Der "Prolog im Himmel" ist der entscheidende Auftakt von Goethes... Mehr anzeigen
Melde dich an, um den Inhalt zu sehenKostenlos!
Zugriff auf alle Dokumente
Verbessere deine Noten
Schließ dich Millionen Schülern an
Knowunity KI
Fächer
Triangle Congruence and Similarity Theorems
Triangle Properties and Classification
Linear Equations and Graphs
Geometric Angle Relationships
Trigonometric Functions and Identities
Equation Solving Techniques
Circle Geometry Fundamentals
Division Operations and Methods
Basic Differentiation Rules
Exponent and Logarithm Properties
Alle Themen anzeigen
Human Organ Systems
Reproductive Cell Cycles
Biological Sciences Subdisciplines
Cellular Energy Metabolism
Autotrophic Energy Processes
Inheritance Patterns and Principles
Biomolecular Structure and Organization
Cell Cycle and Division Mechanics
Cellular Organization and Development
Biological Structural Organization
Alle Themen anzeigen
Chemical Sciences and Applications
Atomic Structure and Composition
Molecular Electron Structure Representation
Atomic Electron Behavior
Matter Properties and Water
Mole Concept and Calculations
Gas Laws and Behavior
Periodic Table Organization
Chemical Thermodynamics Fundamentals
Chemical Bond Types and Properties
Alle Themen anzeigen
European Renaissance and Enlightenment
European Cultural Movements 800-1920
American Revolution Era 1763-1797
American Civil War 1861-1865
Global Imperial Systems
Mongol and Chinese Dynasties
U.S. Presidents and World Leaders
Historical Sources and Documentation
World Wars Era and Impact
World Religious Systems
Alle Themen anzeigen
Classic and Contemporary Novels
Literary Character Analysis
Rhetorical Theory and Practice
Classic Literary Narratives
Reading Analysis and Interpretation
Narrative Structure and Techniques
English Language Components
Influential English-Language Authors
Basic Sentence Structure
Narrative Voice and Perspective
Alle Themen anzeigen
5,054
•
Aktualisiert Mar 23, 2026
•
Simon:)
@studies_simon_rdk
Der "Prolog im Himmel" ist der entscheidende Auftakt von Goethes... Mehr anzeigen




Stell dir vor, du könntest einen Blick in den Himmel werfen und dabei zuhören, wie über das Schicksal der Menschheit diskutiert wird! Genau das passiert im "Prolog im Himmel".
Die drei Erzengel Raphael, Gabriel und Michael singen ein Loblied auf Gottes Schöpfung. Für sie ist alles perfekt durchdachtet: Die Sonne gibt Lebenskraft, Tag und Nacht wechseln sich harmonisch ab, und selbst Unwetter gehören zur vollkommenen Ordnung dazu. Sie vertreten ein deistisches Weltbild - Gott hat alles so perfekt erschaffen, dass er gar nicht mehr eingreifen muss.
Mephisto sieht das komplett anders. Er spottet über die Menschen und beschreibt sie mit fiesen Ungeziefer-Metaphern: Sie seien wie "langbeinige Zikaden", die zwar hoch springen wollen, aber immer wieder auf dem Boden landen. Seiner Meinung nach ist der Mensch mit seiner Vernunft völlig überfordert und "tierischer als jedes Tier".
Wichtig für die Klausur: Die Engel sprechen in gleichmäßigen Jamben (wie Kirchenlieder), Mephisto dagegen im unregelmäßigen Madrigalvers - das spiegelt ihre unterschiedlichen Weltanschauungen wider!

Jetzt wird's richtig spannend - der Herr höchstpersönlich mischt sich ein und zeigt, dass er eine ganz andere Sicht auf die Menschen hat als Mephisto!
Für Gott ist Faust der Prüfstein seiner Schöpfung. Er sagt den berühmten Satz: "Es irrt der Mensch, solang er strebt" (V. 317). Das bedeutet: Menschen dürfen Fehler machen, solange sie nach etwas Höherem streben! Der Herr verwendet Gartenmetaphorik - das Leben blüht und die Zukunft ist fruchtbar.
Mephisto bekommt die Erlaubnis, Faust zu versuchen - aber das ist eigentlich gar keine echte Wette! Der Herr ist sich sicher, dass "ein guter Mensch in seinem dunklen Drange sich des rechten Weges wohl bewusst" ist (V. 327f.). Mephisto darf nur auf der Erde wirken, nicht darüber hinaus.
Die Ironie dabei: Mephisto denkt, er sei Gottes gleichwertiger Gegenspieler, aber in Wahrheit ist er nur ein Werkzeug der Schöpfung. Seine destruktive Kraft soll den Menschen sogar voranbringen, indem sie ihn herausfordert.
Klausur-Tipp: Der Ausgang des ganzen Dramas wird hier bereits vorweggenommen - Faust wird am Ende gerettet werden, weil das Streben nach dem Guten letztendlich stärker ist!

Der "Prolog im Himmel" ist wie das Inhaltsverzeichnis für das gesamte Faust-Drama - hier wird schon alles Wichtige angedeutet!
Goethe schafft eine geniale Rahmenkonstruktion, die Faust I und Faust II zusammenhält. Am Ende von Faust II wird diese himmlische Konfrontation wieder aufgegriffen und zu einem Abschluss gebracht. Faust wird zum Prüfstein der Schöpfung - an seinem Schicksal soll sich zeigen, ob der Mensch trotz aller Versuchungen den richtigen Weg finden kann.
Die zwei gegensätzlichen Weltbilder prallen hier aufeinander: Der Herr sieht seine Schöpfung als sinnvoll und harmonisch an, auch wenn Menschen Fehler machen. Mephisto dagegen betrachtet sich als gleichwertigen Gegenspieler Gottes und sieht die Schöpfung als fehlerhaft an.
Das Geniale daran: Beide haben teilweise recht! Menschen sind tatsächlich fehlerhaft und machen ständig Fehler - aber genau das gehört zu ihrer Bestimmung dazu. Durch das Streben und auch durch das Irren entwickeln sie sich weiter.
Merke dir: Der Prolog gibt nicht nur das Thema vor, sondern verrät auch schon den Ausgang - ein typisches Merkmal der klassischen Tragödie, bei der es nicht um das "Was" geht, sondern um das "Wie"!
Unser KI-Begleiter ist ein speziell für Schüler entwickeltes KI-Tool, das mehr als nur Antworten bietet. Basierend auf Millionen von Knowunity-Inhalten liefert er relevante Informationen, personalisierte Lernpläne, Quizze und Inhalte direkt im Chat und passt sich deinem individuellen Lernweg an.
Du kannst die App im Google Play Store und im Apple App Store herunterladen.
Genau! Genieße kostenlosen Zugang zu Lerninhalten, vernetze dich mit anderen Schülern und hol dir sofortige Hilfe – alles direkt auf deinem Handy.
App Store
Google Play
Die App ist sehr einfach zu bedienen und gut gestaltet. Ich habe bisher alles gefunden, wonach ich gesucht habe, und konnte viel aus den Präsentationen lernen! Ich werde die App definitiv für ein Schulprojekt nutzen! Und natürlich hilft sie auch sehr als Inspiration.
Stefan S
iOS-Nutzer
Diese App ist wirklich super. Es gibt so viele Lernzettel und Hilfen [...]. Mein Problemfach ist zum Beispiel Französisch und die App hat so viele Möglichkeiten zur Hilfe. Dank dieser App habe ich mich in Französisch verbessert. Ich würde sie jedem empfehlen.
Samantha Klich
Android-Nutzerin
Wow, ich bin wirklich begeistert. Ich habe die App einfach mal ausprobiert, weil ich sie schon oft beworben gesehen habe und war absolut beeindruckt. Diese App ist DIE HILFE, die man für die Schule braucht und vor allem bietet sie so viele Dinge wie Übungen und Lernzettel, die mir persönlich SEHR geholfen haben.
Anna
iOS-Nutzerin
Beste App der Welt! Keine Worte, weil sie einfach zu gut ist
Thomas R
iOS-Nutzer
Einfach genial. Lässt mich 10x besser lernen, diese App ist eine glatte 10/10. Ich empfehle sie jedem. Ich kann Lernzettel anschauen und suchen. Ich kann sie im Fachordner speichern. Ich kann sie jederzeit wiederholen, wenn ich zurückkomme. Wenn du diese App noch nicht ausprobiert hast, verpasst du wirklich was.
Basil
Android-Nutzer
Diese App hat mich so viel selbstbewusster in meiner Klausurvorbereitung gemacht, nicht nur durch die Stärkung meines Selbstvertrauens durch die Features, die es dir ermöglichen, dich mit anderen zu vernetzen und dich weniger allein zu fühlen, sondern auch durch die Art, wie die App selbst darauf ausgerichtet ist, dass du dich besser fühlst. Sie ist einfach zu bedienen, macht Spaß und hilft jedem, der in irgendeiner Weise Schwierigkeiten hat.
David K
iOS-Nutzer
Die App ist einfach super! Ich muss nur das Thema in die Suche eingeben und bekomme sofort eine Antwort. Ich muss nicht mehr 10 YouTube-Videos schauen, um etwas zu verstehen, und spare dadurch richtig viel Zeit. Sehr empfehlenswert!
Sudenaz Ocak
Android-Nutzerin
In der Schule war ich echt schlecht in Mathe, aber dank der App bin ich jetzt besser geworden. Ich bin so dankbar, dass ihr die App gemacht habt.
Greenlight Bonnie
Android-Nutzerin
sehr zuverlässige App, um deine Ideen in Mathe, Englisch und anderen verwandten Themen zu verbessern. bitte nutze diese App, wenn du in bestimmten Bereichen Schwierigkeiten hast, diese App ist dafür der Schlüssel. wünschte, ich hätte früher eine Bewertung geschrieben. und sie ist auch kostenlos, also mach dir darüber keine Sorgen.
Rohan U
Android-Nutzer
Ich weiß, dass viele Apps gefälschte Accounts nutzen, um ihre Bewertungen zu pushen, aber diese App verdient das alles. Ursprünglich hatte ich eine 4 in meinen Englisch-Klausuren und dieses Mal habe ich eine 2 bekommen. Ich wusste erst drei Tage vor der Klausur von dieser App und sie hat mir SEHR geholfen. Bitte vertrau mir wirklich und nutze sie, denn ich bin sicher, dass auch du Fortschritte sehen wirst.
Xander S
iOS-Nutzer
DIE QUIZZE UND KARTEIKARTEN SIND SO NÜTZLICH UND ICH LIEBE Knowunity KI. ES IST AUCH BUCHSTÄBLICH WIE CHATGPT ABER SCHLAUER!! HAT MIR AUCH BEI MEINEN MASCARA-PROBLEMEN GEHOLFEN!! SOWIE BEI MEINEN ECHTEN FÄCHERN! NATÜRLICH 😍😁😲🤑💗✨🎀😮
Elisha
iOS-Nutzer
Diese App ist echt der Hammer. Ich finde Lernen so langweilig, aber diese App macht es so einfach, alles zu organisieren und dann kannst du die kostenlose KI bitten, dich abzufragen, so gut, und du kannst einfach deine eigenen Sachen hochladen. sehr empfehlenswert als jemand, der gerade Probeklausuren schreibt
Paul T
iOS-Nutzer
Die App ist sehr einfach zu bedienen und gut gestaltet. Ich habe bisher alles gefunden, wonach ich gesucht habe, und konnte viel aus den Präsentationen lernen! Ich werde die App definitiv für ein Schulprojekt nutzen! Und natürlich hilft sie auch sehr als Inspiration.
Stefan S
iOS-Nutzer
Diese App ist wirklich super. Es gibt so viele Lernzettel und Hilfen [...]. Mein Problemfach ist zum Beispiel Französisch und die App hat so viele Möglichkeiten zur Hilfe. Dank dieser App habe ich mich in Französisch verbessert. Ich würde sie jedem empfehlen.
Samantha Klich
Android-Nutzerin
Wow, ich bin wirklich begeistert. Ich habe die App einfach mal ausprobiert, weil ich sie schon oft beworben gesehen habe und war absolut beeindruckt. Diese App ist DIE HILFE, die man für die Schule braucht und vor allem bietet sie so viele Dinge wie Übungen und Lernzettel, die mir persönlich SEHR geholfen haben.
Anna
iOS-Nutzerin
Beste App der Welt! Keine Worte, weil sie einfach zu gut ist
Thomas R
iOS-Nutzer
Einfach genial. Lässt mich 10x besser lernen, diese App ist eine glatte 10/10. Ich empfehle sie jedem. Ich kann Lernzettel anschauen und suchen. Ich kann sie im Fachordner speichern. Ich kann sie jederzeit wiederholen, wenn ich zurückkomme. Wenn du diese App noch nicht ausprobiert hast, verpasst du wirklich was.
Basil
Android-Nutzer
Diese App hat mich so viel selbstbewusster in meiner Klausurvorbereitung gemacht, nicht nur durch die Stärkung meines Selbstvertrauens durch die Features, die es dir ermöglichen, dich mit anderen zu vernetzen und dich weniger allein zu fühlen, sondern auch durch die Art, wie die App selbst darauf ausgerichtet ist, dass du dich besser fühlst. Sie ist einfach zu bedienen, macht Spaß und hilft jedem, der in irgendeiner Weise Schwierigkeiten hat.
David K
iOS-Nutzer
Die App ist einfach super! Ich muss nur das Thema in die Suche eingeben und bekomme sofort eine Antwort. Ich muss nicht mehr 10 YouTube-Videos schauen, um etwas zu verstehen, und spare dadurch richtig viel Zeit. Sehr empfehlenswert!
Sudenaz Ocak
Android-Nutzerin
In der Schule war ich echt schlecht in Mathe, aber dank der App bin ich jetzt besser geworden. Ich bin so dankbar, dass ihr die App gemacht habt.
Greenlight Bonnie
Android-Nutzerin
sehr zuverlässige App, um deine Ideen in Mathe, Englisch und anderen verwandten Themen zu verbessern. bitte nutze diese App, wenn du in bestimmten Bereichen Schwierigkeiten hast, diese App ist dafür der Schlüssel. wünschte, ich hätte früher eine Bewertung geschrieben. und sie ist auch kostenlos, also mach dir darüber keine Sorgen.
Rohan U
Android-Nutzer
Ich weiß, dass viele Apps gefälschte Accounts nutzen, um ihre Bewertungen zu pushen, aber diese App verdient das alles. Ursprünglich hatte ich eine 4 in meinen Englisch-Klausuren und dieses Mal habe ich eine 2 bekommen. Ich wusste erst drei Tage vor der Klausur von dieser App und sie hat mir SEHR geholfen. Bitte vertrau mir wirklich und nutze sie, denn ich bin sicher, dass auch du Fortschritte sehen wirst.
Xander S
iOS-Nutzer
DIE QUIZZE UND KARTEIKARTEN SIND SO NÜTZLICH UND ICH LIEBE Knowunity KI. ES IST AUCH BUCHSTÄBLICH WIE CHATGPT ABER SCHLAUER!! HAT MIR AUCH BEI MEINEN MASCARA-PROBLEMEN GEHOLFEN!! SOWIE BEI MEINEN ECHTEN FÄCHERN! NATÜRLICH 😍😁😲🤑💗✨🎀😮
Elisha
iOS-Nutzer
Diese App ist echt der Hammer. Ich finde Lernen so langweilig, aber diese App macht es so einfach, alles zu organisieren und dann kannst du die kostenlose KI bitten, dich abzufragen, so gut, und du kannst einfach deine eigenen Sachen hochladen. sehr empfehlenswert als jemand, der gerade Probeklausuren schreibt
Paul T
iOS-Nutzer
Simon:)
@studies_simon_rdk
Der "Prolog im Himmel" ist der entscheidende Auftakt von Goethes Faust und zeigt uns das große Kräftespiel zwischen Gut und Böse. Hier treffen völlig unterschiedliche Weltanschauungen aufeinander: die Engel preisen Gottes perfekte Schöpfung, während Mephisto sie scharf kritisiert und den... Mehr anzeigen

Zugriff auf alle Dokumente
Verbessere deine Noten
Schließ dich Millionen Schülern an
Stell dir vor, du könntest einen Blick in den Himmel werfen und dabei zuhören, wie über das Schicksal der Menschheit diskutiert wird! Genau das passiert im "Prolog im Himmel".
Die drei Erzengel Raphael, Gabriel und Michael singen ein Loblied auf Gottes Schöpfung. Für sie ist alles perfekt durchdachtet: Die Sonne gibt Lebenskraft, Tag und Nacht wechseln sich harmonisch ab, und selbst Unwetter gehören zur vollkommenen Ordnung dazu. Sie vertreten ein deistisches Weltbild - Gott hat alles so perfekt erschaffen, dass er gar nicht mehr eingreifen muss.
Mephisto sieht das komplett anders. Er spottet über die Menschen und beschreibt sie mit fiesen Ungeziefer-Metaphern: Sie seien wie "langbeinige Zikaden", die zwar hoch springen wollen, aber immer wieder auf dem Boden landen. Seiner Meinung nach ist der Mensch mit seiner Vernunft völlig überfordert und "tierischer als jedes Tier".
Wichtig für die Klausur: Die Engel sprechen in gleichmäßigen Jamben (wie Kirchenlieder), Mephisto dagegen im unregelmäßigen Madrigalvers - das spiegelt ihre unterschiedlichen Weltanschauungen wider!

Zugriff auf alle Dokumente
Verbessere deine Noten
Schließ dich Millionen Schülern an
Jetzt wird's richtig spannend - der Herr höchstpersönlich mischt sich ein und zeigt, dass er eine ganz andere Sicht auf die Menschen hat als Mephisto!
Für Gott ist Faust der Prüfstein seiner Schöpfung. Er sagt den berühmten Satz: "Es irrt der Mensch, solang er strebt" (V. 317). Das bedeutet: Menschen dürfen Fehler machen, solange sie nach etwas Höherem streben! Der Herr verwendet Gartenmetaphorik - das Leben blüht und die Zukunft ist fruchtbar.
Mephisto bekommt die Erlaubnis, Faust zu versuchen - aber das ist eigentlich gar keine echte Wette! Der Herr ist sich sicher, dass "ein guter Mensch in seinem dunklen Drange sich des rechten Weges wohl bewusst" ist (V. 327f.). Mephisto darf nur auf der Erde wirken, nicht darüber hinaus.
Die Ironie dabei: Mephisto denkt, er sei Gottes gleichwertiger Gegenspieler, aber in Wahrheit ist er nur ein Werkzeug der Schöpfung. Seine destruktive Kraft soll den Menschen sogar voranbringen, indem sie ihn herausfordert.
Klausur-Tipp: Der Ausgang des ganzen Dramas wird hier bereits vorweggenommen - Faust wird am Ende gerettet werden, weil das Streben nach dem Guten letztendlich stärker ist!

Zugriff auf alle Dokumente
Verbessere deine Noten
Schließ dich Millionen Schülern an
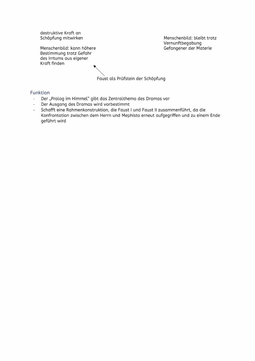
Der "Prolog im Himmel" ist wie das Inhaltsverzeichnis für das gesamte Faust-Drama - hier wird schon alles Wichtige angedeutet!
Goethe schafft eine geniale Rahmenkonstruktion, die Faust I und Faust II zusammenhält. Am Ende von Faust II wird diese himmlische Konfrontation wieder aufgegriffen und zu einem Abschluss gebracht. Faust wird zum Prüfstein der Schöpfung - an seinem Schicksal soll sich zeigen, ob der Mensch trotz aller Versuchungen den richtigen Weg finden kann.
Die zwei gegensätzlichen Weltbilder prallen hier aufeinander: Der Herr sieht seine Schöpfung als sinnvoll und harmonisch an, auch wenn Menschen Fehler machen. Mephisto dagegen betrachtet sich als gleichwertigen Gegenspieler Gottes und sieht die Schöpfung als fehlerhaft an.
Das Geniale daran: Beide haben teilweise recht! Menschen sind tatsächlich fehlerhaft und machen ständig Fehler - aber genau das gehört zu ihrer Bestimmung dazu. Durch das Streben und auch durch das Irren entwickeln sie sich weiter.
Merke dir: Der Prolog gibt nicht nur das Thema vor, sondern verrät auch schon den Ausgang - ein typisches Merkmal der klassischen Tragödie, bei der es nicht um das "Was" geht, sondern um das "Wie"!
Unser KI-Begleiter ist ein speziell für Schüler entwickeltes KI-Tool, das mehr als nur Antworten bietet. Basierend auf Millionen von Knowunity-Inhalten liefert er relevante Informationen, personalisierte Lernpläne, Quizze und Inhalte direkt im Chat und passt sich deinem individuellen Lernweg an.
Du kannst die App im Google Play Store und im Apple App Store herunterladen.
Genau! Genieße kostenlosen Zugang zu Lerninhalten, vernetze dich mit anderen Schülern und hol dir sofortige Hilfe – alles direkt auf deinem Handy.
157
Smart Tools NEU
Verwandle diesen Lernzettel in: ✓ 50+ Übungsfragen ✓ Interaktive Karteikarten ✓ Komplette Probeklausur ✓ Aufsatzgliederungen
Detaillierte Analyse und Interpretation von Möbius' Psalm aus Dürrenmatts Komödie 'Die Physiker'. Erforschen Sie die komplexen Themen von Wissenschaft, Gesellschaft und Identität, sowie die vulgäre Sprache und stilistischen Mittel, die die Fragilität des Verhältnisses zwischen Mensch und Wissenschaft verdeutlichen. Ideal für Studierende der Literatur und Theaterwissenschaft.
Erforschen Sie die dunkle Geschichte der Hexenverfolgung im Mittelalter. Diese Präsentation behandelt die Ursprünge des Hexenbegriffs, Merkmale von Hexen, die Rolle der Kirche, die grausamen Methoden der Hexenverbrennung und die gesellschaftlichen Hintergründe, die zu diesen Verfolgungen führten. Ideal für Studierende der Geschichte und Kulturwissenschaften.
Analysiere die komplexe Figur Möbius aus 'Die Physiker' und seine moralischen Dilemmata. Erkunde, ob sein Handeln als mutig oder verantwortungslos betrachtet werden kann. Diese Charakterisierung bietet Einblicke in ethische Fragestellungen und die Verantwortung des Individuums in Krisenzeiten, wie der Corona-Pandemie.
Diese Analyse untersucht die Szene im Drama 'Die Physiker' von Friedrich Dürrenmatt, in der Möbius den Psalm Salomos (S.40-42) zitiert. Der Fokus liegt auf der Darstellung der Verlorenheit der Weltraumfahrer und der emotionalen Dynamik zwischen Möbius und seiner Familie. Erfahren Sie, wie Dürrenmatt die Themen Isolation und Verantwortung durch Möbius' Worte und Handlungen vermittelt. Ideal für Studierende der Literaturwissenschaft und Dramaturgie.
Eine detaillierte Charakterisierung von Saladin, dem Sultan in Lessings 'Nathan der Weise'. Erfahren Sie mehr über seine komplexe Rolle als Herrscher von Jerusalem, seine Beziehungen zu Sittah, Recha und dem Tempelherren sowie seine ambivalente Natur zwischen Unterdrückung und Großzügigkeit. Ideal für das Verständnis der zentralen Figuren im Drama.
Diese Analyse beleuchtet die entscheidende Begegnung zwischen Kreon und Teiresias in Sophokles' 'Antigone'. Sie untersucht Kreons Starrsinn und die Ignoranz gegenüber den Warnungen des Sehers, die auf seine bevorstehenden Katastrophen hinweisen. Die Interpretation thematisiert die Konflikte zwischen menschlichem und göttlichem Recht sowie die psychologischen Aspekte von Macht und Narzissmus. Ideal für Studierende der Literatur und Theaterwissenschaften.
App Store
Google Play
Die App ist sehr einfach zu bedienen und gut gestaltet. Ich habe bisher alles gefunden, wonach ich gesucht habe, und konnte viel aus den Präsentationen lernen! Ich werde die App definitiv für ein Schulprojekt nutzen! Und natürlich hilft sie auch sehr als Inspiration.
Stefan S
iOS-Nutzer
Diese App ist wirklich super. Es gibt so viele Lernzettel und Hilfen [...]. Mein Problemfach ist zum Beispiel Französisch und die App hat so viele Möglichkeiten zur Hilfe. Dank dieser App habe ich mich in Französisch verbessert. Ich würde sie jedem empfehlen.
Samantha Klich
Android-Nutzerin
Wow, ich bin wirklich begeistert. Ich habe die App einfach mal ausprobiert, weil ich sie schon oft beworben gesehen habe und war absolut beeindruckt. Diese App ist DIE HILFE, die man für die Schule braucht und vor allem bietet sie so viele Dinge wie Übungen und Lernzettel, die mir persönlich SEHR geholfen haben.
Anna
iOS-Nutzerin
Beste App der Welt! Keine Worte, weil sie einfach zu gut ist
Thomas R
iOS-Nutzer
Einfach genial. Lässt mich 10x besser lernen, diese App ist eine glatte 10/10. Ich empfehle sie jedem. Ich kann Lernzettel anschauen und suchen. Ich kann sie im Fachordner speichern. Ich kann sie jederzeit wiederholen, wenn ich zurückkomme. Wenn du diese App noch nicht ausprobiert hast, verpasst du wirklich was.
Basil
Android-Nutzer
Diese App hat mich so viel selbstbewusster in meiner Klausurvorbereitung gemacht, nicht nur durch die Stärkung meines Selbstvertrauens durch die Features, die es dir ermöglichen, dich mit anderen zu vernetzen und dich weniger allein zu fühlen, sondern auch durch die Art, wie die App selbst darauf ausgerichtet ist, dass du dich besser fühlst. Sie ist einfach zu bedienen, macht Spaß und hilft jedem, der in irgendeiner Weise Schwierigkeiten hat.
David K
iOS-Nutzer
Die App ist einfach super! Ich muss nur das Thema in die Suche eingeben und bekomme sofort eine Antwort. Ich muss nicht mehr 10 YouTube-Videos schauen, um etwas zu verstehen, und spare dadurch richtig viel Zeit. Sehr empfehlenswert!
Sudenaz Ocak
Android-Nutzerin
In der Schule war ich echt schlecht in Mathe, aber dank der App bin ich jetzt besser geworden. Ich bin so dankbar, dass ihr die App gemacht habt.
Greenlight Bonnie
Android-Nutzerin
sehr zuverlässige App, um deine Ideen in Mathe, Englisch und anderen verwandten Themen zu verbessern. bitte nutze diese App, wenn du in bestimmten Bereichen Schwierigkeiten hast, diese App ist dafür der Schlüssel. wünschte, ich hätte früher eine Bewertung geschrieben. und sie ist auch kostenlos, also mach dir darüber keine Sorgen.
Rohan U
Android-Nutzer
Ich weiß, dass viele Apps gefälschte Accounts nutzen, um ihre Bewertungen zu pushen, aber diese App verdient das alles. Ursprünglich hatte ich eine 4 in meinen Englisch-Klausuren und dieses Mal habe ich eine 2 bekommen. Ich wusste erst drei Tage vor der Klausur von dieser App und sie hat mir SEHR geholfen. Bitte vertrau mir wirklich und nutze sie, denn ich bin sicher, dass auch du Fortschritte sehen wirst.
Xander S
iOS-Nutzer
DIE QUIZZE UND KARTEIKARTEN SIND SO NÜTZLICH UND ICH LIEBE Knowunity KI. ES IST AUCH BUCHSTÄBLICH WIE CHATGPT ABER SCHLAUER!! HAT MIR AUCH BEI MEINEN MASCARA-PROBLEMEN GEHOLFEN!! SOWIE BEI MEINEN ECHTEN FÄCHERN! NATÜRLICH 😍😁😲🤑💗✨🎀😮
Elisha
iOS-Nutzer
Diese App ist echt der Hammer. Ich finde Lernen so langweilig, aber diese App macht es so einfach, alles zu organisieren und dann kannst du die kostenlose KI bitten, dich abzufragen, so gut, und du kannst einfach deine eigenen Sachen hochladen. sehr empfehlenswert als jemand, der gerade Probeklausuren schreibt
Paul T
iOS-Nutzer
Die App ist sehr einfach zu bedienen und gut gestaltet. Ich habe bisher alles gefunden, wonach ich gesucht habe, und konnte viel aus den Präsentationen lernen! Ich werde die App definitiv für ein Schulprojekt nutzen! Und natürlich hilft sie auch sehr als Inspiration.
Stefan S
iOS-Nutzer
Diese App ist wirklich super. Es gibt so viele Lernzettel und Hilfen [...]. Mein Problemfach ist zum Beispiel Französisch und die App hat so viele Möglichkeiten zur Hilfe. Dank dieser App habe ich mich in Französisch verbessert. Ich würde sie jedem empfehlen.
Samantha Klich
Android-Nutzerin
Wow, ich bin wirklich begeistert. Ich habe die App einfach mal ausprobiert, weil ich sie schon oft beworben gesehen habe und war absolut beeindruckt. Diese App ist DIE HILFE, die man für die Schule braucht und vor allem bietet sie so viele Dinge wie Übungen und Lernzettel, die mir persönlich SEHR geholfen haben.
Anna
iOS-Nutzerin
Beste App der Welt! Keine Worte, weil sie einfach zu gut ist
Thomas R
iOS-Nutzer
Einfach genial. Lässt mich 10x besser lernen, diese App ist eine glatte 10/10. Ich empfehle sie jedem. Ich kann Lernzettel anschauen und suchen. Ich kann sie im Fachordner speichern. Ich kann sie jederzeit wiederholen, wenn ich zurückkomme. Wenn du diese App noch nicht ausprobiert hast, verpasst du wirklich was.
Basil
Android-Nutzer
Diese App hat mich so viel selbstbewusster in meiner Klausurvorbereitung gemacht, nicht nur durch die Stärkung meines Selbstvertrauens durch die Features, die es dir ermöglichen, dich mit anderen zu vernetzen und dich weniger allein zu fühlen, sondern auch durch die Art, wie die App selbst darauf ausgerichtet ist, dass du dich besser fühlst. Sie ist einfach zu bedienen, macht Spaß und hilft jedem, der in irgendeiner Weise Schwierigkeiten hat.
David K
iOS-Nutzer
Die App ist einfach super! Ich muss nur das Thema in die Suche eingeben und bekomme sofort eine Antwort. Ich muss nicht mehr 10 YouTube-Videos schauen, um etwas zu verstehen, und spare dadurch richtig viel Zeit. Sehr empfehlenswert!
Sudenaz Ocak
Android-Nutzerin
In der Schule war ich echt schlecht in Mathe, aber dank der App bin ich jetzt besser geworden. Ich bin so dankbar, dass ihr die App gemacht habt.
Greenlight Bonnie
Android-Nutzerin
sehr zuverlässige App, um deine Ideen in Mathe, Englisch und anderen verwandten Themen zu verbessern. bitte nutze diese App, wenn du in bestimmten Bereichen Schwierigkeiten hast, diese App ist dafür der Schlüssel. wünschte, ich hätte früher eine Bewertung geschrieben. und sie ist auch kostenlos, also mach dir darüber keine Sorgen.
Rohan U
Android-Nutzer
Ich weiß, dass viele Apps gefälschte Accounts nutzen, um ihre Bewertungen zu pushen, aber diese App verdient das alles. Ursprünglich hatte ich eine 4 in meinen Englisch-Klausuren und dieses Mal habe ich eine 2 bekommen. Ich wusste erst drei Tage vor der Klausur von dieser App und sie hat mir SEHR geholfen. Bitte vertrau mir wirklich und nutze sie, denn ich bin sicher, dass auch du Fortschritte sehen wirst.
Xander S
iOS-Nutzer
DIE QUIZZE UND KARTEIKARTEN SIND SO NÜTZLICH UND ICH LIEBE Knowunity KI. ES IST AUCH BUCHSTÄBLICH WIE CHATGPT ABER SCHLAUER!! HAT MIR AUCH BEI MEINEN MASCARA-PROBLEMEN GEHOLFEN!! SOWIE BEI MEINEN ECHTEN FÄCHERN! NATÜRLICH 😍😁😲🤑💗✨🎀😮
Elisha
iOS-Nutzer
Diese App ist echt der Hammer. Ich finde Lernen so langweilig, aber diese App macht es so einfach, alles zu organisieren und dann kannst du die kostenlose KI bitten, dich abzufragen, so gut, und du kannst einfach deine eigenen Sachen hochladen. sehr empfehlenswert als jemand, der gerade Probeklausuren schreibt
Paul T
iOS-Nutzer