Die Biologie der 11. Klasse startet mit den grundlegenden Bausteinen... Mehr anzeigen
Biologie Oberstufe Zusammenfassung – Teil 1











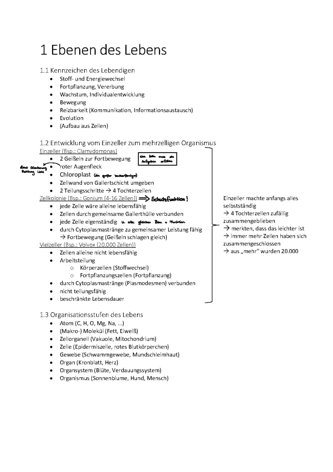
Ebenen des Lebens - Von einfach zu komplex
Was macht eigentlich etwas "lebendig"? Es gibt sieben Kennzeichen des Lebendigen, die du dir merken solltest: Stoff- und Energiewechsel, Fortpflanzung, Wachstum, Bewegung, Reizbarkeit und Evolution.
Die Evolution vom Einzeller zum Vielzeller ist wie eine WG-Geschichte. Einzeller wie Chlamydomonas leben allein und machen alles selbst - sie haben Geißeln zur Fortbewegung und einen roten Augenfleck. Dann entstanden Zellkolonien wie Gonium - hier leben 4-16 Zellen zusammen, jede könnte aber noch allein überleben.
Bei echten Vielzellern wie Volvox gibt's kein Zurück mehr. Die 20.000 Zellen haben sich spezialisiert: manche kümmern sich nur um den Stoffwechsel, andere nur um die Fortpflanzung. Das nennt man Arbeitsteilung.
Merktipp: Je komplexer der Organismus, desto abhängiger sind die Zellen voneinander!
Die Organisationsstufen bauen aufeinander auf: Vom Atom über Moleküle und Organellen bis zur Zelle, dann Gewebe, Organe und schließlich ganze Organismen.

Zelltypen und Zellorganellen
Es gibt zwei Haupttypen von Zellen: Prokaryoten (ohne echten Zellkern) und Eukaryoten (mit echtem Zellkern). Bakterien sind Prokaryoten - ihre DNA schwimmt frei im Cytoplasma herum. Menschen, Tiere und Pflanzen sind Eukaryoten mit ordentlich organisiertem Zellkern.
Der Zellkern ist das Kontrollzentrum deiner Zelle. Er speichert die DNA und steuert alle Lebensprozesse. Das Endoplasmatische Retikulum (ER) ist wie ein Transportsystem - das glatte ER stellt Fette her und entgiftet, das raue ER (mit Ribosomen besetzt) produziert Proteine.
Der Golgi-Apparat funktioniert wie eine Paketstation - er verpackt und verschickt Stoffe in der Zelle. Plastiden gibt's nur in Pflanzenzellen: Chloroplasten für die Fotosynthese (grün), Chromoplasten für bunte Farben in Blüten und Leukoplasten zur Speicherung.
Wichtig: Die Kompartimentierung ermöglicht es, dass gegensätzliche Prozesse gleichzeitig in einer Zelle ablaufen können!
Ribosomen sind die Proteinfabriken der Zelle. Sie bestehen aus RNA und Proteinen und kommen in zwei Varianten vor: 70S in Bakterien und Organellen, 80S in Eukaryoten.

Weitere Zellorganellen
Peroxisomen sind kleine Entgiftungsstationen, die schädliches Wasserstoffperoxid abbauen. Lysosomen (nur in Tierzellen) enthalten Verdauungsenzyme und recyceln Zellmaterial - in Pflanzenzellen übernimmt das die Vakuole.
Mitochondrien sind die "Kraftwerke der Zelle" und produzieren Energie. Die Endosymbiontentheorie erklärt, wie sie entstanden sind: Ursprünglich waren es wahrscheinlich freilebende Bakterien, die von größeren Zellen "verschluckt" wurden. Belege dafür sind ihre eigene DNA, 70S-Ribosomen und die Doppelmembran.
Die Vakuole in Pflanzenzellen ist ein riesiger Wassertank, der für Stabilität sorgt und Stoffe speichert. Sie entsteht aus vielen kleinen Vakuolen, die während des Zellwachstums verschmelzen. Der Turgor (Innendruck) hält die Pflanze aufrecht.
Faszinierende Tatsache: Mitochondrien und Chloroplasten haben ihre eigene DNA - ein Relikt aus ihrer Zeit als freie Bakterien!
Das Cytoplasma ist wie eine Suppe aus Wasser und gelösten Stoffen, in der alle Organellen schwimmen. Es kann fest (Gel) oder flüssig (Sol) sein, je nachdem was die Zelle gerade braucht.

Zellwand und Biomembranen
Die Zellwand gibt Pflanzenzellen ihre Form und Stabilität. Sie besteht aus mehreren Schichten und kann verschiedene Stoffe einlagern: Lignin macht sie hart wie Holz, Suberin schützt vor Wasserverlust und Cutin bildet eine wasserabweisende Wachsschicht.
Biomembranen sind überall in der Zelle und funktionieren nach dem Flüssig-Mosaik-Modell. Sie sind selektiv durchlässig - entscheiden also, welche Stoffe durchdürfen und welche nicht. Das ermöglicht die Kompartimentierung der Zelle.
Membranen haben verschiedene Aufgaben: Sie grenzen Reaktionsräume ab, regeln den Stofftransport, ermöglichen Zellkommunikation und können sogar elektrische Signale weiterleiten (wichtig für Nerven).
Eselsbrücke: Membranen sind wie Türsteher - sie entscheiden, wer rein darf und wer draußen bleibt!
Der Membranaufbau ist genial einfach: Eine Doppelschicht aus Fettmolekülen mit eingebauten Proteinen, die als Kanäle oder Transporter funktionieren.

Zellverbindungen
Zellen müssen miteinander "sprechen" können. In Pflanzenzellen geschieht das über Plasmodesmen - winzige Kanäle durch die Zellwand. Tierzellen haben drei verschiedene Verbindungstypen:
Tight Junctions sind wie Klebeband - sie versiegeln Zellen wasserdicht miteinander. Das ist wichtig bei der Blut-Hirn-Schranke, wo schädliche Stoffe nicht ins Gehirn gelangen sollen.
Gap Junctions funktionieren wie Plasmodesmen und ermöglichen schnellen Stoffaustausch zwischen Nachbarzellen. Im Herzmuskel sorgen sie dafür, dass alle Zellen synchron schlagen.
Alltagsvergleich: Zellverbindungen sind wie verschiedene Kommunikationswege - WhatsApp, Telefon oder persönliches Gespräch!
Desmosomen sind mechanische Verstärkungen, die Zellen gegen Zugkräfte schützen. Mikrovilli vergrößern die Zelloberfläche für besseren Stoffaustausch - wie winzige Finger, die mehr Oberfläche schaffen.

Stofftransport durch Membranen
Stoffe bewegen sich auf drei verschiedene Arten durch Membranen. Passiver Transport läuft ohne Energieaufwand bergab - vom Ort hoher zur niedrigen Konzentration. Das kann durch freie Diffusion oder mithilfe von Transportproteinen geschehen.
Kanalproteine sind wie Tunnel für kleine Moleküle, Carrier ändern ihre Form und schleusen größere Stoffe durch. Es gibt Uniport (ein Stoff), Symport (zwei Stoffe in gleiche Richtung) und Antiport (zwei Stoffe in entgegengesetzte Richtungen).
Aktiver Transport braucht Energie (ATP) und kann bergauf arbeiten - gegen das Konzentrationsgefälle. Die Natrium-Kalium-Pumpe ist ein Klassiker: Sie pumpt drei Natrium-Ionen raus und zwei Kalium-Ionen rein.
Denkhilfe: Passiver Transport ist wie Bergab-Radeln (geht von allein), aktiver Transport wie Bergauf-Treten (braucht Kraft)!
Sekundär aktiver Transport ist cleverer - er nutzt ein bereits bestehendes Gefälle, um andere Stoffe mitzunehmen. Glucose "hängt sich" an Natrium-Ionen, die sowieso in die Zelle wollen.

Osmose - Plasmolyse und Deplasmolyse
Plasmolyse passiert, wenn eine Pflanzenzelle in salziges Wasser gelegt wird. Das Wasser verlässt die Zelle, die Vakuole schrumpft und das Plasmalemma löst sich von der Zellwand - die Zelle "kollabiert". In der hypertonischen Lösung (viel Salz, wenig Wasser) verliert die Zelle ihren Turgor.
Deplasmolyse ist der umgekehrte Prozess: In salzarmem Wasser nimmt die Zelle wieder Wasser auf, die Vakuole schwillt an und drückt das Plasmalemma wieder an die Zellwand. Der Turgor wird wiederhergestellt.
Diese Prozesse laufen so lange, bis ein Gleichgewicht erreicht ist - eine isotonische Lösung, wo innen und außen gleich viele Teilchen gelöst sind.
Experiment: Leg Gurkenscheiben in Salzwasser - sie werden weich (Plasmolyse)!
Endocytose (Stoffe aufnehmen) und Exocytose (Stoffe ausscheiden) funktionieren über Membranfluss - die Membran schnürt Bläschen ab oder verschmilzt mit ihnen. Das ist wichtig für große Moleküle, die nicht durch normale Transporter passen.

Gewebe - Teamwork der Zellen
Gewebe sind Zellverbände mit gleicher Funktion - wie Abteilungen in einem Unternehmen. Es gibt Bildungsgewebe (Meristeme) mit jungen, teilungsfähigen Zellen und Dauergewebe mit spezialisierten, nicht mehr teilungsfähigen Zellen.
Meristeme findest du an Spross- und Wurzelspitzen, wo die Pflanze wächst. Hier sind die Zellen noch klein und undifferenziert - sie können sich noch zu verschiedenen Zelltypen entwickeln.
Dauergewebe haben sich spezialisiert: Abschlussgewebe schützt, Grundgewebe füllt aus, Festigungsgewebe stützt und Leitgewebe transportiert. Bei Tieren gibt's Haut-, Muskel-, Nerven- und Drüsengewebe.
Karriere-Vergleich: Meristemzellen sind wie Azubis (können noch alles werden), Dauergewebe sind Spezialisten!
Die Arbeitsteilung zwischen verschiedenen Geweben macht komplexe Organismen erst möglich - jeder hat seine Aufgabe, alle arbeiten zusammen.


Wir dachten schon, du fragst nie...
Was ist der Knowunity KI-Begleiter?
Unser KI-Begleiter ist ein speziell für Schüler entwickeltes KI-Tool, das mehr als nur Antworten bietet. Basierend auf Millionen von Knowunity-Inhalten liefert er relevante Informationen, personalisierte Lernpläne, Quizze und Inhalte direkt im Chat und passt sich deinem individuellen Lernweg an.
Wo kann ich die Knowunity-App herunterladen?
Du kannst die App im Google Play Store und im Apple App Store herunterladen.
Ist Knowunity wirklich kostenlos?
Genau! Genieße kostenlosen Zugang zu Lerninhalten, vernetze dich mit anderen Schülern und hol dir sofortige Hilfe – alles direkt auf deinem Handy.
Ähnlicher Inhalt
Beliebtester Inhalt: Enzyme
9Enzymatik: Struktur und Funktion
Entdecken Sie die Grundlagen der Enzymatik, einschließlich der Eigenschaften von Enzymen, der Rolle von Cofaktoren, der verschiedenen Proteinstrukturebenen und der Mechanismen der Enzymhemmung. Diese Zusammenfassung bietet einen klaren Überblick über die enzymatische Aktivität und deren Regulation, ideal für Biologie-LK Schüler.
Enzymatische Hemmung und Regulation
Entdecken Sie die Mechanismen der enzymatischen Hemmung, einschließlich reversibler und irreversibler Hemmung durch Schwermetallionen. Diese Arbeitsblätter bieten eine umfassende Analyse der Enzymstruktur, -funktion und -regulation, einschließlich der Unterschiede zwischen kompetitiver und allosterischer Hemmung. Ideal für das Verständnis von Enzymkinetik und Reaktionsmechanismen.
Enzymatische Regulation im Stoffwechsel
Diese Zusammenfassung behandelt die Schlüsselkonzepte der enzymatischen Regulation im Stoffwechsel, einschließlich der Rolle von allosterischen Enzymen, der Einflussfaktoren auf die Enzymaktivität und die Bedeutung von NAD+ in der Zellatmung. Ideal für die Vorbereitung auf Klausuren in Biologie. Themen: Enzymstruktur, ATP-Produktion, Hemmungen und die Atmungskette.
Enzymatische Reaktionen verstehen
Erforschen Sie die Schlüsselkonzepte der Enzymatik, einschließlich des Induced-Fit-Modells, der Michaelis-Menten-Kinetik, der Temperatur- und pH-Wert-Abhängigkeit sowie der Substratspezifität. Diese Zusammenfassung bietet eine klare Übersicht über die Mechanismen, die die Reaktionsgeschwindigkeit von Enzymen beeinflussen und deren Rolle als Biokatalysatoren im Stoffwechsel. Ideal für Schüler der 11. Klasse.
Zellbiologie und Enzymatik
Vertiefte Lernressource für die 11. Klasse zur Zellbiologie und Enzymatik. Diese Übersicht behandelt die Struktur und Funktion von Zellorganellen, die Rolle von Enzymen in biologischen Prozessen, sowie die Mechanismen der Endo- und Exocytose. Ideal für das Abitur und zur Vorbereitung auf Prüfungen. Themen: Zellkompartimentierung, Enzymhemmung, Biomembranmodelle, und mehr.
Enzymatische Prozesse verstehen
Dieser Lernzettel bietet eine umfassende Übersicht über die Enzymatik, einschließlich Enzymreaktionen, Hemmungsmechanismen, spezifische Eigenschaften von Enzymen und deren Regulation. Ideal für die Vorbereitung auf Klausuren in der 11. Klasse. Wichtige Themen sind unter anderem die Peptidbindung, das Schlüssel-Schloss-Prinzip, allosterische Enzyme und die Denaturierung von Proteinen.
Enzyme und Fettleibigkeit
Diese umfassende Zusammenfassung behandelt die Rolle von Enzymen in der Verdauung, insbesondere die Wirkung von Orlistat auf die Resorption von Nährstoffen und die enzymatische Spaltung von Fetten. Sie umfasst wichtige Konzepte wie Enzymkinetik, Inhibition, und die Bedeutung von Vitaminen und Mineralstoffen. Ideal für die Vorbereitung auf Klausuren im Fach Biologie.
Enzymatische Prozesse und Regulation
Dieser Lernzettel bietet eine umfassende Übersicht über die Rolle von Enzymen als Biokatalysatoren, einschließlich ihrer Struktur, Funktion, Kinetik und Regulation. Er behandelt wichtige Konzepte wie Enzymhemmung, Cofaktoren, Substratinduktion und die verschiedenen Strukturen von Proteinen. Ideal für Studierende der Biochemie und Molekularbiologie, die ein vertieftes Verständnis der enzymatischen Aktivitäten und deren Einflussfaktoren suchen.
Michaelis-Menten Kinetik
Erforschen Sie die Michaelis-Menten-Konstante und ihre Bedeutung für die Enzymkinetik. Diese Zusammenfassung bietet eine detaillierte Erklärung der Affinität zwischen Enzymen und Substraten, die Rolle der Substratkonzentration und die Auswirkungen auf die Reaktionsgeschwindigkeit. Ideal für Studierende der Biochemie und Molekularbiologie.
Beliebtester Inhalt in Biologie
9Neurobiologie: Synapsen & Aktionspotentiale
Entdecken Sie die Grundlagen der Neurobiologie mit Fokus auf den Aufbau und die Funktionen von Nervenzellen, Ruhe- und Aktionspotentialen sowie der Rolle von Synapsen. Diese Zusammenfassung behandelt auch EPSP und IPSP, die Erregungsübertragung und die Bedeutung von Neurotoxinen. Ideal für Studierende der Biologie und Neurobiologie.
Biologie Abitur Essentials
Umfassende Zusammenfassung für das Biologie-Abitur, die alle wichtigen Themen abdeckt, einschließlich Zellbiologie, Genetik, Ökologie und Stoffwechselprozesse. Ideal zur Prüfungsvorbereitung und von Lehrern überprüft. Viel Erfolg beim Lernen!
Ökologie Abitur 2025
Alles was über Ökologie im Erwartungshorizont NRW 2025 gefragt wir - sehr ausführlich - Quellen: SimpleClub, Unterricht, StudyFlix
Biologie ABITUR 2025 NRW - Alle Themen
Alle Lerninhalte vom Biologie 2025 in NRW. Neurobiologie, Ökologie, Stoffwechselphysiologie, Genetik & Evolution.
Evolutionäre Mechanismen
Diese Zusammenfassung behandelt die zentralen Konzepte der Evolution, einschließlich natürlicher Selektion, Artenbildung, genetischer Drift und der Rolle von Mutationen. Sie bietet einen Überblick über die verschiedenen Selektionsarten, die Evolution des Menschen, sowie die Unterschiede zwischen Analogie und Homologie. Ideal für das Abitur und das Verständnis evolutionärer Prozesse. Themen: phylogenetische Systematik, reproduktive Fitness, Koevolution, adaptive Radiation und mehr.
Biologie GK Abi 2025 - Lernzettel
Diese Lernzettel bieten dir eine kompakte und strukturierte Zusammenfassung aller relevanten Themen für das Biologie-Abitur 2025. Alle Inhalte sind klar gegliedert, verständlich formuliert und ideal zum schnellen Wiederholen vor der Prüfung.
Neurobiologie: Synapsen & Aktionspotenziale
Entdecken Sie die Funktionsweise von Nervenzellen, Ruhe- und Aktionspotenzialen sowie die Rolle von Synapsen in der Signalübertragung. Diese Zusammenfassung behandelt die Struktur von Neuronen, die Wirkung von Neurotoxinen und die Mechanismen der synaptischen Integration. Ideal für das Verständnis der neurobiologischen Grundlagen und der chemischen Synapsen.
Neurobiologie: Erregungsleitung & Synapsen
Diese Zusammenfassung behandelt die Struktur von Neuronen, die Funktionsweise von Synapsen, die Rolle von Neurotoxinen, die Mechanismen der Erregungsweiterleitung sowie die Signalverrechnung in neuronalen Netzwerken. Ideal für das Abitur in Neurobiologie. Themen: Aktionspotenzial, postsynaptische Potenziale (EPSP, IPSP), synaptische Integration und Muskelphysiologie.
Neurobiologie: Nervenzellen & Muskelphysiologie
Dieser Lernzettel bietet eine umfassende Übersicht über die Neurobiologie, einschließlich der Funktionen von Nervenzellen, Ruhepotential, Aktionspotential, Erregungsleitung, synaptische Integration und Muskelphysiologie. Er behandelt auch die Struktur der Synapse, die Rolle von Neurotoxinen, die Phototransduktion im Auge und die Mechanismen der neuronalen Verrechnung. Ideal für Schüler im Bio LK Hessen 2023.
Beliebtester Inhalt
9Der zerbrochene Krug
Szenenzusammenfassunfen, Figurenkonstellationen, Aufbau des Stücks, Sprache und Stilbesonderheiten, Aussageabsicht, Thematik, Interpretation
Der zerbrochene Krug von Heinrich von Kleist
Hier steht so ziemlich alles drinnen von Zusammenfassungen der einzelnen Auftritte bis hin zu den einzelnen Perosn und noch einiges mehr
Der zerbrochne Krug
Ausführliche Lernzettel zu: Basisdaten, Handlung, ausführliche Zusammenfassungen der Auftritte, zentrale Themen, Symbolische Bedeutung, Merkmale der Komödie
Heimsuchung_JennyErpenbeck_Abitur
Zusammenfassungen für jedes Kapitel, Analysen und Zitate
Abilernzettel Heimsuchung 2025
Figurenkonstellation, Kapitel Zusammenfassung, Charaktere, Motive, Deutungsansätze,
Der zerbrochene Krug: Analyse
Diese umfassende Analyse von 'Der zerbrochene Krug' von Heinrich von Kleist bietet eine detaillierte Kapitelzusammenfassung, Charakterisierungen, historische Kontexte, sowie den Aufbau und die sprachlichen Merkmale des Dramas. Ideal für Studierende, die sich auf Prüfungen vorbereiten oder tiefere Einblicke in Kleists Werk gewinnen möchten.
Englisch LK Abitur 2025
Komplette Englisch LK Abi Zusammenfassung 2025
Heimsuchung - Jenny Erpenbeck
Inhalt, Entstehung und Quellen, Figuren, Geschichtliche Hintergründe, Motive, Erzählstruktur/- stil
Charaktere aus Heimsuchung von Jenny Erpenbeck
Mindmap, Allgemeines, Verlauf
Findest du nicht, was du suchst? Entdecke andere Fächer.
Schüler lieben uns — und du auch.
Die App ist sehr einfach zu bedienen und gut gestaltet. Ich habe bisher alles gefunden, wonach ich gesucht habe, und konnte viel aus den Präsentationen lernen! Ich werde die App definitiv für ein Schulprojekt nutzen! Und natürlich hilft sie auch sehr als Inspiration.
Diese App ist wirklich super. Es gibt so viele Lernzettel und Hilfen [...]. Mein Problemfach ist zum Beispiel Französisch und die App hat so viele Möglichkeiten zur Hilfe. Dank dieser App habe ich mich in Französisch verbessert. Ich würde sie jedem empfehlen.
Wow, ich bin wirklich begeistert. Ich habe die App einfach mal ausprobiert, weil ich sie schon oft beworben gesehen habe und war absolut beeindruckt. Diese App ist DIE HILFE, die man für die Schule braucht und vor allem bietet sie so viele Dinge wie Übungen und Lernzettel, die mir persönlich SEHR geholfen haben.
Biologie Oberstufe Zusammenfassung – Teil 1
Die Biologie der 11. Klasse startet mit den grundlegenden Bausteinen des Lebens - von winzigen Zellen bis hin zu komplexen Organismen. Du lernst, wie sich Leben von einfachen Einzellern zu vielzelligen Lebewesen entwickelt hat und welche raffinierten Strukturen unsere Zellen... Mehr anzeigen

Melde dich an, um den Inhalt zu sehen. Kostenlos!
- Zugriff auf alle Dokumente
- Verbessere deine Noten
- Schließ dich Millionen Schülern an
Ebenen des Lebens - Von einfach zu komplex
Was macht eigentlich etwas "lebendig"? Es gibt sieben Kennzeichen des Lebendigen, die du dir merken solltest: Stoff- und Energiewechsel, Fortpflanzung, Wachstum, Bewegung, Reizbarkeit und Evolution.
Die Evolution vom Einzeller zum Vielzeller ist wie eine WG-Geschichte. Einzeller wie Chlamydomonas leben allein und machen alles selbst - sie haben Geißeln zur Fortbewegung und einen roten Augenfleck. Dann entstanden Zellkolonien wie Gonium - hier leben 4-16 Zellen zusammen, jede könnte aber noch allein überleben.
Bei echten Vielzellern wie Volvox gibt's kein Zurück mehr. Die 20.000 Zellen haben sich spezialisiert: manche kümmern sich nur um den Stoffwechsel, andere nur um die Fortpflanzung. Das nennt man Arbeitsteilung.
Merktipp: Je komplexer der Organismus, desto abhängiger sind die Zellen voneinander!
Die Organisationsstufen bauen aufeinander auf: Vom Atom über Moleküle und Organellen bis zur Zelle, dann Gewebe, Organe und schließlich ganze Organismen.

Melde dich an, um den Inhalt zu sehen. Kostenlos!
- Zugriff auf alle Dokumente
- Verbessere deine Noten
- Schließ dich Millionen Schülern an
Zelltypen und Zellorganellen
Es gibt zwei Haupttypen von Zellen: Prokaryoten (ohne echten Zellkern) und Eukaryoten (mit echtem Zellkern). Bakterien sind Prokaryoten - ihre DNA schwimmt frei im Cytoplasma herum. Menschen, Tiere und Pflanzen sind Eukaryoten mit ordentlich organisiertem Zellkern.
Der Zellkern ist das Kontrollzentrum deiner Zelle. Er speichert die DNA und steuert alle Lebensprozesse. Das Endoplasmatische Retikulum (ER) ist wie ein Transportsystem - das glatte ER stellt Fette her und entgiftet, das raue ER (mit Ribosomen besetzt) produziert Proteine.
Der Golgi-Apparat funktioniert wie eine Paketstation - er verpackt und verschickt Stoffe in der Zelle. Plastiden gibt's nur in Pflanzenzellen: Chloroplasten für die Fotosynthese (grün), Chromoplasten für bunte Farben in Blüten und Leukoplasten zur Speicherung.
Wichtig: Die Kompartimentierung ermöglicht es, dass gegensätzliche Prozesse gleichzeitig in einer Zelle ablaufen können!
Ribosomen sind die Proteinfabriken der Zelle. Sie bestehen aus RNA und Proteinen und kommen in zwei Varianten vor: 70S in Bakterien und Organellen, 80S in Eukaryoten.

Melde dich an, um den Inhalt zu sehen. Kostenlos!
- Zugriff auf alle Dokumente
- Verbessere deine Noten
- Schließ dich Millionen Schülern an
Weitere Zellorganellen
Peroxisomen sind kleine Entgiftungsstationen, die schädliches Wasserstoffperoxid abbauen. Lysosomen (nur in Tierzellen) enthalten Verdauungsenzyme und recyceln Zellmaterial - in Pflanzenzellen übernimmt das die Vakuole.
Mitochondrien sind die "Kraftwerke der Zelle" und produzieren Energie. Die Endosymbiontentheorie erklärt, wie sie entstanden sind: Ursprünglich waren es wahrscheinlich freilebende Bakterien, die von größeren Zellen "verschluckt" wurden. Belege dafür sind ihre eigene DNA, 70S-Ribosomen und die Doppelmembran.
Die Vakuole in Pflanzenzellen ist ein riesiger Wassertank, der für Stabilität sorgt und Stoffe speichert. Sie entsteht aus vielen kleinen Vakuolen, die während des Zellwachstums verschmelzen. Der Turgor (Innendruck) hält die Pflanze aufrecht.
Faszinierende Tatsache: Mitochondrien und Chloroplasten haben ihre eigene DNA - ein Relikt aus ihrer Zeit als freie Bakterien!
Das Cytoplasma ist wie eine Suppe aus Wasser und gelösten Stoffen, in der alle Organellen schwimmen. Es kann fest (Gel) oder flüssig (Sol) sein, je nachdem was die Zelle gerade braucht.

Melde dich an, um den Inhalt zu sehen. Kostenlos!
- Zugriff auf alle Dokumente
- Verbessere deine Noten
- Schließ dich Millionen Schülern an
Zellwand und Biomembranen
Die Zellwand gibt Pflanzenzellen ihre Form und Stabilität. Sie besteht aus mehreren Schichten und kann verschiedene Stoffe einlagern: Lignin macht sie hart wie Holz, Suberin schützt vor Wasserverlust und Cutin bildet eine wasserabweisende Wachsschicht.
Biomembranen sind überall in der Zelle und funktionieren nach dem Flüssig-Mosaik-Modell. Sie sind selektiv durchlässig - entscheiden also, welche Stoffe durchdürfen und welche nicht. Das ermöglicht die Kompartimentierung der Zelle.
Membranen haben verschiedene Aufgaben: Sie grenzen Reaktionsräume ab, regeln den Stofftransport, ermöglichen Zellkommunikation und können sogar elektrische Signale weiterleiten (wichtig für Nerven).
Eselsbrücke: Membranen sind wie Türsteher - sie entscheiden, wer rein darf und wer draußen bleibt!
Der Membranaufbau ist genial einfach: Eine Doppelschicht aus Fettmolekülen mit eingebauten Proteinen, die als Kanäle oder Transporter funktionieren.

Melde dich an, um den Inhalt zu sehen. Kostenlos!
- Zugriff auf alle Dokumente
- Verbessere deine Noten
- Schließ dich Millionen Schülern an
Zellverbindungen
Zellen müssen miteinander "sprechen" können. In Pflanzenzellen geschieht das über Plasmodesmen - winzige Kanäle durch die Zellwand. Tierzellen haben drei verschiedene Verbindungstypen:
Tight Junctions sind wie Klebeband - sie versiegeln Zellen wasserdicht miteinander. Das ist wichtig bei der Blut-Hirn-Schranke, wo schädliche Stoffe nicht ins Gehirn gelangen sollen.
Gap Junctions funktionieren wie Plasmodesmen und ermöglichen schnellen Stoffaustausch zwischen Nachbarzellen. Im Herzmuskel sorgen sie dafür, dass alle Zellen synchron schlagen.
Alltagsvergleich: Zellverbindungen sind wie verschiedene Kommunikationswege - WhatsApp, Telefon oder persönliches Gespräch!
Desmosomen sind mechanische Verstärkungen, die Zellen gegen Zugkräfte schützen. Mikrovilli vergrößern die Zelloberfläche für besseren Stoffaustausch - wie winzige Finger, die mehr Oberfläche schaffen.

Melde dich an, um den Inhalt zu sehen. Kostenlos!
- Zugriff auf alle Dokumente
- Verbessere deine Noten
- Schließ dich Millionen Schülern an
Stofftransport durch Membranen
Stoffe bewegen sich auf drei verschiedene Arten durch Membranen. Passiver Transport läuft ohne Energieaufwand bergab - vom Ort hoher zur niedrigen Konzentration. Das kann durch freie Diffusion oder mithilfe von Transportproteinen geschehen.
Kanalproteine sind wie Tunnel für kleine Moleküle, Carrier ändern ihre Form und schleusen größere Stoffe durch. Es gibt Uniport (ein Stoff), Symport (zwei Stoffe in gleiche Richtung) und Antiport (zwei Stoffe in entgegengesetzte Richtungen).
Aktiver Transport braucht Energie (ATP) und kann bergauf arbeiten - gegen das Konzentrationsgefälle. Die Natrium-Kalium-Pumpe ist ein Klassiker: Sie pumpt drei Natrium-Ionen raus und zwei Kalium-Ionen rein.
Denkhilfe: Passiver Transport ist wie Bergab-Radeln (geht von allein), aktiver Transport wie Bergauf-Treten (braucht Kraft)!
Sekundär aktiver Transport ist cleverer - er nutzt ein bereits bestehendes Gefälle, um andere Stoffe mitzunehmen. Glucose "hängt sich" an Natrium-Ionen, die sowieso in die Zelle wollen.

Melde dich an, um den Inhalt zu sehen. Kostenlos!
- Zugriff auf alle Dokumente
- Verbessere deine Noten
- Schließ dich Millionen Schülern an
Osmose - Plasmolyse und Deplasmolyse
Plasmolyse passiert, wenn eine Pflanzenzelle in salziges Wasser gelegt wird. Das Wasser verlässt die Zelle, die Vakuole schrumpft und das Plasmalemma löst sich von der Zellwand - die Zelle "kollabiert". In der hypertonischen Lösung (viel Salz, wenig Wasser) verliert die Zelle ihren Turgor.
Deplasmolyse ist der umgekehrte Prozess: In salzarmem Wasser nimmt die Zelle wieder Wasser auf, die Vakuole schwillt an und drückt das Plasmalemma wieder an die Zellwand. Der Turgor wird wiederhergestellt.
Diese Prozesse laufen so lange, bis ein Gleichgewicht erreicht ist - eine isotonische Lösung, wo innen und außen gleich viele Teilchen gelöst sind.
Experiment: Leg Gurkenscheiben in Salzwasser - sie werden weich (Plasmolyse)!
Endocytose (Stoffe aufnehmen) und Exocytose (Stoffe ausscheiden) funktionieren über Membranfluss - die Membran schnürt Bläschen ab oder verschmilzt mit ihnen. Das ist wichtig für große Moleküle, die nicht durch normale Transporter passen.

Melde dich an, um den Inhalt zu sehen. Kostenlos!
- Zugriff auf alle Dokumente
- Verbessere deine Noten
- Schließ dich Millionen Schülern an
Gewebe - Teamwork der Zellen
Gewebe sind Zellverbände mit gleicher Funktion - wie Abteilungen in einem Unternehmen. Es gibt Bildungsgewebe (Meristeme) mit jungen, teilungsfähigen Zellen und Dauergewebe mit spezialisierten, nicht mehr teilungsfähigen Zellen.
Meristeme findest du an Spross- und Wurzelspitzen, wo die Pflanze wächst. Hier sind die Zellen noch klein und undifferenziert - sie können sich noch zu verschiedenen Zelltypen entwickeln.
Dauergewebe haben sich spezialisiert: Abschlussgewebe schützt, Grundgewebe füllt aus, Festigungsgewebe stützt und Leitgewebe transportiert. Bei Tieren gibt's Haut-, Muskel-, Nerven- und Drüsengewebe.
Karriere-Vergleich: Meristemzellen sind wie Azubis (können noch alles werden), Dauergewebe sind Spezialisten!
Die Arbeitsteilung zwischen verschiedenen Geweben macht komplexe Organismen erst möglich - jeder hat seine Aufgabe, alle arbeiten zusammen.

Melde dich an, um den Inhalt zu sehen. Kostenlos!
- Zugriff auf alle Dokumente
- Verbessere deine Noten
- Schließ dich Millionen Schülern an

Melde dich an, um den Inhalt zu sehen. Kostenlos!
- Zugriff auf alle Dokumente
- Verbessere deine Noten
- Schließ dich Millionen Schülern an
Wir dachten schon, du fragst nie...
Was ist der Knowunity KI-Begleiter?
Unser KI-Begleiter ist ein speziell für Schüler entwickeltes KI-Tool, das mehr als nur Antworten bietet. Basierend auf Millionen von Knowunity-Inhalten liefert er relevante Informationen, personalisierte Lernpläne, Quizze und Inhalte direkt im Chat und passt sich deinem individuellen Lernweg an.
Wo kann ich die Knowunity-App herunterladen?
Du kannst die App im Google Play Store und im Apple App Store herunterladen.
Ist Knowunity wirklich kostenlos?
Genau! Genieße kostenlosen Zugang zu Lerninhalten, vernetze dich mit anderen Schülern und hol dir sofortige Hilfe – alles direkt auf deinem Handy.
Ähnlicher Inhalt
Beliebtester Inhalt: Enzyme
9Enzymatik: Struktur und Funktion
Entdecken Sie die Grundlagen der Enzymatik, einschließlich der Eigenschaften von Enzymen, der Rolle von Cofaktoren, der verschiedenen Proteinstrukturebenen und der Mechanismen der Enzymhemmung. Diese Zusammenfassung bietet einen klaren Überblick über die enzymatische Aktivität und deren Regulation, ideal für Biologie-LK Schüler.
Enzymatische Hemmung und Regulation
Entdecken Sie die Mechanismen der enzymatischen Hemmung, einschließlich reversibler und irreversibler Hemmung durch Schwermetallionen. Diese Arbeitsblätter bieten eine umfassende Analyse der Enzymstruktur, -funktion und -regulation, einschließlich der Unterschiede zwischen kompetitiver und allosterischer Hemmung. Ideal für das Verständnis von Enzymkinetik und Reaktionsmechanismen.
Enzymatische Regulation im Stoffwechsel
Diese Zusammenfassung behandelt die Schlüsselkonzepte der enzymatischen Regulation im Stoffwechsel, einschließlich der Rolle von allosterischen Enzymen, der Einflussfaktoren auf die Enzymaktivität und die Bedeutung von NAD+ in der Zellatmung. Ideal für die Vorbereitung auf Klausuren in Biologie. Themen: Enzymstruktur, ATP-Produktion, Hemmungen und die Atmungskette.
Enzymatische Reaktionen verstehen
Erforschen Sie die Schlüsselkonzepte der Enzymatik, einschließlich des Induced-Fit-Modells, der Michaelis-Menten-Kinetik, der Temperatur- und pH-Wert-Abhängigkeit sowie der Substratspezifität. Diese Zusammenfassung bietet eine klare Übersicht über die Mechanismen, die die Reaktionsgeschwindigkeit von Enzymen beeinflussen und deren Rolle als Biokatalysatoren im Stoffwechsel. Ideal für Schüler der 11. Klasse.
Zellbiologie und Enzymatik
Vertiefte Lernressource für die 11. Klasse zur Zellbiologie und Enzymatik. Diese Übersicht behandelt die Struktur und Funktion von Zellorganellen, die Rolle von Enzymen in biologischen Prozessen, sowie die Mechanismen der Endo- und Exocytose. Ideal für das Abitur und zur Vorbereitung auf Prüfungen. Themen: Zellkompartimentierung, Enzymhemmung, Biomembranmodelle, und mehr.
Enzymatische Prozesse verstehen
Dieser Lernzettel bietet eine umfassende Übersicht über die Enzymatik, einschließlich Enzymreaktionen, Hemmungsmechanismen, spezifische Eigenschaften von Enzymen und deren Regulation. Ideal für die Vorbereitung auf Klausuren in der 11. Klasse. Wichtige Themen sind unter anderem die Peptidbindung, das Schlüssel-Schloss-Prinzip, allosterische Enzyme und die Denaturierung von Proteinen.
Enzyme und Fettleibigkeit
Diese umfassende Zusammenfassung behandelt die Rolle von Enzymen in der Verdauung, insbesondere die Wirkung von Orlistat auf die Resorption von Nährstoffen und die enzymatische Spaltung von Fetten. Sie umfasst wichtige Konzepte wie Enzymkinetik, Inhibition, und die Bedeutung von Vitaminen und Mineralstoffen. Ideal für die Vorbereitung auf Klausuren im Fach Biologie.
Enzymatische Prozesse und Regulation
Dieser Lernzettel bietet eine umfassende Übersicht über die Rolle von Enzymen als Biokatalysatoren, einschließlich ihrer Struktur, Funktion, Kinetik und Regulation. Er behandelt wichtige Konzepte wie Enzymhemmung, Cofaktoren, Substratinduktion und die verschiedenen Strukturen von Proteinen. Ideal für Studierende der Biochemie und Molekularbiologie, die ein vertieftes Verständnis der enzymatischen Aktivitäten und deren Einflussfaktoren suchen.
Michaelis-Menten Kinetik
Erforschen Sie die Michaelis-Menten-Konstante und ihre Bedeutung für die Enzymkinetik. Diese Zusammenfassung bietet eine detaillierte Erklärung der Affinität zwischen Enzymen und Substraten, die Rolle der Substratkonzentration und die Auswirkungen auf die Reaktionsgeschwindigkeit. Ideal für Studierende der Biochemie und Molekularbiologie.
Beliebtester Inhalt in Biologie
9Neurobiologie: Synapsen & Aktionspotentiale
Entdecken Sie die Grundlagen der Neurobiologie mit Fokus auf den Aufbau und die Funktionen von Nervenzellen, Ruhe- und Aktionspotentialen sowie der Rolle von Synapsen. Diese Zusammenfassung behandelt auch EPSP und IPSP, die Erregungsübertragung und die Bedeutung von Neurotoxinen. Ideal für Studierende der Biologie und Neurobiologie.
Biologie Abitur Essentials
Umfassende Zusammenfassung für das Biologie-Abitur, die alle wichtigen Themen abdeckt, einschließlich Zellbiologie, Genetik, Ökologie und Stoffwechselprozesse. Ideal zur Prüfungsvorbereitung und von Lehrern überprüft. Viel Erfolg beim Lernen!
Ökologie Abitur 2025
Alles was über Ökologie im Erwartungshorizont NRW 2025 gefragt wir - sehr ausführlich - Quellen: SimpleClub, Unterricht, StudyFlix
Biologie ABITUR 2025 NRW - Alle Themen
Alle Lerninhalte vom Biologie 2025 in NRW. Neurobiologie, Ökologie, Stoffwechselphysiologie, Genetik & Evolution.
Evolutionäre Mechanismen
Diese Zusammenfassung behandelt die zentralen Konzepte der Evolution, einschließlich natürlicher Selektion, Artenbildung, genetischer Drift und der Rolle von Mutationen. Sie bietet einen Überblick über die verschiedenen Selektionsarten, die Evolution des Menschen, sowie die Unterschiede zwischen Analogie und Homologie. Ideal für das Abitur und das Verständnis evolutionärer Prozesse. Themen: phylogenetische Systematik, reproduktive Fitness, Koevolution, adaptive Radiation und mehr.
Biologie GK Abi 2025 - Lernzettel
Diese Lernzettel bieten dir eine kompakte und strukturierte Zusammenfassung aller relevanten Themen für das Biologie-Abitur 2025. Alle Inhalte sind klar gegliedert, verständlich formuliert und ideal zum schnellen Wiederholen vor der Prüfung.
Neurobiologie: Synapsen & Aktionspotenziale
Entdecken Sie die Funktionsweise von Nervenzellen, Ruhe- und Aktionspotenzialen sowie die Rolle von Synapsen in der Signalübertragung. Diese Zusammenfassung behandelt die Struktur von Neuronen, die Wirkung von Neurotoxinen und die Mechanismen der synaptischen Integration. Ideal für das Verständnis der neurobiologischen Grundlagen und der chemischen Synapsen.
Neurobiologie: Erregungsleitung & Synapsen
Diese Zusammenfassung behandelt die Struktur von Neuronen, die Funktionsweise von Synapsen, die Rolle von Neurotoxinen, die Mechanismen der Erregungsweiterleitung sowie die Signalverrechnung in neuronalen Netzwerken. Ideal für das Abitur in Neurobiologie. Themen: Aktionspotenzial, postsynaptische Potenziale (EPSP, IPSP), synaptische Integration und Muskelphysiologie.
Neurobiologie: Nervenzellen & Muskelphysiologie
Dieser Lernzettel bietet eine umfassende Übersicht über die Neurobiologie, einschließlich der Funktionen von Nervenzellen, Ruhepotential, Aktionspotential, Erregungsleitung, synaptische Integration und Muskelphysiologie. Er behandelt auch die Struktur der Synapse, die Rolle von Neurotoxinen, die Phototransduktion im Auge und die Mechanismen der neuronalen Verrechnung. Ideal für Schüler im Bio LK Hessen 2023.
Beliebtester Inhalt
9Der zerbrochene Krug
Szenenzusammenfassunfen, Figurenkonstellationen, Aufbau des Stücks, Sprache und Stilbesonderheiten, Aussageabsicht, Thematik, Interpretation
Der zerbrochene Krug von Heinrich von Kleist
Hier steht so ziemlich alles drinnen von Zusammenfassungen der einzelnen Auftritte bis hin zu den einzelnen Perosn und noch einiges mehr
Der zerbrochne Krug
Ausführliche Lernzettel zu: Basisdaten, Handlung, ausführliche Zusammenfassungen der Auftritte, zentrale Themen, Symbolische Bedeutung, Merkmale der Komödie
Heimsuchung_JennyErpenbeck_Abitur
Zusammenfassungen für jedes Kapitel, Analysen und Zitate
Abilernzettel Heimsuchung 2025
Figurenkonstellation, Kapitel Zusammenfassung, Charaktere, Motive, Deutungsansätze,
Der zerbrochene Krug: Analyse
Diese umfassende Analyse von 'Der zerbrochene Krug' von Heinrich von Kleist bietet eine detaillierte Kapitelzusammenfassung, Charakterisierungen, historische Kontexte, sowie den Aufbau und die sprachlichen Merkmale des Dramas. Ideal für Studierende, die sich auf Prüfungen vorbereiten oder tiefere Einblicke in Kleists Werk gewinnen möchten.
Englisch LK Abitur 2025
Komplette Englisch LK Abi Zusammenfassung 2025
Heimsuchung - Jenny Erpenbeck
Inhalt, Entstehung und Quellen, Figuren, Geschichtliche Hintergründe, Motive, Erzählstruktur/- stil
Charaktere aus Heimsuchung von Jenny Erpenbeck
Mindmap, Allgemeines, Verlauf
Findest du nicht, was du suchst? Entdecke andere Fächer.
Schüler lieben uns — und du auch.
Die App ist sehr einfach zu bedienen und gut gestaltet. Ich habe bisher alles gefunden, wonach ich gesucht habe, und konnte viel aus den Präsentationen lernen! Ich werde die App definitiv für ein Schulprojekt nutzen! Und natürlich hilft sie auch sehr als Inspiration.
Diese App ist wirklich super. Es gibt so viele Lernzettel und Hilfen [...]. Mein Problemfach ist zum Beispiel Französisch und die App hat so viele Möglichkeiten zur Hilfe. Dank dieser App habe ich mich in Französisch verbessert. Ich würde sie jedem empfehlen.
Wow, ich bin wirklich begeistert. Ich habe die App einfach mal ausprobiert, weil ich sie schon oft beworben gesehen habe und war absolut beeindruckt. Diese App ist DIE HILFE, die man für die Schule braucht und vor allem bietet sie so viele Dinge wie Übungen und Lernzettel, die mir persönlich SEHR geholfen haben.