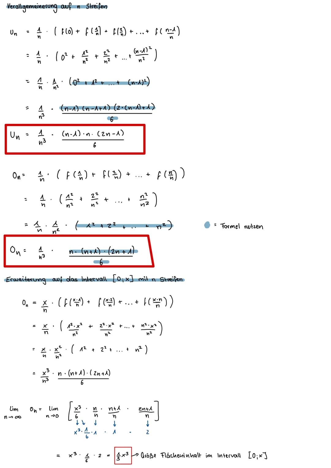
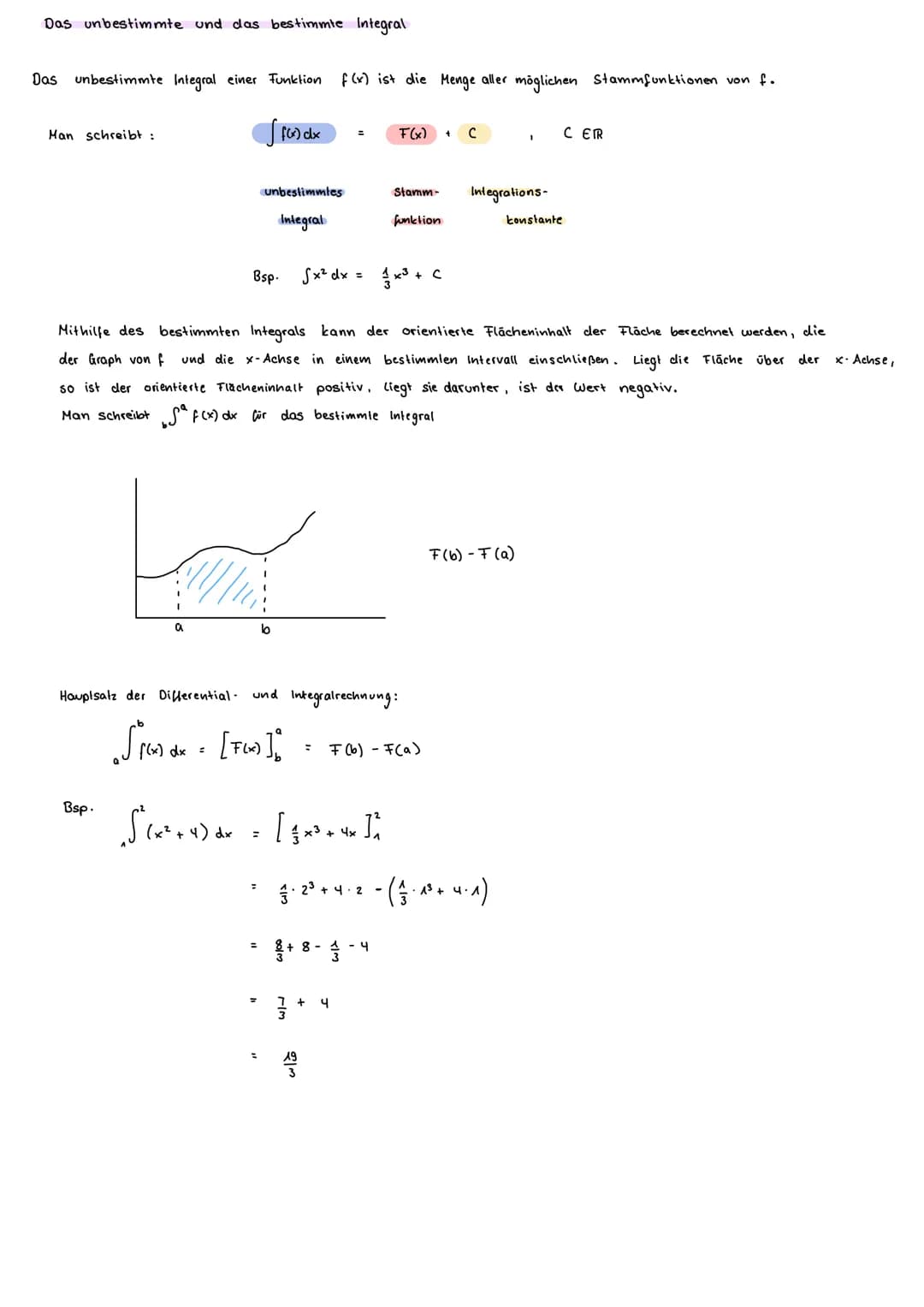
-Stammfunktionen -bestimmte und unbestimmte Integrale -Obersumme und Untersumme -Föächeninhalt zwischen zwei Graphen -Stammfunktion zeichnen
Melde dich an, um den Inhalt freizuschaltenEs ist kostenlos!
Zugriff auf alle Dokumente
Verbessere deine Noten
Werde Teil der Community
Mit der Anmeldung akzeptierst du die Nutzungsbedingungen und die Datenschutzrichtlinie







![Funktion f(x)
X
42
+3
6x
5x
2x3
x 4
2x4
Stammfunktionen
Funktion für den Flächeninhalt im Intervall [0; x]
1x²
x4
3x²
4
3x5
1
na max"
Eine F](/_next/image?url=https%3A%2F%2Fcontent-eu-central-1.knowunity.com%2FCONTENT%2FAEpaEZiFDDaYeFlDNVsX_image_page_1.webp&w=2048&q=75)
![Funktion f(x)
X
42
+3
6x
5x
2x3
x 4
2x4
Stammfunktionen
Funktion für den Flächeninhalt im Intervall [0; x]
1x²
x4
3x²
4
3x5
1
na max"
Eine F](/_next/image?url=https%3A%2F%2Fcontent-eu-central-1.knowunity.com%2FCONTENT%2FAEpaEZiFDDaYeFlDNVsX_image_page_2.webp&w=2048&q=75)
![Funktion f(x)
X
42
+3
6x
5x
2x3
x 4
2x4
Stammfunktionen
Funktion für den Flächeninhalt im Intervall [0; x]
1x²
x4
3x²
4
3x5
1
na max"
Eine F](/_next/image?url=https%3A%2F%2Fcontent-eu-central-1.knowunity.com%2FCONTENT%2FAEpaEZiFDDaYeFlDNVsX_image_page_3.webp&w=2048&q=75)
![Funktion f(x)
X
42
+3
6x
5x
2x3
x 4
2x4
Stammfunktionen
Funktion für den Flächeninhalt im Intervall [0; x]
1x²
x4
3x²
4
3x5
1
na max"
Eine F](/_next/image?url=https%3A%2F%2Fcontent-eu-central-1.knowunity.com%2FCONTENT%2FAEpaEZiFDDaYeFlDNVsX_image_page_4.webp&w=2048&q=75)
![Funktion f(x)
X
42
+3
6x
5x
2x3
x 4
2x4
Stammfunktionen
Funktion für den Flächeninhalt im Intervall [0; x]
1x²
x4
3x²
4
3x5
1
na max"
Eine F](/_next/image?url=https%3A%2F%2Fcontent-eu-central-1.knowunity.com%2FCONTENT%2FAEpaEZiFDDaYeFlDNVsX_image_page_5.webp&w=2048&q=75)
![Funktion f(x)
X
42
+3
6x
5x
2x3
x 4
2x4
Stammfunktionen
Funktion für den Flächeninhalt im Intervall [0; x]
1x²
x4
3x²
4
3x5
1
na max"
Eine F](/_next/image?url=https%3A%2F%2Fcontent-eu-central-1.knowunity.com%2FCONTENT%2FAEpaEZiFDDaYeFlDNVsX_image_page_6.webp&w=2048&q=75)