Du stehst kurz vor deiner ersten Biologie-Klausur in der Q1... Mehr anzeigen
Genetik Klausur Lernhilfe: Effektive Vorbereitung mit Beispielfragen











Arbeitsblatt und DNA-Aufbau
Deine Klausur deckt die zentralen Themen der Molekulargenetik ab - ein Bereich, der zwar komplex aussieht, aber eigentlich logisch aufgebaut ist. Die DNA bildet dabei das Fundament für alles andere.
Die DNA-Struktur ist wie eine verdrehte Strickleiter aufgebaut. Sie besteht aus Nukleotiden, die jeweils drei Teile haben: Desoxyribose (Zucker), eine Phosphatgruppe und eine Base. Es gibt vier Basen: Adenin, Thymin, Guanin und Cytosin, die sich nur in bestimmten Paaren verbinden können.
Komplementäre Basenpaarung ist der Schlüssel: Adenin paart sich immer mit Thymin, Guanin immer mit Cytosin. Diese Paare werden durch Wasserstoffbrückenbindungen zusammengehalten. Die beiden DNA-Stränge verlaufen antiparallel - das heißt in entgegengesetzte Richtungen.
Merktipp: Die DNA ist in Prokaryoten frei im Cytoplasma, in Eukaryoten im Zellkern eingepackt!

DNA-Replikation
Die DNA-Replikation ist wie eine perfekt choreografierte Tanzshow - jedes Enzym hat seinen speziellen Auftritt. Zuerst entspiralisiert die Topoisomerase die DNA, dann trennt die Helicase die beiden Stränge.
Die DNA-Polymerase 3 kann nur in 5' zu 3' Richtung synthetisieren und braucht einen Primer als Startpunkt. Den stellt die Primase aus RNA-Nukleotiden her. Am Leitstrang läuft alles kontinuierlich ab, am Folgestrang entstehen dagegen Okazaki-Fragmente - kleine Teilstücke, die später zusammengefügt werden.
Die RNAse H entfernt alle Primer, die DNA-Polymerase 1 füllt die Lücken mit DNA-Nukleotiden und die Ligase verklebt die Okazaki-Fragmente. Am Ende hast du zwei identische DNA-Moleküle.
Eselsbrücke: Denk an einen Reißverschluss - der Leitstrang schließt sich glatt, der Folgestrang muss stückweise zusammengesetzt werden!

Unterschiede bei Leit- und Folgestrang
Der Unterschied zwischen Leitstrang und Folgestrang liegt in der Syntheserichtung. Der Leitstrang wird kontinuierlich in Richtung der sich öffnenden Replikationsgabel synthetisiert - wie beim Schreiben eines Textes von links nach rechts.
Der Folgestrang muss diskontinuierlich synthetisiert werden, da die DNA-Polymerase nur in 5' zu 3' Richtung arbeiten kann. Alle 1000 Nukleotide bricht die Synthese ab, ein neuer Primer wird gesetzt und es geht weiter. Diese Teilstücke sind die Okazaki-Fragmente.
Der Matrizenstrang dient als Vorlage - von ihm wird "abgeschrieben". Die entstehenden Lücken zwischen den Okazaki-Fragmenten werden später von der DNA-Polymerase 1 gefüllt und von der Ligase verbunden.
Visualisiere es so: Stell dir vor, du malst ein Bild - einmal mit einem durchgezogenen Strich (Leitstrang) und einmal mit vielen kleinen Strichen, die du später verbindest (Folgestrang)!

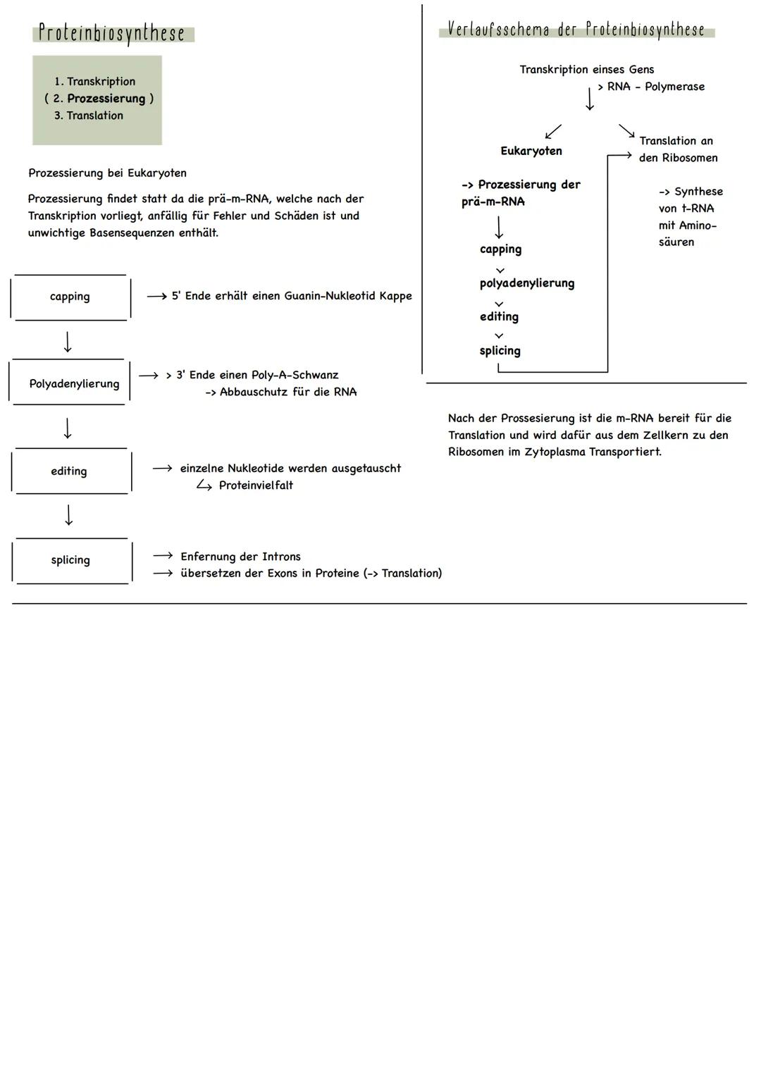
Transkription - Von DNA zu RNA
Bei der Transkription wird die DNA-Information in transportfähige mRNA umgeschrieben. Die RNA-Polymerase macht dabei den ganzen Job und arbeitet von 3' zu 5' am DNA-Strang.
Der Promoter zeigt der RNA-Polymerase, wo sie starten soll, der Terminator sagt ihr, wo Schluss ist. Die entstehende mRNA unterscheidet sich von der DNA: Sie hat Ribose statt Desoxyribose als Zucker und Uracil statt Thymin als Base.
Der Antisense-Strang wird als Vorlage benutzt, während der Sense-Strang identisch zur entstehenden RNA ist (außer T statt U). Die mRNA ist einzelsträngig und enthält nur die Information eines Genabschnitts.
Denk daran: Bei Prokaryoten geht's direkt zur Translation, bei Eukaryoten muss die RNA erst noch "aufgehübscht" werden!

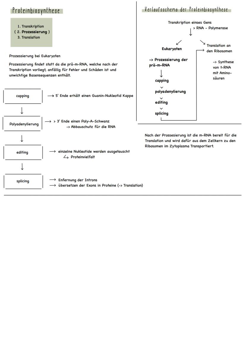
Prozessierung bei Eukaryoten
Die Prozessierung ist wie das Bearbeiten eines Rohschnitts beim Film - die prä-mRNA wird für den Transport fit gemacht. Beim Capping bekommt das 5'-Ende eine schützende Guanin-Kappe, bei der Polyadenylierung erhält das 3'-Ende einen Poly-A-Schwanz.
Das Editing tauscht einzelne Nukleotide aus, um Fehler zu korrigieren. Beim Splicing werden die Introns rausgeschnitten und nur die Exons (codierende Bereiche) bleiben übrig.
Diese Schritte schützen die mRNA vor Abbau und ermöglichen Proteinvielfalt - aus einem Gen können durch alternatives Splicing verschiedene Proteine entstehen. Nach der Prozessierung wandert die mRNA aus dem Zellkern zu den Ribosomen.
Merkhilfe: Introns = innen drin, aber raus damit! Exons = expressed, werden exprimiert!

Translation - Von mRNA zu Protein
Die Translation ist die Übersetzung von mRNA in Proteine und findet an den Ribosomen statt. Das Ribosom hat drei wichtige Stellen: die A-Stelle (Aminoacyl), P-Stelle (Polypeptid) und E-Stelle (Exit).
Die tRNA transportiert die passenden Aminosäuren zur mRNA. Sie hat ein Anticodon, das komplementär zum mRNA-Codon ist, und trägt am anderen Ende die entsprechende Aminosäure. Die Translation startet immer am Startcodon AUG (Methionin).
Der Ablauf ist wie ein Fließband: tRNA setzt sich an die A-Stelle, das Ribosom wandert weiter, die tRNA an der P-Stelle gibt ihre Aminosäure ab, die sich mit der neuen verbindet. An der E-Stelle löst sich die leere tRNA wieder ab. Das geht solange, bis ein Stoppcodon erreicht wird.
Stell dir vor: Das Ribosom ist wie eine Nähmaschine, die Aminosäuren zu einer Proteinkette zusammennäht!

RNA-Typen und Ribosomen
RNA kommt in drei wichtigen Varianten vor, die alle ihre spezielle Aufgabe haben. Die mRNA ist der Informationsüberträger und enthält den Bauplan für Proteine. Sie unterscheidet sich von DNA durch Ribose als Zucker und Uracil statt Thymin.
Die tRNA hat eine kleeblattähnliche Struktur und transportiert Aminosäuren zu den Ribosomen. Die rRNA macht den Großteil der Ribosomen aus und ist für deren Struktur und Funktion verantwortlich.
Ribosomen bestehen aus einer großen und einer kleinen Untereinheit und können frei im Cytoplasma oder am rauen ER sitzen. Sie sind die Proteinfabriken deiner Zelle und lesen die mRNA zwischen ihren Untereinheiten ab.
Eselsbrücke: mRNA = messenger (Bote), tRNA = transport, rRNA = ribosomal !

Genetischer Code und Wobble-Hypothese
Der genetische Code ordnet jedem Codon (Dreiergruppe von Basen) eine Aminosäure zu. Die Code-Sonne zeigt dir alle möglichen Kombinationen - es gibt 64 Codons für nur 20 Aminosäuren plus Start- und Stoppcodons.
Der Code ist redundant (mehrere Codons für eine Aminosäure), universell (bei allen Lebewesen gleich) und kommafrei (keine Unterbrechungen). Das Startcodon AUG codiert für Methionin, drei Stoppcodons beenden die Translation.
Die Wobble-Hypothese besagt, dass nur die ersten beiden Positionen eines Codons wirklich wichtig sind - die dritte Position kann "wackeln". Das macht die Translation schneller und flexibler, da sich auch nicht-komplementäre Basen an der dritten Stelle paaren können.
Praktischer Tipp: Wenn du Mutationen analysierst, schau dir zuerst an, ob die ersten beiden Basen betroffen sind!

Mutationen und ihre Auswirkungen
Mutationen sind Veränderungen der DNA-Sequenz und können unterschiedliche Auswirkungen haben. Punktmutationen betreffen einzelne Basen, Leserastermutationen verschieben das gesamte Leseraster.
Bei stummen Mutationen ändert sich die Aminosäure nicht - kein Problem dank redundantem Code. Missense-Mutationen tauschen eine Aminosäure aus, was die Proteinstruktur verändern kann. Nonsense-Mutationen erzeugen ein Stoppcodon und führen zu verkürzten Proteinen.
Deletionen (Löschungen) und Insertionen (Einfügungen) verschieben das Leseraster und verändern die gesamte Aminosäuresequenz dahinter. Das kann zu völlig funktionslosen Proteinen führen.
Wichtig für die Klausur: Mutationen in Enzymen können ganze Stoffwechselwege lahmlegen - ein defektes Enzym bedeutet oft einen blockierten Stoffwechselschritt!

Proteinstruktur und -funktion
Aminosäuren sind die Bausteine aller Proteine und bestehen aus einer Aminogruppe, einer Carboxylgruppe und einem variablen Rest. Essentielle Aminosäuren musst du über die Nahrung aufnehmen - dein Körper kann sie nicht selbst herstellen.
Die Proteinstruktur hat vier Ebenen: Primärstruktur (Aminosäuresequenz), Sekundärstruktur , Tertiärstruktur und Quartärstruktur (mehrere Proteine zusammen).
Proteine haben vielfältige Funktionen: Transport (Hämoglobin), Katalyse (Enzyme), Immunabwehr (Antikörper), Hormonwirkung (Insulin) und Strukturbildung. Ihre Form bestimmt ihre Funktion - deshalb sind Mutationen, die die Struktur ändern, oft problematisch.
Klausur-Tipp: Verbinde immer Struktur und Funktion - wenn sich die Aminosäuresequenz ändert, kann das Protein seine Aufgabe nicht mehr erfüllen!
Wir dachten schon, du fragst nie...
Was ist der Knowunity KI-Begleiter?
Unser KI-Begleiter ist ein speziell für Schüler entwickeltes KI-Tool, das mehr als nur Antworten bietet. Basierend auf Millionen von Knowunity-Inhalten liefert er relevante Informationen, personalisierte Lernpläne, Quizze und Inhalte direkt im Chat und passt sich deinem individuellen Lernweg an.
Wo kann ich die Knowunity-App herunterladen?
Du kannst die App im Google Play Store und im Apple App Store herunterladen.
Ist Knowunity wirklich kostenlos?
Genau! Genieße kostenlosen Zugang zu Lerninhalten, vernetze dich mit anderen Schülern und hol dir sofortige Hilfe – alles direkt auf deinem Handy.
Ähnlicher Inhalt
Beliebtester Inhalt: Übersetzung
9Genregulation und Gentechnik
Erforsche die Grundlagen der Genregulation, Proteinbiosynthese, Mutationen und Gentechnik. Diese umfassende Zusammenfassung behandelt Schlüsselkonzepte wie DNA-Replikation, Transkription, Translation, Stammzellen, Krebsentstehung und moderne biotechnologische Methoden. Ideal für das Abitur im Fach Biologie.
DNA und Proteinbiosynthese
Dieser Lernzettel bietet eine umfassende Übersicht über den Aufbau der DNA, die Struktur und Funktion von Proteinen, die Verpackung der DNA sowie die RNA-Typen. Zudem werden der genetische Code und die Schritte der Proteinbiosynthese (Transkription, RNA-Prozessierung, Beladung der tRNA mit Aminosäuren und Translation) behandelt. Auch die Transformationsversuche von Avery und Griffith werden erläutert, um die Rolle der DNA als genetisches Material zu verdeutlichen.
DNA zu Protein: Biologie 2023
Entdecken Sie die wesentlichen Konzepte der Proteinbiosynthese, einschließlich DNA-Replikation, Transkription, Translation und RNA-Prozessierung. Diese umfassende Zusammenfassung behandelt auch die Struktur und Vermehrung von DNA- und RNA-Viren sowie die genetischen Grundlagen der Molekularbiologie. Ideal für Abiturienten im Biologie Leistungskurs.
Genetik Zusammenfassung 2022
Umfassende Übersicht über die Genetik für das Abitur 2022. Behandelt Themen wie Meiose, Proteinbiosynthese, Genregulation, Mutationen und Gentechnik. Ideal für Schüler in NRW, die sich auf Prüfungen vorbereiten. Enthält wichtige Begriffe und Konzepte wie Crossing-Over, genetische Variabilität und Erbgangsanalysen.
Proteinbiosynthese: Grundlagen
Dieser Lernzettel bietet eine umfassende Übersicht über die Proteinbiosynthese, einschließlich der Schritte Transkription und Translation, der Rolle von mRNA, tRNA und Ribosomen sowie der Unterschiede zwischen Prokaryoten und Eukaryoten. Er behandelt wichtige Konzepte wie Initiation, Elongation, Termination, Codons, Introns und Exons sowie die RNA-Prozessierung. Ideal für das Abi und zur Vertiefung des Verständnisses der genetischen Informationsübertragung.
Genetik und Molekularbiologie
Vertiefte Einblicke in die Genetik und Molekularbiologie, einschließlich Proteinbiosynthese, Genregulation, Stammzellforschung und Methoden der genetischen Manipulation. Dieser Lernzettel bietet eine umfassende Übersicht über zentrale Konzepte wie Transkription, Translation, Mutationen, Chromosomenstruktur und die Rolle von Tumorsuppressorgenen. Ideal für das Abitur und das Verständnis biologischer Prozesse.
Genetik: DNA zu Protein
Entdecken Sie die Schlüsselprozesse der Genetik, einschließlich DNA-Replikation, Transkription, Translation und Proteinbiosynthese. Diese Zusammenfassung behandelt das Watson-Crick-Modell, RNA-Typen, Splicing und die Struktur von Viren. Ideal für Schüler im Grund- und Leistungskurs, die sich auf Genetik vorbereiten.
Genetik: Zellzyklus & Proteinbiosynthese
Diese Zusammenfassung behandelt die wesentlichen Konzepte der Genetik, einschließlich Zellzyklus, Mitose, Proteinbiosynthese, Mutationen und Genregulation. Ideal für Schüler, die sich auf Prüfungen vorbereiten oder ihr Wissen in der Molekularbiologie vertiefen möchten. Enthält wichtige Informationen zu DNA-Replikation, Transkription, Translation und den Auswirkungen von Mutationen auf die genetische Information.
Genetik und Gentechnik
Entdecke umfassende Lernmaterialien zur Genetik und Gentechnik, einschließlich DNA-Replikation, Genregulation, molekularer Genetik und Erbgangsanalyse. Diese Zusammenstellung bietet dir wertvolle Informationen zu Themen wie Restriktionsenzymen, Sanger-Sequenzierung, Blutgruppenvererbung und mehr. Ideal für Abiturienten, die sich auf Prüfungen vorbereiten möchten.
Beliebtester Inhalt in Biologie
9Neurobiologie: Synapsen & Aktionspotentiale
Entdecken Sie die Grundlagen der Neurobiologie mit Fokus auf den Aufbau und die Funktionen von Nervenzellen, Ruhe- und Aktionspotentialen sowie der Rolle von Synapsen. Diese Zusammenfassung behandelt auch EPSP und IPSP, die Erregungsübertragung und die Bedeutung von Neurotoxinen. Ideal für Studierende der Biologie und Neurobiologie.
Biologie Abitur Essentials
Umfassende Zusammenfassung für das Biologie-Abitur, die alle wichtigen Themen abdeckt, einschließlich Zellbiologie, Genetik, Ökologie und Stoffwechselprozesse. Ideal zur Prüfungsvorbereitung und von Lehrern überprüft. Viel Erfolg beim Lernen!
Ökologie Abitur 2025
Alles was über Ökologie im Erwartungshorizont NRW 2025 gefragt wir - sehr ausführlich - Quellen: SimpleClub, Unterricht, StudyFlix
Biologie ABITUR 2025 NRW - Alle Themen
Alle Lerninhalte vom Biologie 2025 in NRW. Neurobiologie, Ökologie, Stoffwechselphysiologie, Genetik & Evolution.
Evolutionäre Mechanismen
Diese Zusammenfassung behandelt die zentralen Konzepte der Evolution, einschließlich natürlicher Selektion, Artenbildung, genetischer Drift und der Rolle von Mutationen. Sie bietet einen Überblick über die verschiedenen Selektionsarten, die Evolution des Menschen, sowie die Unterschiede zwischen Analogie und Homologie. Ideal für das Abitur und das Verständnis evolutionärer Prozesse. Themen: phylogenetische Systematik, reproduktive Fitness, Koevolution, adaptive Radiation und mehr.
Biologie GK Abi 2025 - Lernzettel
Diese Lernzettel bieten dir eine kompakte und strukturierte Zusammenfassung aller relevanten Themen für das Biologie-Abitur 2025. Alle Inhalte sind klar gegliedert, verständlich formuliert und ideal zum schnellen Wiederholen vor der Prüfung.
Neurobiologie: Synapsen & Aktionspotenziale
Entdecken Sie die Funktionsweise von Nervenzellen, Ruhe- und Aktionspotenzialen sowie die Rolle von Synapsen in der Signalübertragung. Diese Zusammenfassung behandelt die Struktur von Neuronen, die Wirkung von Neurotoxinen und die Mechanismen der synaptischen Integration. Ideal für das Verständnis der neurobiologischen Grundlagen und der chemischen Synapsen.
Neurobiologie: Erregungsleitung & Synapsen
Diese Zusammenfassung behandelt die Struktur von Neuronen, die Funktionsweise von Synapsen, die Rolle von Neurotoxinen, die Mechanismen der Erregungsweiterleitung sowie die Signalverrechnung in neuronalen Netzwerken. Ideal für das Abitur in Neurobiologie. Themen: Aktionspotenzial, postsynaptische Potenziale (EPSP, IPSP), synaptische Integration und Muskelphysiologie.
Neurobiologie: Nervenzellen & Muskelphysiologie
Dieser Lernzettel bietet eine umfassende Übersicht über die Neurobiologie, einschließlich der Funktionen von Nervenzellen, Ruhepotential, Aktionspotential, Erregungsleitung, synaptische Integration und Muskelphysiologie. Er behandelt auch die Struktur der Synapse, die Rolle von Neurotoxinen, die Phototransduktion im Auge und die Mechanismen der neuronalen Verrechnung. Ideal für Schüler im Bio LK Hessen 2023.
Beliebtester Inhalt
9Der zerbrochene Krug
Szenenzusammenfassunfen, Figurenkonstellationen, Aufbau des Stücks, Sprache und Stilbesonderheiten, Aussageabsicht, Thematik, Interpretation
Der zerbrochene Krug von Heinrich von Kleist
Hier steht so ziemlich alles drinnen von Zusammenfassungen der einzelnen Auftritte bis hin zu den einzelnen Perosn und noch einiges mehr
Der zerbrochne Krug
Ausführliche Lernzettel zu: Basisdaten, Handlung, ausführliche Zusammenfassungen der Auftritte, zentrale Themen, Symbolische Bedeutung, Merkmale der Komödie
Heimsuchung_JennyErpenbeck_Abitur
Zusammenfassungen für jedes Kapitel, Analysen und Zitate
Abilernzettel Heimsuchung 2025
Figurenkonstellation, Kapitel Zusammenfassung, Charaktere, Motive, Deutungsansätze,
Der zerbrochene Krug: Analyse
Diese umfassende Analyse von 'Der zerbrochene Krug' von Heinrich von Kleist bietet eine detaillierte Kapitelzusammenfassung, Charakterisierungen, historische Kontexte, sowie den Aufbau und die sprachlichen Merkmale des Dramas. Ideal für Studierende, die sich auf Prüfungen vorbereiten oder tiefere Einblicke in Kleists Werk gewinnen möchten.
Englisch LK Abitur 2025
Komplette Englisch LK Abi Zusammenfassung 2025
Heimsuchung - Jenny Erpenbeck
Inhalt, Entstehung und Quellen, Figuren, Geschichtliche Hintergründe, Motive, Erzählstruktur/- stil
Charaktere aus Heimsuchung von Jenny Erpenbeck
Mindmap, Allgemeines, Verlauf
Findest du nicht, was du suchst? Entdecke andere Fächer.
Schüler lieben uns — und du auch.
Die App ist sehr einfach zu bedienen und gut gestaltet. Ich habe bisher alles gefunden, wonach ich gesucht habe, und konnte viel aus den Präsentationen lernen! Ich werde die App definitiv für ein Schulprojekt nutzen! Und natürlich hilft sie auch sehr als Inspiration.
Diese App ist wirklich super. Es gibt so viele Lernzettel und Hilfen [...]. Mein Problemfach ist zum Beispiel Französisch und die App hat so viele Möglichkeiten zur Hilfe. Dank dieser App habe ich mich in Französisch verbessert. Ich würde sie jedem empfehlen.
Wow, ich bin wirklich begeistert. Ich habe die App einfach mal ausprobiert, weil ich sie schon oft beworben gesehen habe und war absolut beeindruckt. Diese App ist DIE HILFE, die man für die Schule braucht und vor allem bietet sie so viele Dinge wie Übungen und Lernzettel, die mir persönlich SEHR geholfen haben.
Genetik Klausur Lernhilfe: Effektive Vorbereitung mit Beispielfragen
Du stehst kurz vor deiner ersten Biologie-Klausur in der Q1 und fragst dich, wie du all diese komplexen Themen zur Genetik und Proteinbiosynthesemeistern sollst? Keine Panik - hier bekommst du eine klare Übersicht über alle wichtigen Konzepte, von der... Mehr anzeigen

Melde dich an, um den Inhalt zu sehen. Kostenlos!
- Zugriff auf alle Dokumente
- Verbessere deine Noten
- Schließ dich Millionen Schülern an
Arbeitsblatt und DNA-Aufbau
Deine Klausur deckt die zentralen Themen der Molekulargenetik ab - ein Bereich, der zwar komplex aussieht, aber eigentlich logisch aufgebaut ist. Die DNA bildet dabei das Fundament für alles andere.
Die DNA-Struktur ist wie eine verdrehte Strickleiter aufgebaut. Sie besteht aus Nukleotiden, die jeweils drei Teile haben: Desoxyribose (Zucker), eine Phosphatgruppe und eine Base. Es gibt vier Basen: Adenin, Thymin, Guanin und Cytosin, die sich nur in bestimmten Paaren verbinden können.
Komplementäre Basenpaarung ist der Schlüssel: Adenin paart sich immer mit Thymin, Guanin immer mit Cytosin. Diese Paare werden durch Wasserstoffbrückenbindungen zusammengehalten. Die beiden DNA-Stränge verlaufen antiparallel - das heißt in entgegengesetzte Richtungen.
Merktipp: Die DNA ist in Prokaryoten frei im Cytoplasma, in Eukaryoten im Zellkern eingepackt!

Melde dich an, um den Inhalt zu sehen. Kostenlos!
- Zugriff auf alle Dokumente
- Verbessere deine Noten
- Schließ dich Millionen Schülern an
DNA-Replikation
Die DNA-Replikation ist wie eine perfekt choreografierte Tanzshow - jedes Enzym hat seinen speziellen Auftritt. Zuerst entspiralisiert die Topoisomerase die DNA, dann trennt die Helicase die beiden Stränge.
Die DNA-Polymerase 3 kann nur in 5' zu 3' Richtung synthetisieren und braucht einen Primer als Startpunkt. Den stellt die Primase aus RNA-Nukleotiden her. Am Leitstrang läuft alles kontinuierlich ab, am Folgestrang entstehen dagegen Okazaki-Fragmente - kleine Teilstücke, die später zusammengefügt werden.
Die RNAse H entfernt alle Primer, die DNA-Polymerase 1 füllt die Lücken mit DNA-Nukleotiden und die Ligase verklebt die Okazaki-Fragmente. Am Ende hast du zwei identische DNA-Moleküle.
Eselsbrücke: Denk an einen Reißverschluss - der Leitstrang schließt sich glatt, der Folgestrang muss stückweise zusammengesetzt werden!

Melde dich an, um den Inhalt zu sehen. Kostenlos!
- Zugriff auf alle Dokumente
- Verbessere deine Noten
- Schließ dich Millionen Schülern an
Unterschiede bei Leit- und Folgestrang
Der Unterschied zwischen Leitstrang und Folgestrang liegt in der Syntheserichtung. Der Leitstrang wird kontinuierlich in Richtung der sich öffnenden Replikationsgabel synthetisiert - wie beim Schreiben eines Textes von links nach rechts.
Der Folgestrang muss diskontinuierlich synthetisiert werden, da die DNA-Polymerase nur in 5' zu 3' Richtung arbeiten kann. Alle 1000 Nukleotide bricht die Synthese ab, ein neuer Primer wird gesetzt und es geht weiter. Diese Teilstücke sind die Okazaki-Fragmente.
Der Matrizenstrang dient als Vorlage - von ihm wird "abgeschrieben". Die entstehenden Lücken zwischen den Okazaki-Fragmenten werden später von der DNA-Polymerase 1 gefüllt und von der Ligase verbunden.
Visualisiere es so: Stell dir vor, du malst ein Bild - einmal mit einem durchgezogenen Strich (Leitstrang) und einmal mit vielen kleinen Strichen, die du später verbindest (Folgestrang)!

Melde dich an, um den Inhalt zu sehen. Kostenlos!
- Zugriff auf alle Dokumente
- Verbessere deine Noten
- Schließ dich Millionen Schülern an
Transkription - Von DNA zu RNA
Bei der Transkription wird die DNA-Information in transportfähige mRNA umgeschrieben. Die RNA-Polymerase macht dabei den ganzen Job und arbeitet von 3' zu 5' am DNA-Strang.
Der Promoter zeigt der RNA-Polymerase, wo sie starten soll, der Terminator sagt ihr, wo Schluss ist. Die entstehende mRNA unterscheidet sich von der DNA: Sie hat Ribose statt Desoxyribose als Zucker und Uracil statt Thymin als Base.
Der Antisense-Strang wird als Vorlage benutzt, während der Sense-Strang identisch zur entstehenden RNA ist (außer T statt U). Die mRNA ist einzelsträngig und enthält nur die Information eines Genabschnitts.
Denk daran: Bei Prokaryoten geht's direkt zur Translation, bei Eukaryoten muss die RNA erst noch "aufgehübscht" werden!

Melde dich an, um den Inhalt zu sehen. Kostenlos!
- Zugriff auf alle Dokumente
- Verbessere deine Noten
- Schließ dich Millionen Schülern an
Prozessierung bei Eukaryoten
Die Prozessierung ist wie das Bearbeiten eines Rohschnitts beim Film - die prä-mRNA wird für den Transport fit gemacht. Beim Capping bekommt das 5'-Ende eine schützende Guanin-Kappe, bei der Polyadenylierung erhält das 3'-Ende einen Poly-A-Schwanz.
Das Editing tauscht einzelne Nukleotide aus, um Fehler zu korrigieren. Beim Splicing werden die Introns rausgeschnitten und nur die Exons (codierende Bereiche) bleiben übrig.
Diese Schritte schützen die mRNA vor Abbau und ermöglichen Proteinvielfalt - aus einem Gen können durch alternatives Splicing verschiedene Proteine entstehen. Nach der Prozessierung wandert die mRNA aus dem Zellkern zu den Ribosomen.
Merkhilfe: Introns = innen drin, aber raus damit! Exons = expressed, werden exprimiert!

Melde dich an, um den Inhalt zu sehen. Kostenlos!
- Zugriff auf alle Dokumente
- Verbessere deine Noten
- Schließ dich Millionen Schülern an
Translation - Von mRNA zu Protein
Die Translation ist die Übersetzung von mRNA in Proteine und findet an den Ribosomen statt. Das Ribosom hat drei wichtige Stellen: die A-Stelle (Aminoacyl), P-Stelle (Polypeptid) und E-Stelle (Exit).
Die tRNA transportiert die passenden Aminosäuren zur mRNA. Sie hat ein Anticodon, das komplementär zum mRNA-Codon ist, und trägt am anderen Ende die entsprechende Aminosäure. Die Translation startet immer am Startcodon AUG (Methionin).
Der Ablauf ist wie ein Fließband: tRNA setzt sich an die A-Stelle, das Ribosom wandert weiter, die tRNA an der P-Stelle gibt ihre Aminosäure ab, die sich mit der neuen verbindet. An der E-Stelle löst sich die leere tRNA wieder ab. Das geht solange, bis ein Stoppcodon erreicht wird.
Stell dir vor: Das Ribosom ist wie eine Nähmaschine, die Aminosäuren zu einer Proteinkette zusammennäht!

Melde dich an, um den Inhalt zu sehen. Kostenlos!
- Zugriff auf alle Dokumente
- Verbessere deine Noten
- Schließ dich Millionen Schülern an
RNA-Typen und Ribosomen
RNA kommt in drei wichtigen Varianten vor, die alle ihre spezielle Aufgabe haben. Die mRNA ist der Informationsüberträger und enthält den Bauplan für Proteine. Sie unterscheidet sich von DNA durch Ribose als Zucker und Uracil statt Thymin.
Die tRNA hat eine kleeblattähnliche Struktur und transportiert Aminosäuren zu den Ribosomen. Die rRNA macht den Großteil der Ribosomen aus und ist für deren Struktur und Funktion verantwortlich.
Ribosomen bestehen aus einer großen und einer kleinen Untereinheit und können frei im Cytoplasma oder am rauen ER sitzen. Sie sind die Proteinfabriken deiner Zelle und lesen die mRNA zwischen ihren Untereinheiten ab.
Eselsbrücke: mRNA = messenger (Bote), tRNA = transport, rRNA = ribosomal !

Melde dich an, um den Inhalt zu sehen. Kostenlos!
- Zugriff auf alle Dokumente
- Verbessere deine Noten
- Schließ dich Millionen Schülern an
Genetischer Code und Wobble-Hypothese
Der genetische Code ordnet jedem Codon (Dreiergruppe von Basen) eine Aminosäure zu. Die Code-Sonne zeigt dir alle möglichen Kombinationen - es gibt 64 Codons für nur 20 Aminosäuren plus Start- und Stoppcodons.
Der Code ist redundant (mehrere Codons für eine Aminosäure), universell (bei allen Lebewesen gleich) und kommafrei (keine Unterbrechungen). Das Startcodon AUG codiert für Methionin, drei Stoppcodons beenden die Translation.
Die Wobble-Hypothese besagt, dass nur die ersten beiden Positionen eines Codons wirklich wichtig sind - die dritte Position kann "wackeln". Das macht die Translation schneller und flexibler, da sich auch nicht-komplementäre Basen an der dritten Stelle paaren können.
Praktischer Tipp: Wenn du Mutationen analysierst, schau dir zuerst an, ob die ersten beiden Basen betroffen sind!

Melde dich an, um den Inhalt zu sehen. Kostenlos!
- Zugriff auf alle Dokumente
- Verbessere deine Noten
- Schließ dich Millionen Schülern an
Mutationen und ihre Auswirkungen
Mutationen sind Veränderungen der DNA-Sequenz und können unterschiedliche Auswirkungen haben. Punktmutationen betreffen einzelne Basen, Leserastermutationen verschieben das gesamte Leseraster.
Bei stummen Mutationen ändert sich die Aminosäure nicht - kein Problem dank redundantem Code. Missense-Mutationen tauschen eine Aminosäure aus, was die Proteinstruktur verändern kann. Nonsense-Mutationen erzeugen ein Stoppcodon und führen zu verkürzten Proteinen.
Deletionen (Löschungen) und Insertionen (Einfügungen) verschieben das Leseraster und verändern die gesamte Aminosäuresequenz dahinter. Das kann zu völlig funktionslosen Proteinen führen.
Wichtig für die Klausur: Mutationen in Enzymen können ganze Stoffwechselwege lahmlegen - ein defektes Enzym bedeutet oft einen blockierten Stoffwechselschritt!

Melde dich an, um den Inhalt zu sehen. Kostenlos!
- Zugriff auf alle Dokumente
- Verbessere deine Noten
- Schließ dich Millionen Schülern an
Proteinstruktur und -funktion
Aminosäuren sind die Bausteine aller Proteine und bestehen aus einer Aminogruppe, einer Carboxylgruppe und einem variablen Rest. Essentielle Aminosäuren musst du über die Nahrung aufnehmen - dein Körper kann sie nicht selbst herstellen.
Die Proteinstruktur hat vier Ebenen: Primärstruktur (Aminosäuresequenz), Sekundärstruktur , Tertiärstruktur und Quartärstruktur (mehrere Proteine zusammen).
Proteine haben vielfältige Funktionen: Transport (Hämoglobin), Katalyse (Enzyme), Immunabwehr (Antikörper), Hormonwirkung (Insulin) und Strukturbildung. Ihre Form bestimmt ihre Funktion - deshalb sind Mutationen, die die Struktur ändern, oft problematisch.
Klausur-Tipp: Verbinde immer Struktur und Funktion - wenn sich die Aminosäuresequenz ändert, kann das Protein seine Aufgabe nicht mehr erfüllen!
Wir dachten schon, du fragst nie...
Was ist der Knowunity KI-Begleiter?
Unser KI-Begleiter ist ein speziell für Schüler entwickeltes KI-Tool, das mehr als nur Antworten bietet. Basierend auf Millionen von Knowunity-Inhalten liefert er relevante Informationen, personalisierte Lernpläne, Quizze und Inhalte direkt im Chat und passt sich deinem individuellen Lernweg an.
Wo kann ich die Knowunity-App herunterladen?
Du kannst die App im Google Play Store und im Apple App Store herunterladen.
Ist Knowunity wirklich kostenlos?
Genau! Genieße kostenlosen Zugang zu Lerninhalten, vernetze dich mit anderen Schülern und hol dir sofortige Hilfe – alles direkt auf deinem Handy.
Ähnlicher Inhalt
Beliebtester Inhalt: Übersetzung
9Genregulation und Gentechnik
Erforsche die Grundlagen der Genregulation, Proteinbiosynthese, Mutationen und Gentechnik. Diese umfassende Zusammenfassung behandelt Schlüsselkonzepte wie DNA-Replikation, Transkription, Translation, Stammzellen, Krebsentstehung und moderne biotechnologische Methoden. Ideal für das Abitur im Fach Biologie.
DNA und Proteinbiosynthese
Dieser Lernzettel bietet eine umfassende Übersicht über den Aufbau der DNA, die Struktur und Funktion von Proteinen, die Verpackung der DNA sowie die RNA-Typen. Zudem werden der genetische Code und die Schritte der Proteinbiosynthese (Transkription, RNA-Prozessierung, Beladung der tRNA mit Aminosäuren und Translation) behandelt. Auch die Transformationsversuche von Avery und Griffith werden erläutert, um die Rolle der DNA als genetisches Material zu verdeutlichen.
DNA zu Protein: Biologie 2023
Entdecken Sie die wesentlichen Konzepte der Proteinbiosynthese, einschließlich DNA-Replikation, Transkription, Translation und RNA-Prozessierung. Diese umfassende Zusammenfassung behandelt auch die Struktur und Vermehrung von DNA- und RNA-Viren sowie die genetischen Grundlagen der Molekularbiologie. Ideal für Abiturienten im Biologie Leistungskurs.
Genetik Zusammenfassung 2022
Umfassende Übersicht über die Genetik für das Abitur 2022. Behandelt Themen wie Meiose, Proteinbiosynthese, Genregulation, Mutationen und Gentechnik. Ideal für Schüler in NRW, die sich auf Prüfungen vorbereiten. Enthält wichtige Begriffe und Konzepte wie Crossing-Over, genetische Variabilität und Erbgangsanalysen.
Proteinbiosynthese: Grundlagen
Dieser Lernzettel bietet eine umfassende Übersicht über die Proteinbiosynthese, einschließlich der Schritte Transkription und Translation, der Rolle von mRNA, tRNA und Ribosomen sowie der Unterschiede zwischen Prokaryoten und Eukaryoten. Er behandelt wichtige Konzepte wie Initiation, Elongation, Termination, Codons, Introns und Exons sowie die RNA-Prozessierung. Ideal für das Abi und zur Vertiefung des Verständnisses der genetischen Informationsübertragung.
Genetik und Molekularbiologie
Vertiefte Einblicke in die Genetik und Molekularbiologie, einschließlich Proteinbiosynthese, Genregulation, Stammzellforschung und Methoden der genetischen Manipulation. Dieser Lernzettel bietet eine umfassende Übersicht über zentrale Konzepte wie Transkription, Translation, Mutationen, Chromosomenstruktur und die Rolle von Tumorsuppressorgenen. Ideal für das Abitur und das Verständnis biologischer Prozesse.
Genetik: DNA zu Protein
Entdecken Sie die Schlüsselprozesse der Genetik, einschließlich DNA-Replikation, Transkription, Translation und Proteinbiosynthese. Diese Zusammenfassung behandelt das Watson-Crick-Modell, RNA-Typen, Splicing und die Struktur von Viren. Ideal für Schüler im Grund- und Leistungskurs, die sich auf Genetik vorbereiten.
Genetik: Zellzyklus & Proteinbiosynthese
Diese Zusammenfassung behandelt die wesentlichen Konzepte der Genetik, einschließlich Zellzyklus, Mitose, Proteinbiosynthese, Mutationen und Genregulation. Ideal für Schüler, die sich auf Prüfungen vorbereiten oder ihr Wissen in der Molekularbiologie vertiefen möchten. Enthält wichtige Informationen zu DNA-Replikation, Transkription, Translation und den Auswirkungen von Mutationen auf die genetische Information.
Genetik und Gentechnik
Entdecke umfassende Lernmaterialien zur Genetik und Gentechnik, einschließlich DNA-Replikation, Genregulation, molekularer Genetik und Erbgangsanalyse. Diese Zusammenstellung bietet dir wertvolle Informationen zu Themen wie Restriktionsenzymen, Sanger-Sequenzierung, Blutgruppenvererbung und mehr. Ideal für Abiturienten, die sich auf Prüfungen vorbereiten möchten.
Beliebtester Inhalt in Biologie
9Neurobiologie: Synapsen & Aktionspotentiale
Entdecken Sie die Grundlagen der Neurobiologie mit Fokus auf den Aufbau und die Funktionen von Nervenzellen, Ruhe- und Aktionspotentialen sowie der Rolle von Synapsen. Diese Zusammenfassung behandelt auch EPSP und IPSP, die Erregungsübertragung und die Bedeutung von Neurotoxinen. Ideal für Studierende der Biologie und Neurobiologie.
Biologie Abitur Essentials
Umfassende Zusammenfassung für das Biologie-Abitur, die alle wichtigen Themen abdeckt, einschließlich Zellbiologie, Genetik, Ökologie und Stoffwechselprozesse. Ideal zur Prüfungsvorbereitung und von Lehrern überprüft. Viel Erfolg beim Lernen!
Ökologie Abitur 2025
Alles was über Ökologie im Erwartungshorizont NRW 2025 gefragt wir - sehr ausführlich - Quellen: SimpleClub, Unterricht, StudyFlix
Biologie ABITUR 2025 NRW - Alle Themen
Alle Lerninhalte vom Biologie 2025 in NRW. Neurobiologie, Ökologie, Stoffwechselphysiologie, Genetik & Evolution.
Evolutionäre Mechanismen
Diese Zusammenfassung behandelt die zentralen Konzepte der Evolution, einschließlich natürlicher Selektion, Artenbildung, genetischer Drift und der Rolle von Mutationen. Sie bietet einen Überblick über die verschiedenen Selektionsarten, die Evolution des Menschen, sowie die Unterschiede zwischen Analogie und Homologie. Ideal für das Abitur und das Verständnis evolutionärer Prozesse. Themen: phylogenetische Systematik, reproduktive Fitness, Koevolution, adaptive Radiation und mehr.
Biologie GK Abi 2025 - Lernzettel
Diese Lernzettel bieten dir eine kompakte und strukturierte Zusammenfassung aller relevanten Themen für das Biologie-Abitur 2025. Alle Inhalte sind klar gegliedert, verständlich formuliert und ideal zum schnellen Wiederholen vor der Prüfung.
Neurobiologie: Synapsen & Aktionspotenziale
Entdecken Sie die Funktionsweise von Nervenzellen, Ruhe- und Aktionspotenzialen sowie die Rolle von Synapsen in der Signalübertragung. Diese Zusammenfassung behandelt die Struktur von Neuronen, die Wirkung von Neurotoxinen und die Mechanismen der synaptischen Integration. Ideal für das Verständnis der neurobiologischen Grundlagen und der chemischen Synapsen.
Neurobiologie: Erregungsleitung & Synapsen
Diese Zusammenfassung behandelt die Struktur von Neuronen, die Funktionsweise von Synapsen, die Rolle von Neurotoxinen, die Mechanismen der Erregungsweiterleitung sowie die Signalverrechnung in neuronalen Netzwerken. Ideal für das Abitur in Neurobiologie. Themen: Aktionspotenzial, postsynaptische Potenziale (EPSP, IPSP), synaptische Integration und Muskelphysiologie.
Neurobiologie: Nervenzellen & Muskelphysiologie
Dieser Lernzettel bietet eine umfassende Übersicht über die Neurobiologie, einschließlich der Funktionen von Nervenzellen, Ruhepotential, Aktionspotential, Erregungsleitung, synaptische Integration und Muskelphysiologie. Er behandelt auch die Struktur der Synapse, die Rolle von Neurotoxinen, die Phototransduktion im Auge und die Mechanismen der neuronalen Verrechnung. Ideal für Schüler im Bio LK Hessen 2023.
Beliebtester Inhalt
9Der zerbrochene Krug
Szenenzusammenfassunfen, Figurenkonstellationen, Aufbau des Stücks, Sprache und Stilbesonderheiten, Aussageabsicht, Thematik, Interpretation
Der zerbrochene Krug von Heinrich von Kleist
Hier steht so ziemlich alles drinnen von Zusammenfassungen der einzelnen Auftritte bis hin zu den einzelnen Perosn und noch einiges mehr
Der zerbrochne Krug
Ausführliche Lernzettel zu: Basisdaten, Handlung, ausführliche Zusammenfassungen der Auftritte, zentrale Themen, Symbolische Bedeutung, Merkmale der Komödie
Heimsuchung_JennyErpenbeck_Abitur
Zusammenfassungen für jedes Kapitel, Analysen und Zitate
Abilernzettel Heimsuchung 2025
Figurenkonstellation, Kapitel Zusammenfassung, Charaktere, Motive, Deutungsansätze,
Der zerbrochene Krug: Analyse
Diese umfassende Analyse von 'Der zerbrochene Krug' von Heinrich von Kleist bietet eine detaillierte Kapitelzusammenfassung, Charakterisierungen, historische Kontexte, sowie den Aufbau und die sprachlichen Merkmale des Dramas. Ideal für Studierende, die sich auf Prüfungen vorbereiten oder tiefere Einblicke in Kleists Werk gewinnen möchten.
Englisch LK Abitur 2025
Komplette Englisch LK Abi Zusammenfassung 2025
Heimsuchung - Jenny Erpenbeck
Inhalt, Entstehung und Quellen, Figuren, Geschichtliche Hintergründe, Motive, Erzählstruktur/- stil
Charaktere aus Heimsuchung von Jenny Erpenbeck
Mindmap, Allgemeines, Verlauf
Findest du nicht, was du suchst? Entdecke andere Fächer.
Schüler lieben uns — und du auch.
Die App ist sehr einfach zu bedienen und gut gestaltet. Ich habe bisher alles gefunden, wonach ich gesucht habe, und konnte viel aus den Präsentationen lernen! Ich werde die App definitiv für ein Schulprojekt nutzen! Und natürlich hilft sie auch sehr als Inspiration.
Diese App ist wirklich super. Es gibt so viele Lernzettel und Hilfen [...]. Mein Problemfach ist zum Beispiel Französisch und die App hat so viele Möglichkeiten zur Hilfe. Dank dieser App habe ich mich in Französisch verbessert. Ich würde sie jedem empfehlen.
Wow, ich bin wirklich begeistert. Ich habe die App einfach mal ausprobiert, weil ich sie schon oft beworben gesehen habe und war absolut beeindruckt. Diese App ist DIE HILFE, die man für die Schule braucht und vor allem bietet sie so viele Dinge wie Übungen und Lernzettel, die mir persönlich SEHR geholfen haben.