Der Satz des Pythagoras ist ein super wichtiges Werkzeug in... Mehr anzeigen
Melde dich an, um den Inhalt zu sehenKostenlos!
Zugriff auf alle Dokumente
Verbessere deine Noten
Schließ dich Millionen Schülern an
Knowunity KI
Fächer
Triangle Congruence and Similarity Theorems
Triangle Properties and Classification
Linear Equations and Graphs
Geometric Angle Relationships
Trigonometric Functions and Identities
Equation Solving Techniques
Circle Geometry Fundamentals
Division Operations and Methods
Basic Differentiation Rules
Exponent and Logarithm Properties
Alle Themen anzeigen
Human Organ Systems
Reproductive Cell Cycles
Biological Sciences Subdisciplines
Cellular Energy Metabolism
Autotrophic Energy Processes
Inheritance Patterns and Principles
Biomolecular Structure and Organization
Cell Cycle and Division Mechanics
Cellular Organization and Development
Biological Structural Organization
Alle Themen anzeigen
Chemical Sciences and Applications
Atomic Structure and Composition
Molecular Electron Structure Representation
Atomic Electron Behavior
Matter Properties and Water
Mole Concept and Calculations
Gas Laws and Behavior
Periodic Table Organization
Chemical Thermodynamics Fundamentals
Chemical Bond Types and Properties
Alle Themen anzeigen
European Renaissance and Enlightenment
European Cultural Movements 800-1920
American Revolution Era 1763-1797
American Civil War 1861-1865
Global Imperial Systems
Mongol and Chinese Dynasties
U.S. Presidents and World Leaders
Historical Sources and Documentation
World Wars Era and Impact
World Religious Systems
Alle Themen anzeigen
Classic and Contemporary Novels
Literary Character Analysis
Rhetorical Theory and Practice
Classic Literary Narratives
Reading Analysis and Interpretation
Narrative Structure and Techniques
English Language Components
Influential English-Language Authors
Basic Sentence Structure
Narrative Voice and Perspective
Alle Themen anzeigen
553
•
Aktualisiert Apr 30, 2026
•
Anouk
@anouk_hxhl
Der Satz des Pythagoras ist ein super wichtiges Werkzeug in... Mehr anzeigen








Stell dir vor, du willst die Entfernung zwischen zwei Punkten messen, aber ein Hindernis steht im Weg - genau hier hilft dir der Satz des Pythagoras! Bei einem rechtwinkligen Dreieck sind die beiden kürzeren Seiten die Katheten (a und b), während die längste Seite die Hypotenuse (c) ist.
Die goldene Regel lautet: a² + b² = c². Das bedeutet, wenn du die Quadrate der beiden Katheten addierst, erhältst du das Quadrat der Hypotenuse.
Merktipp: Die Hypotenuse liegt immer gegenüber dem rechten Winkel und ist die längste Seite des Dreiecks!

Manche Zahlen passen so perfekt zusammen, dass sie pythagoreische Tripel bilden - das sind drei ganze Zahlen, die den Satz des Pythagoras erfüllen. Die bekanntesten sind (3|4|5) und (5|12|13).
Bei (3|4|5) rechnest du: 3² + 4² = 9 + 16 = 25 = 5². Bei (5|12|13) ergibt sich: 5² + 12² = 25 + 144 = 169 = 13².
Der coole Trick: Wenn die Seitenlängen eines Dreiecks ein pythagoreisches Tripel bilden, dann ist das Dreieck automatisch rechtwinklig! Das nutzen sogar Bauarbeiter, um rechte Winkel zu konstruieren.

Jetzt wird's praktisch! Du kannst sowohl die Hypotenuse als auch eine Kathete berechnen, je nachdem was gesucht ist.
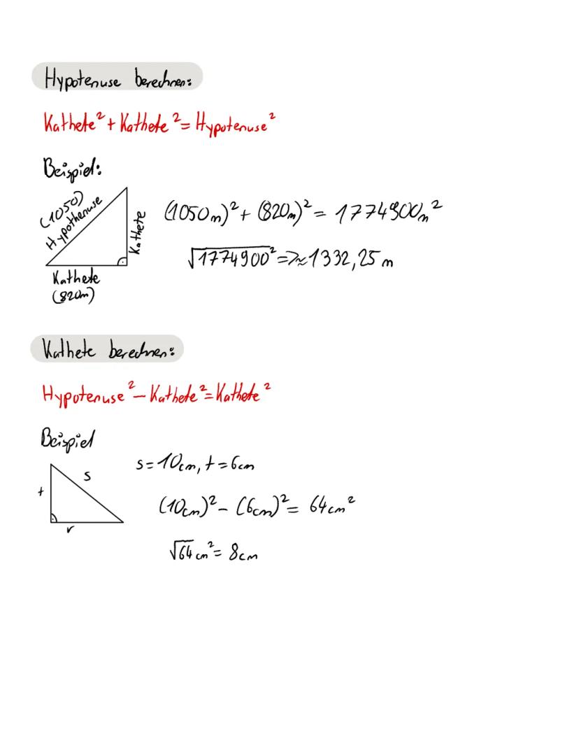
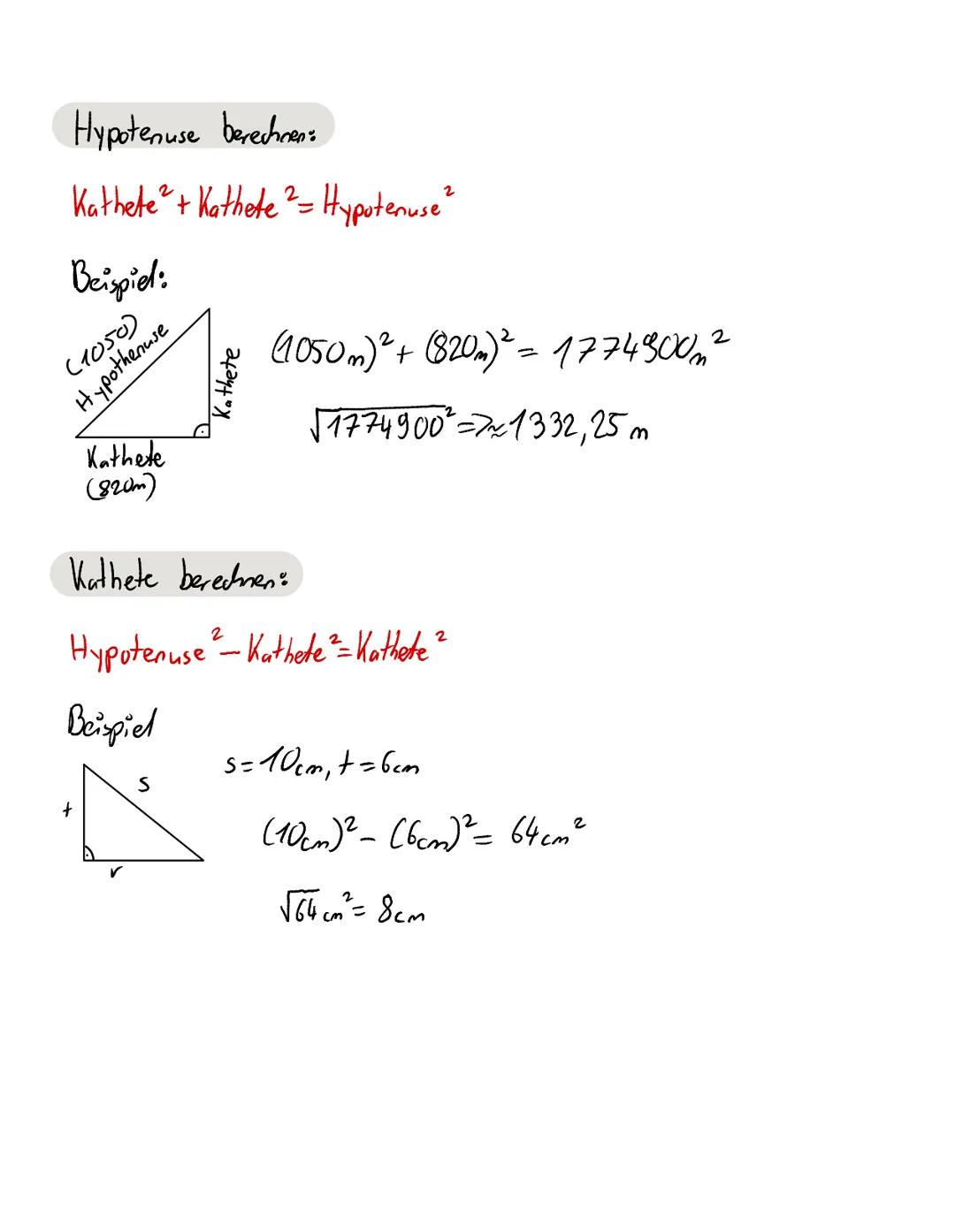
Hypotenuse berechnen: Du verwendest a² + b² = c² und ziehst am Ende die Wurzel. Beispiel: Bei Katheten von 1050m und 820m ergibt sich c = √(1050² + 820²) ≈ 1332,25m.
Kathete berechnen: Du stellst die Formel um zu a² = c² - b² und ziehst wieder die Wurzel. Beispiel: Bei Hypotenuse 10cm und einer Kathete 6cm ist die andere Kathete √(10² - 6²) = √64 = 8cm.
Praxistipp: Vergiss nie die Wurzel am Ende - ohne sie hast du nur das Quadrat der gesuchten Seite!

Der Satz des Pythagoras funktioniert auch super im Koordinatensystem! Wenn du den Abstand zwischen zwei Punkten P und Q messen willst, bildest du einfach ein rechtwinkliges Dreieck.
Die Abstandsformel lautet: d(P,Q) = √. Du berechnest also die Differenzen der x- und y-Koordinaten, quadrierst sie und ziehst aus der Summe die Wurzel.
Das ist eigentlich nur der Satz des Pythagoras in Verkleidung - die Koordinatendifferenzen sind deine Katheten, der Abstand ist die Hypotenuse!

Hier kommt ein faszinierender geometrischer Beweis: Wenn du einen Punkt auf einem Halbkreisbogen nimmst und ihn mit den Enden des Durchmessers verbindest, entsteht immer ein rechtwinkliges Dreieck!
Dieser Beweis zeigt, dass der Satz des Pythagoras nicht nur eine Rechenregel ist, sondern ein fundamentales Gesetz der Geometrie. Mathematiker haben über die Jahrhunderte hunderte verschiedener Beweise entwickelt.
Fun Fact: Sogar US-Präsident James A. Garfield hat einen eigenen Beweis für den Satz des Pythagoras entwickelt!

Der Satz des Pythagoras wird noch mächtiger, wenn du ihn in 3D-Figuren anwendest! Du kannst ihn mehrmals hintereinander nutzen, um Diagonalen in Würfeln oder Quadern zu berechnen.
Im Beispiel berechnest du erst eine Diagonale in der Grundfläche: Bei einem Rechteck mit 6cm und 8cm ergibt sich √(6² + 8²) = 10cm. Dann nutzt du diese 10cm als Kathete für die nächste Berechnung mit der Höhe 5cm: √(10² + 5²) ≈ 11,18cm.
So kannst du Schritt für Schritt auch die kompliziertesten räumlichen Probleme lösen - einfach den Satz des Pythagoras clever mehrmals anwenden!

Neben dem Satz des Pythagoras gibt es noch zwei weitere wichtige Sätze für rechtwinklige Dreiecke: den Höhensatz und den Kathetensatz.
Der Höhensatz besagt: h² = p · q (die Höhe zum Quadrat gleich dem Produkt der beiden Hypotenusenabschnitte). Der Kathetensatz lautet: a² = c · p und b² = c · q (jede Kathete zum Quadrat gleich Hypotenuse mal den anliegenden Abschnitt).
Diese Sätze ergänzen den Satz des Pythagoras perfekt und geben dir noch mehr Werkzeuge für knifflige Dreiecksaufgaben an die Hand.
Übungstipp: Zeichne dir immer eine Skizze und beschrifte alle bekannten Werte - so behältst du den Überblick!
Unser KI-Begleiter ist ein speziell für Schüler entwickeltes KI-Tool, das mehr als nur Antworten bietet. Basierend auf Millionen von Knowunity-Inhalten liefert er relevante Informationen, personalisierte Lernpläne, Quizze und Inhalte direkt im Chat und passt sich deinem individuellen Lernweg an.
Du kannst die App im Google Play Store und im Apple App Store herunterladen.
Genau! Genieße kostenlosen Zugang zu Lerninhalten, vernetze dich mit anderen Schülern und hol dir sofortige Hilfe – alles direkt auf deinem Handy.
App Store
Google Play
Die App ist sehr einfach zu bedienen und gut gestaltet. Ich habe bisher alles gefunden, wonach ich gesucht habe, und konnte viel aus den Präsentationen lernen! Ich werde die App definitiv für ein Schulprojekt nutzen! Und natürlich hilft sie auch sehr als Inspiration.
Stefan S
iOS-Nutzer
Diese App ist wirklich super. Es gibt so viele Lernzettel und Hilfen [...]. Mein Problemfach ist zum Beispiel Französisch und die App hat so viele Möglichkeiten zur Hilfe. Dank dieser App habe ich mich in Französisch verbessert. Ich würde sie jedem empfehlen.
Samantha Klich
Android-Nutzerin
Wow, ich bin wirklich begeistert. Ich habe die App einfach mal ausprobiert, weil ich sie schon oft beworben gesehen habe und war absolut beeindruckt. Diese App ist DIE HILFE, die man für die Schule braucht und vor allem bietet sie so viele Dinge wie Übungen und Lernzettel, die mir persönlich SEHR geholfen haben.
Anna
iOS-Nutzerin
Beste App der Welt! Keine Worte, weil sie einfach zu gut ist
Thomas R
iOS-Nutzer
Einfach genial. Lässt mich 10x besser lernen, diese App ist eine glatte 10/10. Ich empfehle sie jedem. Ich kann Lernzettel anschauen und suchen. Ich kann sie im Fachordner speichern. Ich kann sie jederzeit wiederholen, wenn ich zurückkomme. Wenn du diese App noch nicht ausprobiert hast, verpasst du wirklich was.
Basil
Android-Nutzer
Diese App hat mich so viel selbstbewusster in meiner Klausurvorbereitung gemacht, nicht nur durch die Stärkung meines Selbstvertrauens durch die Features, die es dir ermöglichen, dich mit anderen zu vernetzen und dich weniger allein zu fühlen, sondern auch durch die Art, wie die App selbst darauf ausgerichtet ist, dass du dich besser fühlst. Sie ist einfach zu bedienen, macht Spaß und hilft jedem, der in irgendeiner Weise Schwierigkeiten hat.
David K
iOS-Nutzer
Die App ist einfach super! Ich muss nur das Thema in die Suche eingeben und bekomme sofort eine Antwort. Ich muss nicht mehr 10 YouTube-Videos schauen, um etwas zu verstehen, und spare dadurch richtig viel Zeit. Sehr empfehlenswert!
Sudenaz Ocak
Android-Nutzerin
In der Schule war ich echt schlecht in Mathe, aber dank der App bin ich jetzt besser geworden. Ich bin so dankbar, dass ihr die App gemacht habt.
Greenlight Bonnie
Android-Nutzerin
sehr zuverlässige App, um deine Ideen in Mathe, Englisch und anderen verwandten Themen zu verbessern. bitte nutze diese App, wenn du in bestimmten Bereichen Schwierigkeiten hast, diese App ist dafür der Schlüssel. wünschte, ich hätte früher eine Bewertung geschrieben. und sie ist auch kostenlos, also mach dir darüber keine Sorgen.
Rohan U
Android-Nutzer
Ich weiß, dass viele Apps gefälschte Accounts nutzen, um ihre Bewertungen zu pushen, aber diese App verdient das alles. Ursprünglich hatte ich eine 4 in meinen Englisch-Klausuren und dieses Mal habe ich eine 2 bekommen. Ich wusste erst drei Tage vor der Klausur von dieser App und sie hat mir SEHR geholfen. Bitte vertrau mir wirklich und nutze sie, denn ich bin sicher, dass auch du Fortschritte sehen wirst.
Xander S
iOS-Nutzer
DIE QUIZZE UND KARTEIKARTEN SIND SO NÜTZLICH UND ICH LIEBE Knowunity KI. ES IST AUCH BUCHSTÄBLICH WIE CHATGPT ABER SCHLAUER!! HAT MIR AUCH BEI MEINEN MASCARA-PROBLEMEN GEHOLFEN!! SOWIE BEI MEINEN ECHTEN FÄCHERN! NATÜRLICH 😍😁😲🤑💗✨🎀😮
Elisha
iOS-Nutzer
Diese App ist echt der Hammer. Ich finde Lernen so langweilig, aber diese App macht es so einfach, alles zu organisieren und dann kannst du die kostenlose KI bitten, dich abzufragen, so gut, und du kannst einfach deine eigenen Sachen hochladen. sehr empfehlenswert als jemand, der gerade Probeklausuren schreibt
Paul T
iOS-Nutzer
Die App ist sehr einfach zu bedienen und gut gestaltet. Ich habe bisher alles gefunden, wonach ich gesucht habe, und konnte viel aus den Präsentationen lernen! Ich werde die App definitiv für ein Schulprojekt nutzen! Und natürlich hilft sie auch sehr als Inspiration.
Stefan S
iOS-Nutzer
Diese App ist wirklich super. Es gibt so viele Lernzettel und Hilfen [...]. Mein Problemfach ist zum Beispiel Französisch und die App hat so viele Möglichkeiten zur Hilfe. Dank dieser App habe ich mich in Französisch verbessert. Ich würde sie jedem empfehlen.
Samantha Klich
Android-Nutzerin
Wow, ich bin wirklich begeistert. Ich habe die App einfach mal ausprobiert, weil ich sie schon oft beworben gesehen habe und war absolut beeindruckt. Diese App ist DIE HILFE, die man für die Schule braucht und vor allem bietet sie so viele Dinge wie Übungen und Lernzettel, die mir persönlich SEHR geholfen haben.
Anna
iOS-Nutzerin
Beste App der Welt! Keine Worte, weil sie einfach zu gut ist
Thomas R
iOS-Nutzer
Einfach genial. Lässt mich 10x besser lernen, diese App ist eine glatte 10/10. Ich empfehle sie jedem. Ich kann Lernzettel anschauen und suchen. Ich kann sie im Fachordner speichern. Ich kann sie jederzeit wiederholen, wenn ich zurückkomme. Wenn du diese App noch nicht ausprobiert hast, verpasst du wirklich was.
Basil
Android-Nutzer
Diese App hat mich so viel selbstbewusster in meiner Klausurvorbereitung gemacht, nicht nur durch die Stärkung meines Selbstvertrauens durch die Features, die es dir ermöglichen, dich mit anderen zu vernetzen und dich weniger allein zu fühlen, sondern auch durch die Art, wie die App selbst darauf ausgerichtet ist, dass du dich besser fühlst. Sie ist einfach zu bedienen, macht Spaß und hilft jedem, der in irgendeiner Weise Schwierigkeiten hat.
David K
iOS-Nutzer
Die App ist einfach super! Ich muss nur das Thema in die Suche eingeben und bekomme sofort eine Antwort. Ich muss nicht mehr 10 YouTube-Videos schauen, um etwas zu verstehen, und spare dadurch richtig viel Zeit. Sehr empfehlenswert!
Sudenaz Ocak
Android-Nutzerin
In der Schule war ich echt schlecht in Mathe, aber dank der App bin ich jetzt besser geworden. Ich bin so dankbar, dass ihr die App gemacht habt.
Greenlight Bonnie
Android-Nutzerin
sehr zuverlässige App, um deine Ideen in Mathe, Englisch und anderen verwandten Themen zu verbessern. bitte nutze diese App, wenn du in bestimmten Bereichen Schwierigkeiten hast, diese App ist dafür der Schlüssel. wünschte, ich hätte früher eine Bewertung geschrieben. und sie ist auch kostenlos, also mach dir darüber keine Sorgen.
Rohan U
Android-Nutzer
Ich weiß, dass viele Apps gefälschte Accounts nutzen, um ihre Bewertungen zu pushen, aber diese App verdient das alles. Ursprünglich hatte ich eine 4 in meinen Englisch-Klausuren und dieses Mal habe ich eine 2 bekommen. Ich wusste erst drei Tage vor der Klausur von dieser App und sie hat mir SEHR geholfen. Bitte vertrau mir wirklich und nutze sie, denn ich bin sicher, dass auch du Fortschritte sehen wirst.
Xander S
iOS-Nutzer
DIE QUIZZE UND KARTEIKARTEN SIND SO NÜTZLICH UND ICH LIEBE Knowunity KI. ES IST AUCH BUCHSTÄBLICH WIE CHATGPT ABER SCHLAUER!! HAT MIR AUCH BEI MEINEN MASCARA-PROBLEMEN GEHOLFEN!! SOWIE BEI MEINEN ECHTEN FÄCHERN! NATÜRLICH 😍😁😲🤑💗✨🎀😮
Elisha
iOS-Nutzer
Diese App ist echt der Hammer. Ich finde Lernen so langweilig, aber diese App macht es so einfach, alles zu organisieren und dann kannst du die kostenlose KI bitten, dich abzufragen, so gut, und du kannst einfach deine eigenen Sachen hochladen. sehr empfehlenswert als jemand, der gerade Probeklausuren schreibt
Paul T
iOS-Nutzer
Anouk
@anouk_hxhl
Der Satz des Pythagoras ist ein super wichtiges Werkzeug in der Mathematik, das dir hilft, fehlende Seitenlängen in rechtwinkligen Dreiecken zu berechnen. Du kennst bestimmt schon die berühmte Formel a² + b² = c² - aber hier lernst du, wie... Mehr anzeigen

Zugriff auf alle Dokumente
Verbessere deine Noten
Schließ dich Millionen Schülern an
Stell dir vor, du willst die Entfernung zwischen zwei Punkten messen, aber ein Hindernis steht im Weg - genau hier hilft dir der Satz des Pythagoras! Bei einem rechtwinkligen Dreieck sind die beiden kürzeren Seiten die Katheten (a und b), während die längste Seite die Hypotenuse (c) ist.
Die goldene Regel lautet: a² + b² = c². Das bedeutet, wenn du die Quadrate der beiden Katheten addierst, erhältst du das Quadrat der Hypotenuse.
Merktipp: Die Hypotenuse liegt immer gegenüber dem rechten Winkel und ist die längste Seite des Dreiecks!

Zugriff auf alle Dokumente
Verbessere deine Noten
Schließ dich Millionen Schülern an
Manche Zahlen passen so perfekt zusammen, dass sie pythagoreische Tripel bilden - das sind drei ganze Zahlen, die den Satz des Pythagoras erfüllen. Die bekanntesten sind (3|4|5) und (5|12|13).
Bei (3|4|5) rechnest du: 3² + 4² = 9 + 16 = 25 = 5². Bei (5|12|13) ergibt sich: 5² + 12² = 25 + 144 = 169 = 13².
Der coole Trick: Wenn die Seitenlängen eines Dreiecks ein pythagoreisches Tripel bilden, dann ist das Dreieck automatisch rechtwinklig! Das nutzen sogar Bauarbeiter, um rechte Winkel zu konstruieren.

Zugriff auf alle Dokumente
Verbessere deine Noten
Schließ dich Millionen Schülern an
Jetzt wird's praktisch! Du kannst sowohl die Hypotenuse als auch eine Kathete berechnen, je nachdem was gesucht ist.
Hypotenuse berechnen: Du verwendest a² + b² = c² und ziehst am Ende die Wurzel. Beispiel: Bei Katheten von 1050m und 820m ergibt sich c = √(1050² + 820²) ≈ 1332,25m.
Kathete berechnen: Du stellst die Formel um zu a² = c² - b² und ziehst wieder die Wurzel. Beispiel: Bei Hypotenuse 10cm und einer Kathete 6cm ist die andere Kathete √(10² - 6²) = √64 = 8cm.
Praxistipp: Vergiss nie die Wurzel am Ende - ohne sie hast du nur das Quadrat der gesuchten Seite!

Zugriff auf alle Dokumente
Verbessere deine Noten
Schließ dich Millionen Schülern an
Der Satz des Pythagoras funktioniert auch super im Koordinatensystem! Wenn du den Abstand zwischen zwei Punkten P und Q messen willst, bildest du einfach ein rechtwinkliges Dreieck.
Die Abstandsformel lautet: d(P,Q) = √. Du berechnest also die Differenzen der x- und y-Koordinaten, quadrierst sie und ziehst aus der Summe die Wurzel.
Das ist eigentlich nur der Satz des Pythagoras in Verkleidung - die Koordinatendifferenzen sind deine Katheten, der Abstand ist die Hypotenuse!

Zugriff auf alle Dokumente
Verbessere deine Noten
Schließ dich Millionen Schülern an
Hier kommt ein faszinierender geometrischer Beweis: Wenn du einen Punkt auf einem Halbkreisbogen nimmst und ihn mit den Enden des Durchmessers verbindest, entsteht immer ein rechtwinkliges Dreieck!
Dieser Beweis zeigt, dass der Satz des Pythagoras nicht nur eine Rechenregel ist, sondern ein fundamentales Gesetz der Geometrie. Mathematiker haben über die Jahrhunderte hunderte verschiedener Beweise entwickelt.
Fun Fact: Sogar US-Präsident James A. Garfield hat einen eigenen Beweis für den Satz des Pythagoras entwickelt!

Zugriff auf alle Dokumente
Verbessere deine Noten
Schließ dich Millionen Schülern an
Der Satz des Pythagoras wird noch mächtiger, wenn du ihn in 3D-Figuren anwendest! Du kannst ihn mehrmals hintereinander nutzen, um Diagonalen in Würfeln oder Quadern zu berechnen.
Im Beispiel berechnest du erst eine Diagonale in der Grundfläche: Bei einem Rechteck mit 6cm und 8cm ergibt sich √(6² + 8²) = 10cm. Dann nutzt du diese 10cm als Kathete für die nächste Berechnung mit der Höhe 5cm: √(10² + 5²) ≈ 11,18cm.
So kannst du Schritt für Schritt auch die kompliziertesten räumlichen Probleme lösen - einfach den Satz des Pythagoras clever mehrmals anwenden!

Zugriff auf alle Dokumente
Verbessere deine Noten
Schließ dich Millionen Schülern an
Neben dem Satz des Pythagoras gibt es noch zwei weitere wichtige Sätze für rechtwinklige Dreiecke: den Höhensatz und den Kathetensatz.
Der Höhensatz besagt: h² = p · q (die Höhe zum Quadrat gleich dem Produkt der beiden Hypotenusenabschnitte). Der Kathetensatz lautet: a² = c · p und b² = c · q (jede Kathete zum Quadrat gleich Hypotenuse mal den anliegenden Abschnitt).
Diese Sätze ergänzen den Satz des Pythagoras perfekt und geben dir noch mehr Werkzeuge für knifflige Dreiecksaufgaben an die Hand.
Übungstipp: Zeichne dir immer eine Skizze und beschrifte alle bekannten Werte - so behältst du den Überblick!
Unser KI-Begleiter ist ein speziell für Schüler entwickeltes KI-Tool, das mehr als nur Antworten bietet. Basierend auf Millionen von Knowunity-Inhalten liefert er relevante Informationen, personalisierte Lernpläne, Quizze und Inhalte direkt im Chat und passt sich deinem individuellen Lernweg an.
Du kannst die App im Google Play Store und im Apple App Store herunterladen.
Genau! Genieße kostenlosen Zugang zu Lerninhalten, vernetze dich mit anderen Schülern und hol dir sofortige Hilfe – alles direkt auf deinem Handy.
11
Smart Tools NEU
Verwandle diesen Lernzettel in: ✓ 50+ Übungsfragen ✓ Interaktive Karteikarten ✓ Komplette Probeklausur ✓ Aufsatzgliederungen
Entdecken Sie die Grundlagen des Thaleskreises und den Satz des Pythagoras. Diese Zusammenfassung behandelt die Formeln für Fläche, Umfang und Höhe sowie die Anwendung des Pythagoreischen Theorems im Koordinatensystem. Ideal für Schüler, die geometrische Konzepte vertiefen möchten.
Entdecken Sie die wichtigsten Formeln zur Berechnung von Diagonalen, Höhen und Flächeninhalten in verschiedenen Vielecken. Diese Übersicht umfasst Rechteck, Quadrat, gleichseitiges und gleichschenkliges Dreieck, Deltoid, Raute, Parallelogramm und Trapez. Ideal für Schüler, die geometrische Konzepte vertiefen möchten.
Entdecken Sie den Pythagoreischen Lehrsatz, der die Beziehung zwischen den Seiten eines rechtwinkligen Dreiecks beschreibt. Diese Zusammenfassung behandelt die Definition, die Berechnung der Hypotenuse, die Umkehrung des Satzes und verschiedene Beweismethoden, einschließlich geometrischer Ansätze. Ideal für Schüler, die sich auf Mathematikprüfungen vorbereiten oder ihr Verständnis der Geometrie vertiefen möchten.
Erforschen Sie die Grundlagen des Satzes des Pythagoras, einschließlich des Höhensatzes und Kathetensatzes. Diese Zusammenfassung bietet klare Formeln, Beweise und Anwendungsbeispiele zur Geometrie von rechtwinkligen Dreiecken. Ideal für Schüler, die sich auf Prüfungen vorbereiten oder ihr Verständnis vertiefen möchten.
Vertiefe dein Verständnis des Satzes des Pythagoras mit diesem umfassenden Lernmaterial. Erlerne die Anwendung des Satzes auf rechtwinklige Dreiecke, berechne fehlende Katheten und Hypotenusen und entdecke die Berechnung der Raumdiagonale in Quadern. Ideal für die Vorbereitung auf Klassenarbeiten in der 9. Klasse. Enthält Beispiele und Schritt-für-Schritt-Anleitungen.
Entdecken Sie essentielle Formeln zur Berechnung von Flächen, Umfang, Volumen und Oberflächen für verschiedene geometrische Figuren. Diese Sammlung umfasst Formeln für Quadrate, Rechtecke, Dreiecke, Parallelogramme, Trapeze, Kreise sowie für Körper wie Würfel, Quader, Kugeln und Zylinder. Ideal für Mathematikstudenten und zur Vorbereitung auf Prüfungen.
App Store
Google Play
Die App ist sehr einfach zu bedienen und gut gestaltet. Ich habe bisher alles gefunden, wonach ich gesucht habe, und konnte viel aus den Präsentationen lernen! Ich werde die App definitiv für ein Schulprojekt nutzen! Und natürlich hilft sie auch sehr als Inspiration.
Stefan S
iOS-Nutzer
Diese App ist wirklich super. Es gibt so viele Lernzettel und Hilfen [...]. Mein Problemfach ist zum Beispiel Französisch und die App hat so viele Möglichkeiten zur Hilfe. Dank dieser App habe ich mich in Französisch verbessert. Ich würde sie jedem empfehlen.
Samantha Klich
Android-Nutzerin
Wow, ich bin wirklich begeistert. Ich habe die App einfach mal ausprobiert, weil ich sie schon oft beworben gesehen habe und war absolut beeindruckt. Diese App ist DIE HILFE, die man für die Schule braucht und vor allem bietet sie so viele Dinge wie Übungen und Lernzettel, die mir persönlich SEHR geholfen haben.
Anna
iOS-Nutzerin
Beste App der Welt! Keine Worte, weil sie einfach zu gut ist
Thomas R
iOS-Nutzer
Einfach genial. Lässt mich 10x besser lernen, diese App ist eine glatte 10/10. Ich empfehle sie jedem. Ich kann Lernzettel anschauen und suchen. Ich kann sie im Fachordner speichern. Ich kann sie jederzeit wiederholen, wenn ich zurückkomme. Wenn du diese App noch nicht ausprobiert hast, verpasst du wirklich was.
Basil
Android-Nutzer
Diese App hat mich so viel selbstbewusster in meiner Klausurvorbereitung gemacht, nicht nur durch die Stärkung meines Selbstvertrauens durch die Features, die es dir ermöglichen, dich mit anderen zu vernetzen und dich weniger allein zu fühlen, sondern auch durch die Art, wie die App selbst darauf ausgerichtet ist, dass du dich besser fühlst. Sie ist einfach zu bedienen, macht Spaß und hilft jedem, der in irgendeiner Weise Schwierigkeiten hat.
David K
iOS-Nutzer
Die App ist einfach super! Ich muss nur das Thema in die Suche eingeben und bekomme sofort eine Antwort. Ich muss nicht mehr 10 YouTube-Videos schauen, um etwas zu verstehen, und spare dadurch richtig viel Zeit. Sehr empfehlenswert!
Sudenaz Ocak
Android-Nutzerin
In der Schule war ich echt schlecht in Mathe, aber dank der App bin ich jetzt besser geworden. Ich bin so dankbar, dass ihr die App gemacht habt.
Greenlight Bonnie
Android-Nutzerin
sehr zuverlässige App, um deine Ideen in Mathe, Englisch und anderen verwandten Themen zu verbessern. bitte nutze diese App, wenn du in bestimmten Bereichen Schwierigkeiten hast, diese App ist dafür der Schlüssel. wünschte, ich hätte früher eine Bewertung geschrieben. und sie ist auch kostenlos, also mach dir darüber keine Sorgen.
Rohan U
Android-Nutzer
Ich weiß, dass viele Apps gefälschte Accounts nutzen, um ihre Bewertungen zu pushen, aber diese App verdient das alles. Ursprünglich hatte ich eine 4 in meinen Englisch-Klausuren und dieses Mal habe ich eine 2 bekommen. Ich wusste erst drei Tage vor der Klausur von dieser App und sie hat mir SEHR geholfen. Bitte vertrau mir wirklich und nutze sie, denn ich bin sicher, dass auch du Fortschritte sehen wirst.
Xander S
iOS-Nutzer
DIE QUIZZE UND KARTEIKARTEN SIND SO NÜTZLICH UND ICH LIEBE Knowunity KI. ES IST AUCH BUCHSTÄBLICH WIE CHATGPT ABER SCHLAUER!! HAT MIR AUCH BEI MEINEN MASCARA-PROBLEMEN GEHOLFEN!! SOWIE BEI MEINEN ECHTEN FÄCHERN! NATÜRLICH 😍😁😲🤑💗✨🎀😮
Elisha
iOS-Nutzer
Diese App ist echt der Hammer. Ich finde Lernen so langweilig, aber diese App macht es so einfach, alles zu organisieren und dann kannst du die kostenlose KI bitten, dich abzufragen, so gut, und du kannst einfach deine eigenen Sachen hochladen. sehr empfehlenswert als jemand, der gerade Probeklausuren schreibt
Paul T
iOS-Nutzer
Die App ist sehr einfach zu bedienen und gut gestaltet. Ich habe bisher alles gefunden, wonach ich gesucht habe, und konnte viel aus den Präsentationen lernen! Ich werde die App definitiv für ein Schulprojekt nutzen! Und natürlich hilft sie auch sehr als Inspiration.
Stefan S
iOS-Nutzer
Diese App ist wirklich super. Es gibt so viele Lernzettel und Hilfen [...]. Mein Problemfach ist zum Beispiel Französisch und die App hat so viele Möglichkeiten zur Hilfe. Dank dieser App habe ich mich in Französisch verbessert. Ich würde sie jedem empfehlen.
Samantha Klich
Android-Nutzerin
Wow, ich bin wirklich begeistert. Ich habe die App einfach mal ausprobiert, weil ich sie schon oft beworben gesehen habe und war absolut beeindruckt. Diese App ist DIE HILFE, die man für die Schule braucht und vor allem bietet sie so viele Dinge wie Übungen und Lernzettel, die mir persönlich SEHR geholfen haben.
Anna
iOS-Nutzerin
Beste App der Welt! Keine Worte, weil sie einfach zu gut ist
Thomas R
iOS-Nutzer
Einfach genial. Lässt mich 10x besser lernen, diese App ist eine glatte 10/10. Ich empfehle sie jedem. Ich kann Lernzettel anschauen und suchen. Ich kann sie im Fachordner speichern. Ich kann sie jederzeit wiederholen, wenn ich zurückkomme. Wenn du diese App noch nicht ausprobiert hast, verpasst du wirklich was.
Basil
Android-Nutzer
Diese App hat mich so viel selbstbewusster in meiner Klausurvorbereitung gemacht, nicht nur durch die Stärkung meines Selbstvertrauens durch die Features, die es dir ermöglichen, dich mit anderen zu vernetzen und dich weniger allein zu fühlen, sondern auch durch die Art, wie die App selbst darauf ausgerichtet ist, dass du dich besser fühlst. Sie ist einfach zu bedienen, macht Spaß und hilft jedem, der in irgendeiner Weise Schwierigkeiten hat.
David K
iOS-Nutzer
Die App ist einfach super! Ich muss nur das Thema in die Suche eingeben und bekomme sofort eine Antwort. Ich muss nicht mehr 10 YouTube-Videos schauen, um etwas zu verstehen, und spare dadurch richtig viel Zeit. Sehr empfehlenswert!
Sudenaz Ocak
Android-Nutzerin
In der Schule war ich echt schlecht in Mathe, aber dank der App bin ich jetzt besser geworden. Ich bin so dankbar, dass ihr die App gemacht habt.
Greenlight Bonnie
Android-Nutzerin
sehr zuverlässige App, um deine Ideen in Mathe, Englisch und anderen verwandten Themen zu verbessern. bitte nutze diese App, wenn du in bestimmten Bereichen Schwierigkeiten hast, diese App ist dafür der Schlüssel. wünschte, ich hätte früher eine Bewertung geschrieben. und sie ist auch kostenlos, also mach dir darüber keine Sorgen.
Rohan U
Android-Nutzer
Ich weiß, dass viele Apps gefälschte Accounts nutzen, um ihre Bewertungen zu pushen, aber diese App verdient das alles. Ursprünglich hatte ich eine 4 in meinen Englisch-Klausuren und dieses Mal habe ich eine 2 bekommen. Ich wusste erst drei Tage vor der Klausur von dieser App und sie hat mir SEHR geholfen. Bitte vertrau mir wirklich und nutze sie, denn ich bin sicher, dass auch du Fortschritte sehen wirst.
Xander S
iOS-Nutzer
DIE QUIZZE UND KARTEIKARTEN SIND SO NÜTZLICH UND ICH LIEBE Knowunity KI. ES IST AUCH BUCHSTÄBLICH WIE CHATGPT ABER SCHLAUER!! HAT MIR AUCH BEI MEINEN MASCARA-PROBLEMEN GEHOLFEN!! SOWIE BEI MEINEN ECHTEN FÄCHERN! NATÜRLICH 😍😁😲🤑💗✨🎀😮
Elisha
iOS-Nutzer
Diese App ist echt der Hammer. Ich finde Lernen so langweilig, aber diese App macht es so einfach, alles zu organisieren und dann kannst du die kostenlose KI bitten, dich abzufragen, so gut, und du kannst einfach deine eigenen Sachen hochladen. sehr empfehlenswert als jemand, der gerade Probeklausuren schreibt
Paul T
iOS-Nutzer