 GE ergibt sich: Ik₇₅(x) = -2/3x + 5.
Die Steigung -Px/Py bleibt konstant, während sich nur der y-Achsenabschnitt K/Py ändert. Eine Budgeterhöhung verschiebt die Gerade nach oben, eine Senkung nach unten.
Merkhilfe: Die Steigung der Isokostengerade entspricht immer dem negativen Preisverhältnis der beiden Faktoren!

Zugriff auf alle Dokumente
Verbessere deine Noten
Schließ dich Millionen Schülern an
Die Schnittpunkte zwischen Isoquante und Isokostengerade zeigen mögliche Produktionskombinationen für ein bestimmtes Budget. Mit verschiedenen Kostenbudgets (K₇₅, K₆₀, K₄₅) erhältst du unterschiedliche Ergebnisse.
Bei K = 75 GE gibt es zwei Schnittpunkte: S₁(1,5|4) und S₂(6|1). Bei K = 60 GE berührt die Isokostengerade die Isoquante nur noch in einem Punkt B(3|2) - das ist bereits die optimale Lösung!
Mit K = 45 GE gibt es keinen Schnittpunkt mehr, da das Budget zu gering ist. Die Minimalkostenkombination liegt genau beim Berührpunkt, wo beide Kurven dieselbe Steigung haben.
Ökonomische Bedeutung: Der Berührpunkt zeigt die kostengünstigste Produktion - weniger Budget macht die gewünschte Produktionsmenge unmöglich!

Zugriff auf alle Dokumente
Verbessere deine Noten
Schließ dich Millionen Schülern an
Die Minimalkostenkombination findest du, indem du die Steigungen von Isoquante und Isokostengerade gleichsetzt: Ik' = Ip'.
Für Ip(x) = 6/x ist die Ableitung Ip'(x) = -6/x². Gleichgesetzt mit der Steigung -2/3 ergibt sich: x = 3 und y = 2. Die optimale Faktorkombination ist also B(3|2).
Die minimalen Kosten berechnest du mit K = x·Px + y·Py = 3·10 + 2·15 = 60 GE. Die zugehörige Isokostengerade hat die Gleichung Ik(x) = -2/3x + 4.
Diese Lösung kannst du mit dem CAS-Rechner über die Tangentenfunktion überprüfen: "tangent Line" gibt dir direkt die Berührungsgerade an.
Erfolgsformel: Minimalkostenkombination = gleiche Steigungen von Isoquante und Isokostengerade!
Unser KI-Begleiter ist ein speziell für Schüler entwickeltes KI-Tool, das mehr als nur Antworten bietet. Basierend auf Millionen von Knowunity-Inhalten liefert er relevante Informationen, personalisierte Lernpläne, Quizze und Inhalte direkt im Chat und passt sich deinem individuellen Lernweg an.
Du kannst die App im Google Play Store und im Apple App Store herunterladen.
Genau! Genieße kostenlosen Zugang zu Lerninhalten, vernetze dich mit anderen Schülern und hol dir sofortige Hilfe – alles direkt auf deinem Handy.
20
Smart Tools NEU
Verwandle diesen Lernzettel in: ✓ 50+ Übungsfragen ✓ Interaktive Karteikarten ✓ Komplette Probeklausur ✓ Aufsatzgliederungen
Entdecken Sie die Grundlagen komplexer Zahlen, einschließlich ihrer Addition, Subtraktion und Umwandlung zwischen kartesischer und polarer Form. Dieser Lernzettel bietet eine klare Übersicht über die Argumente und Winkelbeziehungen in der Geometrie. Ideal für Studierende, die sich auf Prüfungen vorbereiten oder ihr Wissen vertiefen möchten.
Entdecken Sie die Grundlagen der Sinus- und Cosinusfunktionen, einschließlich ihrer Formeln, Graphen und Transformationen. Diese Zusammenfassung behandelt die Amplitude, Periodenlängen und Verschiebungen in x- und y-Richtung. Ideal für Schüler, die sich auf Prüfungen vorbereiten oder ihr Verständnis der trigonometrischen Funktionen vertiefen möchten.
Entdecken Sie die Grundlagen der einfachen trigonometrischen Funktionen, einschließlich der Sinus- und Kosinusfunktionen, deren Transformationen (Amplitude, Phasenverschiebung) und Ableitungen. Dieser Lernzettel bietet eine klare Übersicht über Bogenmaß, Winkelmaß und den Sinus-Kosinus-Kreislauf, ideal für Studierende der Mathematik.
Entdecken Sie die Grundlagen der trigonometrischen Funktionen, einschließlich Sinus- und Cosinusfunktionen, deren Ableitungen und Parameter. Diese Zusammenfassung behandelt auch die Kettenregel und die grafische Differenzierung, um das Verständnis der Wellenbewegungen und deren Eigenschaften zu vertiefen. Ideal für Studierende der Mathematik und Naturwissenschaften.
Entdecken Sie die Grundlagen von Sinus und Bogenmaß in rechtwinkligen Dreiecken und dem Einheitskreis. Diese Zusammenfassung behandelt die Berechnung von Winkeln, die Sinus- und Cosinusfunktionen, sowie deren Periodizität und Nullstellen. Ideal für Studierende der Mathematik, die sich mit trigonometrischen Funktionen und deren Anwendungen vertraut machen möchten.
Entdecken Sie die Eigenschaften der Sinus- und Cosinusfunktionen: Periodenlänge, Amplitude, Symmetrie, Definitions- und Wertebereich, Nullstellen, Hoch- und Tiefpunkte. Verstehen Sie den Zusammenhang zwischen sin(x) und cos(x) und deren graphische Verschiebungen. Ideal für Mathematikstudenten und zur Vorbereitung auf Prüfungen.
App Store
Google Play
Die App ist sehr einfach zu bedienen und gut gestaltet. Ich habe bisher alles gefunden, wonach ich gesucht habe, und konnte viel aus den Präsentationen lernen! Ich werde die App definitiv für ein Schulprojekt nutzen! Und natürlich hilft sie auch sehr als Inspiration.
Stefan S
iOS-Nutzer
Diese App ist wirklich super. Es gibt so viele Lernzettel und Hilfen [...]. Mein Problemfach ist zum Beispiel Französisch und die App hat so viele Möglichkeiten zur Hilfe. Dank dieser App habe ich mich in Französisch verbessert. Ich würde sie jedem empfehlen.
Samantha Klich
Android-Nutzerin
Wow, ich bin wirklich begeistert. Ich habe die App einfach mal ausprobiert, weil ich sie schon oft beworben gesehen habe und war absolut beeindruckt. Diese App ist DIE HILFE, die man für die Schule braucht und vor allem bietet sie so viele Dinge wie Übungen und Lernzettel, die mir persönlich SEHR geholfen haben.
Anna
iOS-Nutzerin
Beste App der Welt! Keine Worte, weil sie einfach zu gut ist
Thomas R
iOS-Nutzer
Einfach genial. Lässt mich 10x besser lernen, diese App ist eine glatte 10/10. Ich empfehle sie jedem. Ich kann Lernzettel anschauen und suchen. Ich kann sie im Fachordner speichern. Ich kann sie jederzeit wiederholen, wenn ich zurückkomme. Wenn du diese App noch nicht ausprobiert hast, verpasst du wirklich was.
Basil
Android-Nutzer
Diese App hat mich so viel selbstbewusster in meiner Klausurvorbereitung gemacht, nicht nur durch die Stärkung meines Selbstvertrauens durch die Features, die es dir ermöglichen, dich mit anderen zu vernetzen und dich weniger allein zu fühlen, sondern auch durch die Art, wie die App selbst darauf ausgerichtet ist, dass du dich besser fühlst. Sie ist einfach zu bedienen, macht Spaß und hilft jedem, der in irgendeiner Weise Schwierigkeiten hat.
David K
iOS-Nutzer
Die App ist einfach super! Ich muss nur das Thema in die Suche eingeben und bekomme sofort eine Antwort. Ich muss nicht mehr 10 YouTube-Videos schauen, um etwas zu verstehen, und spare dadurch richtig viel Zeit. Sehr empfehlenswert!
Sudenaz Ocak
Android-Nutzerin
In der Schule war ich echt schlecht in Mathe, aber dank der App bin ich jetzt besser geworden. Ich bin so dankbar, dass ihr die App gemacht habt.
Greenlight Bonnie
Android-Nutzerin
sehr zuverlässige App, um deine Ideen in Mathe, Englisch und anderen verwandten Themen zu verbessern. bitte nutze diese App, wenn du in bestimmten Bereichen Schwierigkeiten hast, diese App ist dafür der Schlüssel. wünschte, ich hätte früher eine Bewertung geschrieben. und sie ist auch kostenlos, also mach dir darüber keine Sorgen.
Rohan U
Android-Nutzer
Ich weiß, dass viele Apps gefälschte Accounts nutzen, um ihre Bewertungen zu pushen, aber diese App verdient das alles. Ursprünglich hatte ich eine 4 in meinen Englisch-Klausuren und dieses Mal habe ich eine 2 bekommen. Ich wusste erst drei Tage vor der Klausur von dieser App und sie hat mir SEHR geholfen. Bitte vertrau mir wirklich und nutze sie, denn ich bin sicher, dass auch du Fortschritte sehen wirst.
Xander S
iOS-Nutzer
DIE QUIZZE UND KARTEIKARTEN SIND SO NÜTZLICH UND ICH LIEBE Knowunity KI. ES IST AUCH BUCHSTÄBLICH WIE CHATGPT ABER SCHLAUER!! HAT MIR AUCH BEI MEINEN MASCARA-PROBLEMEN GEHOLFEN!! SOWIE BEI MEINEN ECHTEN FÄCHERN! NATÜRLICH 😍😁😲🤑💗✨🎀😮
Elisha
iOS-Nutzer
Diese App ist echt der Hammer. Ich finde Lernen so langweilig, aber diese App macht es so einfach, alles zu organisieren und dann kannst du die kostenlose KI bitten, dich abzufragen, so gut, und du kannst einfach deine eigenen Sachen hochladen. sehr empfehlenswert als jemand, der gerade Probeklausuren schreibt
Paul T
iOS-Nutzer
Die App ist sehr einfach zu bedienen und gut gestaltet. Ich habe bisher alles gefunden, wonach ich gesucht habe, und konnte viel aus den Präsentationen lernen! Ich werde die App definitiv für ein Schulprojekt nutzen! Und natürlich hilft sie auch sehr als Inspiration.
Stefan S
iOS-Nutzer
Diese App ist wirklich super. Es gibt so viele Lernzettel und Hilfen [...]. Mein Problemfach ist zum Beispiel Französisch und die App hat so viele Möglichkeiten zur Hilfe. Dank dieser App habe ich mich in Französisch verbessert. Ich würde sie jedem empfehlen.
Samantha Klich
Android-Nutzerin
Wow, ich bin wirklich begeistert. Ich habe die App einfach mal ausprobiert, weil ich sie schon oft beworben gesehen habe und war absolut beeindruckt. Diese App ist DIE HILFE, die man für die Schule braucht und vor allem bietet sie so viele Dinge wie Übungen und Lernzettel, die mir persönlich SEHR geholfen haben.
Anna
iOS-Nutzerin
Beste App der Welt! Keine Worte, weil sie einfach zu gut ist
Thomas R
iOS-Nutzer
Einfach genial. Lässt mich 10x besser lernen, diese App ist eine glatte 10/10. Ich empfehle sie jedem. Ich kann Lernzettel anschauen und suchen. Ich kann sie im Fachordner speichern. Ich kann sie jederzeit wiederholen, wenn ich zurückkomme. Wenn du diese App noch nicht ausprobiert hast, verpasst du wirklich was.
Basil
Android-Nutzer
Diese App hat mich so viel selbstbewusster in meiner Klausurvorbereitung gemacht, nicht nur durch die Stärkung meines Selbstvertrauens durch die Features, die es dir ermöglichen, dich mit anderen zu vernetzen und dich weniger allein zu fühlen, sondern auch durch die Art, wie die App selbst darauf ausgerichtet ist, dass du dich besser fühlst. Sie ist einfach zu bedienen, macht Spaß und hilft jedem, der in irgendeiner Weise Schwierigkeiten hat.
David K
iOS-Nutzer
Die App ist einfach super! Ich muss nur das Thema in die Suche eingeben und bekomme sofort eine Antwort. Ich muss nicht mehr 10 YouTube-Videos schauen, um etwas zu verstehen, und spare dadurch richtig viel Zeit. Sehr empfehlenswert!
Sudenaz Ocak
Android-Nutzerin
In der Schule war ich echt schlecht in Mathe, aber dank der App bin ich jetzt besser geworden. Ich bin so dankbar, dass ihr die App gemacht habt.
Greenlight Bonnie
Android-Nutzerin
sehr zuverlässige App, um deine Ideen in Mathe, Englisch und anderen verwandten Themen zu verbessern. bitte nutze diese App, wenn du in bestimmten Bereichen Schwierigkeiten hast, diese App ist dafür der Schlüssel. wünschte, ich hätte früher eine Bewertung geschrieben. und sie ist auch kostenlos, also mach dir darüber keine Sorgen.
Rohan U
Android-Nutzer
Ich weiß, dass viele Apps gefälschte Accounts nutzen, um ihre Bewertungen zu pushen, aber diese App verdient das alles. Ursprünglich hatte ich eine 4 in meinen Englisch-Klausuren und dieses Mal habe ich eine 2 bekommen. Ich wusste erst drei Tage vor der Klausur von dieser App und sie hat mir SEHR geholfen. Bitte vertrau mir wirklich und nutze sie, denn ich bin sicher, dass auch du Fortschritte sehen wirst.
Xander S
iOS-Nutzer
DIE QUIZZE UND KARTEIKARTEN SIND SO NÜTZLICH UND ICH LIEBE Knowunity KI. ES IST AUCH BUCHSTÄBLICH WIE CHATGPT ABER SCHLAUER!! HAT MIR AUCH BEI MEINEN MASCARA-PROBLEMEN GEHOLFEN!! SOWIE BEI MEINEN ECHTEN FÄCHERN! NATÜRLICH 😍😁😲🤑💗✨🎀😮
Elisha
iOS-Nutzer
Diese App ist echt der Hammer. Ich finde Lernen so langweilig, aber diese App macht es so einfach, alles zu organisieren und dann kannst du die kostenlose KI bitten, dich abzufragen, so gut, und du kannst einfach deine eigenen Sachen hochladen. sehr empfehlenswert als jemand, der gerade Probeklausuren schreibt
Paul T
iOS-Nutzer