Der Utilitarismus ist eine der wichtigsten ethischen Theorien und basiert... Mehr anzeigen
Melde dich an, um den Inhalt zu sehenKostenlos!
Zugriff auf alle Dokumente
Verbessere deine Noten
Schließ dich Millionen Schülern an
Knowunity KI
Fächer
Triangle Congruence and Similarity Theorems
Triangle Properties and Classification
Linear Equations and Graphs
Geometric Angle Relationships
Trigonometric Functions and Identities
Equation Solving Techniques
Circle Geometry Fundamentals
Division Operations and Methods
Basic Differentiation Rules
Exponent and Logarithm Properties
Alle Themen anzeigen
Human Organ Systems
Reproductive Cell Cycles
Biological Sciences Subdisciplines
Cellular Energy Metabolism
Autotrophic Energy Processes
Inheritance Patterns and Principles
Biomolecular Structure and Organization
Cell Cycle and Division Mechanics
Cellular Organization and Development
Biological Structural Organization
Alle Themen anzeigen
Chemical Sciences and Applications
Atomic Structure and Composition
Molecular Electron Structure Representation
Atomic Electron Behavior
Matter Properties and Water
Mole Concept and Calculations
Gas Laws and Behavior
Periodic Table Organization
Chemical Thermodynamics Fundamentals
Chemical Bond Types and Properties
Alle Themen anzeigen
European Renaissance and Enlightenment
European Cultural Movements 800-1920
American Revolution Era 1763-1797
American Civil War 1861-1865
Global Imperial Systems
Mongol and Chinese Dynasties
U.S. Presidents and World Leaders
Historical Sources and Documentation
World Wars Era and Impact
World Religious Systems
Alle Themen anzeigen
Classic and Contemporary Novels
Literary Character Analysis
Rhetorical Theory and Practice
Classic Literary Narratives
Reading Analysis and Interpretation
Narrative Structure and Techniques
English Language Components
Influential English-Language Authors
Basic Sentence Structure
Narrative Voice and Perspective
Alle Themen anzeigen
835
•
Aktualisiert Apr 18, 2026
•
Julia
@julializzi
Der Utilitarismus ist eine der wichtigsten ethischen Theorien und basiert... Mehr anzeigen











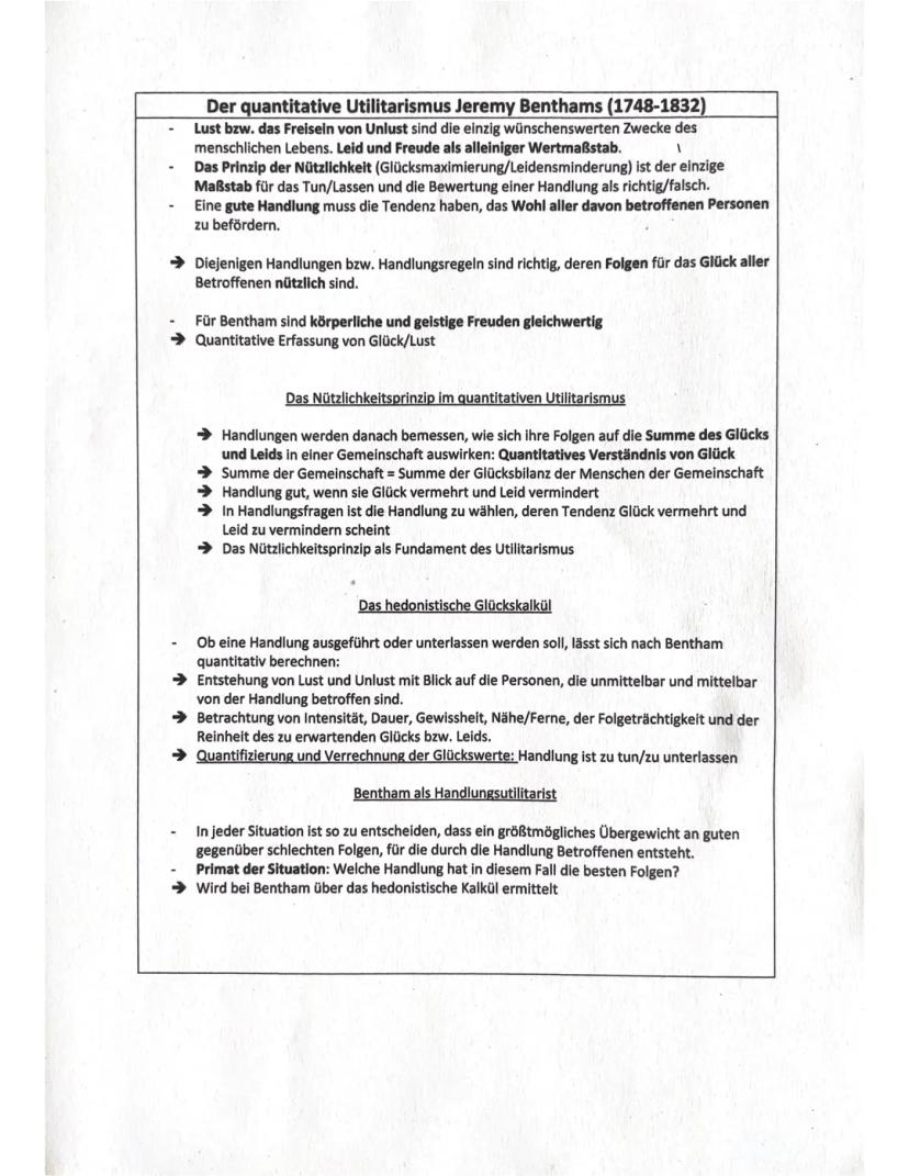
Bentham war ein ziemlicher Pragmatiker: Für ihn zählte nur Lust und das Vermeiden von Unlust. Seine Grundidee? Alle Handlungen sind dann richtig, wenn sie das Glück aller Betroffenen maximieren - ganz einfach.
Der Clou bei Bentham: Er behandelt alle Arten von Freude gleich. Ob körperliche oder geistige Lust - Hauptsache, sie lässt sich quantitativ messen. Seine Glücksbilanz funktioniert wie ein Bankkonto: Mehr Glück minus weniger Leid ergibt eine gute Handlung.
Das hedonistische Glückskalkül ist Benthams berühmtes Rechensystem. Du betrachtest Intensität, Dauer und Wahrscheinlichkeit von Glück und Leid bei allen Betroffenen. Dann rechnest du alles zusammen - fertig ist die moralische Entscheidung.
Merktipp: Bentham = Rechnen mit Glück! Alles wird gemessen und verglichen.

Mill fand Benthams Ansatz zu oberflächlich und entwickelte den qualitativen Utilitarismus. Seine zentrale Erkenntnis: Nicht alle Freuden sind gleich wertvoll! Geistige Freuden stehen über körperlichen.
Das Prinzip der Nützlichkeit bleibt gleich - Glück maximieren, Leid minimieren. Aber Mill unterscheidet zwischen höheren und niedrigeren Freuden. Ein zufriedener Sokrates ist besser als ein zufriedenes Schwein, so seine berühmte Formulierung.
Mill entwickelte auch den Regelutilitarismus: Statt jede Handlung einzeln zu bewerten, sollen wir Regeln aufstellen, die langfristig das meiste Glück bringen. Das macht den Alltag praktikabler.
Wichtig: Mill = Qualität vor Quantität! Nicht wie viel Glück, sondern welche Art von Glück zählt.

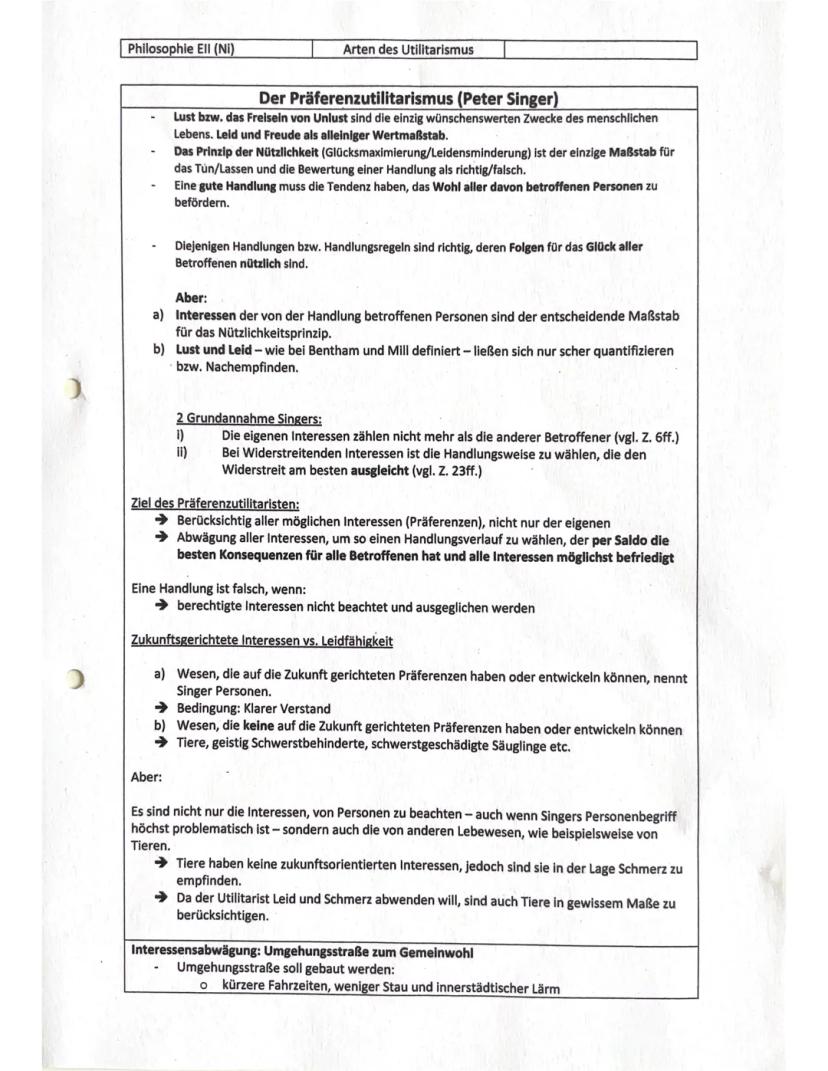
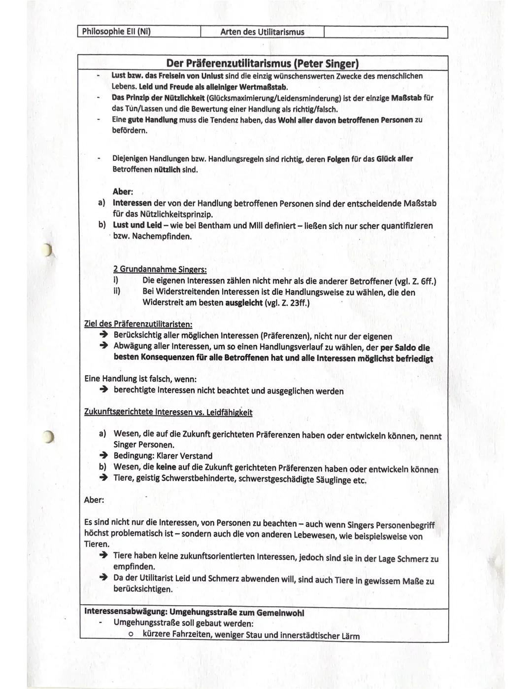
Singer modernisierte den Utilitarismus radikal: Statt abstrakt über Glück zu philosophieren, schaute er auf konkrete Interessen und Präferenzen. Seine zwei Grundregeln sind simpel - deine Interessen zählen nicht mehr als die anderer, und bei Konflikten suchst du den besten Ausgleich.
Der Präferenzutilitarismus berücksichtigt alle möglichen Interessen - nicht nur deine eigenen. Eine Handlung ist falsch, wenn sie berechtigte Interessen ignoriert oder unfair behandelt.
Singer unterscheidet zwischen Personen (die zukunftsorientierte Pläne haben) und anderen Lebewesen. Aber auch Tiere zählen, da sie Schmerz empfinden können. Das macht seine Ethik besonders relevant für Tierschutz und Umweltfragen.
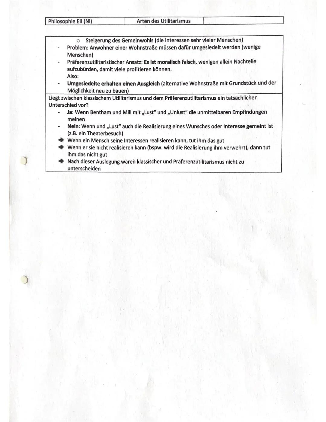
Ein praktisches Beispiel: Bei einer geplanten Umgehungsstraße profitieren viele, aber wenige Anwohner leiden. Singers Lösung? Die Umgesiedelten bekommen einen fairen Interessenausgleich.
Aktuell: Singer beschäftigt sich mit modernen Fragen wie Tierrechten und globaler Gerechtigkeit!

Der Utilitarismus klingt logisch, hat aber heftige Schwächen. Das größte Problem: Wie misst man Glück objektiv? Benthams Rechensystem ist in der Praxis kaum durchführbar - wer soll ständig komplizierte Kalküle erstellen?
Besonders problematisch wird die Tyrannei der Mehrheit: Theoretisch dürften 51% auf Kosten von 49% ihr Glück maximieren. Das bedroht Minderheitenrechte und individuelle Freiheiten massiv.
Mills Qualitätsansatz schafft neue Probleme: Wer entscheidet, welche Freuden "höherwertig" sind? Das führt schnell zu Expertokratie - eine kleine Elite bestimmt, was für alle gut ist.
Der naturalistische Fehlschluss trifft alle Utilitaristen: Nur weil etwas Freude macht, ist es noch nicht automatisch moralisch richtig. Außerdem rechtfertigt der Zweck theoretisch jedes Mittel.
Realitätscheck: Im Alltag entscheiden wir meist spontan - ohne komplizierte Nutzenrechnungen!

Trotz aller Kritik hat der Utilitarismus überzeugende Vorteile. Er kommt ohne Metaphysik aus - keine religiösen Dogmen oder politischen Traditionen, sondern praktische Menschlichkeit steht im Zentrum.
Der Utilitarismus macht moralische Fragen berechenbar und bringt sie in den Bereich der Sozialwissenschaften. Statt endlos zu philosophieren, schauen wir auf empirische Konsequenzen unserer Handlungen.
Besonders Singers Präferenzutilitarismus bringt wichtige moderne Themen auf die Agenda: Gerechtigkeit zwischen armen und reichen Ländern, Generationenvertrag für zukünftige Menschen und Naturschutz für alle leidensfähigen Wesen.
Die pathozentrische Wende macht den Utilitarismus zur relevantesten Ethik für Klimawandel, Tierschutz und globale Herausforderungen. Er zwingt uns, über unseren eigenen Tellerrand zu blicken.
Zukunft: Der Utilitarismus liefert praktische Werkzeuge für die großen Probleme des 21. Jahrhunderts!





Unser KI-Begleiter ist ein speziell für Schüler entwickeltes KI-Tool, das mehr als nur Antworten bietet. Basierend auf Millionen von Knowunity-Inhalten liefert er relevante Informationen, personalisierte Lernpläne, Quizze und Inhalte direkt im Chat und passt sich deinem individuellen Lernweg an.
Du kannst die App im Google Play Store und im Apple App Store herunterladen.
Genau! Genieße kostenlosen Zugang zu Lerninhalten, vernetze dich mit anderen Schülern und hol dir sofortige Hilfe – alles direkt auf deinem Handy.
App Store
Google Play
Die App ist sehr einfach zu bedienen und gut gestaltet. Ich habe bisher alles gefunden, wonach ich gesucht habe, und konnte viel aus den Präsentationen lernen! Ich werde die App definitiv für ein Schulprojekt nutzen! Und natürlich hilft sie auch sehr als Inspiration.
Stefan S
iOS-Nutzer
Diese App ist wirklich super. Es gibt so viele Lernzettel und Hilfen [...]. Mein Problemfach ist zum Beispiel Französisch und die App hat so viele Möglichkeiten zur Hilfe. Dank dieser App habe ich mich in Französisch verbessert. Ich würde sie jedem empfehlen.
Samantha Klich
Android-Nutzerin
Wow, ich bin wirklich begeistert. Ich habe die App einfach mal ausprobiert, weil ich sie schon oft beworben gesehen habe und war absolut beeindruckt. Diese App ist DIE HILFE, die man für die Schule braucht und vor allem bietet sie so viele Dinge wie Übungen und Lernzettel, die mir persönlich SEHR geholfen haben.
Anna
iOS-Nutzerin
Beste App der Welt! Keine Worte, weil sie einfach zu gut ist
Thomas R
iOS-Nutzer
Einfach genial. Lässt mich 10x besser lernen, diese App ist eine glatte 10/10. Ich empfehle sie jedem. Ich kann Lernzettel anschauen und suchen. Ich kann sie im Fachordner speichern. Ich kann sie jederzeit wiederholen, wenn ich zurückkomme. Wenn du diese App noch nicht ausprobiert hast, verpasst du wirklich was.
Basil
Android-Nutzer
Diese App hat mich so viel selbstbewusster in meiner Klausurvorbereitung gemacht, nicht nur durch die Stärkung meines Selbstvertrauens durch die Features, die es dir ermöglichen, dich mit anderen zu vernetzen und dich weniger allein zu fühlen, sondern auch durch die Art, wie die App selbst darauf ausgerichtet ist, dass du dich besser fühlst. Sie ist einfach zu bedienen, macht Spaß und hilft jedem, der in irgendeiner Weise Schwierigkeiten hat.
David K
iOS-Nutzer
Die App ist einfach super! Ich muss nur das Thema in die Suche eingeben und bekomme sofort eine Antwort. Ich muss nicht mehr 10 YouTube-Videos schauen, um etwas zu verstehen, und spare dadurch richtig viel Zeit. Sehr empfehlenswert!
Sudenaz Ocak
Android-Nutzerin
In der Schule war ich echt schlecht in Mathe, aber dank der App bin ich jetzt besser geworden. Ich bin so dankbar, dass ihr die App gemacht habt.
Greenlight Bonnie
Android-Nutzerin
sehr zuverlässige App, um deine Ideen in Mathe, Englisch und anderen verwandten Themen zu verbessern. bitte nutze diese App, wenn du in bestimmten Bereichen Schwierigkeiten hast, diese App ist dafür der Schlüssel. wünschte, ich hätte früher eine Bewertung geschrieben. und sie ist auch kostenlos, also mach dir darüber keine Sorgen.
Rohan U
Android-Nutzer
Ich weiß, dass viele Apps gefälschte Accounts nutzen, um ihre Bewertungen zu pushen, aber diese App verdient das alles. Ursprünglich hatte ich eine 4 in meinen Englisch-Klausuren und dieses Mal habe ich eine 2 bekommen. Ich wusste erst drei Tage vor der Klausur von dieser App und sie hat mir SEHR geholfen. Bitte vertrau mir wirklich und nutze sie, denn ich bin sicher, dass auch du Fortschritte sehen wirst.
Xander S
iOS-Nutzer
DIE QUIZZE UND KARTEIKARTEN SIND SO NÜTZLICH UND ICH LIEBE Knowunity KI. ES IST AUCH BUCHSTÄBLICH WIE CHATGPT ABER SCHLAUER!! HAT MIR AUCH BEI MEINEN MASCARA-PROBLEMEN GEHOLFEN!! SOWIE BEI MEINEN ECHTEN FÄCHERN! NATÜRLICH 😍😁😲🤑💗✨🎀😮
Elisha
iOS-Nutzer
Diese App ist echt der Hammer. Ich finde Lernen so langweilig, aber diese App macht es so einfach, alles zu organisieren und dann kannst du die kostenlose KI bitten, dich abzufragen, so gut, und du kannst einfach deine eigenen Sachen hochladen. sehr empfehlenswert als jemand, der gerade Probeklausuren schreibt
Paul T
iOS-Nutzer
Die App ist sehr einfach zu bedienen und gut gestaltet. Ich habe bisher alles gefunden, wonach ich gesucht habe, und konnte viel aus den Präsentationen lernen! Ich werde die App definitiv für ein Schulprojekt nutzen! Und natürlich hilft sie auch sehr als Inspiration.
Stefan S
iOS-Nutzer
Diese App ist wirklich super. Es gibt so viele Lernzettel und Hilfen [...]. Mein Problemfach ist zum Beispiel Französisch und die App hat so viele Möglichkeiten zur Hilfe. Dank dieser App habe ich mich in Französisch verbessert. Ich würde sie jedem empfehlen.
Samantha Klich
Android-Nutzerin
Wow, ich bin wirklich begeistert. Ich habe die App einfach mal ausprobiert, weil ich sie schon oft beworben gesehen habe und war absolut beeindruckt. Diese App ist DIE HILFE, die man für die Schule braucht und vor allem bietet sie so viele Dinge wie Übungen und Lernzettel, die mir persönlich SEHR geholfen haben.
Anna
iOS-Nutzerin
Beste App der Welt! Keine Worte, weil sie einfach zu gut ist
Thomas R
iOS-Nutzer
Einfach genial. Lässt mich 10x besser lernen, diese App ist eine glatte 10/10. Ich empfehle sie jedem. Ich kann Lernzettel anschauen und suchen. Ich kann sie im Fachordner speichern. Ich kann sie jederzeit wiederholen, wenn ich zurückkomme. Wenn du diese App noch nicht ausprobiert hast, verpasst du wirklich was.
Basil
Android-Nutzer
Diese App hat mich so viel selbstbewusster in meiner Klausurvorbereitung gemacht, nicht nur durch die Stärkung meines Selbstvertrauens durch die Features, die es dir ermöglichen, dich mit anderen zu vernetzen und dich weniger allein zu fühlen, sondern auch durch die Art, wie die App selbst darauf ausgerichtet ist, dass du dich besser fühlst. Sie ist einfach zu bedienen, macht Spaß und hilft jedem, der in irgendeiner Weise Schwierigkeiten hat.
David K
iOS-Nutzer
Die App ist einfach super! Ich muss nur das Thema in die Suche eingeben und bekomme sofort eine Antwort. Ich muss nicht mehr 10 YouTube-Videos schauen, um etwas zu verstehen, und spare dadurch richtig viel Zeit. Sehr empfehlenswert!
Sudenaz Ocak
Android-Nutzerin
In der Schule war ich echt schlecht in Mathe, aber dank der App bin ich jetzt besser geworden. Ich bin so dankbar, dass ihr die App gemacht habt.
Greenlight Bonnie
Android-Nutzerin
sehr zuverlässige App, um deine Ideen in Mathe, Englisch und anderen verwandten Themen zu verbessern. bitte nutze diese App, wenn du in bestimmten Bereichen Schwierigkeiten hast, diese App ist dafür der Schlüssel. wünschte, ich hätte früher eine Bewertung geschrieben. und sie ist auch kostenlos, also mach dir darüber keine Sorgen.
Rohan U
Android-Nutzer
Ich weiß, dass viele Apps gefälschte Accounts nutzen, um ihre Bewertungen zu pushen, aber diese App verdient das alles. Ursprünglich hatte ich eine 4 in meinen Englisch-Klausuren und dieses Mal habe ich eine 2 bekommen. Ich wusste erst drei Tage vor der Klausur von dieser App und sie hat mir SEHR geholfen. Bitte vertrau mir wirklich und nutze sie, denn ich bin sicher, dass auch du Fortschritte sehen wirst.
Xander S
iOS-Nutzer
DIE QUIZZE UND KARTEIKARTEN SIND SO NÜTZLICH UND ICH LIEBE Knowunity KI. ES IST AUCH BUCHSTÄBLICH WIE CHATGPT ABER SCHLAUER!! HAT MIR AUCH BEI MEINEN MASCARA-PROBLEMEN GEHOLFEN!! SOWIE BEI MEINEN ECHTEN FÄCHERN! NATÜRLICH 😍😁😲🤑💗✨🎀😮
Elisha
iOS-Nutzer
Diese App ist echt der Hammer. Ich finde Lernen so langweilig, aber diese App macht es so einfach, alles zu organisieren und dann kannst du die kostenlose KI bitten, dich abzufragen, so gut, und du kannst einfach deine eigenen Sachen hochladen. sehr empfehlenswert als jemand, der gerade Probeklausuren schreibt
Paul T
iOS-Nutzer
Julia
@julializzi
Der Utilitarismus ist eine der wichtigsten ethischen Theorien und basiert auf einem simplen Prinzip: Handle so, dass möglichst viel Glück entsteht und möglichst wenig Leid. Diese Philosophie hat sich über die Jahre entwickelt - von Benthams rein rechnerischem Ansatz über... Mehr anzeigen

Zugriff auf alle Dokumente
Verbessere deine Noten
Schließ dich Millionen Schülern an
Bentham war ein ziemlicher Pragmatiker: Für ihn zählte nur Lust und das Vermeiden von Unlust. Seine Grundidee? Alle Handlungen sind dann richtig, wenn sie das Glück aller Betroffenen maximieren - ganz einfach.
Der Clou bei Bentham: Er behandelt alle Arten von Freude gleich. Ob körperliche oder geistige Lust - Hauptsache, sie lässt sich quantitativ messen. Seine Glücksbilanz funktioniert wie ein Bankkonto: Mehr Glück minus weniger Leid ergibt eine gute Handlung.
Das hedonistische Glückskalkül ist Benthams berühmtes Rechensystem. Du betrachtest Intensität, Dauer und Wahrscheinlichkeit von Glück und Leid bei allen Betroffenen. Dann rechnest du alles zusammen - fertig ist die moralische Entscheidung.
Merktipp: Bentham = Rechnen mit Glück! Alles wird gemessen und verglichen.

Zugriff auf alle Dokumente
Verbessere deine Noten
Schließ dich Millionen Schülern an
Mill fand Benthams Ansatz zu oberflächlich und entwickelte den qualitativen Utilitarismus. Seine zentrale Erkenntnis: Nicht alle Freuden sind gleich wertvoll! Geistige Freuden stehen über körperlichen.
Das Prinzip der Nützlichkeit bleibt gleich - Glück maximieren, Leid minimieren. Aber Mill unterscheidet zwischen höheren und niedrigeren Freuden. Ein zufriedener Sokrates ist besser als ein zufriedenes Schwein, so seine berühmte Formulierung.
Mill entwickelte auch den Regelutilitarismus: Statt jede Handlung einzeln zu bewerten, sollen wir Regeln aufstellen, die langfristig das meiste Glück bringen. Das macht den Alltag praktikabler.
Wichtig: Mill = Qualität vor Quantität! Nicht wie viel Glück, sondern welche Art von Glück zählt.

Zugriff auf alle Dokumente
Verbessere deine Noten
Schließ dich Millionen Schülern an
Singer modernisierte den Utilitarismus radikal: Statt abstrakt über Glück zu philosophieren, schaute er auf konkrete Interessen und Präferenzen. Seine zwei Grundregeln sind simpel - deine Interessen zählen nicht mehr als die anderer, und bei Konflikten suchst du den besten Ausgleich.
Der Präferenzutilitarismus berücksichtigt alle möglichen Interessen - nicht nur deine eigenen. Eine Handlung ist falsch, wenn sie berechtigte Interessen ignoriert oder unfair behandelt.
Singer unterscheidet zwischen Personen (die zukunftsorientierte Pläne haben) und anderen Lebewesen. Aber auch Tiere zählen, da sie Schmerz empfinden können. Das macht seine Ethik besonders relevant für Tierschutz und Umweltfragen.
Ein praktisches Beispiel: Bei einer geplanten Umgehungsstraße profitieren viele, aber wenige Anwohner leiden. Singers Lösung? Die Umgesiedelten bekommen einen fairen Interessenausgleich.
Aktuell: Singer beschäftigt sich mit modernen Fragen wie Tierrechten und globaler Gerechtigkeit!

Zugriff auf alle Dokumente
Verbessere deine Noten
Schließ dich Millionen Schülern an
Der Utilitarismus klingt logisch, hat aber heftige Schwächen. Das größte Problem: Wie misst man Glück objektiv? Benthams Rechensystem ist in der Praxis kaum durchführbar - wer soll ständig komplizierte Kalküle erstellen?
Besonders problematisch wird die Tyrannei der Mehrheit: Theoretisch dürften 51% auf Kosten von 49% ihr Glück maximieren. Das bedroht Minderheitenrechte und individuelle Freiheiten massiv.
Mills Qualitätsansatz schafft neue Probleme: Wer entscheidet, welche Freuden "höherwertig" sind? Das führt schnell zu Expertokratie - eine kleine Elite bestimmt, was für alle gut ist.
Der naturalistische Fehlschluss trifft alle Utilitaristen: Nur weil etwas Freude macht, ist es noch nicht automatisch moralisch richtig. Außerdem rechtfertigt der Zweck theoretisch jedes Mittel.
Realitätscheck: Im Alltag entscheiden wir meist spontan - ohne komplizierte Nutzenrechnungen!

Zugriff auf alle Dokumente
Verbessere deine Noten
Schließ dich Millionen Schülern an
Trotz aller Kritik hat der Utilitarismus überzeugende Vorteile. Er kommt ohne Metaphysik aus - keine religiösen Dogmen oder politischen Traditionen, sondern praktische Menschlichkeit steht im Zentrum.
Der Utilitarismus macht moralische Fragen berechenbar und bringt sie in den Bereich der Sozialwissenschaften. Statt endlos zu philosophieren, schauen wir auf empirische Konsequenzen unserer Handlungen.
Besonders Singers Präferenzutilitarismus bringt wichtige moderne Themen auf die Agenda: Gerechtigkeit zwischen armen und reichen Ländern, Generationenvertrag für zukünftige Menschen und Naturschutz für alle leidensfähigen Wesen.
Die pathozentrische Wende macht den Utilitarismus zur relevantesten Ethik für Klimawandel, Tierschutz und globale Herausforderungen. Er zwingt uns, über unseren eigenen Tellerrand zu blicken.
Zukunft: Der Utilitarismus liefert praktische Werkzeuge für die großen Probleme des 21. Jahrhunderts!

Zugriff auf alle Dokumente
Verbessere deine Noten
Schließ dich Millionen Schülern an

Zugriff auf alle Dokumente
Verbessere deine Noten
Schließ dich Millionen Schülern an

Zugriff auf alle Dokumente
Verbessere deine Noten
Schließ dich Millionen Schülern an

Zugriff auf alle Dokumente
Verbessere deine Noten
Schließ dich Millionen Schülern an

Zugriff auf alle Dokumente
Verbessere deine Noten
Schließ dich Millionen Schülern an
Unser KI-Begleiter ist ein speziell für Schüler entwickeltes KI-Tool, das mehr als nur Antworten bietet. Basierend auf Millionen von Knowunity-Inhalten liefert er relevante Informationen, personalisierte Lernpläne, Quizze und Inhalte direkt im Chat und passt sich deinem individuellen Lernweg an.
Du kannst die App im Google Play Store und im Apple App Store herunterladen.
Genau! Genieße kostenlosen Zugang zu Lerninhalten, vernetze dich mit anderen Schülern und hol dir sofortige Hilfe – alles direkt auf deinem Handy.
21
Smart Tools NEU
Verwandle diesen Lernzettel in: ✓ 50+ Übungsfragen ✓ Interaktive Karteikarten ✓ Komplette Probeklausur ✓ Aufsatzgliederungen
App Store
Google Play
Die App ist sehr einfach zu bedienen und gut gestaltet. Ich habe bisher alles gefunden, wonach ich gesucht habe, und konnte viel aus den Präsentationen lernen! Ich werde die App definitiv für ein Schulprojekt nutzen! Und natürlich hilft sie auch sehr als Inspiration.
Stefan S
iOS-Nutzer
Diese App ist wirklich super. Es gibt so viele Lernzettel und Hilfen [...]. Mein Problemfach ist zum Beispiel Französisch und die App hat so viele Möglichkeiten zur Hilfe. Dank dieser App habe ich mich in Französisch verbessert. Ich würde sie jedem empfehlen.
Samantha Klich
Android-Nutzerin
Wow, ich bin wirklich begeistert. Ich habe die App einfach mal ausprobiert, weil ich sie schon oft beworben gesehen habe und war absolut beeindruckt. Diese App ist DIE HILFE, die man für die Schule braucht und vor allem bietet sie so viele Dinge wie Übungen und Lernzettel, die mir persönlich SEHR geholfen haben.
Anna
iOS-Nutzerin
Beste App der Welt! Keine Worte, weil sie einfach zu gut ist
Thomas R
iOS-Nutzer
Einfach genial. Lässt mich 10x besser lernen, diese App ist eine glatte 10/10. Ich empfehle sie jedem. Ich kann Lernzettel anschauen und suchen. Ich kann sie im Fachordner speichern. Ich kann sie jederzeit wiederholen, wenn ich zurückkomme. Wenn du diese App noch nicht ausprobiert hast, verpasst du wirklich was.
Basil
Android-Nutzer
Diese App hat mich so viel selbstbewusster in meiner Klausurvorbereitung gemacht, nicht nur durch die Stärkung meines Selbstvertrauens durch die Features, die es dir ermöglichen, dich mit anderen zu vernetzen und dich weniger allein zu fühlen, sondern auch durch die Art, wie die App selbst darauf ausgerichtet ist, dass du dich besser fühlst. Sie ist einfach zu bedienen, macht Spaß und hilft jedem, der in irgendeiner Weise Schwierigkeiten hat.
David K
iOS-Nutzer
Die App ist einfach super! Ich muss nur das Thema in die Suche eingeben und bekomme sofort eine Antwort. Ich muss nicht mehr 10 YouTube-Videos schauen, um etwas zu verstehen, und spare dadurch richtig viel Zeit. Sehr empfehlenswert!
Sudenaz Ocak
Android-Nutzerin
In der Schule war ich echt schlecht in Mathe, aber dank der App bin ich jetzt besser geworden. Ich bin so dankbar, dass ihr die App gemacht habt.
Greenlight Bonnie
Android-Nutzerin
sehr zuverlässige App, um deine Ideen in Mathe, Englisch und anderen verwandten Themen zu verbessern. bitte nutze diese App, wenn du in bestimmten Bereichen Schwierigkeiten hast, diese App ist dafür der Schlüssel. wünschte, ich hätte früher eine Bewertung geschrieben. und sie ist auch kostenlos, also mach dir darüber keine Sorgen.
Rohan U
Android-Nutzer
Ich weiß, dass viele Apps gefälschte Accounts nutzen, um ihre Bewertungen zu pushen, aber diese App verdient das alles. Ursprünglich hatte ich eine 4 in meinen Englisch-Klausuren und dieses Mal habe ich eine 2 bekommen. Ich wusste erst drei Tage vor der Klausur von dieser App und sie hat mir SEHR geholfen. Bitte vertrau mir wirklich und nutze sie, denn ich bin sicher, dass auch du Fortschritte sehen wirst.
Xander S
iOS-Nutzer
DIE QUIZZE UND KARTEIKARTEN SIND SO NÜTZLICH UND ICH LIEBE Knowunity KI. ES IST AUCH BUCHSTÄBLICH WIE CHATGPT ABER SCHLAUER!! HAT MIR AUCH BEI MEINEN MASCARA-PROBLEMEN GEHOLFEN!! SOWIE BEI MEINEN ECHTEN FÄCHERN! NATÜRLICH 😍😁😲🤑💗✨🎀😮
Elisha
iOS-Nutzer
Diese App ist echt der Hammer. Ich finde Lernen so langweilig, aber diese App macht es so einfach, alles zu organisieren und dann kannst du die kostenlose KI bitten, dich abzufragen, so gut, und du kannst einfach deine eigenen Sachen hochladen. sehr empfehlenswert als jemand, der gerade Probeklausuren schreibt
Paul T
iOS-Nutzer
Die App ist sehr einfach zu bedienen und gut gestaltet. Ich habe bisher alles gefunden, wonach ich gesucht habe, und konnte viel aus den Präsentationen lernen! Ich werde die App definitiv für ein Schulprojekt nutzen! Und natürlich hilft sie auch sehr als Inspiration.
Stefan S
iOS-Nutzer
Diese App ist wirklich super. Es gibt so viele Lernzettel und Hilfen [...]. Mein Problemfach ist zum Beispiel Französisch und die App hat so viele Möglichkeiten zur Hilfe. Dank dieser App habe ich mich in Französisch verbessert. Ich würde sie jedem empfehlen.
Samantha Klich
Android-Nutzerin
Wow, ich bin wirklich begeistert. Ich habe die App einfach mal ausprobiert, weil ich sie schon oft beworben gesehen habe und war absolut beeindruckt. Diese App ist DIE HILFE, die man für die Schule braucht und vor allem bietet sie so viele Dinge wie Übungen und Lernzettel, die mir persönlich SEHR geholfen haben.
Anna
iOS-Nutzerin
Beste App der Welt! Keine Worte, weil sie einfach zu gut ist
Thomas R
iOS-Nutzer
Einfach genial. Lässt mich 10x besser lernen, diese App ist eine glatte 10/10. Ich empfehle sie jedem. Ich kann Lernzettel anschauen und suchen. Ich kann sie im Fachordner speichern. Ich kann sie jederzeit wiederholen, wenn ich zurückkomme. Wenn du diese App noch nicht ausprobiert hast, verpasst du wirklich was.
Basil
Android-Nutzer
Diese App hat mich so viel selbstbewusster in meiner Klausurvorbereitung gemacht, nicht nur durch die Stärkung meines Selbstvertrauens durch die Features, die es dir ermöglichen, dich mit anderen zu vernetzen und dich weniger allein zu fühlen, sondern auch durch die Art, wie die App selbst darauf ausgerichtet ist, dass du dich besser fühlst. Sie ist einfach zu bedienen, macht Spaß und hilft jedem, der in irgendeiner Weise Schwierigkeiten hat.
David K
iOS-Nutzer
Die App ist einfach super! Ich muss nur das Thema in die Suche eingeben und bekomme sofort eine Antwort. Ich muss nicht mehr 10 YouTube-Videos schauen, um etwas zu verstehen, und spare dadurch richtig viel Zeit. Sehr empfehlenswert!
Sudenaz Ocak
Android-Nutzerin
In der Schule war ich echt schlecht in Mathe, aber dank der App bin ich jetzt besser geworden. Ich bin so dankbar, dass ihr die App gemacht habt.
Greenlight Bonnie
Android-Nutzerin
sehr zuverlässige App, um deine Ideen in Mathe, Englisch und anderen verwandten Themen zu verbessern. bitte nutze diese App, wenn du in bestimmten Bereichen Schwierigkeiten hast, diese App ist dafür der Schlüssel. wünschte, ich hätte früher eine Bewertung geschrieben. und sie ist auch kostenlos, also mach dir darüber keine Sorgen.
Rohan U
Android-Nutzer
Ich weiß, dass viele Apps gefälschte Accounts nutzen, um ihre Bewertungen zu pushen, aber diese App verdient das alles. Ursprünglich hatte ich eine 4 in meinen Englisch-Klausuren und dieses Mal habe ich eine 2 bekommen. Ich wusste erst drei Tage vor der Klausur von dieser App und sie hat mir SEHR geholfen. Bitte vertrau mir wirklich und nutze sie, denn ich bin sicher, dass auch du Fortschritte sehen wirst.
Xander S
iOS-Nutzer
DIE QUIZZE UND KARTEIKARTEN SIND SO NÜTZLICH UND ICH LIEBE Knowunity KI. ES IST AUCH BUCHSTÄBLICH WIE CHATGPT ABER SCHLAUER!! HAT MIR AUCH BEI MEINEN MASCARA-PROBLEMEN GEHOLFEN!! SOWIE BEI MEINEN ECHTEN FÄCHERN! NATÜRLICH 😍😁😲🤑💗✨🎀😮
Elisha
iOS-Nutzer
Diese App ist echt der Hammer. Ich finde Lernen so langweilig, aber diese App macht es so einfach, alles zu organisieren und dann kannst du die kostenlose KI bitten, dich abzufragen, so gut, und du kannst einfach deine eigenen Sachen hochladen. sehr empfehlenswert als jemand, der gerade Probeklausuren schreibt
Paul T
iOS-Nutzer