RedOx-Reaktionen und Elektrochemie sind zentrale Themen im Chemie-LK der 12.... Mehr anzeigen
Melde dich an, um den Inhalt zu sehenKostenlos!
Zugriff auf alle Dokumente
Verbessere deine Noten
Schließ dich Millionen Schülern an
Knowunity KI
Fächer
Triangle Congruence and Similarity Theorems
Triangle Properties and Classification
Linear Equations and Graphs
Geometric Angle Relationships
Trigonometric Functions and Identities
Equation Solving Techniques
Circle Geometry Fundamentals
Division Operations and Methods
Basic Differentiation Rules
Exponent and Logarithm Properties
Alle Themen anzeigen
Human Organ Systems
Reproductive Cell Cycles
Biological Sciences Subdisciplines
Cellular Energy Metabolism
Autotrophic Energy Processes
Inheritance Patterns and Principles
Biomolecular Structure and Organization
Cell Cycle and Division Mechanics
Cellular Organization and Development
Biological Structural Organization
Alle Themen anzeigen
Chemical Sciences and Applications
Atomic Structure and Composition
Molecular Electron Structure Representation
Atomic Electron Behavior
Matter Properties and Water
Mole Concept and Calculations
Gas Laws and Behavior
Periodic Table Organization
Chemical Thermodynamics Fundamentals
Chemical Bond Types and Properties
Alle Themen anzeigen
European Renaissance and Enlightenment
European Cultural Movements 800-1920
American Revolution Era 1763-1797
American Civil War 1861-1865
Global Imperial Systems
Mongol and Chinese Dynasties
U.S. Presidents and World Leaders
Historical Sources and Documentation
World Wars Era and Impact
World Religious Systems
Alle Themen anzeigen
Classic and Contemporary Novels
Literary Character Analysis
Rhetorical Theory and Practice
Classic Literary Narratives
Reading Analysis and Interpretation
Narrative Structure and Techniques
English Language Components
Influential English-Language Authors
Basic Sentence Structure
Narrative Voice and Perspective
Alle Themen anzeigen
2,376
•
Aktualisiert Mar 22, 2026
•
Amelie
@notes_by_amelie
RedOx-Reaktionen und Elektrochemie sind zentrale Themen im Chemie-LK der 12.... Mehr anzeigen








Oxidationszahlen sind wie Kontonummern für Elektronen - sie zeigen dir, wie viele Elektronen ein Atom "besitzt" oder "schuldet". Das ist super wichtig, um RedOx-Reaktionen zu verstehen.
Die Regeln sind eigentlich ziemlich logisch: Freie Elemente haben immer die Oxidationszahl 0, Wasserstoff meist +1 und Sauerstoff meist -2. Bei komplexeren Verbindungen wie FeBr₄ oder HCIO₃ rechnest du einfach so, dass die Summe aller Oxidationszahlen der Gesamtladung entspricht.
Tipp: Übung macht den Meister! Je öfter du Oxidationszahlen bestimmst, desto schneller erkennst du die Muster.
Bei Komplexen wie [Mn(CN)₆]⁵⁻ oder besonderen Verbindungen wie CaH₂ musst du aufpassen - hier gelten manchmal Ausnahmen von den Standardregeln.

Das Faradaysche Gesetz verbindet Strom mit der Masse, die sich an Elektroden abscheidet. Die Formel m = (M × I × t)/(z × F) ist dein bester Freund für alle Berechnungen.
Wenn du 7,60 A für 2 Tage durch eine Cr³⁺-Lösung schickst, scheidest du etwa 236 g Chrom ab. Das liegt daran, dass jedes Chrom-Ion 3 Elektronen braucht, um zu metallischem Chrom zu werden.
Merke dir: F = 96.485 C/mol ist die Faraday-Konstante - sie gibt an, wie viel Ladung ein Mol Elektronen transportiert.
Umgekehrt kannst du auch berechnen, welche Stromstärke du brauchst: Für 0,250 mol Chrom in 8 Stunden benötigst du etwa 25,8 A.

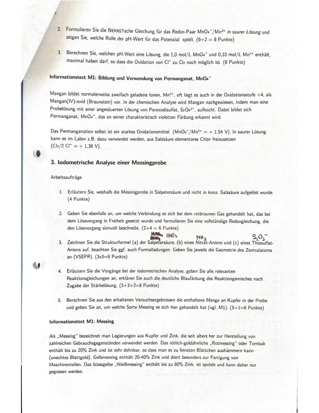
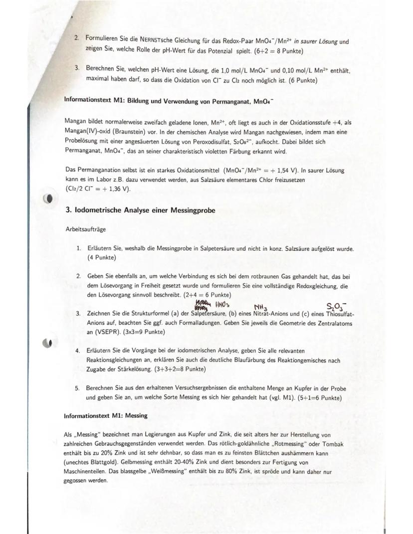
Permanganat (MnO₄⁻) ist ein richtig starkes Oxidationsmittel mit seiner charakteristisch violetten Farbe. Es entsteht aus Mn²⁺-Ionen durch Oxidation mit Peroxodisulfat.
Die Nernst-Gleichung zeigt dir, wie sich das Potenzial ändert: E = E⁰ + × lg. Der pH-Wert spielt eine riesige Rolle, weil H⁺-Ionen direkt in die Reaktion eingreifen.
Permanganat kann in saurer Lösung sogar Chlor aus Salzsäure freisetzen, weil sein Potenzial höher ist als das von Chlor . Je saurer die Lösung, desto stärker wird das Oxidationsvermögen.
Wichtig: Bei pH = 1,53 ist gerade noch die Oxidation von Cl⁻ zu Cl₂ möglich - darunter wird's kritisch!

Messing ist eine Kupfer-Zink-Legierung, die du super mit iodometrischer Analyse untersuchen kannst. Die Probe wird in Salpetersäure aufgelöst, weil die edler ist als Kupfer und Zink.
Das rotbraune Gas, das dabei entsteht, ist NO₂ - richtig giftig und riecht chlorähnlich. Die blaue Farbe kommt von den Cu²⁺-Ionen in der Lösung.
Bei der eigentlichen Analyse reagiert Cu²⁺ mit Iodid zu CuI und elementarem Iod. Dieses Iod titrierst du dann mit Thiosulfat (S₂O₃²⁻) zurück.
Praxis-Tipp: Die Stärkelösung am Ende sorgt für die charakteristische Blaufärbung, die beim Endpunkt verschwindet.
Aus dem Thiosulfat-Verbrauch (hier im Schnitt 11,475 mL) kannst du die Kupfermenge berechnen und bestimmen, ob es sich um Rot-, Gelb- oder Weißmessing handelt.



Unser KI-Begleiter ist ein speziell für Schüler entwickeltes KI-Tool, das mehr als nur Antworten bietet. Basierend auf Millionen von Knowunity-Inhalten liefert er relevante Informationen, personalisierte Lernpläne, Quizze und Inhalte direkt im Chat und passt sich deinem individuellen Lernweg an.
Du kannst die App im Google Play Store und im Apple App Store herunterladen.
Genau! Genieße kostenlosen Zugang zu Lerninhalten, vernetze dich mit anderen Schülern und hol dir sofortige Hilfe – alles direkt auf deinem Handy.
App Store
Google Play
Die App ist sehr einfach zu bedienen und gut gestaltet. Ich habe bisher alles gefunden, wonach ich gesucht habe, und konnte viel aus den Präsentationen lernen! Ich werde die App definitiv für ein Schulprojekt nutzen! Und natürlich hilft sie auch sehr als Inspiration.
Stefan S
iOS-Nutzer
Diese App ist wirklich super. Es gibt so viele Lernzettel und Hilfen [...]. Mein Problemfach ist zum Beispiel Französisch und die App hat so viele Möglichkeiten zur Hilfe. Dank dieser App habe ich mich in Französisch verbessert. Ich würde sie jedem empfehlen.
Samantha Klich
Android-Nutzerin
Wow, ich bin wirklich begeistert. Ich habe die App einfach mal ausprobiert, weil ich sie schon oft beworben gesehen habe und war absolut beeindruckt. Diese App ist DIE HILFE, die man für die Schule braucht und vor allem bietet sie so viele Dinge wie Übungen und Lernzettel, die mir persönlich SEHR geholfen haben.
Anna
iOS-Nutzerin
Beste App der Welt! Keine Worte, weil sie einfach zu gut ist
Thomas R
iOS-Nutzer
Einfach genial. Lässt mich 10x besser lernen, diese App ist eine glatte 10/10. Ich empfehle sie jedem. Ich kann Lernzettel anschauen und suchen. Ich kann sie im Fachordner speichern. Ich kann sie jederzeit wiederholen, wenn ich zurückkomme. Wenn du diese App noch nicht ausprobiert hast, verpasst du wirklich was.
Basil
Android-Nutzer
Diese App hat mich so viel selbstbewusster in meiner Klausurvorbereitung gemacht, nicht nur durch die Stärkung meines Selbstvertrauens durch die Features, die es dir ermöglichen, dich mit anderen zu vernetzen und dich weniger allein zu fühlen, sondern auch durch die Art, wie die App selbst darauf ausgerichtet ist, dass du dich besser fühlst. Sie ist einfach zu bedienen, macht Spaß und hilft jedem, der in irgendeiner Weise Schwierigkeiten hat.
David K
iOS-Nutzer
Die App ist einfach super! Ich muss nur das Thema in die Suche eingeben und bekomme sofort eine Antwort. Ich muss nicht mehr 10 YouTube-Videos schauen, um etwas zu verstehen, und spare dadurch richtig viel Zeit. Sehr empfehlenswert!
Sudenaz Ocak
Android-Nutzerin
In der Schule war ich echt schlecht in Mathe, aber dank der App bin ich jetzt besser geworden. Ich bin so dankbar, dass ihr die App gemacht habt.
Greenlight Bonnie
Android-Nutzerin
sehr zuverlässige App, um deine Ideen in Mathe, Englisch und anderen verwandten Themen zu verbessern. bitte nutze diese App, wenn du in bestimmten Bereichen Schwierigkeiten hast, diese App ist dafür der Schlüssel. wünschte, ich hätte früher eine Bewertung geschrieben. und sie ist auch kostenlos, also mach dir darüber keine Sorgen.
Rohan U
Android-Nutzer
Ich weiß, dass viele Apps gefälschte Accounts nutzen, um ihre Bewertungen zu pushen, aber diese App verdient das alles. Ursprünglich hatte ich eine 4 in meinen Englisch-Klausuren und dieses Mal habe ich eine 2 bekommen. Ich wusste erst drei Tage vor der Klausur von dieser App und sie hat mir SEHR geholfen. Bitte vertrau mir wirklich und nutze sie, denn ich bin sicher, dass auch du Fortschritte sehen wirst.
Xander S
iOS-Nutzer
DIE QUIZZE UND KARTEIKARTEN SIND SO NÜTZLICH UND ICH LIEBE Knowunity KI. ES IST AUCH BUCHSTÄBLICH WIE CHATGPT ABER SCHLAUER!! HAT MIR AUCH BEI MEINEN MASCARA-PROBLEMEN GEHOLFEN!! SOWIE BEI MEINEN ECHTEN FÄCHERN! NATÜRLICH 😍😁😲🤑💗✨🎀😮
Elisha
iOS-Nutzer
Diese App ist echt der Hammer. Ich finde Lernen so langweilig, aber diese App macht es so einfach, alles zu organisieren und dann kannst du die kostenlose KI bitten, dich abzufragen, so gut, und du kannst einfach deine eigenen Sachen hochladen. sehr empfehlenswert als jemand, der gerade Probeklausuren schreibt
Paul T
iOS-Nutzer
Die App ist sehr einfach zu bedienen und gut gestaltet. Ich habe bisher alles gefunden, wonach ich gesucht habe, und konnte viel aus den Präsentationen lernen! Ich werde die App definitiv für ein Schulprojekt nutzen! Und natürlich hilft sie auch sehr als Inspiration.
Stefan S
iOS-Nutzer
Diese App ist wirklich super. Es gibt so viele Lernzettel und Hilfen [...]. Mein Problemfach ist zum Beispiel Französisch und die App hat so viele Möglichkeiten zur Hilfe. Dank dieser App habe ich mich in Französisch verbessert. Ich würde sie jedem empfehlen.
Samantha Klich
Android-Nutzerin
Wow, ich bin wirklich begeistert. Ich habe die App einfach mal ausprobiert, weil ich sie schon oft beworben gesehen habe und war absolut beeindruckt. Diese App ist DIE HILFE, die man für die Schule braucht und vor allem bietet sie so viele Dinge wie Übungen und Lernzettel, die mir persönlich SEHR geholfen haben.
Anna
iOS-Nutzerin
Beste App der Welt! Keine Worte, weil sie einfach zu gut ist
Thomas R
iOS-Nutzer
Einfach genial. Lässt mich 10x besser lernen, diese App ist eine glatte 10/10. Ich empfehle sie jedem. Ich kann Lernzettel anschauen und suchen. Ich kann sie im Fachordner speichern. Ich kann sie jederzeit wiederholen, wenn ich zurückkomme. Wenn du diese App noch nicht ausprobiert hast, verpasst du wirklich was.
Basil
Android-Nutzer
Diese App hat mich so viel selbstbewusster in meiner Klausurvorbereitung gemacht, nicht nur durch die Stärkung meines Selbstvertrauens durch die Features, die es dir ermöglichen, dich mit anderen zu vernetzen und dich weniger allein zu fühlen, sondern auch durch die Art, wie die App selbst darauf ausgerichtet ist, dass du dich besser fühlst. Sie ist einfach zu bedienen, macht Spaß und hilft jedem, der in irgendeiner Weise Schwierigkeiten hat.
David K
iOS-Nutzer
Die App ist einfach super! Ich muss nur das Thema in die Suche eingeben und bekomme sofort eine Antwort. Ich muss nicht mehr 10 YouTube-Videos schauen, um etwas zu verstehen, und spare dadurch richtig viel Zeit. Sehr empfehlenswert!
Sudenaz Ocak
Android-Nutzerin
In der Schule war ich echt schlecht in Mathe, aber dank der App bin ich jetzt besser geworden. Ich bin so dankbar, dass ihr die App gemacht habt.
Greenlight Bonnie
Android-Nutzerin
sehr zuverlässige App, um deine Ideen in Mathe, Englisch und anderen verwandten Themen zu verbessern. bitte nutze diese App, wenn du in bestimmten Bereichen Schwierigkeiten hast, diese App ist dafür der Schlüssel. wünschte, ich hätte früher eine Bewertung geschrieben. und sie ist auch kostenlos, also mach dir darüber keine Sorgen.
Rohan U
Android-Nutzer
Ich weiß, dass viele Apps gefälschte Accounts nutzen, um ihre Bewertungen zu pushen, aber diese App verdient das alles. Ursprünglich hatte ich eine 4 in meinen Englisch-Klausuren und dieses Mal habe ich eine 2 bekommen. Ich wusste erst drei Tage vor der Klausur von dieser App und sie hat mir SEHR geholfen. Bitte vertrau mir wirklich und nutze sie, denn ich bin sicher, dass auch du Fortschritte sehen wirst.
Xander S
iOS-Nutzer
DIE QUIZZE UND KARTEIKARTEN SIND SO NÜTZLICH UND ICH LIEBE Knowunity KI. ES IST AUCH BUCHSTÄBLICH WIE CHATGPT ABER SCHLAUER!! HAT MIR AUCH BEI MEINEN MASCARA-PROBLEMEN GEHOLFEN!! SOWIE BEI MEINEN ECHTEN FÄCHERN! NATÜRLICH 😍😁😲🤑💗✨🎀😮
Elisha
iOS-Nutzer
Diese App ist echt der Hammer. Ich finde Lernen so langweilig, aber diese App macht es so einfach, alles zu organisieren und dann kannst du die kostenlose KI bitten, dich abzufragen, so gut, und du kannst einfach deine eigenen Sachen hochladen. sehr empfehlenswert als jemand, der gerade Probeklausuren schreibt
Paul T
iOS-Nutzer
Amelie
@notes_by_amelie
RedOx-Reaktionen und Elektrochemie sind zentrale Themen im Chemie-LK der 12. Klasse. Du lernst hier, wie Elektronen zwischen Atomen übertragen werden und wie man das in der Praxis nutzen kann.

Zugriff auf alle Dokumente
Verbessere deine Noten
Schließ dich Millionen Schülern an
Oxidationszahlen sind wie Kontonummern für Elektronen - sie zeigen dir, wie viele Elektronen ein Atom "besitzt" oder "schuldet". Das ist super wichtig, um RedOx-Reaktionen zu verstehen.
Die Regeln sind eigentlich ziemlich logisch: Freie Elemente haben immer die Oxidationszahl 0, Wasserstoff meist +1 und Sauerstoff meist -2. Bei komplexeren Verbindungen wie FeBr₄ oder HCIO₃ rechnest du einfach so, dass die Summe aller Oxidationszahlen der Gesamtladung entspricht.
Tipp: Übung macht den Meister! Je öfter du Oxidationszahlen bestimmst, desto schneller erkennst du die Muster.
Bei Komplexen wie [Mn(CN)₆]⁵⁻ oder besonderen Verbindungen wie CaH₂ musst du aufpassen - hier gelten manchmal Ausnahmen von den Standardregeln.

Zugriff auf alle Dokumente
Verbessere deine Noten
Schließ dich Millionen Schülern an
Das Faradaysche Gesetz verbindet Strom mit der Masse, die sich an Elektroden abscheidet. Die Formel m = (M × I × t)/(z × F) ist dein bester Freund für alle Berechnungen.
Wenn du 7,60 A für 2 Tage durch eine Cr³⁺-Lösung schickst, scheidest du etwa 236 g Chrom ab. Das liegt daran, dass jedes Chrom-Ion 3 Elektronen braucht, um zu metallischem Chrom zu werden.
Merke dir: F = 96.485 C/mol ist die Faraday-Konstante - sie gibt an, wie viel Ladung ein Mol Elektronen transportiert.
Umgekehrt kannst du auch berechnen, welche Stromstärke du brauchst: Für 0,250 mol Chrom in 8 Stunden benötigst du etwa 25,8 A.

Zugriff auf alle Dokumente
Verbessere deine Noten
Schließ dich Millionen Schülern an
Permanganat (MnO₄⁻) ist ein richtig starkes Oxidationsmittel mit seiner charakteristisch violetten Farbe. Es entsteht aus Mn²⁺-Ionen durch Oxidation mit Peroxodisulfat.
Die Nernst-Gleichung zeigt dir, wie sich das Potenzial ändert: E = E⁰ + × lg. Der pH-Wert spielt eine riesige Rolle, weil H⁺-Ionen direkt in die Reaktion eingreifen.
Permanganat kann in saurer Lösung sogar Chlor aus Salzsäure freisetzen, weil sein Potenzial höher ist als das von Chlor . Je saurer die Lösung, desto stärker wird das Oxidationsvermögen.
Wichtig: Bei pH = 1,53 ist gerade noch die Oxidation von Cl⁻ zu Cl₂ möglich - darunter wird's kritisch!

Zugriff auf alle Dokumente
Verbessere deine Noten
Schließ dich Millionen Schülern an
Messing ist eine Kupfer-Zink-Legierung, die du super mit iodometrischer Analyse untersuchen kannst. Die Probe wird in Salpetersäure aufgelöst, weil die edler ist als Kupfer und Zink.
Das rotbraune Gas, das dabei entsteht, ist NO₂ - richtig giftig und riecht chlorähnlich. Die blaue Farbe kommt von den Cu²⁺-Ionen in der Lösung.
Bei der eigentlichen Analyse reagiert Cu²⁺ mit Iodid zu CuI und elementarem Iod. Dieses Iod titrierst du dann mit Thiosulfat (S₂O₃²⁻) zurück.
Praxis-Tipp: Die Stärkelösung am Ende sorgt für die charakteristische Blaufärbung, die beim Endpunkt verschwindet.
Aus dem Thiosulfat-Verbrauch (hier im Schnitt 11,475 mL) kannst du die Kupfermenge berechnen und bestimmen, ob es sich um Rot-, Gelb- oder Weißmessing handelt.

Zugriff auf alle Dokumente
Verbessere deine Noten
Schließ dich Millionen Schülern an

Zugriff auf alle Dokumente
Verbessere deine Noten
Schließ dich Millionen Schülern an

Zugriff auf alle Dokumente
Verbessere deine Noten
Schließ dich Millionen Schülern an
Unser KI-Begleiter ist ein speziell für Schüler entwickeltes KI-Tool, das mehr als nur Antworten bietet. Basierend auf Millionen von Knowunity-Inhalten liefert er relevante Informationen, personalisierte Lernpläne, Quizze und Inhalte direkt im Chat und passt sich deinem individuellen Lernweg an.
Du kannst die App im Google Play Store und im Apple App Store herunterladen.
Genau! Genieße kostenlosen Zugang zu Lerninhalten, vernetze dich mit anderen Schülern und hol dir sofortige Hilfe – alles direkt auf deinem Handy.
52
Smart Tools NEU
Verwandle diesen Lernzettel in: ✓ 50+ Übungsfragen ✓ Interaktive Karteikarten ✓ Komplette Probeklausur ✓ Aufsatzgliederungen
Erfahre alles über die Herstellung von Wein und die Destillation von Alkohol. Diese detaillierte Anleitung umfasst die Schritte der alkoholischen Gärung, die Rolle von Hefen, die chemischen Prozesse der Glukoseabbau und die Bedeutung anoxischer Bedingungen. Ideal für Studierende der Biochemie und Lebensmitteltechnologie. Typ: Experimentelle Anleitung.
Entdecken Sie die chemischen Eigenschaften, Herstellungsprozesse und vielfältigen Anwendungen von Schwefelsäure (H2SO4). Diese Zusammenfassung behandelt die Verwendung in Düngemitteln, Autobatterien, und der Industrie sowie wichtige chemische Reaktionen und Sicherheitsaspekte. Ideal für Chemie-Studierende und Fachleute.
Entdecken Sie die chemischen Veränderungen bei der Verbrennung von Eisenwolle in diesem detaillierten Protokoll. Das Experiment zeigt die Reaktion von Eisen mit Sauerstoff, die zur Bildung von Eisenoxid führt. Erfahren Sie mehr über die Gewichtszunahme und die Reaktionsgleichung 2Fe + O2 -> 2FeO. Ideal für Chemie-Studierende und Praktikanten.
Entdecken Sie die grundlegenden Eigenschaften von Stoffen, einschließlich Magnetismus, Wärmeleitfähigkeit, elektrische Leitfähigkeit, Löslichkeit und Dichte. Diese Zusammenfassung bietet eine klare Übersicht über die messbaren und sinnlichen Eigenschaften von Materialien, die für das Verständnis der Materie entscheidend sind.
Entdecken Sie die Methoden zur Herstellung von Sauerstoff aus Wasserstoffperoxid und Kaliumpermanganat sowie die Techniken zur Nachweisführung. Diese Zusammenfassung umfasst wichtige Reaktionen, den Einsatz von Katalysatoren und die Glimmspanprobe zur Identifizierung von Sauerstoff. Ideal für Chemie-Studierende und Prüfungsrelevante Inhalte.
Dieser Lernzettel behandelt die verschiedenen Arten intermolekularer Kräfte, einschließlich Van-der-Waals-Kräften, Dipol-Dipol-Wechselwirkungen und Wasserstoffbrückenbindungen. Erfahren Sie, wie diese Kräfte die physikalischen Eigenschaften von Stoffen beeinflussen, wie z.B. Siedepunkte und Aggregatzustände. Ideal für Chemie-Studierende, die ein tieferes Verständnis der Molekülinteraktionen suchen.
App Store
Google Play
Die App ist sehr einfach zu bedienen und gut gestaltet. Ich habe bisher alles gefunden, wonach ich gesucht habe, und konnte viel aus den Präsentationen lernen! Ich werde die App definitiv für ein Schulprojekt nutzen! Und natürlich hilft sie auch sehr als Inspiration.
Stefan S
iOS-Nutzer
Diese App ist wirklich super. Es gibt so viele Lernzettel und Hilfen [...]. Mein Problemfach ist zum Beispiel Französisch und die App hat so viele Möglichkeiten zur Hilfe. Dank dieser App habe ich mich in Französisch verbessert. Ich würde sie jedem empfehlen.
Samantha Klich
Android-Nutzerin
Wow, ich bin wirklich begeistert. Ich habe die App einfach mal ausprobiert, weil ich sie schon oft beworben gesehen habe und war absolut beeindruckt. Diese App ist DIE HILFE, die man für die Schule braucht und vor allem bietet sie so viele Dinge wie Übungen und Lernzettel, die mir persönlich SEHR geholfen haben.
Anna
iOS-Nutzerin
Beste App der Welt! Keine Worte, weil sie einfach zu gut ist
Thomas R
iOS-Nutzer
Einfach genial. Lässt mich 10x besser lernen, diese App ist eine glatte 10/10. Ich empfehle sie jedem. Ich kann Lernzettel anschauen und suchen. Ich kann sie im Fachordner speichern. Ich kann sie jederzeit wiederholen, wenn ich zurückkomme. Wenn du diese App noch nicht ausprobiert hast, verpasst du wirklich was.
Basil
Android-Nutzer
Diese App hat mich so viel selbstbewusster in meiner Klausurvorbereitung gemacht, nicht nur durch die Stärkung meines Selbstvertrauens durch die Features, die es dir ermöglichen, dich mit anderen zu vernetzen und dich weniger allein zu fühlen, sondern auch durch die Art, wie die App selbst darauf ausgerichtet ist, dass du dich besser fühlst. Sie ist einfach zu bedienen, macht Spaß und hilft jedem, der in irgendeiner Weise Schwierigkeiten hat.
David K
iOS-Nutzer
Die App ist einfach super! Ich muss nur das Thema in die Suche eingeben und bekomme sofort eine Antwort. Ich muss nicht mehr 10 YouTube-Videos schauen, um etwas zu verstehen, und spare dadurch richtig viel Zeit. Sehr empfehlenswert!
Sudenaz Ocak
Android-Nutzerin
In der Schule war ich echt schlecht in Mathe, aber dank der App bin ich jetzt besser geworden. Ich bin so dankbar, dass ihr die App gemacht habt.
Greenlight Bonnie
Android-Nutzerin
sehr zuverlässige App, um deine Ideen in Mathe, Englisch und anderen verwandten Themen zu verbessern. bitte nutze diese App, wenn du in bestimmten Bereichen Schwierigkeiten hast, diese App ist dafür der Schlüssel. wünschte, ich hätte früher eine Bewertung geschrieben. und sie ist auch kostenlos, also mach dir darüber keine Sorgen.
Rohan U
Android-Nutzer
Ich weiß, dass viele Apps gefälschte Accounts nutzen, um ihre Bewertungen zu pushen, aber diese App verdient das alles. Ursprünglich hatte ich eine 4 in meinen Englisch-Klausuren und dieses Mal habe ich eine 2 bekommen. Ich wusste erst drei Tage vor der Klausur von dieser App und sie hat mir SEHR geholfen. Bitte vertrau mir wirklich und nutze sie, denn ich bin sicher, dass auch du Fortschritte sehen wirst.
Xander S
iOS-Nutzer
DIE QUIZZE UND KARTEIKARTEN SIND SO NÜTZLICH UND ICH LIEBE Knowunity KI. ES IST AUCH BUCHSTÄBLICH WIE CHATGPT ABER SCHLAUER!! HAT MIR AUCH BEI MEINEN MASCARA-PROBLEMEN GEHOLFEN!! SOWIE BEI MEINEN ECHTEN FÄCHERN! NATÜRLICH 😍😁😲🤑💗✨🎀😮
Elisha
iOS-Nutzer
Diese App ist echt der Hammer. Ich finde Lernen so langweilig, aber diese App macht es so einfach, alles zu organisieren und dann kannst du die kostenlose KI bitten, dich abzufragen, so gut, und du kannst einfach deine eigenen Sachen hochladen. sehr empfehlenswert als jemand, der gerade Probeklausuren schreibt
Paul T
iOS-Nutzer
Die App ist sehr einfach zu bedienen und gut gestaltet. Ich habe bisher alles gefunden, wonach ich gesucht habe, und konnte viel aus den Präsentationen lernen! Ich werde die App definitiv für ein Schulprojekt nutzen! Und natürlich hilft sie auch sehr als Inspiration.
Stefan S
iOS-Nutzer
Diese App ist wirklich super. Es gibt so viele Lernzettel und Hilfen [...]. Mein Problemfach ist zum Beispiel Französisch und die App hat so viele Möglichkeiten zur Hilfe. Dank dieser App habe ich mich in Französisch verbessert. Ich würde sie jedem empfehlen.
Samantha Klich
Android-Nutzerin
Wow, ich bin wirklich begeistert. Ich habe die App einfach mal ausprobiert, weil ich sie schon oft beworben gesehen habe und war absolut beeindruckt. Diese App ist DIE HILFE, die man für die Schule braucht und vor allem bietet sie so viele Dinge wie Übungen und Lernzettel, die mir persönlich SEHR geholfen haben.
Anna
iOS-Nutzerin
Beste App der Welt! Keine Worte, weil sie einfach zu gut ist
Thomas R
iOS-Nutzer
Einfach genial. Lässt mich 10x besser lernen, diese App ist eine glatte 10/10. Ich empfehle sie jedem. Ich kann Lernzettel anschauen und suchen. Ich kann sie im Fachordner speichern. Ich kann sie jederzeit wiederholen, wenn ich zurückkomme. Wenn du diese App noch nicht ausprobiert hast, verpasst du wirklich was.
Basil
Android-Nutzer
Diese App hat mich so viel selbstbewusster in meiner Klausurvorbereitung gemacht, nicht nur durch die Stärkung meines Selbstvertrauens durch die Features, die es dir ermöglichen, dich mit anderen zu vernetzen und dich weniger allein zu fühlen, sondern auch durch die Art, wie die App selbst darauf ausgerichtet ist, dass du dich besser fühlst. Sie ist einfach zu bedienen, macht Spaß und hilft jedem, der in irgendeiner Weise Schwierigkeiten hat.
David K
iOS-Nutzer
Die App ist einfach super! Ich muss nur das Thema in die Suche eingeben und bekomme sofort eine Antwort. Ich muss nicht mehr 10 YouTube-Videos schauen, um etwas zu verstehen, und spare dadurch richtig viel Zeit. Sehr empfehlenswert!
Sudenaz Ocak
Android-Nutzerin
In der Schule war ich echt schlecht in Mathe, aber dank der App bin ich jetzt besser geworden. Ich bin so dankbar, dass ihr die App gemacht habt.
Greenlight Bonnie
Android-Nutzerin
sehr zuverlässige App, um deine Ideen in Mathe, Englisch und anderen verwandten Themen zu verbessern. bitte nutze diese App, wenn du in bestimmten Bereichen Schwierigkeiten hast, diese App ist dafür der Schlüssel. wünschte, ich hätte früher eine Bewertung geschrieben. und sie ist auch kostenlos, also mach dir darüber keine Sorgen.
Rohan U
Android-Nutzer
Ich weiß, dass viele Apps gefälschte Accounts nutzen, um ihre Bewertungen zu pushen, aber diese App verdient das alles. Ursprünglich hatte ich eine 4 in meinen Englisch-Klausuren und dieses Mal habe ich eine 2 bekommen. Ich wusste erst drei Tage vor der Klausur von dieser App und sie hat mir SEHR geholfen. Bitte vertrau mir wirklich und nutze sie, denn ich bin sicher, dass auch du Fortschritte sehen wirst.
Xander S
iOS-Nutzer
DIE QUIZZE UND KARTEIKARTEN SIND SO NÜTZLICH UND ICH LIEBE Knowunity KI. ES IST AUCH BUCHSTÄBLICH WIE CHATGPT ABER SCHLAUER!! HAT MIR AUCH BEI MEINEN MASCARA-PROBLEMEN GEHOLFEN!! SOWIE BEI MEINEN ECHTEN FÄCHERN! NATÜRLICH 😍😁😲🤑💗✨🎀😮
Elisha
iOS-Nutzer
Diese App ist echt der Hammer. Ich finde Lernen so langweilig, aber diese App macht es so einfach, alles zu organisieren und dann kannst du die kostenlose KI bitten, dich abzufragen, so gut, und du kannst einfach deine eigenen Sachen hochladen. sehr empfehlenswert als jemand, der gerade Probeklausuren schreibt
Paul T
iOS-Nutzer