Wellen sind überall um uns herum - von Schallwellen in... Mehr anzeigen
Melde dich an, um den Inhalt zu sehenKostenlos!
Zugriff auf alle Dokumente
Verbessere deine Noten
Schließ dich Millionen Schülern an
Knowunity KI
Fächer
Triangle Congruence and Similarity Theorems
Triangle Properties and Classification
Linear Equations and Graphs
Geometric Angle Relationships
Trigonometric Functions and Identities
Equation Solving Techniques
Circle Geometry Fundamentals
Division Operations and Methods
Basic Differentiation Rules
Exponent and Logarithm Properties
Alle Themen anzeigen
Human Organ Systems
Reproductive Cell Cycles
Biological Sciences Subdisciplines
Cellular Energy Metabolism
Autotrophic Energy Processes
Inheritance Patterns and Principles
Biomolecular Structure and Organization
Cell Cycle and Division Mechanics
Cellular Organization and Development
Biological Structural Organization
Alle Themen anzeigen
Chemical Sciences and Applications
Atomic Structure and Composition
Molecular Electron Structure Representation
Atomic Electron Behavior
Matter Properties and Water
Mole Concept and Calculations
Gas Laws and Behavior
Periodic Table Organization
Chemical Thermodynamics Fundamentals
Chemical Bond Types and Properties
Alle Themen anzeigen
European Renaissance and Enlightenment
European Cultural Movements 800-1920
American Revolution Era 1763-1797
American Civil War 1861-1865
Global Imperial Systems
Mongol and Chinese Dynasties
U.S. Presidents and World Leaders
Historical Sources and Documentation
World Wars Era and Impact
World Religious Systems
Alle Themen anzeigen
Classic and Contemporary Novels
Literary Character Analysis
Rhetorical Theory and Practice
Classic Literary Narratives
Reading Analysis and Interpretation
Narrative Structure and Techniques
English Language Components
Influential English-Language Authors
Basic Sentence Structure
Narrative Voice and Perspective
Alle Themen anzeigen
1,755
•
Aktualisiert Apr 8, 2026
•
ella
@ella_emx
Wellen sind überall um uns herum - von Schallwellen in... Mehr anzeigen











Stell dir vor, du wirfst einen Stein ins Wasser - die entstehenden Kreise sind mechanische Wellen. Sie transportieren Energie, aber keine Masse durch den Wellenträger.
Wellenträger bestehen aus gekoppelten Oszillatoren, die um ihre Ruhelage schwingen. Bei Longitudinalwellen schwingen sie parallel zur Ausbreitungsrichtung (wie bei Schallwellen). Bei Transversalwellen schwingen sie senkrecht dazu (wie bei Wasserwellen).
Die Ausbreitungsgeschwindigkeit berechnest du mit c = λ · f, wobei λ die Wellenlänge und f die Frequenz ist. Die Frequenz wird immer vom Erreger bestimmt, während die Geschwindigkeit vom Medium abhängt.
💡 Merkhilfe: Wellenlänge λ ist der Abstand zwischen zwei Punkten gleicher Phase - wie zwischen zwei Wellenbergen.

Wenn sich zwei Wellen begegnen, addieren sich ihre Elongationen - das nennt man Überlagerung. Zwei Berge verstärken sich, Berg und Tal löschen sich aus. Nach der Begegnung laufen beide Wellen ungestört weiter.
Bei der Reflexion am festen Ende wird ein Berg als Tal reflektiert - es gibt einen Phasensprung von π. Das führt zur Punktspiegelung und kurzzeitigen Auslöschung am Ende.
Bei der Reflexion am losen Ende bleibt ein Berg ein Berg - keine Phasenverschiebung. Hier entsteht eine Achsenspiegelung mit kurzzeitiger Verdopplung der Amplitude.
💡 Eselsbrücke: Festes Ende = Phasensprung, loses Ende = kein Phasensprung.

Das Zeigermodell macht Wellen super verständlich! Ein rotierender Zeiger zeigt Phase und Elongation jedes Oszillators an. Die Elongation ist die Projektion auf die y-Achse.
Stehende Wellen entstehen, wenn sich zwei identische Wellen entgegenlaufen. Sie haben Knoten und Bäuche (maximale Amplitude). Der Abstand zwischen zwei Knoten beträgt λ/2.
Bei der Interferenz unterscheidest du konstruktive Interferenz (Verstärkung bei gleicher Phase) und destruktive Interferenz (Auslöschung bei Gegenphase). Das Zeigermodell hilft dir, das zu visualisieren.
💡 Wichtig: Oszillatoren zwischen zwei Knoten schwingen in Phase, vor und nach einem Knoten in Gegenphase.

Die Resonanzfrequenzen hängen davon ab, wie der Wellenträger befestigt ist. Bei zwei festen Enden sind beide Enden Knoten, und es gilt: l = k·λ/2 mit fₖ = k·c/(2l).
Bei zwei losen Enden gelten dieselben Formeln wie bei festen Enden - beide Enden sind Bäuche. Die Grundschwingung ist die tiefste mögliche Frequenz.
Bei einem festen und einem losen Ende ist das feste Ende ein Knoten, das lose ein Bauch. Hier gilt: l = ·λ/4 mit fₖ = c/(4l)·. Nur ungerade Vielfache der Grundfrequenz sind möglich.
💡 Praxistipp: Bei Resonanzfrequenzen wird die Lautstärke deutlich lauter - das kannst du bei Musikinstrumenten beobachten!

Du kennst das vom Krankenwagen: Der Ton wird höher, wenn er sich nähert, und tiefer, wenn er sich entfernt. Das ist der Dopplereffekt!
Wenn sich die Quelle auf dich zubewegt (v > 0), hörst du eine höhere Frequenz: f' = f·c/. Je schneller die Quelle, desto höher die wahrgenommene Frequenz.
Wenn sich die Quelle von dir entfernt (v < 0), wird die Frequenz niedriger: f' = f·c/. Die Wellenlänge beim Beobachter verändert sich durch die Bewegung der Quelle.
💡 Bedingung: Der Dopplereffekt funktioniert nur, wenn |v| < c ist - die Geschwindigkeit muss kleiner als die Wellengeschwindigkeit sein.

Auch wenn du dich bewegst und die Quelle ruht, ändert sich die wahrgenommene Frequenz. Die Wellenlänge bleibt gleich, aber deine relative Ausbreitungsgeschwindigkeit ändert sich.
Bewegst du dich auf die Quelle zu (v > 0), wird c' = c + v, und du hörst: f' = f·/c = f·. Die Frequenz wird höher.
Bewegst du dich von der Quelle weg (v < 0), wird durch das negative Vorzeichen die Frequenz niedriger: f' < f. Das Produkt wird durch die Differenz kleiner.
💡 Unterschied: Bei bewegter Quelle ändert sich die Wellenlänge, bei bewegtem Beobachter die relative Geschwindigkeit.

Elektromagnetische Wellen entstehen im Schwingkreis mit der Frequenz f = 1/(2π√LC). Um höhere Frequenzen zu erreichen, wird der Kondensator aufgebogen und die Spule gestreckt - so entsteht der Hertz'sche Dipol.
Beim Dipol überlagern sich E- und B-Feld. Die Dipollänge entspricht λ/2, wie bei stehenden Wellen. Die Stromstärke hat einen Knoten an den Enden und einen Bauch in der Mitte.
Die Ladungsverteilung verhält sich umgekehrt - Bäuche an den Enden, Knoten in der Mitte. Beide stehenden Wellen sind um π phasenverschoben. Im Fernfeld sind E- und B-Feld phasengleich.
💡 Wichtig: Elektromagnetische Wellen sind keine Kugelwellen, sondern räumlich orientiert durch die Ausrichtung des Sendedipols.

E-M-Wellen durchdringen Papier, Holz und Glas, werden aber von Metallplatten blockiert und reflektiert. Dabei gilt: Einfallswinkel = Ausfallswinkel.
Mit Mikrowellen-Experimenten kannst du Welleneigenschaften nachweisen. Zwischen Sender und Metallwand entstehen durch Interferenz stehende Wellen mit Knoten und Bäuchen.
In Materie breiten sich E-M-Wellen langsamer aus: c = c₀/√εᵣ. Die Dielektrizitätskonstante εᵣ bestimmt die Geschwindigkeit. Im Wasser ist εᵣ ≈ 81, daher ist die Lichtgeschwindigkeit deutlich geringer.
💡 Experiment: Mit unterschiedlich langen Dipolen in Wasser kannst du die veränderte Ausbreitungsgeschwindigkeit nachweisen.


Unser KI-Begleiter ist ein speziell für Schüler entwickeltes KI-Tool, das mehr als nur Antworten bietet. Basierend auf Millionen von Knowunity-Inhalten liefert er relevante Informationen, personalisierte Lernpläne, Quizze und Inhalte direkt im Chat und passt sich deinem individuellen Lernweg an.
Du kannst die App im Google Play Store und im Apple App Store herunterladen.
Genau! Genieße kostenlosen Zugang zu Lerninhalten, vernetze dich mit anderen Schülern und hol dir sofortige Hilfe – alles direkt auf deinem Handy.
App Store
Google Play
Die App ist sehr einfach zu bedienen und gut gestaltet. Ich habe bisher alles gefunden, wonach ich gesucht habe, und konnte viel aus den Präsentationen lernen! Ich werde die App definitiv für ein Schulprojekt nutzen! Und natürlich hilft sie auch sehr als Inspiration.
Stefan S
iOS-Nutzer
Diese App ist wirklich super. Es gibt so viele Lernzettel und Hilfen [...]. Mein Problemfach ist zum Beispiel Französisch und die App hat so viele Möglichkeiten zur Hilfe. Dank dieser App habe ich mich in Französisch verbessert. Ich würde sie jedem empfehlen.
Samantha Klich
Android-Nutzerin
Wow, ich bin wirklich begeistert. Ich habe die App einfach mal ausprobiert, weil ich sie schon oft beworben gesehen habe und war absolut beeindruckt. Diese App ist DIE HILFE, die man für die Schule braucht und vor allem bietet sie so viele Dinge wie Übungen und Lernzettel, die mir persönlich SEHR geholfen haben.
Anna
iOS-Nutzerin
Beste App der Welt! Keine Worte, weil sie einfach zu gut ist
Thomas R
iOS-Nutzer
Einfach genial. Lässt mich 10x besser lernen, diese App ist eine glatte 10/10. Ich empfehle sie jedem. Ich kann Lernzettel anschauen und suchen. Ich kann sie im Fachordner speichern. Ich kann sie jederzeit wiederholen, wenn ich zurückkomme. Wenn du diese App noch nicht ausprobiert hast, verpasst du wirklich was.
Basil
Android-Nutzer
Diese App hat mich so viel selbstbewusster in meiner Klausurvorbereitung gemacht, nicht nur durch die Stärkung meines Selbstvertrauens durch die Features, die es dir ermöglichen, dich mit anderen zu vernetzen und dich weniger allein zu fühlen, sondern auch durch die Art, wie die App selbst darauf ausgerichtet ist, dass du dich besser fühlst. Sie ist einfach zu bedienen, macht Spaß und hilft jedem, der in irgendeiner Weise Schwierigkeiten hat.
David K
iOS-Nutzer
Die App ist einfach super! Ich muss nur das Thema in die Suche eingeben und bekomme sofort eine Antwort. Ich muss nicht mehr 10 YouTube-Videos schauen, um etwas zu verstehen, und spare dadurch richtig viel Zeit. Sehr empfehlenswert!
Sudenaz Ocak
Android-Nutzerin
In der Schule war ich echt schlecht in Mathe, aber dank der App bin ich jetzt besser geworden. Ich bin so dankbar, dass ihr die App gemacht habt.
Greenlight Bonnie
Android-Nutzerin
sehr zuverlässige App, um deine Ideen in Mathe, Englisch und anderen verwandten Themen zu verbessern. bitte nutze diese App, wenn du in bestimmten Bereichen Schwierigkeiten hast, diese App ist dafür der Schlüssel. wünschte, ich hätte früher eine Bewertung geschrieben. und sie ist auch kostenlos, also mach dir darüber keine Sorgen.
Rohan U
Android-Nutzer
Ich weiß, dass viele Apps gefälschte Accounts nutzen, um ihre Bewertungen zu pushen, aber diese App verdient das alles. Ursprünglich hatte ich eine 4 in meinen Englisch-Klausuren und dieses Mal habe ich eine 2 bekommen. Ich wusste erst drei Tage vor der Klausur von dieser App und sie hat mir SEHR geholfen. Bitte vertrau mir wirklich und nutze sie, denn ich bin sicher, dass auch du Fortschritte sehen wirst.
Xander S
iOS-Nutzer
DIE QUIZZE UND KARTEIKARTEN SIND SO NÜTZLICH UND ICH LIEBE Knowunity KI. ES IST AUCH BUCHSTÄBLICH WIE CHATGPT ABER SCHLAUER!! HAT MIR AUCH BEI MEINEN MASCARA-PROBLEMEN GEHOLFEN!! SOWIE BEI MEINEN ECHTEN FÄCHERN! NATÜRLICH 😍😁😲🤑💗✨🎀😮
Elisha
iOS-Nutzer
Diese App ist echt der Hammer. Ich finde Lernen so langweilig, aber diese App macht es so einfach, alles zu organisieren und dann kannst du die kostenlose KI bitten, dich abzufragen, so gut, und du kannst einfach deine eigenen Sachen hochladen. sehr empfehlenswert als jemand, der gerade Probeklausuren schreibt
Paul T
iOS-Nutzer
Die App ist sehr einfach zu bedienen und gut gestaltet. Ich habe bisher alles gefunden, wonach ich gesucht habe, und konnte viel aus den Präsentationen lernen! Ich werde die App definitiv für ein Schulprojekt nutzen! Und natürlich hilft sie auch sehr als Inspiration.
Stefan S
iOS-Nutzer
Diese App ist wirklich super. Es gibt so viele Lernzettel und Hilfen [...]. Mein Problemfach ist zum Beispiel Französisch und die App hat so viele Möglichkeiten zur Hilfe. Dank dieser App habe ich mich in Französisch verbessert. Ich würde sie jedem empfehlen.
Samantha Klich
Android-Nutzerin
Wow, ich bin wirklich begeistert. Ich habe die App einfach mal ausprobiert, weil ich sie schon oft beworben gesehen habe und war absolut beeindruckt. Diese App ist DIE HILFE, die man für die Schule braucht und vor allem bietet sie so viele Dinge wie Übungen und Lernzettel, die mir persönlich SEHR geholfen haben.
Anna
iOS-Nutzerin
Beste App der Welt! Keine Worte, weil sie einfach zu gut ist
Thomas R
iOS-Nutzer
Einfach genial. Lässt mich 10x besser lernen, diese App ist eine glatte 10/10. Ich empfehle sie jedem. Ich kann Lernzettel anschauen und suchen. Ich kann sie im Fachordner speichern. Ich kann sie jederzeit wiederholen, wenn ich zurückkomme. Wenn du diese App noch nicht ausprobiert hast, verpasst du wirklich was.
Basil
Android-Nutzer
Diese App hat mich so viel selbstbewusster in meiner Klausurvorbereitung gemacht, nicht nur durch die Stärkung meines Selbstvertrauens durch die Features, die es dir ermöglichen, dich mit anderen zu vernetzen und dich weniger allein zu fühlen, sondern auch durch die Art, wie die App selbst darauf ausgerichtet ist, dass du dich besser fühlst. Sie ist einfach zu bedienen, macht Spaß und hilft jedem, der in irgendeiner Weise Schwierigkeiten hat.
David K
iOS-Nutzer
Die App ist einfach super! Ich muss nur das Thema in die Suche eingeben und bekomme sofort eine Antwort. Ich muss nicht mehr 10 YouTube-Videos schauen, um etwas zu verstehen, und spare dadurch richtig viel Zeit. Sehr empfehlenswert!
Sudenaz Ocak
Android-Nutzerin
In der Schule war ich echt schlecht in Mathe, aber dank der App bin ich jetzt besser geworden. Ich bin so dankbar, dass ihr die App gemacht habt.
Greenlight Bonnie
Android-Nutzerin
sehr zuverlässige App, um deine Ideen in Mathe, Englisch und anderen verwandten Themen zu verbessern. bitte nutze diese App, wenn du in bestimmten Bereichen Schwierigkeiten hast, diese App ist dafür der Schlüssel. wünschte, ich hätte früher eine Bewertung geschrieben. und sie ist auch kostenlos, also mach dir darüber keine Sorgen.
Rohan U
Android-Nutzer
Ich weiß, dass viele Apps gefälschte Accounts nutzen, um ihre Bewertungen zu pushen, aber diese App verdient das alles. Ursprünglich hatte ich eine 4 in meinen Englisch-Klausuren und dieses Mal habe ich eine 2 bekommen. Ich wusste erst drei Tage vor der Klausur von dieser App und sie hat mir SEHR geholfen. Bitte vertrau mir wirklich und nutze sie, denn ich bin sicher, dass auch du Fortschritte sehen wirst.
Xander S
iOS-Nutzer
DIE QUIZZE UND KARTEIKARTEN SIND SO NÜTZLICH UND ICH LIEBE Knowunity KI. ES IST AUCH BUCHSTÄBLICH WIE CHATGPT ABER SCHLAUER!! HAT MIR AUCH BEI MEINEN MASCARA-PROBLEMEN GEHOLFEN!! SOWIE BEI MEINEN ECHTEN FÄCHERN! NATÜRLICH 😍😁😲🤑💗✨🎀😮
Elisha
iOS-Nutzer
Diese App ist echt der Hammer. Ich finde Lernen so langweilig, aber diese App macht es so einfach, alles zu organisieren und dann kannst du die kostenlose KI bitten, dich abzufragen, so gut, und du kannst einfach deine eigenen Sachen hochladen. sehr empfehlenswert als jemand, der gerade Probeklausuren schreibt
Paul T
iOS-Nutzer
ella
@ella_emx
Wellen sind überall um uns herum - von Schallwellen in der Musik bis zu elektromagnetischen Wellen in unserem WLAN. Du lernst hier die Grundlagen mechanischer und elektromagnetischer Wellen kennen, die für dein Physik-Abi wichtig sind.

Zugriff auf alle Dokumente
Verbessere deine Noten
Schließ dich Millionen Schülern an
Stell dir vor, du wirfst einen Stein ins Wasser - die entstehenden Kreise sind mechanische Wellen. Sie transportieren Energie, aber keine Masse durch den Wellenträger.
Wellenträger bestehen aus gekoppelten Oszillatoren, die um ihre Ruhelage schwingen. Bei Longitudinalwellen schwingen sie parallel zur Ausbreitungsrichtung (wie bei Schallwellen). Bei Transversalwellen schwingen sie senkrecht dazu (wie bei Wasserwellen).
Die Ausbreitungsgeschwindigkeit berechnest du mit c = λ · f, wobei λ die Wellenlänge und f die Frequenz ist. Die Frequenz wird immer vom Erreger bestimmt, während die Geschwindigkeit vom Medium abhängt.
💡 Merkhilfe: Wellenlänge λ ist der Abstand zwischen zwei Punkten gleicher Phase - wie zwischen zwei Wellenbergen.

Zugriff auf alle Dokumente
Verbessere deine Noten
Schließ dich Millionen Schülern an
Wenn sich zwei Wellen begegnen, addieren sich ihre Elongationen - das nennt man Überlagerung. Zwei Berge verstärken sich, Berg und Tal löschen sich aus. Nach der Begegnung laufen beide Wellen ungestört weiter.
Bei der Reflexion am festen Ende wird ein Berg als Tal reflektiert - es gibt einen Phasensprung von π. Das führt zur Punktspiegelung und kurzzeitigen Auslöschung am Ende.
Bei der Reflexion am losen Ende bleibt ein Berg ein Berg - keine Phasenverschiebung. Hier entsteht eine Achsenspiegelung mit kurzzeitiger Verdopplung der Amplitude.
💡 Eselsbrücke: Festes Ende = Phasensprung, loses Ende = kein Phasensprung.

Zugriff auf alle Dokumente
Verbessere deine Noten
Schließ dich Millionen Schülern an
Das Zeigermodell macht Wellen super verständlich! Ein rotierender Zeiger zeigt Phase und Elongation jedes Oszillators an. Die Elongation ist die Projektion auf die y-Achse.
Stehende Wellen entstehen, wenn sich zwei identische Wellen entgegenlaufen. Sie haben Knoten und Bäuche (maximale Amplitude). Der Abstand zwischen zwei Knoten beträgt λ/2.
Bei der Interferenz unterscheidest du konstruktive Interferenz (Verstärkung bei gleicher Phase) und destruktive Interferenz (Auslöschung bei Gegenphase). Das Zeigermodell hilft dir, das zu visualisieren.
💡 Wichtig: Oszillatoren zwischen zwei Knoten schwingen in Phase, vor und nach einem Knoten in Gegenphase.

Zugriff auf alle Dokumente
Verbessere deine Noten
Schließ dich Millionen Schülern an
Die Resonanzfrequenzen hängen davon ab, wie der Wellenträger befestigt ist. Bei zwei festen Enden sind beide Enden Knoten, und es gilt: l = k·λ/2 mit fₖ = k·c/(2l).
Bei zwei losen Enden gelten dieselben Formeln wie bei festen Enden - beide Enden sind Bäuche. Die Grundschwingung ist die tiefste mögliche Frequenz.
Bei einem festen und einem losen Ende ist das feste Ende ein Knoten, das lose ein Bauch. Hier gilt: l = ·λ/4 mit fₖ = c/(4l)·. Nur ungerade Vielfache der Grundfrequenz sind möglich.
💡 Praxistipp: Bei Resonanzfrequenzen wird die Lautstärke deutlich lauter - das kannst du bei Musikinstrumenten beobachten!

Zugriff auf alle Dokumente
Verbessere deine Noten
Schließ dich Millionen Schülern an
Du kennst das vom Krankenwagen: Der Ton wird höher, wenn er sich nähert, und tiefer, wenn er sich entfernt. Das ist der Dopplereffekt!
Wenn sich die Quelle auf dich zubewegt (v > 0), hörst du eine höhere Frequenz: f' = f·c/. Je schneller die Quelle, desto höher die wahrgenommene Frequenz.
Wenn sich die Quelle von dir entfernt (v < 0), wird die Frequenz niedriger: f' = f·c/. Die Wellenlänge beim Beobachter verändert sich durch die Bewegung der Quelle.
💡 Bedingung: Der Dopplereffekt funktioniert nur, wenn |v| < c ist - die Geschwindigkeit muss kleiner als die Wellengeschwindigkeit sein.

Zugriff auf alle Dokumente
Verbessere deine Noten
Schließ dich Millionen Schülern an
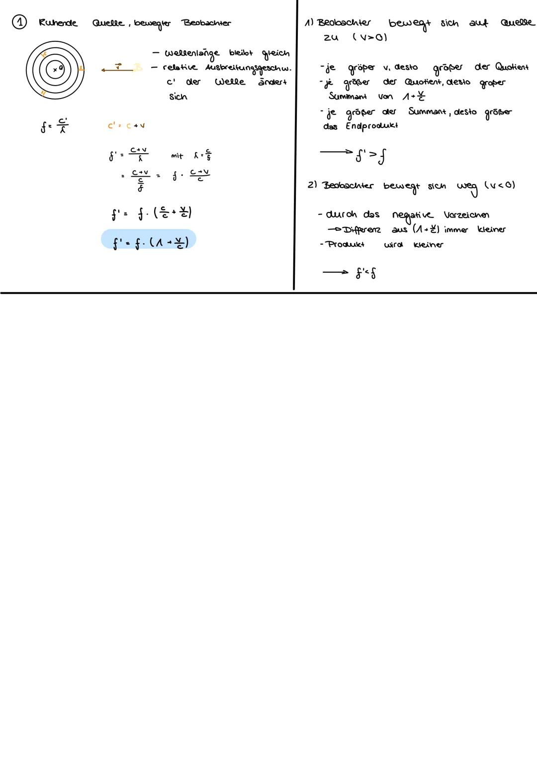
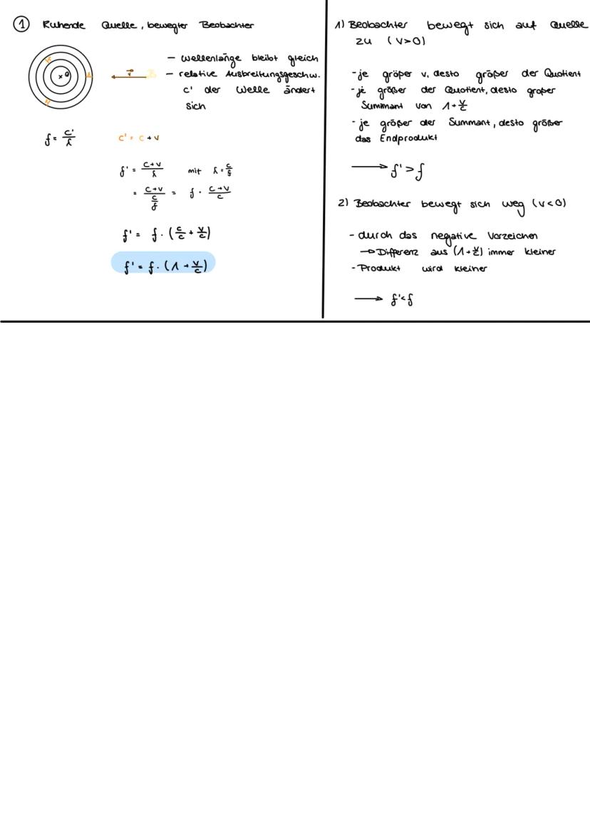
Auch wenn du dich bewegst und die Quelle ruht, ändert sich die wahrgenommene Frequenz. Die Wellenlänge bleibt gleich, aber deine relative Ausbreitungsgeschwindigkeit ändert sich.
Bewegst du dich auf die Quelle zu (v > 0), wird c' = c + v, und du hörst: f' = f·/c = f·. Die Frequenz wird höher.
Bewegst du dich von der Quelle weg (v < 0), wird durch das negative Vorzeichen die Frequenz niedriger: f' < f. Das Produkt wird durch die Differenz kleiner.
💡 Unterschied: Bei bewegter Quelle ändert sich die Wellenlänge, bei bewegtem Beobachter die relative Geschwindigkeit.

Zugriff auf alle Dokumente
Verbessere deine Noten
Schließ dich Millionen Schülern an
Elektromagnetische Wellen entstehen im Schwingkreis mit der Frequenz f = 1/(2π√LC). Um höhere Frequenzen zu erreichen, wird der Kondensator aufgebogen und die Spule gestreckt - so entsteht der Hertz'sche Dipol.
Beim Dipol überlagern sich E- und B-Feld. Die Dipollänge entspricht λ/2, wie bei stehenden Wellen. Die Stromstärke hat einen Knoten an den Enden und einen Bauch in der Mitte.
Die Ladungsverteilung verhält sich umgekehrt - Bäuche an den Enden, Knoten in der Mitte. Beide stehenden Wellen sind um π phasenverschoben. Im Fernfeld sind E- und B-Feld phasengleich.
💡 Wichtig: Elektromagnetische Wellen sind keine Kugelwellen, sondern räumlich orientiert durch die Ausrichtung des Sendedipols.

Zugriff auf alle Dokumente
Verbessere deine Noten
Schließ dich Millionen Schülern an
E-M-Wellen durchdringen Papier, Holz und Glas, werden aber von Metallplatten blockiert und reflektiert. Dabei gilt: Einfallswinkel = Ausfallswinkel.
Mit Mikrowellen-Experimenten kannst du Welleneigenschaften nachweisen. Zwischen Sender und Metallwand entstehen durch Interferenz stehende Wellen mit Knoten und Bäuchen.
In Materie breiten sich E-M-Wellen langsamer aus: c = c₀/√εᵣ. Die Dielektrizitätskonstante εᵣ bestimmt die Geschwindigkeit. Im Wasser ist εᵣ ≈ 81, daher ist die Lichtgeschwindigkeit deutlich geringer.
💡 Experiment: Mit unterschiedlich langen Dipolen in Wasser kannst du die veränderte Ausbreitungsgeschwindigkeit nachweisen.

Zugriff auf alle Dokumente
Verbessere deine Noten
Schließ dich Millionen Schülern an

Zugriff auf alle Dokumente
Verbessere deine Noten
Schließ dich Millionen Schülern an
Unser KI-Begleiter ist ein speziell für Schüler entwickeltes KI-Tool, das mehr als nur Antworten bietet. Basierend auf Millionen von Knowunity-Inhalten liefert er relevante Informationen, personalisierte Lernpläne, Quizze und Inhalte direkt im Chat und passt sich deinem individuellen Lernweg an.
Du kannst die App im Google Play Store und im Apple App Store herunterladen.
Genau! Genieße kostenlosen Zugang zu Lerninhalten, vernetze dich mit anderen Schülern und hol dir sofortige Hilfe – alles direkt auf deinem Handy.
27
Smart Tools NEU
Verwandle diesen Lernzettel in: ✓ 50+ Übungsfragen ✓ Interaktive Karteikarten ✓ Komplette Probeklausur ✓ Aufsatzgliederungen
Entdecken Sie die Grundlagen mechanischer und optischer Wellen, einschließlich des Huygenschen Prinzips, der Interferenz am Doppelspalt und der Bedeutung des Farbspektrums. Diese Zusammenfassung bietet eine klare Erklärung der Wellenbewegung, der Lichtintensität und der Bedingungen für konstruktive und destruktive Interferenz. Ideal für Studierende der Physik, die sich auf Prüfungen vorbereiten oder ihr Wissen vertiefen möchten.
Entdecken Sie die Prinzipien der Interferenz und Beugung im Doppelspaltexperiment. Diese Zusammenfassung behandelt die Welleneigenschaften des Lichts, die Bedingungen für Maxima und Minima sowie die Rolle der Kohärenz. Ideal für Physik LK-Studierende, die sich auf das Verständnis der Lichtwellen und deren Verhalten bei Interferenz konzentrieren möchten.
Entdecken Sie die Grundlagen der Quantenphysik mit Fokus auf den äußeren lichtelektrischen Effekt, die Interferenz von Photonen, die de-Broglie-Welle, den Taylor Versuch und die Heisenbergsche Unschärferelation. Diese Zusammenfassung bietet eine klare Erklärung der Energie-Masse-Äquivalenz und der Wellen-Teilchen-Dualität. Ideal für Studierende, die sich auf Prüfungen vorbereiten oder ihr Wissen vertiefen möchten.
Erforschen Sie die Prinzipien der Interferenz und die Funktionsweise von Doppelspalt- und Gitterexperimenten. Dieser Lernzettel behandelt konstruktive und destruktive Interferenz, die Position der Maxima und die mathematischen Grundlagen zur Berechnung von Wellenlängen und Abständen. Ideal für Studierende der Physik, die ein tieferes Verständnis der Wellenoptik erlangen möchten.
Entdecken Sie die Grundlagen der Quantenphysik durch wichtige Experimente wie den Franck-Hertz-Versuch, den Photoeffekt und die Elektronenbeugung. Erfahren Sie mehr über de Broglie-Wellen, das planksche Wirkungsquantum und die Funktionsweise von Dioden. Diese Zusammenfassung bietet eine klare Übersicht über die zentralen Konzepte und deren Anwendungen in der modernen Physik.
Erforschen Sie die Prinzipien der Interferenz und Beugung in der Wellenoptik. Diese Zusammenfassung behandelt das Doppelspalt-Experiment, die Intensitätsverteilung bei verschiedenen Beugungsobjekten und die Berechnung von Maxima und Minima. Ideal für Studierende, die sich auf Prüfungen vorbereiten oder ihr Verständnis der Wellenoptik vertiefen möchten.
App Store
Google Play
Die App ist sehr einfach zu bedienen und gut gestaltet. Ich habe bisher alles gefunden, wonach ich gesucht habe, und konnte viel aus den Präsentationen lernen! Ich werde die App definitiv für ein Schulprojekt nutzen! Und natürlich hilft sie auch sehr als Inspiration.
Stefan S
iOS-Nutzer
Diese App ist wirklich super. Es gibt so viele Lernzettel und Hilfen [...]. Mein Problemfach ist zum Beispiel Französisch und die App hat so viele Möglichkeiten zur Hilfe. Dank dieser App habe ich mich in Französisch verbessert. Ich würde sie jedem empfehlen.
Samantha Klich
Android-Nutzerin
Wow, ich bin wirklich begeistert. Ich habe die App einfach mal ausprobiert, weil ich sie schon oft beworben gesehen habe und war absolut beeindruckt. Diese App ist DIE HILFE, die man für die Schule braucht und vor allem bietet sie so viele Dinge wie Übungen und Lernzettel, die mir persönlich SEHR geholfen haben.
Anna
iOS-Nutzerin
Beste App der Welt! Keine Worte, weil sie einfach zu gut ist
Thomas R
iOS-Nutzer
Einfach genial. Lässt mich 10x besser lernen, diese App ist eine glatte 10/10. Ich empfehle sie jedem. Ich kann Lernzettel anschauen und suchen. Ich kann sie im Fachordner speichern. Ich kann sie jederzeit wiederholen, wenn ich zurückkomme. Wenn du diese App noch nicht ausprobiert hast, verpasst du wirklich was.
Basil
Android-Nutzer
Diese App hat mich so viel selbstbewusster in meiner Klausurvorbereitung gemacht, nicht nur durch die Stärkung meines Selbstvertrauens durch die Features, die es dir ermöglichen, dich mit anderen zu vernetzen und dich weniger allein zu fühlen, sondern auch durch die Art, wie die App selbst darauf ausgerichtet ist, dass du dich besser fühlst. Sie ist einfach zu bedienen, macht Spaß und hilft jedem, der in irgendeiner Weise Schwierigkeiten hat.
David K
iOS-Nutzer
Die App ist einfach super! Ich muss nur das Thema in die Suche eingeben und bekomme sofort eine Antwort. Ich muss nicht mehr 10 YouTube-Videos schauen, um etwas zu verstehen, und spare dadurch richtig viel Zeit. Sehr empfehlenswert!
Sudenaz Ocak
Android-Nutzerin
In der Schule war ich echt schlecht in Mathe, aber dank der App bin ich jetzt besser geworden. Ich bin so dankbar, dass ihr die App gemacht habt.
Greenlight Bonnie
Android-Nutzerin
sehr zuverlässige App, um deine Ideen in Mathe, Englisch und anderen verwandten Themen zu verbessern. bitte nutze diese App, wenn du in bestimmten Bereichen Schwierigkeiten hast, diese App ist dafür der Schlüssel. wünschte, ich hätte früher eine Bewertung geschrieben. und sie ist auch kostenlos, also mach dir darüber keine Sorgen.
Rohan U
Android-Nutzer
Ich weiß, dass viele Apps gefälschte Accounts nutzen, um ihre Bewertungen zu pushen, aber diese App verdient das alles. Ursprünglich hatte ich eine 4 in meinen Englisch-Klausuren und dieses Mal habe ich eine 2 bekommen. Ich wusste erst drei Tage vor der Klausur von dieser App und sie hat mir SEHR geholfen. Bitte vertrau mir wirklich und nutze sie, denn ich bin sicher, dass auch du Fortschritte sehen wirst.
Xander S
iOS-Nutzer
DIE QUIZZE UND KARTEIKARTEN SIND SO NÜTZLICH UND ICH LIEBE Knowunity KI. ES IST AUCH BUCHSTÄBLICH WIE CHATGPT ABER SCHLAUER!! HAT MIR AUCH BEI MEINEN MASCARA-PROBLEMEN GEHOLFEN!! SOWIE BEI MEINEN ECHTEN FÄCHERN! NATÜRLICH 😍😁😲🤑💗✨🎀😮
Elisha
iOS-Nutzer
Diese App ist echt der Hammer. Ich finde Lernen so langweilig, aber diese App macht es so einfach, alles zu organisieren und dann kannst du die kostenlose KI bitten, dich abzufragen, so gut, und du kannst einfach deine eigenen Sachen hochladen. sehr empfehlenswert als jemand, der gerade Probeklausuren schreibt
Paul T
iOS-Nutzer
Die App ist sehr einfach zu bedienen und gut gestaltet. Ich habe bisher alles gefunden, wonach ich gesucht habe, und konnte viel aus den Präsentationen lernen! Ich werde die App definitiv für ein Schulprojekt nutzen! Und natürlich hilft sie auch sehr als Inspiration.
Stefan S
iOS-Nutzer
Diese App ist wirklich super. Es gibt so viele Lernzettel und Hilfen [...]. Mein Problemfach ist zum Beispiel Französisch und die App hat so viele Möglichkeiten zur Hilfe. Dank dieser App habe ich mich in Französisch verbessert. Ich würde sie jedem empfehlen.
Samantha Klich
Android-Nutzerin
Wow, ich bin wirklich begeistert. Ich habe die App einfach mal ausprobiert, weil ich sie schon oft beworben gesehen habe und war absolut beeindruckt. Diese App ist DIE HILFE, die man für die Schule braucht und vor allem bietet sie so viele Dinge wie Übungen und Lernzettel, die mir persönlich SEHR geholfen haben.
Anna
iOS-Nutzerin
Beste App der Welt! Keine Worte, weil sie einfach zu gut ist
Thomas R
iOS-Nutzer
Einfach genial. Lässt mich 10x besser lernen, diese App ist eine glatte 10/10. Ich empfehle sie jedem. Ich kann Lernzettel anschauen und suchen. Ich kann sie im Fachordner speichern. Ich kann sie jederzeit wiederholen, wenn ich zurückkomme. Wenn du diese App noch nicht ausprobiert hast, verpasst du wirklich was.
Basil
Android-Nutzer
Diese App hat mich so viel selbstbewusster in meiner Klausurvorbereitung gemacht, nicht nur durch die Stärkung meines Selbstvertrauens durch die Features, die es dir ermöglichen, dich mit anderen zu vernetzen und dich weniger allein zu fühlen, sondern auch durch die Art, wie die App selbst darauf ausgerichtet ist, dass du dich besser fühlst. Sie ist einfach zu bedienen, macht Spaß und hilft jedem, der in irgendeiner Weise Schwierigkeiten hat.
David K
iOS-Nutzer
Die App ist einfach super! Ich muss nur das Thema in die Suche eingeben und bekomme sofort eine Antwort. Ich muss nicht mehr 10 YouTube-Videos schauen, um etwas zu verstehen, und spare dadurch richtig viel Zeit. Sehr empfehlenswert!
Sudenaz Ocak
Android-Nutzerin
In der Schule war ich echt schlecht in Mathe, aber dank der App bin ich jetzt besser geworden. Ich bin so dankbar, dass ihr die App gemacht habt.
Greenlight Bonnie
Android-Nutzerin
sehr zuverlässige App, um deine Ideen in Mathe, Englisch und anderen verwandten Themen zu verbessern. bitte nutze diese App, wenn du in bestimmten Bereichen Schwierigkeiten hast, diese App ist dafür der Schlüssel. wünschte, ich hätte früher eine Bewertung geschrieben. und sie ist auch kostenlos, also mach dir darüber keine Sorgen.
Rohan U
Android-Nutzer
Ich weiß, dass viele Apps gefälschte Accounts nutzen, um ihre Bewertungen zu pushen, aber diese App verdient das alles. Ursprünglich hatte ich eine 4 in meinen Englisch-Klausuren und dieses Mal habe ich eine 2 bekommen. Ich wusste erst drei Tage vor der Klausur von dieser App und sie hat mir SEHR geholfen. Bitte vertrau mir wirklich und nutze sie, denn ich bin sicher, dass auch du Fortschritte sehen wirst.
Xander S
iOS-Nutzer
DIE QUIZZE UND KARTEIKARTEN SIND SO NÜTZLICH UND ICH LIEBE Knowunity KI. ES IST AUCH BUCHSTÄBLICH WIE CHATGPT ABER SCHLAUER!! HAT MIR AUCH BEI MEINEN MASCARA-PROBLEMEN GEHOLFEN!! SOWIE BEI MEINEN ECHTEN FÄCHERN! NATÜRLICH 😍😁😲🤑💗✨🎀😮
Elisha
iOS-Nutzer
Diese App ist echt der Hammer. Ich finde Lernen so langweilig, aber diese App macht es so einfach, alles zu organisieren und dann kannst du die kostenlose KI bitten, dich abzufragen, so gut, und du kannst einfach deine eigenen Sachen hochladen. sehr empfehlenswert als jemand, der gerade Probeklausuren schreibt
Paul T
iOS-Nutzer