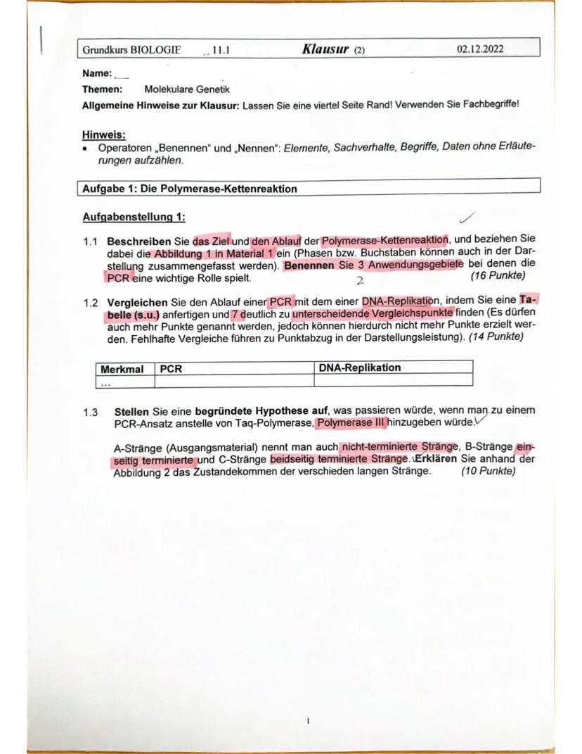
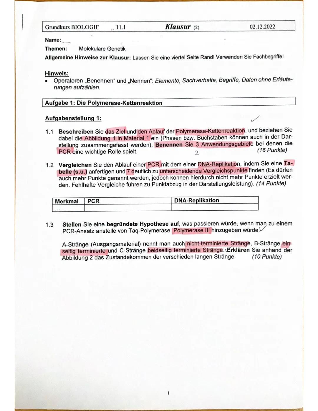
Meine Klausur zur Molekular Genetik: Proteinbiosynthese, Genregulation, PCR etc. Habe chaotisch geschrieben, das tut mir sehr leid bei Fragen gerne melden.
Melde dich an, um den Inhalt freizuschaltenEs ist kostenlos!
Zugriff auf alle Dokumente
Verbessere deine Noten
Werde Teil der Community
Mit der Anmeldung akzeptierst du die Nutzungsbedingungen und die Datenschutzrichtlinie




















