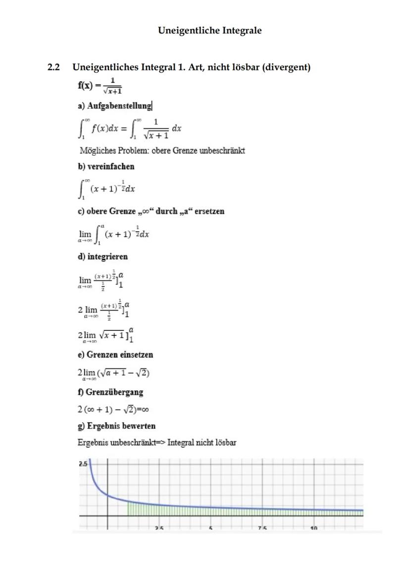
Uneigentliche Integrale: Besonderheiten, Erkennungsmerkmale und Berechnung.
Uneigentliche Integrale (U.I.) stellen eine Besonderheit der bestimmten Integrale dar. Es ist vorab nicht immer zu erkennen, ob die U.I. berechenbar sind oder nicht. Dieser Artikel wendet sich an SchülerInnen des LK zum Ende der Integralrechnung.












Wir dachten schon, du fragst nie...
Was ist der Knowunity KI-Begleiter?
Unser KI-Begleiter ist ein speziell für Schüler entwickeltes KI-Tool, das mehr als nur Antworten bietet. Basierend auf Millionen von Knowunity-Inhalten liefert er relevante Informationen, personalisierte Lernpläne, Quizze und Inhalte direkt im Chat und passt sich deinem individuellen Lernweg an.
Wo kann ich die Knowunity-App herunterladen?
Du kannst die App im Google Play Store und im Apple App Store herunterladen.
Ist Knowunity wirklich kostenlos?
Genau! Genieße kostenlosen Zugang zu Lerninhalten, vernetze dich mit anderen Schülern und hol dir sofortige Hilfe – alles direkt auf deinem Handy.
Ähnlicher Inhalt
Beliebtester Inhalt: Uneigentliche Integrale
4Uneigentliche Integrale verstehen
Erfahren Sie alles über uneigentliche Integrale, einschließlich ihrer Definition, Bedingungen und Beispiele. Diese Zusammenfassung bietet eine klare Erklärung der Konzepte, die für das Verständnis unendlicher Integrationsgrenzen und deren Anwendung in der Mathematik entscheidend sind.
Uneigentliche Integrale verstehen
Erfahren Sie alles über uneigentliche Integrale: Definition, Berechnungsmethoden und Beispiele. Diese Zusammenfassung bietet eine klare Erklärung der Konzepte, die für das Verständnis von unendlichen Flächeninhalten und deren Berechnung notwendig sind. Ideal für Schüler, die sich auf Prüfungen vorbereiten oder ihr Wissen in der Analysis vertiefen möchten.
Uneigentliche Integrale Berechnung
Dieser Lernzettel behandelt die Berechnung uneigentlicher Integrale in der Integralrechnung. Er erklärt die Schritte zur Bestimmung der Stammfunktion, den Umgang mit variablen Grenzen und die Bestimmung von Grenzwerten. Ideal für Studierende der Mathematik, die ein tieferes Verständnis für unendliche Flächeninhalte und deren Berechnung entwickeln möchten.
Uneigentliche Integrale: Verhalten
Erforschen Sie das Verhalten uneigentlicher Integrale für x -> ±∞ und x -> 0. Diese Zusammenfassung behandelt die Bestimmung begrenzter und unbegrenzter Flächeninhalte sowie die Anwendung des Hauptsatzes der Analysis. Ideal für Mathematik-Leistungskurse.
Beliebtester Inhalt in Mathe
9ZP10 Mathe Zusammenfassung NRW
Lernzettel für die ZP10 Mathe in NRW mit allen Themen außer Sinusfunktionen.
Mathe ZP10 Zusammenfassung NRW
Zusammenfassung der Mathethemwn für die ZP10 NRW + Formelsammlung
Mathematik Themenübersicht ZP 2024
Umfassende Zusammenfassung aller relevanten Mathematikthemen für die zentrale Prüfung 2024. Behandelt werden unter anderem Exponentialgleichungen, Prozentrechnung, Zinsrechnung, geometrische Berechnungen und statistische Grundlagen. Ideal für Schüler zur gezielten Vorbereitung auf die Abschlussprüfung.
Prüfungsvorbereitung MSA Klasse 10
Zusammenfassung Mathe für den MSA Klasse 10
Mathematik ZP10 Zusammenfassung
Umfassende Zusammenfassung für die Mathematikprüfung ZP10 am Gymnasium. Behandelt zentrale Themen wie Stochastik, quadratische und exponentielle Funktionen, Geometrie, und Zinsrechnung. Ideal zur Vorbereitung auf Prüfungen und zur Vertiefung mathematischer Konzepte.
Analysis: Funktionsscharen & Ableitungen
Dieser Lernzettel bietet eine umfassende Übersicht über zentrale Themen der Analysis, einschließlich Funktionsscharen, Ableitungen, Extrempunkte, Integrale und e-Funktionen. Ideal für die Vorbereitung auf das Abitur im Mathematik Grundkurs. Verstehe die Konzepte und deren Anwendungen mit klaren Beispielen und Schritt-für-Schritt-Anleitungen.
Mathe-Abitur 2024: Stochastik & Vektoren
Umfassende Lernressourcen für das Mathe-Abitur 2024 im Leistungskurs NRW. Themen: Hypothesentests, Binomialverteilung, Vektorrechnung (Lagebeziehungen, Abstände, Spiegelung), Analysis (Funktionstypen, Integralrechnung, Extremwertaufgaben) und mehr. Ideal zur Vorbereitung auf Prüfungen und zur Vertiefung mathematischer Konzepte.
Mathe Abi26 Zusammenfassung NRW
Dient zur Vorbereitung auf das Abitur 2026 im Grundkurs Mathematik.
Mathematik Abitur Themenübersicht
Umfassende Übersicht aller Themen für das Mathe-Abitur: von Analysis über Kurvendiskussion bis hin zu Integralrechnung und Stochastik. Ideal für die Prüfungsvorbereitung mit detaillierten Inhalten zu analytischer Geometrie, e-Funktionen, Extremwertaufgaben und mehr.
Beliebtester Inhalt
9Der zerbrochene Krug
Szenenzusammenfassunfen, Figurenkonstellationen, Aufbau des Stücks, Sprache und Stilbesonderheiten, Aussageabsicht, Thematik, Interpretation
Der zerbrochene Krug von Heinrich von Kleist
Hier steht so ziemlich alles drinnen von Zusammenfassungen der einzelnen Auftritte bis hin zu den einzelnen Perosn und noch einiges mehr
Der zerbrochne Krug
Ausführliche Lernzettel zu: Basisdaten, Handlung, ausführliche Zusammenfassungen der Auftritte, zentrale Themen, Symbolische Bedeutung, Merkmale der Komödie
Heimsuchung_JennyErpenbeck_Abitur
Zusammenfassungen für jedes Kapitel, Analysen und Zitate
Abilernzettel Heimsuchung 2025
Figurenkonstellation, Kapitel Zusammenfassung, Charaktere, Motive, Deutungsansätze,
Der zerbrochene Krug: Analyse
Diese umfassende Analyse von 'Der zerbrochene Krug' von Heinrich von Kleist bietet eine detaillierte Kapitelzusammenfassung, Charakterisierungen, historische Kontexte, sowie den Aufbau und die sprachlichen Merkmale des Dramas. Ideal für Studierende, die sich auf Prüfungen vorbereiten oder tiefere Einblicke in Kleists Werk gewinnen möchten.
Englisch LK Abitur 2025
Komplette Englisch LK Abi Zusammenfassung 2025
Heimsuchung - Jenny Erpenbeck
Inhalt, Entstehung und Quellen, Figuren, Geschichtliche Hintergründe, Motive, Erzählstruktur/- stil
Charaktere aus Heimsuchung von Jenny Erpenbeck
Mindmap, Allgemeines, Verlauf
Findest du nicht, was du suchst? Entdecke andere Fächer.
Schüler lieben uns — und du auch.
Die App ist sehr einfach zu bedienen und gut gestaltet. Ich habe bisher alles gefunden, wonach ich gesucht habe, und konnte viel aus den Präsentationen lernen! Ich werde die App definitiv für ein Schulprojekt nutzen! Und natürlich hilft sie auch sehr als Inspiration.
Diese App ist wirklich super. Es gibt so viele Lernzettel und Hilfen [...]. Mein Problemfach ist zum Beispiel Französisch und die App hat so viele Möglichkeiten zur Hilfe. Dank dieser App habe ich mich in Französisch verbessert. Ich würde sie jedem empfehlen.
Wow, ich bin wirklich begeistert. Ich habe die App einfach mal ausprobiert, weil ich sie schon oft beworben gesehen habe und war absolut beeindruckt. Diese App ist DIE HILFE, die man für die Schule braucht und vor allem bietet sie so viele Dinge wie Übungen und Lernzettel, die mir persönlich SEHR geholfen haben.
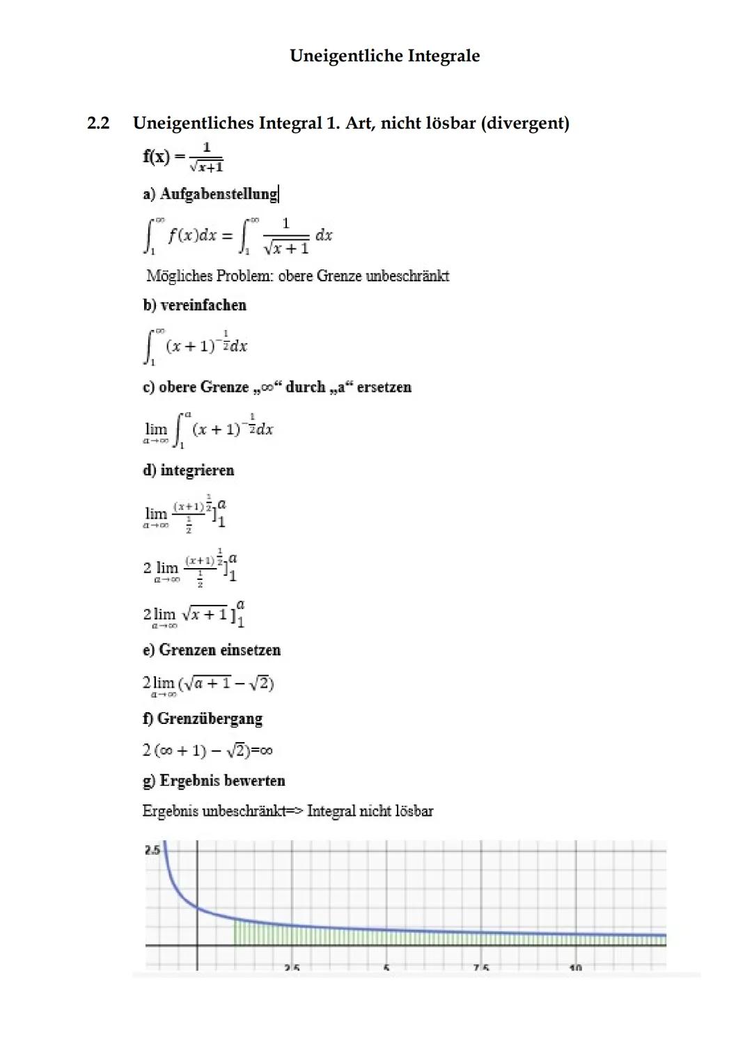
Uneigentliche Integrale: Besonderheiten, Erkennungsmerkmale und Berechnung.
Uneigentliche Integrale (U.I.) stellen eine Besonderheit der bestimmten Integrale dar. Es ist vorab nicht immer zu erkennen, ob die U.I. berechenbar sind oder nicht. Dieser Artikel wendet sich an SchülerInnen des LK zum Ende der Integralrechnung.

Melde dich an, um den Inhalt zu sehen. Kostenlos!
- Zugriff auf alle Dokumente
- Verbessere deine Noten
- Schließ dich Millionen Schülern an

Melde dich an, um den Inhalt zu sehen. Kostenlos!
- Zugriff auf alle Dokumente
- Verbessere deine Noten
- Schließ dich Millionen Schülern an

Melde dich an, um den Inhalt zu sehen. Kostenlos!
- Zugriff auf alle Dokumente
- Verbessere deine Noten
- Schließ dich Millionen Schülern an

Melde dich an, um den Inhalt zu sehen. Kostenlos!
- Zugriff auf alle Dokumente
- Verbessere deine Noten
- Schließ dich Millionen Schülern an

Melde dich an, um den Inhalt zu sehen. Kostenlos!
- Zugriff auf alle Dokumente
- Verbessere deine Noten
- Schließ dich Millionen Schülern an

Melde dich an, um den Inhalt zu sehen. Kostenlos!
- Zugriff auf alle Dokumente
- Verbessere deine Noten
- Schließ dich Millionen Schülern an
Wir dachten schon, du fragst nie...
Was ist der Knowunity KI-Begleiter?
Unser KI-Begleiter ist ein speziell für Schüler entwickeltes KI-Tool, das mehr als nur Antworten bietet. Basierend auf Millionen von Knowunity-Inhalten liefert er relevante Informationen, personalisierte Lernpläne, Quizze und Inhalte direkt im Chat und passt sich deinem individuellen Lernweg an.
Wo kann ich die Knowunity-App herunterladen?
Du kannst die App im Google Play Store und im Apple App Store herunterladen.
Ist Knowunity wirklich kostenlos?
Genau! Genieße kostenlosen Zugang zu Lerninhalten, vernetze dich mit anderen Schülern und hol dir sofortige Hilfe – alles direkt auf deinem Handy.
Ähnlicher Inhalt
Beliebtester Inhalt: Uneigentliche Integrale
4Uneigentliche Integrale verstehen
Erfahren Sie alles über uneigentliche Integrale, einschließlich ihrer Definition, Bedingungen und Beispiele. Diese Zusammenfassung bietet eine klare Erklärung der Konzepte, die für das Verständnis unendlicher Integrationsgrenzen und deren Anwendung in der Mathematik entscheidend sind.
Uneigentliche Integrale verstehen
Erfahren Sie alles über uneigentliche Integrale: Definition, Berechnungsmethoden und Beispiele. Diese Zusammenfassung bietet eine klare Erklärung der Konzepte, die für das Verständnis von unendlichen Flächeninhalten und deren Berechnung notwendig sind. Ideal für Schüler, die sich auf Prüfungen vorbereiten oder ihr Wissen in der Analysis vertiefen möchten.
Uneigentliche Integrale Berechnung
Dieser Lernzettel behandelt die Berechnung uneigentlicher Integrale in der Integralrechnung. Er erklärt die Schritte zur Bestimmung der Stammfunktion, den Umgang mit variablen Grenzen und die Bestimmung von Grenzwerten. Ideal für Studierende der Mathematik, die ein tieferes Verständnis für unendliche Flächeninhalte und deren Berechnung entwickeln möchten.
Uneigentliche Integrale: Verhalten
Erforschen Sie das Verhalten uneigentlicher Integrale für x -> ±∞ und x -> 0. Diese Zusammenfassung behandelt die Bestimmung begrenzter und unbegrenzter Flächeninhalte sowie die Anwendung des Hauptsatzes der Analysis. Ideal für Mathematik-Leistungskurse.
Beliebtester Inhalt in Mathe
9ZP10 Mathe Zusammenfassung NRW
Lernzettel für die ZP10 Mathe in NRW mit allen Themen außer Sinusfunktionen.
Mathe ZP10 Zusammenfassung NRW
Zusammenfassung der Mathethemwn für die ZP10 NRW + Formelsammlung
Mathematik Themenübersicht ZP 2024
Umfassende Zusammenfassung aller relevanten Mathematikthemen für die zentrale Prüfung 2024. Behandelt werden unter anderem Exponentialgleichungen, Prozentrechnung, Zinsrechnung, geometrische Berechnungen und statistische Grundlagen. Ideal für Schüler zur gezielten Vorbereitung auf die Abschlussprüfung.
Prüfungsvorbereitung MSA Klasse 10
Zusammenfassung Mathe für den MSA Klasse 10
Mathematik ZP10 Zusammenfassung
Umfassende Zusammenfassung für die Mathematikprüfung ZP10 am Gymnasium. Behandelt zentrale Themen wie Stochastik, quadratische und exponentielle Funktionen, Geometrie, und Zinsrechnung. Ideal zur Vorbereitung auf Prüfungen und zur Vertiefung mathematischer Konzepte.
Analysis: Funktionsscharen & Ableitungen
Dieser Lernzettel bietet eine umfassende Übersicht über zentrale Themen der Analysis, einschließlich Funktionsscharen, Ableitungen, Extrempunkte, Integrale und e-Funktionen. Ideal für die Vorbereitung auf das Abitur im Mathematik Grundkurs. Verstehe die Konzepte und deren Anwendungen mit klaren Beispielen und Schritt-für-Schritt-Anleitungen.
Mathe-Abitur 2024: Stochastik & Vektoren
Umfassende Lernressourcen für das Mathe-Abitur 2024 im Leistungskurs NRW. Themen: Hypothesentests, Binomialverteilung, Vektorrechnung (Lagebeziehungen, Abstände, Spiegelung), Analysis (Funktionstypen, Integralrechnung, Extremwertaufgaben) und mehr. Ideal zur Vorbereitung auf Prüfungen und zur Vertiefung mathematischer Konzepte.
Mathe Abi26 Zusammenfassung NRW
Dient zur Vorbereitung auf das Abitur 2026 im Grundkurs Mathematik.
Mathematik Abitur Themenübersicht
Umfassende Übersicht aller Themen für das Mathe-Abitur: von Analysis über Kurvendiskussion bis hin zu Integralrechnung und Stochastik. Ideal für die Prüfungsvorbereitung mit detaillierten Inhalten zu analytischer Geometrie, e-Funktionen, Extremwertaufgaben und mehr.
Beliebtester Inhalt
9Der zerbrochene Krug
Szenenzusammenfassunfen, Figurenkonstellationen, Aufbau des Stücks, Sprache und Stilbesonderheiten, Aussageabsicht, Thematik, Interpretation
Der zerbrochene Krug von Heinrich von Kleist
Hier steht so ziemlich alles drinnen von Zusammenfassungen der einzelnen Auftritte bis hin zu den einzelnen Perosn und noch einiges mehr
Der zerbrochne Krug
Ausführliche Lernzettel zu: Basisdaten, Handlung, ausführliche Zusammenfassungen der Auftritte, zentrale Themen, Symbolische Bedeutung, Merkmale der Komödie
Heimsuchung_JennyErpenbeck_Abitur
Zusammenfassungen für jedes Kapitel, Analysen und Zitate
Abilernzettel Heimsuchung 2025
Figurenkonstellation, Kapitel Zusammenfassung, Charaktere, Motive, Deutungsansätze,
Der zerbrochene Krug: Analyse
Diese umfassende Analyse von 'Der zerbrochene Krug' von Heinrich von Kleist bietet eine detaillierte Kapitelzusammenfassung, Charakterisierungen, historische Kontexte, sowie den Aufbau und die sprachlichen Merkmale des Dramas. Ideal für Studierende, die sich auf Prüfungen vorbereiten oder tiefere Einblicke in Kleists Werk gewinnen möchten.
Englisch LK Abitur 2025
Komplette Englisch LK Abi Zusammenfassung 2025
Heimsuchung - Jenny Erpenbeck
Inhalt, Entstehung und Quellen, Figuren, Geschichtliche Hintergründe, Motive, Erzählstruktur/- stil
Charaktere aus Heimsuchung von Jenny Erpenbeck
Mindmap, Allgemeines, Verlauf
Findest du nicht, was du suchst? Entdecke andere Fächer.
Schüler lieben uns — und du auch.
Die App ist sehr einfach zu bedienen und gut gestaltet. Ich habe bisher alles gefunden, wonach ich gesucht habe, und konnte viel aus den Präsentationen lernen! Ich werde die App definitiv für ein Schulprojekt nutzen! Und natürlich hilft sie auch sehr als Inspiration.
Diese App ist wirklich super. Es gibt so viele Lernzettel und Hilfen [...]. Mein Problemfach ist zum Beispiel Französisch und die App hat so viele Möglichkeiten zur Hilfe. Dank dieser App habe ich mich in Französisch verbessert. Ich würde sie jedem empfehlen.
Wow, ich bin wirklich begeistert. Ich habe die App einfach mal ausprobiert, weil ich sie schon oft beworben gesehen habe und war absolut beeindruckt. Diese App ist DIE HILFE, die man für die Schule braucht und vor allem bietet sie so viele Dinge wie Übungen und Lernzettel, die mir persönlich SEHR geholfen haben.