Diese Probeklausur deckt die wichtigsten Mathe-Themen der Mittelstufe ab: Termumformung,... Mehr anzeigen
Melde dich an, um den Inhalt zu sehenKostenlos!
Zugriff auf alle Dokumente
Verbessere deine Noten
Schließ dich Millionen Schülern an
Knowunity KI
Fächer
Triangle Congruence and Similarity Theorems
Triangle Properties and Classification
Linear Equations and Graphs
Geometric Angle Relationships
Trigonometric Functions and Identities
Equation Solving Techniques
Circle Geometry Fundamentals
Division Operations and Methods
Basic Differentiation Rules
Exponent and Logarithm Properties
Alle Themen anzeigen
Human Organ Systems
Reproductive Cell Cycles
Biological Sciences Subdisciplines
Cellular Energy Metabolism
Autotrophic Energy Processes
Inheritance Patterns and Principles
Biomolecular Structure and Organization
Cell Cycle and Division Mechanics
Cellular Organization and Development
Biological Structural Organization
Alle Themen anzeigen
Chemical Sciences and Applications
Atomic Structure and Composition
Molecular Electron Structure Representation
Atomic Electron Behavior
Matter Properties and Water
Mole Concept and Calculations
Gas Laws and Behavior
Periodic Table Organization
Chemical Thermodynamics Fundamentals
Chemical Bond Types and Properties
Alle Themen anzeigen
European Renaissance and Enlightenment
European Cultural Movements 800-1920
American Revolution Era 1763-1797
American Civil War 1861-1865
Global Imperial Systems
Mongol and Chinese Dynasties
U.S. Presidents and World Leaders
Historical Sources and Documentation
World Wars Era and Impact
World Religious Systems
Alle Themen anzeigen
Classic and Contemporary Novels
Literary Character Analysis
Rhetorical Theory and Practice
Classic Literary Narratives
Reading Analysis and Interpretation
Narrative Structure and Techniques
English Language Components
Influential English-Language Authors
Basic Sentence Structure
Narrative Voice and Perspective
Alle Themen anzeigen
1,026
•
Aktualisiert Apr 6, 2026
•
Paul
@paul_thzx
Diese Probeklausur deckt die wichtigsten Mathe-Themen der Mittelstufe ab: Termumformung,... Mehr anzeigen










Du stehst vor einer typischen Mittelstufenklausur, die deine mathematischen Grundfertigkeiten testet. Die Aufgaben sind bewusst ohne Taschenrechner konzipiert - das schult dein Zahlenverständnis enorm.
Termumformung und Berechnungen stehen am Anfang: Bruchrechnung, binomische Formeln und Potenzregeln. Diese Basics brauchst du für alles Weitere, also nimm dir hier genug Zeit.
Bei den linearen Funktionen arbeitest du mit Punkten, Steigungen und Schnittpunkten. Das Aufstellen von Geradengleichungen aus zwei Punkten ist ein Klassiker in jeder Prüfung.
Tipp: Schreibe immer deinen Lösungsweg auf - auch bei "einfachen" Aufgaben. Das bringt dir wertvolle Teilpunkte!

Bruchrechnung ohne Taschenrechner ist machbar, wenn du die Regeln kennst. Bei Addition und Subtraktion brauchst du einen gemeinsamen Nenner - bei Division kehrst du den zweiten Bruch um und multiplizierst.
Die binomischen Formeln sind deine besten Freunde: , und . Diese Muster erkennst du nach etwas Übung sofort.
Potenzregeln vereinfachen kompliziert aussehende Terme: und . Bei negativen Exponenten wird's zu einem Bruch: .
Merkregel: Bei Wurzeln denkst du an Bruchexponenten:

Die Bruchrechnungen funktionieren über gemeinsame Nenner. Bei erweiterst du beide Brüche auf 28 und erhältst .
Binomische Formeln anwenden: und . Bei wird's zu .
Die Potenzregeln zeigen sich bei und . Bei denkst du: .
Kontrolltipp: Setze einfache Zahlen für x ein und prüfe, ob dein Ergebnis stimmt!

Geradengleichungen aus zwei Punkten aufstellen ist Routine: Steigung berechnen, dann einen Punkt einsetzen um b zu finden. Mit P(3/5) und Q(6/7) wird's zu .
Nullstellen findest du, indem du die Funktion gleich null setzt: führt zu . Das ist der x-Wert, wo die Gerade die x-Achse schneidet.
Schnittpunkte zweier Geraden berechnest du durch Gleichsetzen: . Nach dem Umformen erhältst du die x-Koordinate, die y-Koordinate folgt durch Einsetzen.
Probe: Setze deine Schnittpunkt-Koordinaten in beide Funktionen ein - sie müssen den gleichen y-Wert liefern!

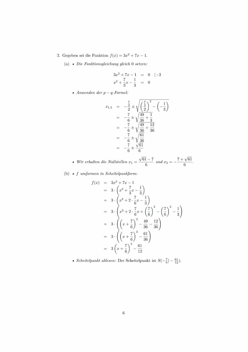
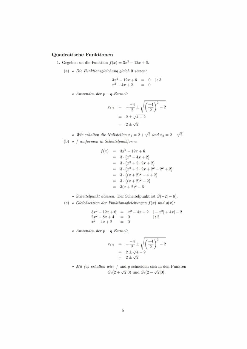
Nullstellen quadratischer Funktionen findest du mit der pq-Formel: . Bei wird's zu .
Scheitelpunkte berechnest du durch quadratische Ergänzung: Aus $3x^2 - 12x + 63^2 - 6S(2|-6)$.
Schnittpunkte mit anderen Funktionen findest du wieder durch Gleichsetzen. Wenn beide Funktionen quadratisch sind, kann es null, einen oder zwei Schnittpunkte geben.
Diskriminante beachten: Ist der Term unter der Wurzel negativ, gibt es keine reellen Lösungen!

Bei wird die pq-Formel komplizierter: Nach Division durch 3 erhältst du . Die Nullstellen sind .
Quadratische Ergänzung funktioniert auch mit Brüchen: $3x^2 + 7x - 13^2 - \frac{61}{12}S$.
Die Rechnungen werden aufwendiger, aber das Prinzip bleibt gleich. Arbeite sorgfältig mit Brüchen und kontrolliere deine Zwischenschritte.
Zeitmanagement: Bei komplizierten Brüchen lieber langsam und sicher rechnen als schnell und fehlerhaft!

Beim Gleichsetzen von und erhältst du $2x^2 + 7x + 11 = 0$. Die Diskriminante ist negativ.
Negative Diskriminante bedeutet: Die Parabeln schneiden sich nicht! Das erkennst du daran, dass unter der Wurzel eine negative Zahl steht.
Diese Situationen kommen in Prüfungen oft vor - du sollst zeigen, dass du das erkennst und mathematisch begründen kannst.
Antwort formulieren: Schreibe klar hin: "Die Funktionen schneiden sich nicht, da die Diskriminante negativ ist."

Gleichungssysteme löst du am besten mit dem Additionsverfahren. Multipliziere eine Gleichung so, dass sich eine Variable beim Addieren weghebt.
Bei und $2a - 4b = 72a - \frac{3}{2}b = \frac{13}{4}b = -\frac{5}{4}$.
Rückwärts einsetzen: Den gefundenen b-Wert setzt du in eine der ursprünglichen Gleichungen ein und berechnest a. Ergebnis: , .
Probe machen: Setze deine Lösung in beide ursprünglichen Gleichungen ein - sie müssen stimmen!

Das System und $5b = -7aa + 3b = 77a + 5b = 0$.
Systematisches Vorgehen: Multipliziere die erste Gleichung mit -7 und addiere zur zweiten: . Das ergibt , also .
Einsetzen liefert . Die Lösung ist .
Ordnung halten: Nummeriere deine Gleichungen durch (I), (II), (I'), etc. - so behältst du den Überblick!
Unser KI-Begleiter ist ein speziell für Schüler entwickeltes KI-Tool, das mehr als nur Antworten bietet. Basierend auf Millionen von Knowunity-Inhalten liefert er relevante Informationen, personalisierte Lernpläne, Quizze und Inhalte direkt im Chat und passt sich deinem individuellen Lernweg an.
Du kannst die App im Google Play Store und im Apple App Store herunterladen.
Genau! Genieße kostenlosen Zugang zu Lerninhalten, vernetze dich mit anderen Schülern und hol dir sofortige Hilfe – alles direkt auf deinem Handy.
App Store
Google Play
Die App ist sehr einfach zu bedienen und gut gestaltet. Ich habe bisher alles gefunden, wonach ich gesucht habe, und konnte viel aus den Präsentationen lernen! Ich werde die App definitiv für ein Schulprojekt nutzen! Und natürlich hilft sie auch sehr als Inspiration.
Stefan S
iOS-Nutzer
Diese App ist wirklich super. Es gibt so viele Lernzettel und Hilfen [...]. Mein Problemfach ist zum Beispiel Französisch und die App hat so viele Möglichkeiten zur Hilfe. Dank dieser App habe ich mich in Französisch verbessert. Ich würde sie jedem empfehlen.
Samantha Klich
Android-Nutzerin
Wow, ich bin wirklich begeistert. Ich habe die App einfach mal ausprobiert, weil ich sie schon oft beworben gesehen habe und war absolut beeindruckt. Diese App ist DIE HILFE, die man für die Schule braucht und vor allem bietet sie so viele Dinge wie Übungen und Lernzettel, die mir persönlich SEHR geholfen haben.
Anna
iOS-Nutzerin
Beste App der Welt! Keine Worte, weil sie einfach zu gut ist
Thomas R
iOS-Nutzer
Einfach genial. Lässt mich 10x besser lernen, diese App ist eine glatte 10/10. Ich empfehle sie jedem. Ich kann Lernzettel anschauen und suchen. Ich kann sie im Fachordner speichern. Ich kann sie jederzeit wiederholen, wenn ich zurückkomme. Wenn du diese App noch nicht ausprobiert hast, verpasst du wirklich was.
Basil
Android-Nutzer
Diese App hat mich so viel selbstbewusster in meiner Klausurvorbereitung gemacht, nicht nur durch die Stärkung meines Selbstvertrauens durch die Features, die es dir ermöglichen, dich mit anderen zu vernetzen und dich weniger allein zu fühlen, sondern auch durch die Art, wie die App selbst darauf ausgerichtet ist, dass du dich besser fühlst. Sie ist einfach zu bedienen, macht Spaß und hilft jedem, der in irgendeiner Weise Schwierigkeiten hat.
David K
iOS-Nutzer
Die App ist einfach super! Ich muss nur das Thema in die Suche eingeben und bekomme sofort eine Antwort. Ich muss nicht mehr 10 YouTube-Videos schauen, um etwas zu verstehen, und spare dadurch richtig viel Zeit. Sehr empfehlenswert!
Sudenaz Ocak
Android-Nutzerin
In der Schule war ich echt schlecht in Mathe, aber dank der App bin ich jetzt besser geworden. Ich bin so dankbar, dass ihr die App gemacht habt.
Greenlight Bonnie
Android-Nutzerin
sehr zuverlässige App, um deine Ideen in Mathe, Englisch und anderen verwandten Themen zu verbessern. bitte nutze diese App, wenn du in bestimmten Bereichen Schwierigkeiten hast, diese App ist dafür der Schlüssel. wünschte, ich hätte früher eine Bewertung geschrieben. und sie ist auch kostenlos, also mach dir darüber keine Sorgen.
Rohan U
Android-Nutzer
Ich weiß, dass viele Apps gefälschte Accounts nutzen, um ihre Bewertungen zu pushen, aber diese App verdient das alles. Ursprünglich hatte ich eine 4 in meinen Englisch-Klausuren und dieses Mal habe ich eine 2 bekommen. Ich wusste erst drei Tage vor der Klausur von dieser App und sie hat mir SEHR geholfen. Bitte vertrau mir wirklich und nutze sie, denn ich bin sicher, dass auch du Fortschritte sehen wirst.
Xander S
iOS-Nutzer
DIE QUIZZE UND KARTEIKARTEN SIND SO NÜTZLICH UND ICH LIEBE Knowunity KI. ES IST AUCH BUCHSTÄBLICH WIE CHATGPT ABER SCHLAUER!! HAT MIR AUCH BEI MEINEN MASCARA-PROBLEMEN GEHOLFEN!! SOWIE BEI MEINEN ECHTEN FÄCHERN! NATÜRLICH 😍😁😲🤑💗✨🎀😮
Elisha
iOS-Nutzer
Diese App ist echt der Hammer. Ich finde Lernen so langweilig, aber diese App macht es so einfach, alles zu organisieren und dann kannst du die kostenlose KI bitten, dich abzufragen, so gut, und du kannst einfach deine eigenen Sachen hochladen. sehr empfehlenswert als jemand, der gerade Probeklausuren schreibt
Paul T
iOS-Nutzer
Die App ist sehr einfach zu bedienen und gut gestaltet. Ich habe bisher alles gefunden, wonach ich gesucht habe, und konnte viel aus den Präsentationen lernen! Ich werde die App definitiv für ein Schulprojekt nutzen! Und natürlich hilft sie auch sehr als Inspiration.
Stefan S
iOS-Nutzer
Diese App ist wirklich super. Es gibt so viele Lernzettel und Hilfen [...]. Mein Problemfach ist zum Beispiel Französisch und die App hat so viele Möglichkeiten zur Hilfe. Dank dieser App habe ich mich in Französisch verbessert. Ich würde sie jedem empfehlen.
Samantha Klich
Android-Nutzerin
Wow, ich bin wirklich begeistert. Ich habe die App einfach mal ausprobiert, weil ich sie schon oft beworben gesehen habe und war absolut beeindruckt. Diese App ist DIE HILFE, die man für die Schule braucht und vor allem bietet sie so viele Dinge wie Übungen und Lernzettel, die mir persönlich SEHR geholfen haben.
Anna
iOS-Nutzerin
Beste App der Welt! Keine Worte, weil sie einfach zu gut ist
Thomas R
iOS-Nutzer
Einfach genial. Lässt mich 10x besser lernen, diese App ist eine glatte 10/10. Ich empfehle sie jedem. Ich kann Lernzettel anschauen und suchen. Ich kann sie im Fachordner speichern. Ich kann sie jederzeit wiederholen, wenn ich zurückkomme. Wenn du diese App noch nicht ausprobiert hast, verpasst du wirklich was.
Basil
Android-Nutzer
Diese App hat mich so viel selbstbewusster in meiner Klausurvorbereitung gemacht, nicht nur durch die Stärkung meines Selbstvertrauens durch die Features, die es dir ermöglichen, dich mit anderen zu vernetzen und dich weniger allein zu fühlen, sondern auch durch die Art, wie die App selbst darauf ausgerichtet ist, dass du dich besser fühlst. Sie ist einfach zu bedienen, macht Spaß und hilft jedem, der in irgendeiner Weise Schwierigkeiten hat.
David K
iOS-Nutzer
Die App ist einfach super! Ich muss nur das Thema in die Suche eingeben und bekomme sofort eine Antwort. Ich muss nicht mehr 10 YouTube-Videos schauen, um etwas zu verstehen, und spare dadurch richtig viel Zeit. Sehr empfehlenswert!
Sudenaz Ocak
Android-Nutzerin
In der Schule war ich echt schlecht in Mathe, aber dank der App bin ich jetzt besser geworden. Ich bin so dankbar, dass ihr die App gemacht habt.
Greenlight Bonnie
Android-Nutzerin
sehr zuverlässige App, um deine Ideen in Mathe, Englisch und anderen verwandten Themen zu verbessern. bitte nutze diese App, wenn du in bestimmten Bereichen Schwierigkeiten hast, diese App ist dafür der Schlüssel. wünschte, ich hätte früher eine Bewertung geschrieben. und sie ist auch kostenlos, also mach dir darüber keine Sorgen.
Rohan U
Android-Nutzer
Ich weiß, dass viele Apps gefälschte Accounts nutzen, um ihre Bewertungen zu pushen, aber diese App verdient das alles. Ursprünglich hatte ich eine 4 in meinen Englisch-Klausuren und dieses Mal habe ich eine 2 bekommen. Ich wusste erst drei Tage vor der Klausur von dieser App und sie hat mir SEHR geholfen. Bitte vertrau mir wirklich und nutze sie, denn ich bin sicher, dass auch du Fortschritte sehen wirst.
Xander S
iOS-Nutzer
DIE QUIZZE UND KARTEIKARTEN SIND SO NÜTZLICH UND ICH LIEBE Knowunity KI. ES IST AUCH BUCHSTÄBLICH WIE CHATGPT ABER SCHLAUER!! HAT MIR AUCH BEI MEINEN MASCARA-PROBLEMEN GEHOLFEN!! SOWIE BEI MEINEN ECHTEN FÄCHERN! NATÜRLICH 😍😁😲🤑💗✨🎀😮
Elisha
iOS-Nutzer
Diese App ist echt der Hammer. Ich finde Lernen so langweilig, aber diese App macht es so einfach, alles zu organisieren und dann kannst du die kostenlose KI bitten, dich abzufragen, so gut, und du kannst einfach deine eigenen Sachen hochladen. sehr empfehlenswert als jemand, der gerade Probeklausuren schreibt
Paul T
iOS-Nutzer
Paul
@paul_thzx
Diese Probeklausur deckt die wichtigsten Mathe-Themen der Mittelstufe ab: Termumformung, lineare und quadratische Funktionen sowie lineare Gleichungssysteme. Alles ohne Taschenrechner lösbar - perfekt, um deine Grundrechenfertigkeiten zu testen!

Zugriff auf alle Dokumente
Verbessere deine Noten
Schließ dich Millionen Schülern an
Du stehst vor einer typischen Mittelstufenklausur, die deine mathematischen Grundfertigkeiten testet. Die Aufgaben sind bewusst ohne Taschenrechner konzipiert - das schult dein Zahlenverständnis enorm.
Termumformung und Berechnungen stehen am Anfang: Bruchrechnung, binomische Formeln und Potenzregeln. Diese Basics brauchst du für alles Weitere, also nimm dir hier genug Zeit.
Bei den linearen Funktionen arbeitest du mit Punkten, Steigungen und Schnittpunkten. Das Aufstellen von Geradengleichungen aus zwei Punkten ist ein Klassiker in jeder Prüfung.
Tipp: Schreibe immer deinen Lösungsweg auf - auch bei "einfachen" Aufgaben. Das bringt dir wertvolle Teilpunkte!

Zugriff auf alle Dokumente
Verbessere deine Noten
Schließ dich Millionen Schülern an
Bruchrechnung ohne Taschenrechner ist machbar, wenn du die Regeln kennst. Bei Addition und Subtraktion brauchst du einen gemeinsamen Nenner - bei Division kehrst du den zweiten Bruch um und multiplizierst.
Die binomischen Formeln sind deine besten Freunde: , und . Diese Muster erkennst du nach etwas Übung sofort.
Potenzregeln vereinfachen kompliziert aussehende Terme: und . Bei negativen Exponenten wird's zu einem Bruch: .
Merkregel: Bei Wurzeln denkst du an Bruchexponenten:

Zugriff auf alle Dokumente
Verbessere deine Noten
Schließ dich Millionen Schülern an
Die Bruchrechnungen funktionieren über gemeinsame Nenner. Bei erweiterst du beide Brüche auf 28 und erhältst .
Binomische Formeln anwenden: und . Bei wird's zu .
Die Potenzregeln zeigen sich bei und . Bei denkst du: .
Kontrolltipp: Setze einfache Zahlen für x ein und prüfe, ob dein Ergebnis stimmt!

Zugriff auf alle Dokumente
Verbessere deine Noten
Schließ dich Millionen Schülern an
Geradengleichungen aus zwei Punkten aufstellen ist Routine: Steigung berechnen, dann einen Punkt einsetzen um b zu finden. Mit P(3/5) und Q(6/7) wird's zu .
Nullstellen findest du, indem du die Funktion gleich null setzt: führt zu . Das ist der x-Wert, wo die Gerade die x-Achse schneidet.
Schnittpunkte zweier Geraden berechnest du durch Gleichsetzen: . Nach dem Umformen erhältst du die x-Koordinate, die y-Koordinate folgt durch Einsetzen.
Probe: Setze deine Schnittpunkt-Koordinaten in beide Funktionen ein - sie müssen den gleichen y-Wert liefern!

Zugriff auf alle Dokumente
Verbessere deine Noten
Schließ dich Millionen Schülern an
Nullstellen quadratischer Funktionen findest du mit der pq-Formel: . Bei wird's zu .
Scheitelpunkte berechnest du durch quadratische Ergänzung: Aus $3x^2 - 12x + 63^2 - 6S(2|-6)$.
Schnittpunkte mit anderen Funktionen findest du wieder durch Gleichsetzen. Wenn beide Funktionen quadratisch sind, kann es null, einen oder zwei Schnittpunkte geben.
Diskriminante beachten: Ist der Term unter der Wurzel negativ, gibt es keine reellen Lösungen!

Zugriff auf alle Dokumente
Verbessere deine Noten
Schließ dich Millionen Schülern an
Bei wird die pq-Formel komplizierter: Nach Division durch 3 erhältst du . Die Nullstellen sind .
Quadratische Ergänzung funktioniert auch mit Brüchen: $3x^2 + 7x - 13^2 - \frac{61}{12}S$.
Die Rechnungen werden aufwendiger, aber das Prinzip bleibt gleich. Arbeite sorgfältig mit Brüchen und kontrolliere deine Zwischenschritte.
Zeitmanagement: Bei komplizierten Brüchen lieber langsam und sicher rechnen als schnell und fehlerhaft!

Zugriff auf alle Dokumente
Verbessere deine Noten
Schließ dich Millionen Schülern an
Beim Gleichsetzen von und erhältst du $2x^2 + 7x + 11 = 0$. Die Diskriminante ist negativ.
Negative Diskriminante bedeutet: Die Parabeln schneiden sich nicht! Das erkennst du daran, dass unter der Wurzel eine negative Zahl steht.
Diese Situationen kommen in Prüfungen oft vor - du sollst zeigen, dass du das erkennst und mathematisch begründen kannst.
Antwort formulieren: Schreibe klar hin: "Die Funktionen schneiden sich nicht, da die Diskriminante negativ ist."

Zugriff auf alle Dokumente
Verbessere deine Noten
Schließ dich Millionen Schülern an
Gleichungssysteme löst du am besten mit dem Additionsverfahren. Multipliziere eine Gleichung so, dass sich eine Variable beim Addieren weghebt.
Bei und $2a - 4b = 72a - \frac{3}{2}b = \frac{13}{4}b = -\frac{5}{4}$.
Rückwärts einsetzen: Den gefundenen b-Wert setzt du in eine der ursprünglichen Gleichungen ein und berechnest a. Ergebnis: , .
Probe machen: Setze deine Lösung in beide ursprünglichen Gleichungen ein - sie müssen stimmen!

Zugriff auf alle Dokumente
Verbessere deine Noten
Schließ dich Millionen Schülern an
Das System und $5b = -7aa + 3b = 77a + 5b = 0$.
Systematisches Vorgehen: Multipliziere die erste Gleichung mit -7 und addiere zur zweiten: . Das ergibt , also .
Einsetzen liefert . Die Lösung ist .
Ordnung halten: Nummeriere deine Gleichungen durch (I), (II), (I'), etc. - so behältst du den Überblick!
Unser KI-Begleiter ist ein speziell für Schüler entwickeltes KI-Tool, das mehr als nur Antworten bietet. Basierend auf Millionen von Knowunity-Inhalten liefert er relevante Informationen, personalisierte Lernpläne, Quizze und Inhalte direkt im Chat und passt sich deinem individuellen Lernweg an.
Du kannst die App im Google Play Store und im Apple App Store herunterladen.
Genau! Genieße kostenlosen Zugang zu Lerninhalten, vernetze dich mit anderen Schülern und hol dir sofortige Hilfe – alles direkt auf deinem Handy.
17
Smart Tools NEU
Verwandle diesen Lernzettel in: ✓ 50+ Übungsfragen ✓ Interaktive Karteikarten ✓ Komplette Probeklausur ✓ Aufsatzgliederungen
Entdecke, wie man quadratische Funktionen von der faktorisierte Form in die Normalform umwandelt. Diese Zusammenstellung bietet eine Vielzahl von Aufgaben und detaillierte Lösungswege, um das Verständnis für das Ausmultiplizieren und die Umformung zu vertiefen. Ideal für Schüler, die ihre Fähigkeiten in der Algebra verbessern möchten.
Vertiefte Zusammenfassung zu Trigonometrie, goniometrischen Gleichungen, Potenzen, Wurzeln sowie linearen und quadratischen Funktionen. Ideal für die Vorbereitung auf Klassenarbeiten. Themen umfassen: Sinus- und Kosinussatz, Nullstellenberechnung, exponentielle Gesetze und mehr.
Entdecken Sie die Grundlagen der Umkehrfunktionen, einschließlich ihrer Definition, Berechnung und der Bedingungen für ihre Eindeutigkeit. Diese Zusammenfassung behandelt inverse Funktionen, deren Typen, sowie den Zusammenhang zwischen Definitionsbereich und Wertebereich. Ideal für Studierende, die sich auf Prüfungen vorbereiten oder ihr Wissen vertiefen möchten.
Nullstellen ganzrationaler Funktionen, Differenzenquotient, Linearfaktordarstellung mit der Vielfachheit von Nullstellen; Funktionstransformation
Entdecken Sie die Grundlagen der Transformationen von Funktionen, einschließlich Streckungen, Verschiebungen und Spiegelungen. Diese Zusammenfassung behandelt auch trigonometrische Funktionen und das Lösen von Gleichungen. Ideal für das Abitur in Baden-Württemberg 2021.
Entdecken Sie die Grundlagen der Symmetrie und das Verhalten von Potenzfunktionen. Dieser Lernzettel behandelt wichtige Konzepte wie das Globalverhalten, Transformationen von Potenzfunktionen und die Bestimmung mehrerer Nullstellen. Ideal für Schüler der EF, die sich auf Mathematik vorbereiten.
App Store
Google Play
Die App ist sehr einfach zu bedienen und gut gestaltet. Ich habe bisher alles gefunden, wonach ich gesucht habe, und konnte viel aus den Präsentationen lernen! Ich werde die App definitiv für ein Schulprojekt nutzen! Und natürlich hilft sie auch sehr als Inspiration.
Stefan S
iOS-Nutzer
Diese App ist wirklich super. Es gibt so viele Lernzettel und Hilfen [...]. Mein Problemfach ist zum Beispiel Französisch und die App hat so viele Möglichkeiten zur Hilfe. Dank dieser App habe ich mich in Französisch verbessert. Ich würde sie jedem empfehlen.
Samantha Klich
Android-Nutzerin
Wow, ich bin wirklich begeistert. Ich habe die App einfach mal ausprobiert, weil ich sie schon oft beworben gesehen habe und war absolut beeindruckt. Diese App ist DIE HILFE, die man für die Schule braucht und vor allem bietet sie so viele Dinge wie Übungen und Lernzettel, die mir persönlich SEHR geholfen haben.
Anna
iOS-Nutzerin
Beste App der Welt! Keine Worte, weil sie einfach zu gut ist
Thomas R
iOS-Nutzer
Einfach genial. Lässt mich 10x besser lernen, diese App ist eine glatte 10/10. Ich empfehle sie jedem. Ich kann Lernzettel anschauen und suchen. Ich kann sie im Fachordner speichern. Ich kann sie jederzeit wiederholen, wenn ich zurückkomme. Wenn du diese App noch nicht ausprobiert hast, verpasst du wirklich was.
Basil
Android-Nutzer
Diese App hat mich so viel selbstbewusster in meiner Klausurvorbereitung gemacht, nicht nur durch die Stärkung meines Selbstvertrauens durch die Features, die es dir ermöglichen, dich mit anderen zu vernetzen und dich weniger allein zu fühlen, sondern auch durch die Art, wie die App selbst darauf ausgerichtet ist, dass du dich besser fühlst. Sie ist einfach zu bedienen, macht Spaß und hilft jedem, der in irgendeiner Weise Schwierigkeiten hat.
David K
iOS-Nutzer
Die App ist einfach super! Ich muss nur das Thema in die Suche eingeben und bekomme sofort eine Antwort. Ich muss nicht mehr 10 YouTube-Videos schauen, um etwas zu verstehen, und spare dadurch richtig viel Zeit. Sehr empfehlenswert!
Sudenaz Ocak
Android-Nutzerin
In der Schule war ich echt schlecht in Mathe, aber dank der App bin ich jetzt besser geworden. Ich bin so dankbar, dass ihr die App gemacht habt.
Greenlight Bonnie
Android-Nutzerin
sehr zuverlässige App, um deine Ideen in Mathe, Englisch und anderen verwandten Themen zu verbessern. bitte nutze diese App, wenn du in bestimmten Bereichen Schwierigkeiten hast, diese App ist dafür der Schlüssel. wünschte, ich hätte früher eine Bewertung geschrieben. und sie ist auch kostenlos, also mach dir darüber keine Sorgen.
Rohan U
Android-Nutzer
Ich weiß, dass viele Apps gefälschte Accounts nutzen, um ihre Bewertungen zu pushen, aber diese App verdient das alles. Ursprünglich hatte ich eine 4 in meinen Englisch-Klausuren und dieses Mal habe ich eine 2 bekommen. Ich wusste erst drei Tage vor der Klausur von dieser App und sie hat mir SEHR geholfen. Bitte vertrau mir wirklich und nutze sie, denn ich bin sicher, dass auch du Fortschritte sehen wirst.
Xander S
iOS-Nutzer
DIE QUIZZE UND KARTEIKARTEN SIND SO NÜTZLICH UND ICH LIEBE Knowunity KI. ES IST AUCH BUCHSTÄBLICH WIE CHATGPT ABER SCHLAUER!! HAT MIR AUCH BEI MEINEN MASCARA-PROBLEMEN GEHOLFEN!! SOWIE BEI MEINEN ECHTEN FÄCHERN! NATÜRLICH 😍😁😲🤑💗✨🎀😮
Elisha
iOS-Nutzer
Diese App ist echt der Hammer. Ich finde Lernen so langweilig, aber diese App macht es so einfach, alles zu organisieren und dann kannst du die kostenlose KI bitten, dich abzufragen, so gut, und du kannst einfach deine eigenen Sachen hochladen. sehr empfehlenswert als jemand, der gerade Probeklausuren schreibt
Paul T
iOS-Nutzer
Die App ist sehr einfach zu bedienen und gut gestaltet. Ich habe bisher alles gefunden, wonach ich gesucht habe, und konnte viel aus den Präsentationen lernen! Ich werde die App definitiv für ein Schulprojekt nutzen! Und natürlich hilft sie auch sehr als Inspiration.
Stefan S
iOS-Nutzer
Diese App ist wirklich super. Es gibt so viele Lernzettel und Hilfen [...]. Mein Problemfach ist zum Beispiel Französisch und die App hat so viele Möglichkeiten zur Hilfe. Dank dieser App habe ich mich in Französisch verbessert. Ich würde sie jedem empfehlen.
Samantha Klich
Android-Nutzerin
Wow, ich bin wirklich begeistert. Ich habe die App einfach mal ausprobiert, weil ich sie schon oft beworben gesehen habe und war absolut beeindruckt. Diese App ist DIE HILFE, die man für die Schule braucht und vor allem bietet sie so viele Dinge wie Übungen und Lernzettel, die mir persönlich SEHR geholfen haben.
Anna
iOS-Nutzerin
Beste App der Welt! Keine Worte, weil sie einfach zu gut ist
Thomas R
iOS-Nutzer
Einfach genial. Lässt mich 10x besser lernen, diese App ist eine glatte 10/10. Ich empfehle sie jedem. Ich kann Lernzettel anschauen und suchen. Ich kann sie im Fachordner speichern. Ich kann sie jederzeit wiederholen, wenn ich zurückkomme. Wenn du diese App noch nicht ausprobiert hast, verpasst du wirklich was.
Basil
Android-Nutzer
Diese App hat mich so viel selbstbewusster in meiner Klausurvorbereitung gemacht, nicht nur durch die Stärkung meines Selbstvertrauens durch die Features, die es dir ermöglichen, dich mit anderen zu vernetzen und dich weniger allein zu fühlen, sondern auch durch die Art, wie die App selbst darauf ausgerichtet ist, dass du dich besser fühlst. Sie ist einfach zu bedienen, macht Spaß und hilft jedem, der in irgendeiner Weise Schwierigkeiten hat.
David K
iOS-Nutzer
Die App ist einfach super! Ich muss nur das Thema in die Suche eingeben und bekomme sofort eine Antwort. Ich muss nicht mehr 10 YouTube-Videos schauen, um etwas zu verstehen, und spare dadurch richtig viel Zeit. Sehr empfehlenswert!
Sudenaz Ocak
Android-Nutzerin
In der Schule war ich echt schlecht in Mathe, aber dank der App bin ich jetzt besser geworden. Ich bin so dankbar, dass ihr die App gemacht habt.
Greenlight Bonnie
Android-Nutzerin
sehr zuverlässige App, um deine Ideen in Mathe, Englisch und anderen verwandten Themen zu verbessern. bitte nutze diese App, wenn du in bestimmten Bereichen Schwierigkeiten hast, diese App ist dafür der Schlüssel. wünschte, ich hätte früher eine Bewertung geschrieben. und sie ist auch kostenlos, also mach dir darüber keine Sorgen.
Rohan U
Android-Nutzer
Ich weiß, dass viele Apps gefälschte Accounts nutzen, um ihre Bewertungen zu pushen, aber diese App verdient das alles. Ursprünglich hatte ich eine 4 in meinen Englisch-Klausuren und dieses Mal habe ich eine 2 bekommen. Ich wusste erst drei Tage vor der Klausur von dieser App und sie hat mir SEHR geholfen. Bitte vertrau mir wirklich und nutze sie, denn ich bin sicher, dass auch du Fortschritte sehen wirst.
Xander S
iOS-Nutzer
DIE QUIZZE UND KARTEIKARTEN SIND SO NÜTZLICH UND ICH LIEBE Knowunity KI. ES IST AUCH BUCHSTÄBLICH WIE CHATGPT ABER SCHLAUER!! HAT MIR AUCH BEI MEINEN MASCARA-PROBLEMEN GEHOLFEN!! SOWIE BEI MEINEN ECHTEN FÄCHERN! NATÜRLICH 😍😁😲🤑💗✨🎀😮
Elisha
iOS-Nutzer
Diese App ist echt der Hammer. Ich finde Lernen so langweilig, aber diese App macht es so einfach, alles zu organisieren und dann kannst du die kostenlose KI bitten, dich abzufragen, so gut, und du kannst einfach deine eigenen Sachen hochladen. sehr empfehlenswert als jemand, der gerade Probeklausuren schreibt
Paul T
iOS-Nutzer