Potenzgesetze und wissenschaftliche Schreibweise sind super wichtige Themen in der... Mehr anzeigen
Melde dich an, um den Inhalt zu sehenKostenlos!
Zugriff auf alle Dokumente
Verbessere deine Noten
Schließ dich Millionen Schülern an
Knowunity KI
Fächer
Triangle Congruence and Similarity Theorems
Triangle Properties and Classification
Linear Equations and Graphs
Geometric Angle Relationships
Trigonometric Functions and Identities
Equation Solving Techniques
Circle Geometry Fundamentals
Division Operations and Methods
Basic Differentiation Rules
Exponent and Logarithm Properties
Alle Themen anzeigen
Human Organ Systems
Reproductive Cell Cycles
Biological Sciences Subdisciplines
Cellular Energy Metabolism
Autotrophic Energy Processes
Inheritance Patterns and Principles
Biomolecular Structure and Organization
Cell Cycle and Division Mechanics
Cellular Organization and Development
Biological Structural Organization
Alle Themen anzeigen
Chemical Sciences and Applications
Atomic Structure and Composition
Molecular Electron Structure Representation
Atomic Electron Behavior
Matter Properties and Water
Mole Concept and Calculations
Gas Laws and Behavior
Periodic Table Organization
Chemical Thermodynamics Fundamentals
Chemical Bond Types and Properties
Alle Themen anzeigen
European Renaissance and Enlightenment
European Cultural Movements 800-1920
American Revolution Era 1763-1797
American Civil War 1861-1865
Global Imperial Systems
Mongol and Chinese Dynasties
U.S. Presidents and World Leaders
Historical Sources and Documentation
World Wars Era and Impact
World Religious Systems
Alle Themen anzeigen
Classic and Contemporary Novels
Literary Character Analysis
Rhetorical Theory and Practice
Classic Literary Narratives
Reading Analysis and Interpretation
Narrative Structure and Techniques
English Language Components
Influential English-Language Authors
Basic Sentence Structure
Narrative Voice and Perspective
Alle Themen anzeigen
891
•
Aktualisiert Mar 29, 2026
•
Giuliana
@giana444
Potenzgesetze und wissenschaftliche Schreibweise sind super wichtige Themen in der... Mehr anzeigen





Wissenschaftliche Schreibweise begegnet dir überall im Alltag. Die Lichtgeschwindigkeit von 300.000.000 m/s schreibst du als 3,0 · 10⁸. Bei sehr kleinen Zahlen wie 0,004 mm wird es 4,0 · 10⁻³ mm.
Potenzrechnungen folgen klaren Regeln: 5¹⁰ : 5⁷ = 5³ = 125. Bei negativen Exponenten wie (-2/3)⁻¹ drehst du den Bruch um und machst den Exponenten positiv.
Wurzeln kannst du auch als Potenzen schreiben: ∜16 = 16^(1/4) = 2. Das macht komplizierte Rechnungen oft einfacher.
Merktipp: Beim Vereinfachen von Termen immer erst die Exponenten berechnen, dann kürzen!

Die Normdarstellung funktioniert so: Eine Zahl zwischen 1 und 10, multipliziert mit einer Zehnerpotenz. 300.000.000 = 3,0 · 10⁸ und 0,004 mm = 4,0 · 10⁻³ mm.
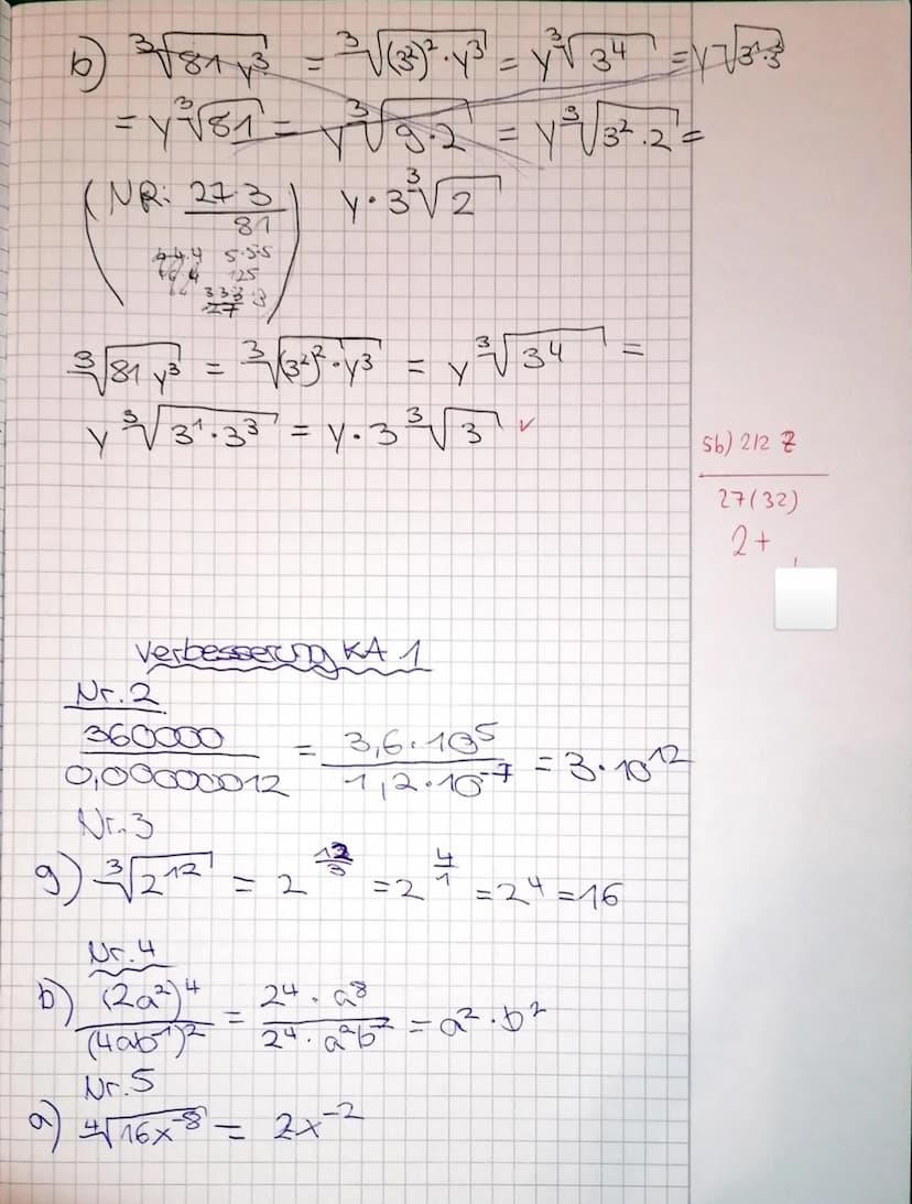
Bei Divisionen in wissenschaftlicher Schreibweise rechnest du: 360.000 ÷ 0,00000012 = (3,6 · 10⁵) ÷ (1,2 · 10⁻⁷). Das ergibt 3 · 10¹².
Potenzgesetze sind dein bester Freund: 5¹⁰ : 5⁷ = 5³ = 125. Bei (-2)⁴ = 16 (gerade Exponenten machen negative Zahlen positiv). Bruchpotenzen wie (3/4)⁴ · (8/9)⁴ kannst du zusammenfassen zu (3·8/4·9)⁴.
Praxistipp: Negative Exponenten bedeuten "1 durch die positive Potenz" - so wird (-2/3)⁻¹ zu 3/2!

Terme vereinfachen geht schrittweise: Bei 3⁻¹⁰ · a⁴ / (9a⁻⁶) schreibst du erst 9 als 3² und rechnest dann die Exponenten: a⁴⁺⁶ / 3²⁺¹⁰ = a¹⁰/3¹².
Komplizierte Brüche wie (2a²)⁴/(4ab)⁻² löst du auf: Das wird zu 2⁴ · a⁸ / (4⁻² · a⁻² · b⁻²). Am Ende steht da 256 · a⁶ · b².
Wurzeln multiplizieren wird einfach mit Exponenten: ⁵√x · ³√x = x^(1/5) · x^(1/3) = x^(1/5 + 1/3) = x^(8/15). Bei ³√(2¹²) rechnest du 2^(12/3) = 2⁴ = 16.
Erfolgstrick: Schreibe Wurzeln immer als Potenzen mit Bruchexponenten - dann kannst du alle Potenzregeln anwenden!

Wurzeln teilweise ziehen bedeutet: Hol raus, was geht! Bei ³√(81y⁵) zerlegst du 81 = 3⁴ = 3³ · 3 und y⁵ = y³ · y². Das ergibt 3y · ³√(3y²).
Bei ⁴√(16x⁸) ist es noch einfacher: 16 = 2⁴ und x⁸ = (x²)⁴, also wird's zu 2x².
Die Verbesserung zeigt wichtige Korrekturen: ³√(2¹²) = 2⁴ = 16, nicht komplizierter rechnen als nötig. Bei der wissenschaftlichen Schreibweise: 0,00000012 = 1,2 · 10⁻⁷.
Erfolgsgeheimnis: Zerlege große Zahlen unter der Wurzel in ihre Primfaktoren - dann siehst du sofort, was du rausziehen kannst!
Unser KI-Begleiter ist ein speziell für Schüler entwickeltes KI-Tool, das mehr als nur Antworten bietet. Basierend auf Millionen von Knowunity-Inhalten liefert er relevante Informationen, personalisierte Lernpläne, Quizze und Inhalte direkt im Chat und passt sich deinem individuellen Lernweg an.
Du kannst die App im Google Play Store und im Apple App Store herunterladen.
Genau! Genieße kostenlosen Zugang zu Lerninhalten, vernetze dich mit anderen Schülern und hol dir sofortige Hilfe – alles direkt auf deinem Handy.
Entdecken Sie die Grundlagen der Wurzelgesetze, einschließlich Addition, Multiplikation, Division und Subtraktion von Wurzeln. Lernen Sie, wie Wurzeln als Potenzen umgeschrieben werden und wie man Wurzeln radiziert. Ideal für Schüler, die ihre Kenntnisse in Mathematik vertiefen möchten.
Entdecken Sie die Welt der reellen Zahlen und Wurzeln. Diese Zusammenfassung behandelt die Klassifikation reeller Zahlen, das Lösen von Wurzeln und die grundlegenden Rechenoperationen mit Wurzeln. Ideal für Schüler, die ein besseres Verständnis für rationale und irrationale Zahlen sowie deren Berechnungen entwickeln möchten.
Entdecken Sie die Grundlagen von Quadrat- und Kubikwurzeln, einschließlich der Definitionen von Exponenten, Wurzelzeichen und Gegenoperationen. Diese Zusammenfassung bietet klare Erklärungen und Beispiele für das Wurzelziehen und die Umkehrung des Potenzierens. Ideal für Schüler, die sich auf Mathematikprüfungen vorbereiten.
App Store
Google Play
Die App ist sehr einfach zu bedienen und gut gestaltet. Ich habe bisher alles gefunden, wonach ich gesucht habe, und konnte viel aus den Präsentationen lernen! Ich werde die App definitiv für ein Schulprojekt nutzen! Und natürlich hilft sie auch sehr als Inspiration.
Stefan S
iOS-Nutzer
Diese App ist wirklich super. Es gibt so viele Lernzettel und Hilfen [...]. Mein Problemfach ist zum Beispiel Französisch und die App hat so viele Möglichkeiten zur Hilfe. Dank dieser App habe ich mich in Französisch verbessert. Ich würde sie jedem empfehlen.
Samantha Klich
Android-Nutzerin
Wow, ich bin wirklich begeistert. Ich habe die App einfach mal ausprobiert, weil ich sie schon oft beworben gesehen habe und war absolut beeindruckt. Diese App ist DIE HILFE, die man für die Schule braucht und vor allem bietet sie so viele Dinge wie Übungen und Lernzettel, die mir persönlich SEHR geholfen haben.
Anna
iOS-Nutzerin
Beste App der Welt! Keine Worte, weil sie einfach zu gut ist
Thomas R
iOS-Nutzer
Einfach genial. Lässt mich 10x besser lernen, diese App ist eine glatte 10/10. Ich empfehle sie jedem. Ich kann Lernzettel anschauen und suchen. Ich kann sie im Fachordner speichern. Ich kann sie jederzeit wiederholen, wenn ich zurückkomme. Wenn du diese App noch nicht ausprobiert hast, verpasst du wirklich was.
Basil
Android-Nutzer
Diese App hat mich so viel selbstbewusster in meiner Klausurvorbereitung gemacht, nicht nur durch die Stärkung meines Selbstvertrauens durch die Features, die es dir ermöglichen, dich mit anderen zu vernetzen und dich weniger allein zu fühlen, sondern auch durch die Art, wie die App selbst darauf ausgerichtet ist, dass du dich besser fühlst. Sie ist einfach zu bedienen, macht Spaß und hilft jedem, der in irgendeiner Weise Schwierigkeiten hat.
David K
iOS-Nutzer
Die App ist einfach super! Ich muss nur das Thema in die Suche eingeben und bekomme sofort eine Antwort. Ich muss nicht mehr 10 YouTube-Videos schauen, um etwas zu verstehen, und spare dadurch richtig viel Zeit. Sehr empfehlenswert!
Sudenaz Ocak
Android-Nutzerin
In der Schule war ich echt schlecht in Mathe, aber dank der App bin ich jetzt besser geworden. Ich bin so dankbar, dass ihr die App gemacht habt.
Greenlight Bonnie
Android-Nutzerin
sehr zuverlässige App, um deine Ideen in Mathe, Englisch und anderen verwandten Themen zu verbessern. bitte nutze diese App, wenn du in bestimmten Bereichen Schwierigkeiten hast, diese App ist dafür der Schlüssel. wünschte, ich hätte früher eine Bewertung geschrieben. und sie ist auch kostenlos, also mach dir darüber keine Sorgen.
Rohan U
Android-Nutzer
Ich weiß, dass viele Apps gefälschte Accounts nutzen, um ihre Bewertungen zu pushen, aber diese App verdient das alles. Ursprünglich hatte ich eine 4 in meinen Englisch-Klausuren und dieses Mal habe ich eine 2 bekommen. Ich wusste erst drei Tage vor der Klausur von dieser App und sie hat mir SEHR geholfen. Bitte vertrau mir wirklich und nutze sie, denn ich bin sicher, dass auch du Fortschritte sehen wirst.
Xander S
iOS-Nutzer
DIE QUIZZE UND KARTEIKARTEN SIND SO NÜTZLICH UND ICH LIEBE Knowunity KI. ES IST AUCH BUCHSTÄBLICH WIE CHATGPT ABER SCHLAUER!! HAT MIR AUCH BEI MEINEN MASCARA-PROBLEMEN GEHOLFEN!! SOWIE BEI MEINEN ECHTEN FÄCHERN! NATÜRLICH 😍😁😲🤑💗✨🎀😮
Elisha
iOS-Nutzer
Diese App ist echt der Hammer. Ich finde Lernen so langweilig, aber diese App macht es so einfach, alles zu organisieren und dann kannst du die kostenlose KI bitten, dich abzufragen, so gut, und du kannst einfach deine eigenen Sachen hochladen. sehr empfehlenswert als jemand, der gerade Probeklausuren schreibt
Paul T
iOS-Nutzer
Die App ist sehr einfach zu bedienen und gut gestaltet. Ich habe bisher alles gefunden, wonach ich gesucht habe, und konnte viel aus den Präsentationen lernen! Ich werde die App definitiv für ein Schulprojekt nutzen! Und natürlich hilft sie auch sehr als Inspiration.
Stefan S
iOS-Nutzer
Diese App ist wirklich super. Es gibt so viele Lernzettel und Hilfen [...]. Mein Problemfach ist zum Beispiel Französisch und die App hat so viele Möglichkeiten zur Hilfe. Dank dieser App habe ich mich in Französisch verbessert. Ich würde sie jedem empfehlen.
Samantha Klich
Android-Nutzerin
Wow, ich bin wirklich begeistert. Ich habe die App einfach mal ausprobiert, weil ich sie schon oft beworben gesehen habe und war absolut beeindruckt. Diese App ist DIE HILFE, die man für die Schule braucht und vor allem bietet sie so viele Dinge wie Übungen und Lernzettel, die mir persönlich SEHR geholfen haben.
Anna
iOS-Nutzerin
Beste App der Welt! Keine Worte, weil sie einfach zu gut ist
Thomas R
iOS-Nutzer
Einfach genial. Lässt mich 10x besser lernen, diese App ist eine glatte 10/10. Ich empfehle sie jedem. Ich kann Lernzettel anschauen und suchen. Ich kann sie im Fachordner speichern. Ich kann sie jederzeit wiederholen, wenn ich zurückkomme. Wenn du diese App noch nicht ausprobiert hast, verpasst du wirklich was.
Basil
Android-Nutzer
Diese App hat mich so viel selbstbewusster in meiner Klausurvorbereitung gemacht, nicht nur durch die Stärkung meines Selbstvertrauens durch die Features, die es dir ermöglichen, dich mit anderen zu vernetzen und dich weniger allein zu fühlen, sondern auch durch die Art, wie die App selbst darauf ausgerichtet ist, dass du dich besser fühlst. Sie ist einfach zu bedienen, macht Spaß und hilft jedem, der in irgendeiner Weise Schwierigkeiten hat.
David K
iOS-Nutzer
Die App ist einfach super! Ich muss nur das Thema in die Suche eingeben und bekomme sofort eine Antwort. Ich muss nicht mehr 10 YouTube-Videos schauen, um etwas zu verstehen, und spare dadurch richtig viel Zeit. Sehr empfehlenswert!
Sudenaz Ocak
Android-Nutzerin
In der Schule war ich echt schlecht in Mathe, aber dank der App bin ich jetzt besser geworden. Ich bin so dankbar, dass ihr die App gemacht habt.
Greenlight Bonnie
Android-Nutzerin
sehr zuverlässige App, um deine Ideen in Mathe, Englisch und anderen verwandten Themen zu verbessern. bitte nutze diese App, wenn du in bestimmten Bereichen Schwierigkeiten hast, diese App ist dafür der Schlüssel. wünschte, ich hätte früher eine Bewertung geschrieben. und sie ist auch kostenlos, also mach dir darüber keine Sorgen.
Rohan U
Android-Nutzer
Ich weiß, dass viele Apps gefälschte Accounts nutzen, um ihre Bewertungen zu pushen, aber diese App verdient das alles. Ursprünglich hatte ich eine 4 in meinen Englisch-Klausuren und dieses Mal habe ich eine 2 bekommen. Ich wusste erst drei Tage vor der Klausur von dieser App und sie hat mir SEHR geholfen. Bitte vertrau mir wirklich und nutze sie, denn ich bin sicher, dass auch du Fortschritte sehen wirst.
Xander S
iOS-Nutzer
DIE QUIZZE UND KARTEIKARTEN SIND SO NÜTZLICH UND ICH LIEBE Knowunity KI. ES IST AUCH BUCHSTÄBLICH WIE CHATGPT ABER SCHLAUER!! HAT MIR AUCH BEI MEINEN MASCARA-PROBLEMEN GEHOLFEN!! SOWIE BEI MEINEN ECHTEN FÄCHERN! NATÜRLICH 😍😁😲🤑💗✨🎀😮
Elisha
iOS-Nutzer
Diese App ist echt der Hammer. Ich finde Lernen so langweilig, aber diese App macht es so einfach, alles zu organisieren und dann kannst du die kostenlose KI bitten, dich abzufragen, so gut, und du kannst einfach deine eigenen Sachen hochladen. sehr empfehlenswert als jemand, der gerade Probeklausuren schreibt
Paul T
iOS-Nutzer
Giuliana
@giana444
Potenzgesetze und wissenschaftliche Schreibweise sind super wichtige Themen in der 9. Klasse - sie kommen in fast jeder Mathe-Klassenarbeit vor! Diese Klassenarbeit zeigt dir genau, welche Aufgaben typisch sind und wie du sie richtig löst.

Zugriff auf alle Dokumente
Verbessere deine Noten
Schließ dich Millionen Schülern an
Wissenschaftliche Schreibweise begegnet dir überall im Alltag. Die Lichtgeschwindigkeit von 300.000.000 m/s schreibst du als 3,0 · 10⁸. Bei sehr kleinen Zahlen wie 0,004 mm wird es 4,0 · 10⁻³ mm.
Potenzrechnungen folgen klaren Regeln: 5¹⁰ : 5⁷ = 5³ = 125. Bei negativen Exponenten wie (-2/3)⁻¹ drehst du den Bruch um und machst den Exponenten positiv.
Wurzeln kannst du auch als Potenzen schreiben: ∜16 = 16^(1/4) = 2. Das macht komplizierte Rechnungen oft einfacher.
Merktipp: Beim Vereinfachen von Termen immer erst die Exponenten berechnen, dann kürzen!

Zugriff auf alle Dokumente
Verbessere deine Noten
Schließ dich Millionen Schülern an
Die Normdarstellung funktioniert so: Eine Zahl zwischen 1 und 10, multipliziert mit einer Zehnerpotenz. 300.000.000 = 3,0 · 10⁸ und 0,004 mm = 4,0 · 10⁻³ mm.
Bei Divisionen in wissenschaftlicher Schreibweise rechnest du: 360.000 ÷ 0,00000012 = (3,6 · 10⁵) ÷ (1,2 · 10⁻⁷). Das ergibt 3 · 10¹².
Potenzgesetze sind dein bester Freund: 5¹⁰ : 5⁷ = 5³ = 125. Bei (-2)⁴ = 16 (gerade Exponenten machen negative Zahlen positiv). Bruchpotenzen wie (3/4)⁴ · (8/9)⁴ kannst du zusammenfassen zu (3·8/4·9)⁴.
Praxistipp: Negative Exponenten bedeuten "1 durch die positive Potenz" - so wird (-2/3)⁻¹ zu 3/2!

Zugriff auf alle Dokumente
Verbessere deine Noten
Schließ dich Millionen Schülern an
Terme vereinfachen geht schrittweise: Bei 3⁻¹⁰ · a⁴ / (9a⁻⁶) schreibst du erst 9 als 3² und rechnest dann die Exponenten: a⁴⁺⁶ / 3²⁺¹⁰ = a¹⁰/3¹².
Komplizierte Brüche wie (2a²)⁴/(4ab)⁻² löst du auf: Das wird zu 2⁴ · a⁸ / (4⁻² · a⁻² · b⁻²). Am Ende steht da 256 · a⁶ · b².
Wurzeln multiplizieren wird einfach mit Exponenten: ⁵√x · ³√x = x^(1/5) · x^(1/3) = x^(1/5 + 1/3) = x^(8/15). Bei ³√(2¹²) rechnest du 2^(12/3) = 2⁴ = 16.
Erfolgstrick: Schreibe Wurzeln immer als Potenzen mit Bruchexponenten - dann kannst du alle Potenzregeln anwenden!

Zugriff auf alle Dokumente
Verbessere deine Noten
Schließ dich Millionen Schülern an
Wurzeln teilweise ziehen bedeutet: Hol raus, was geht! Bei ³√(81y⁵) zerlegst du 81 = 3⁴ = 3³ · 3 und y⁵ = y³ · y². Das ergibt 3y · ³√(3y²).
Bei ⁴√(16x⁸) ist es noch einfacher: 16 = 2⁴ und x⁸ = (x²)⁴, also wird's zu 2x².
Die Verbesserung zeigt wichtige Korrekturen: ³√(2¹²) = 2⁴ = 16, nicht komplizierter rechnen als nötig. Bei der wissenschaftlichen Schreibweise: 0,00000012 = 1,2 · 10⁻⁷.
Erfolgsgeheimnis: Zerlege große Zahlen unter der Wurzel in ihre Primfaktoren - dann siehst du sofort, was du rausziehen kannst!
Unser KI-Begleiter ist ein speziell für Schüler entwickeltes KI-Tool, das mehr als nur Antworten bietet. Basierend auf Millionen von Knowunity-Inhalten liefert er relevante Informationen, personalisierte Lernpläne, Quizze und Inhalte direkt im Chat und passt sich deinem individuellen Lernweg an.
Du kannst die App im Google Play Store und im Apple App Store herunterladen.
Genau! Genieße kostenlosen Zugang zu Lerninhalten, vernetze dich mit anderen Schülern und hol dir sofortige Hilfe – alles direkt auf deinem Handy.
7
Smart Tools NEU
Verwandle diesen Lernzettel in: ✓ 50+ Übungsfragen ✓ Interaktive Karteikarten ✓ Komplette Probeklausur ✓ Aufsatzgliederungen
Entdecken Sie Übungen zur Berechnung von Vektorlängen und zur Bestimmung von Parallelogrammen in der analytischen Geometrie. Diese Zusammenstellung umfasst Lösungen zu Aufgaben aus dem Cornelsen Buch, einschließlich der Berechnung von Vektoren, Eigenschaften geometrischer Formen und deren Anwendungen. Ideal für Schüler, die sich auf Prüfungen vorbereiten oder ihr Verständnis vertiefen möchten. (Buch S.36-39, Nr. 6-11)
Entdecken Sie das Heron-Verfahren zur Berechnung von Quadratwurzeln. Diese Zusammenfassung erklärt die Methode Schritt für Schritt und bietet ein praktisches Beispiel zur Veranschaulichung. Ideal für Schüler, die mathematische Konzepte der Wurzelberechnung verstehen möchten.
Erfahren Sie, wie der Faktor K die Ähnlichkeit von Dreiecken beeinflusst. Diese Zusammenfassung behandelt die Berechnung des Faktors K und die Ähnlichkeitssätze für Dreiecke, einschließlich der Bedingungen für die Ähnlichkeit und praktische Übungen zur Anwendung. Ideal für Schüler, die sich auf Prüfungen vorbereiten oder ihr Verständnis der Geometrie vertiefen möchten.
Entdecken Sie die Schritte zur Konstruktion verschiedener Dreiecke (WSW, SSW, SSS) mit präzisen Anleitungen und Beispielen. Diese Zusammenfassung bietet eine klare Anleitung zur Anwendung von Geodreieck und Zirkel, um Winkel und Seitenlängen korrekt zu messen und zu zeichnen. Ideal für Mathematikvorbereitung und Prüfungen.
Erlernen Sie die schrittweise Berechnung von Quadratwurzeln mithilfe des Heron-Algorithmus. Diese Zusammenfassung erklärt die Iterationsmethode zur Annäherung an Quadratwurzeln, einschließlich der mathematischen Vorgehensweise und Beispiele. Ideal für Studierende, die ihre Kenntnisse in Wurzeln und Potenzen vertiefen möchten.
Erfahren Sie alles über zentrische Streckungen, einschließlich der Bestimmung des Streckfaktors und der Punktspiegelung am Zentrum. Diese Zusammenfassung behandelt die Grundlagen der Skalentransformationen und deren Anwendung in der Geometrie. Ideal für Schüler, die sich auf Prüfungen vorbereiten oder ihr Wissen über graphische Transformationen vertiefen möchten.
Entdecken Sie die Grundlagen der Wurzelgesetze, einschließlich Addition, Multiplikation, Division und Subtraktion von Wurzeln. Lernen Sie, wie Wurzeln als Potenzen umgeschrieben werden und wie man Wurzeln radiziert. Ideal für Schüler, die ihre Kenntnisse in Mathematik vertiefen möchten.
Entdecken Sie die Welt der reellen Zahlen und Wurzeln. Diese Zusammenfassung behandelt die Klassifikation reeller Zahlen, das Lösen von Wurzeln und die grundlegenden Rechenoperationen mit Wurzeln. Ideal für Schüler, die ein besseres Verständnis für rationale und irrationale Zahlen sowie deren Berechnungen entwickeln möchten.
Entdecken Sie die Grundlagen von Quadrat- und Kubikwurzeln, einschließlich der Definitionen von Exponenten, Wurzelzeichen und Gegenoperationen. Diese Zusammenfassung bietet klare Erklärungen und Beispiele für das Wurzelziehen und die Umkehrung des Potenzierens. Ideal für Schüler, die sich auf Mathematikprüfungen vorbereiten.
App Store
Google Play
Die App ist sehr einfach zu bedienen und gut gestaltet. Ich habe bisher alles gefunden, wonach ich gesucht habe, und konnte viel aus den Präsentationen lernen! Ich werde die App definitiv für ein Schulprojekt nutzen! Und natürlich hilft sie auch sehr als Inspiration.
Stefan S
iOS-Nutzer
Diese App ist wirklich super. Es gibt so viele Lernzettel und Hilfen [...]. Mein Problemfach ist zum Beispiel Französisch und die App hat so viele Möglichkeiten zur Hilfe. Dank dieser App habe ich mich in Französisch verbessert. Ich würde sie jedem empfehlen.
Samantha Klich
Android-Nutzerin
Wow, ich bin wirklich begeistert. Ich habe die App einfach mal ausprobiert, weil ich sie schon oft beworben gesehen habe und war absolut beeindruckt. Diese App ist DIE HILFE, die man für die Schule braucht und vor allem bietet sie so viele Dinge wie Übungen und Lernzettel, die mir persönlich SEHR geholfen haben.
Anna
iOS-Nutzerin
Beste App der Welt! Keine Worte, weil sie einfach zu gut ist
Thomas R
iOS-Nutzer
Einfach genial. Lässt mich 10x besser lernen, diese App ist eine glatte 10/10. Ich empfehle sie jedem. Ich kann Lernzettel anschauen und suchen. Ich kann sie im Fachordner speichern. Ich kann sie jederzeit wiederholen, wenn ich zurückkomme. Wenn du diese App noch nicht ausprobiert hast, verpasst du wirklich was.
Basil
Android-Nutzer
Diese App hat mich so viel selbstbewusster in meiner Klausurvorbereitung gemacht, nicht nur durch die Stärkung meines Selbstvertrauens durch die Features, die es dir ermöglichen, dich mit anderen zu vernetzen und dich weniger allein zu fühlen, sondern auch durch die Art, wie die App selbst darauf ausgerichtet ist, dass du dich besser fühlst. Sie ist einfach zu bedienen, macht Spaß und hilft jedem, der in irgendeiner Weise Schwierigkeiten hat.
David K
iOS-Nutzer
Die App ist einfach super! Ich muss nur das Thema in die Suche eingeben und bekomme sofort eine Antwort. Ich muss nicht mehr 10 YouTube-Videos schauen, um etwas zu verstehen, und spare dadurch richtig viel Zeit. Sehr empfehlenswert!
Sudenaz Ocak
Android-Nutzerin
In der Schule war ich echt schlecht in Mathe, aber dank der App bin ich jetzt besser geworden. Ich bin so dankbar, dass ihr die App gemacht habt.
Greenlight Bonnie
Android-Nutzerin
sehr zuverlässige App, um deine Ideen in Mathe, Englisch und anderen verwandten Themen zu verbessern. bitte nutze diese App, wenn du in bestimmten Bereichen Schwierigkeiten hast, diese App ist dafür der Schlüssel. wünschte, ich hätte früher eine Bewertung geschrieben. und sie ist auch kostenlos, also mach dir darüber keine Sorgen.
Rohan U
Android-Nutzer
Ich weiß, dass viele Apps gefälschte Accounts nutzen, um ihre Bewertungen zu pushen, aber diese App verdient das alles. Ursprünglich hatte ich eine 4 in meinen Englisch-Klausuren und dieses Mal habe ich eine 2 bekommen. Ich wusste erst drei Tage vor der Klausur von dieser App und sie hat mir SEHR geholfen. Bitte vertrau mir wirklich und nutze sie, denn ich bin sicher, dass auch du Fortschritte sehen wirst.
Xander S
iOS-Nutzer
DIE QUIZZE UND KARTEIKARTEN SIND SO NÜTZLICH UND ICH LIEBE Knowunity KI. ES IST AUCH BUCHSTÄBLICH WIE CHATGPT ABER SCHLAUER!! HAT MIR AUCH BEI MEINEN MASCARA-PROBLEMEN GEHOLFEN!! SOWIE BEI MEINEN ECHTEN FÄCHERN! NATÜRLICH 😍😁😲🤑💗✨🎀😮
Elisha
iOS-Nutzer
Diese App ist echt der Hammer. Ich finde Lernen so langweilig, aber diese App macht es so einfach, alles zu organisieren und dann kannst du die kostenlose KI bitten, dich abzufragen, so gut, und du kannst einfach deine eigenen Sachen hochladen. sehr empfehlenswert als jemand, der gerade Probeklausuren schreibt
Paul T
iOS-Nutzer
Die App ist sehr einfach zu bedienen und gut gestaltet. Ich habe bisher alles gefunden, wonach ich gesucht habe, und konnte viel aus den Präsentationen lernen! Ich werde die App definitiv für ein Schulprojekt nutzen! Und natürlich hilft sie auch sehr als Inspiration.
Stefan S
iOS-Nutzer
Diese App ist wirklich super. Es gibt so viele Lernzettel und Hilfen [...]. Mein Problemfach ist zum Beispiel Französisch und die App hat so viele Möglichkeiten zur Hilfe. Dank dieser App habe ich mich in Französisch verbessert. Ich würde sie jedem empfehlen.
Samantha Klich
Android-Nutzerin
Wow, ich bin wirklich begeistert. Ich habe die App einfach mal ausprobiert, weil ich sie schon oft beworben gesehen habe und war absolut beeindruckt. Diese App ist DIE HILFE, die man für die Schule braucht und vor allem bietet sie so viele Dinge wie Übungen und Lernzettel, die mir persönlich SEHR geholfen haben.
Anna
iOS-Nutzerin
Beste App der Welt! Keine Worte, weil sie einfach zu gut ist
Thomas R
iOS-Nutzer
Einfach genial. Lässt mich 10x besser lernen, diese App ist eine glatte 10/10. Ich empfehle sie jedem. Ich kann Lernzettel anschauen und suchen. Ich kann sie im Fachordner speichern. Ich kann sie jederzeit wiederholen, wenn ich zurückkomme. Wenn du diese App noch nicht ausprobiert hast, verpasst du wirklich was.
Basil
Android-Nutzer
Diese App hat mich so viel selbstbewusster in meiner Klausurvorbereitung gemacht, nicht nur durch die Stärkung meines Selbstvertrauens durch die Features, die es dir ermöglichen, dich mit anderen zu vernetzen und dich weniger allein zu fühlen, sondern auch durch die Art, wie die App selbst darauf ausgerichtet ist, dass du dich besser fühlst. Sie ist einfach zu bedienen, macht Spaß und hilft jedem, der in irgendeiner Weise Schwierigkeiten hat.
David K
iOS-Nutzer
Die App ist einfach super! Ich muss nur das Thema in die Suche eingeben und bekomme sofort eine Antwort. Ich muss nicht mehr 10 YouTube-Videos schauen, um etwas zu verstehen, und spare dadurch richtig viel Zeit. Sehr empfehlenswert!
Sudenaz Ocak
Android-Nutzerin
In der Schule war ich echt schlecht in Mathe, aber dank der App bin ich jetzt besser geworden. Ich bin so dankbar, dass ihr die App gemacht habt.
Greenlight Bonnie
Android-Nutzerin
sehr zuverlässige App, um deine Ideen in Mathe, Englisch und anderen verwandten Themen zu verbessern. bitte nutze diese App, wenn du in bestimmten Bereichen Schwierigkeiten hast, diese App ist dafür der Schlüssel. wünschte, ich hätte früher eine Bewertung geschrieben. und sie ist auch kostenlos, also mach dir darüber keine Sorgen.
Rohan U
Android-Nutzer
Ich weiß, dass viele Apps gefälschte Accounts nutzen, um ihre Bewertungen zu pushen, aber diese App verdient das alles. Ursprünglich hatte ich eine 4 in meinen Englisch-Klausuren und dieses Mal habe ich eine 2 bekommen. Ich wusste erst drei Tage vor der Klausur von dieser App und sie hat mir SEHR geholfen. Bitte vertrau mir wirklich und nutze sie, denn ich bin sicher, dass auch du Fortschritte sehen wirst.
Xander S
iOS-Nutzer
DIE QUIZZE UND KARTEIKARTEN SIND SO NÜTZLICH UND ICH LIEBE Knowunity KI. ES IST AUCH BUCHSTÄBLICH WIE CHATGPT ABER SCHLAUER!! HAT MIR AUCH BEI MEINEN MASCARA-PROBLEMEN GEHOLFEN!! SOWIE BEI MEINEN ECHTEN FÄCHERN! NATÜRLICH 😍😁😲🤑💗✨🎀😮
Elisha
iOS-Nutzer
Diese App ist echt der Hammer. Ich finde Lernen so langweilig, aber diese App macht es so einfach, alles zu organisieren und dann kannst du die kostenlose KI bitten, dich abzufragen, so gut, und du kannst einfach deine eigenen Sachen hochladen. sehr empfehlenswert als jemand, der gerade Probeklausuren schreibt
Paul T
iOS-Nutzer