Säure-Base-Reaktionen sind grundlegende Vorgänge in der Chemie, bei denen es... Mehr anzeigen
Melde dich an, um den Inhalt zu sehenKostenlos!
Zugriff auf alle Dokumente
Verbessere deine Noten
Schließ dich Millionen Schülern an
Knowunity KI
Fächer
Triangle Congruence and Similarity Theorems
Triangle Properties and Classification
Linear Equations and Graphs
Geometric Angle Relationships
Trigonometric Functions and Identities
Equation Solving Techniques
Circle Geometry Fundamentals
Division Operations and Methods
Basic Differentiation Rules
Exponent and Logarithm Properties
Alle Themen anzeigen
Human Organ Systems
Reproductive Cell Cycles
Biological Sciences Subdisciplines
Cellular Energy Metabolism
Autotrophic Energy Processes
Inheritance Patterns and Principles
Biomolecular Structure and Organization
Cell Cycle and Division Mechanics
Cellular Organization and Development
Biological Structural Organization
Alle Themen anzeigen
Chemical Sciences and Applications
Atomic Structure and Composition
Molecular Electron Structure Representation
Atomic Electron Behavior
Matter Properties and Water
Mole Concept and Calculations
Gas Laws and Behavior
Periodic Table Organization
Chemical Thermodynamics Fundamentals
Chemical Bond Types and Properties
Alle Themen anzeigen
European Renaissance and Enlightenment
European Cultural Movements 800-1920
American Revolution Era 1763-1797
American Civil War 1861-1865
Global Imperial Systems
Mongol and Chinese Dynasties
U.S. Presidents and World Leaders
Historical Sources and Documentation
World Wars Era and Impact
World Religious Systems
Alle Themen anzeigen
Classic and Contemporary Novels
Literary Character Analysis
Rhetorical Theory and Practice
Classic Literary Narratives
Reading Analysis and Interpretation
Narrative Structure and Techniques
English Language Components
Influential English-Language Authors
Basic Sentence Structure
Narrative Voice and Perspective
Alle Themen anzeigen
1,118
•
Aktualisiert Mar 20, 2026
•
Jana
@jana_znla
Säure-Base-Reaktionen sind grundlegende Vorgänge in der Chemie, bei denen es... Mehr anzeigen







Eine Säure (HA) ist ein Protonendonator – sie gibt Protonen (H⁺) ab. Eine Base (B) funktioniert als Protonenakzeptor und nimmt Protonen auf. Diese Definition geht auf das Brønsted-Konzept zurück.
Bei Säure-Base-Reaktionen bilden sich sogenannte korrespondierende Säure-Base-Paare. Dabei handelt es sich um Teilchenpaare, die sich nur durch ein Proton unterscheiden. Beispiele sind NH₄⁺ & NH₃ oder CH₃COOH & CH₃COO⁻.
Ampholyte sind besonders interessante Teilchen, die je nach Reaktionspartner als Säure oder Base reagieren können. Beispiele dafür sind Wasser (H₂O), Ammoniak (NH₃) oder das Hydrogencarbonat-Ion (HCO₃⁻). Sie können sowohl Protonen aufnehmen als auch abgeben.
💡 Die Autoprotolyse des Wassers ist ein wichtiger Spezialfall, bei dem Wasser gleichzeitig als Säure und Base reagiert. Das Ionenprodukt K𝘸 = c(H₃O⁺)·c(OH⁻) = 10⁻¹⁴ mol²·l⁻² bei 25°C ist eine fundamentale Konstante in der Chemie.

Der pH-Wert gibt an, wie viele H⁺-Ionen bzw. Oxonium-Ionen (H₃O⁺) in einer Lösung vorhanden sind. Eine saure Lösung hat eine hohe Konzentration an H⁺-Ionen, die mit Wasser zu H₃O⁺ reagieren. Der pOH-Wert bezieht sich auf die Konzentration der OH⁻-Ionen in alkalischen Lösungen.
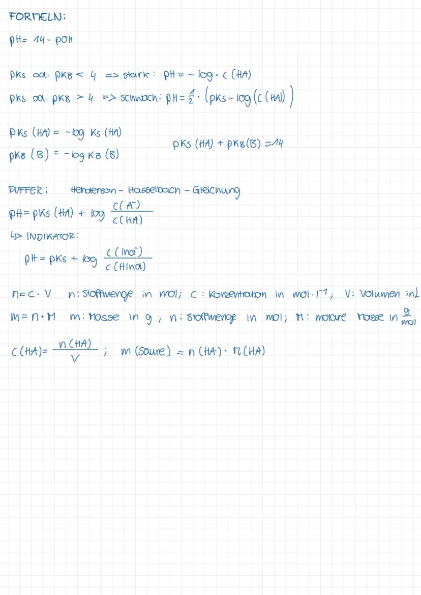
Beide Werte hängen zusammen: pH + pOH = 14. Bei starken Säuren (pKₛ < 4) berechnet man den pH-Wert mit pH = -log(c(HA)). Bei schwachen Säuren (pKₛ > 4) nutzt man die Formel pH = ½. Ähnliche Formeln gelten für den pOH-Wert.
Die Stärke einer Säure oder Base wird durch die Säurekonstante Kₛ bzw. die Basenkonstante K𝘣 ausgedrückt. Je größer der Kₛ-Wert, desto kleiner ist der pKₛ-Wert und desto stärker ist die Säure. Wichtig: Je stärker eine Säure, desto schwächer ist ihre korrespondierende Base.
🧪 Die pH-Skala reicht von 0 bis 14: Starke Säuren liegen zwischen 0-3, Essig etwa bei 3-4, reines Wasser bei 7 (neutral), Seife bei 9-10 und Abflussreiniger im stark basischen Bereich bei 13-14.

Pufferlösungen halten den pH-Wert konstant, auch wenn Säuren oder Basen in geringen Mengen zugegeben werden. Sie bestehen aus einer schwachen Säure/Base und ihrer korrespondierenden Base/Säure im Verhältnis von etwa 1:1.
Bei Zugabe von H₃O⁺ reagiert die Pufferbase (A⁻) mit den Oxonium-Ionen: H₃O⁺ + A⁻ → HA + H₂O. Bei Zugabe von OH⁻ reagiert die Puffersäure mit den Hydroxid-Ionen: OH⁻ + HA → A⁻ + H₂O. In beiden Fällen werden die zugeführten Ionen abgefangen und der pH-Wert bleibt nahezu konstant.
Für die Berechnung des pH-Werts einer Pufferlösung verwendet man die Henderson-Hasselbalch-Gleichung: pH = pKₛ(HA) + log. Diese Formel ermöglicht es auch, das Konzentrationsverhältnis der Pufferkomponenten für einen gewünschten pH-Wert zu berechnen.
🔬 Wichtige Puffersysteme sind der Acetatpuffer , der Hydrogencarbonatpuffer , der Phosphatpuffer und der Ammoniakpuffer . Der Phosphatpuffer spielt eine entscheidende Rolle in unserem Blut!

Indikatoren sind selbst schwache Säuren oder Basen, deren Molekülstruktur sich durch Abgabe oder Aufnahme eines Protons verändert, was zu einem Farbwechsel führt. Die Indikatorsäure (HInd) und ihre korrespondierende Base (Ind⁻) haben unterschiedliche Farben.
Der Farbumschlag eines Indikators erfolgt in einem bestimmten pH-Bereich, der etwa 2 pH-Einheiten um den pKₛ-Wert des Indikators liegt. Der pH-Wert kann mit der Formel pH = pKₛ(HInd) + log berechnet werden.
Für Säure-Base-Titrationen ist die Wahl des richtigen Indikators entscheidend. Der Umschlagsbereich muss im pH-Sprungbereich des Äquivalenzpunkts liegen. Beispielsweise eignet sich Phenolphthalein gut für die Titration von Essigsäure mit Natronlauge, da der Äquivalenzpunkt bei etwa pH 9 liegt.
📝 Beim Äquivalenzpunkt einer Titration sind die Stoffmengen der Säure und Base gleich . Die Titrationskurve zeigt hier einen steilen Anstieg, was bedeutet, dass sich der pH-Wert bei geringer Zugabe stark ändert – genau hier muss der Indikator umschlagen!

Bei der Titration reagiert die Säure HA mit Hydroxid-Ionen: HA(aq) + OH⁻(aq) → H₂O(l) + A⁻(aq). Der Äquivalenzpunkt (AP) ist erreicht, wenn genau so viel Base zugegeben wurde, dass die Säure vollständig neutralisiert ist. Am AP gilt: n(HA) = n(OH⁻).
Für die Berechnung der Stoffmenge nutzt man die Formel n = c · V, wobei n die Stoffmenge in mol, c die Konzentration in mol/l und V das Volumen in Liter ist. Die Masse kann über m = n · M berechnet werden, mit M als molare Masse in g/mol.
Bei mehrprotonigen Säuren wie Phosphorsäure (H₃PO₄) gibt es mehrere Protolysestufen und damit mehrere Äquivalenzpunkte in der Titrationskurve. Jede Stufe entspricht der Abgabe eines Protons (H₃PO₄ → H₂PO₄⁻ → HPO₄²⁻ → PO₄³⁻). Die pKₛ-Werte der verschiedenen Stufen unterscheiden sich deutlich voneinander.
⚠️ Nicht alle Äquivalenzpunkte einer mehrprotonigen Säure sind in der Titrationskurve gleich gut zu erkennen! Bei der Phosphorsäure ist der dritte AP bei pH ≈ 12,2 kaum sichtbar, da HPO₄²⁻ eine sehr schwache Säure ist und eher basisch reagiert.

Der Zusammenhang zwischen pH und pOH ist durch pH = 14 - pOH gegeben. Für starke Säuren (pKₛ < 4) berechnet man den pH-Wert mit pH = -log · c(HA), für schwache Säuren (pKₛ > 4) mit pH = ½ · .
Die Stärke einer Säure oder Base wird durch den pKₛ- bzw. pKᵦ-Wert angegeben: pKₛ(HA) = -log Kₛ(HA) und pKᵦ(B) = -log Kᵦ(B). Es gilt stets: pKₛ(HA) + pKᵦ(A⁻) = 14.
Für Pufferlösungen verwendet man die Henderson-Hasselbalch-Gleichung: pH = pKₛ(HA) + log. Bei Indikatoren gilt analog: pH = pKₛ(HInd) + log.
🔢 In Titrationen brauchst du folgende Formeln: n = c · V, m = n · M und c(HA) = n(HA)/V. Diese helfen dir, Stoffmengen, Konzentrationen und benötigte Volumina zu berechnen. Stelle dir vor, du musst berechnen, wie viel Natronlauge du für die vollständige Neutralisation einer Säurelösung brauchst!
Unser KI-Begleiter ist ein speziell für Schüler entwickeltes KI-Tool, das mehr als nur Antworten bietet. Basierend auf Millionen von Knowunity-Inhalten liefert er relevante Informationen, personalisierte Lernpläne, Quizze und Inhalte direkt im Chat und passt sich deinem individuellen Lernweg an.
Du kannst die App im Google Play Store und im Apple App Store herunterladen.
Genau! Genieße kostenlosen Zugang zu Lerninhalten, vernetze dich mit anderen Schülern und hol dir sofortige Hilfe – alles direkt auf deinem Handy.
App Store
Google Play
Die App ist sehr einfach zu bedienen und gut gestaltet. Ich habe bisher alles gefunden, wonach ich gesucht habe, und konnte viel aus den Präsentationen lernen! Ich werde die App definitiv für ein Schulprojekt nutzen! Und natürlich hilft sie auch sehr als Inspiration.
Stefan S
iOS-Nutzer
Diese App ist wirklich super. Es gibt so viele Lernzettel und Hilfen [...]. Mein Problemfach ist zum Beispiel Französisch und die App hat so viele Möglichkeiten zur Hilfe. Dank dieser App habe ich mich in Französisch verbessert. Ich würde sie jedem empfehlen.
Samantha Klich
Android-Nutzerin
Wow, ich bin wirklich begeistert. Ich habe die App einfach mal ausprobiert, weil ich sie schon oft beworben gesehen habe und war absolut beeindruckt. Diese App ist DIE HILFE, die man für die Schule braucht und vor allem bietet sie so viele Dinge wie Übungen und Lernzettel, die mir persönlich SEHR geholfen haben.
Anna
iOS-Nutzerin
Beste App der Welt! Keine Worte, weil sie einfach zu gut ist
Thomas R
iOS-Nutzer
Einfach genial. Lässt mich 10x besser lernen, diese App ist eine glatte 10/10. Ich empfehle sie jedem. Ich kann Lernzettel anschauen und suchen. Ich kann sie im Fachordner speichern. Ich kann sie jederzeit wiederholen, wenn ich zurückkomme. Wenn du diese App noch nicht ausprobiert hast, verpasst du wirklich was.
Basil
Android-Nutzer
Diese App hat mich so viel selbstbewusster in meiner Klausurvorbereitung gemacht, nicht nur durch die Stärkung meines Selbstvertrauens durch die Features, die es dir ermöglichen, dich mit anderen zu vernetzen und dich weniger allein zu fühlen, sondern auch durch die Art, wie die App selbst darauf ausgerichtet ist, dass du dich besser fühlst. Sie ist einfach zu bedienen, macht Spaß und hilft jedem, der in irgendeiner Weise Schwierigkeiten hat.
David K
iOS-Nutzer
Die App ist einfach super! Ich muss nur das Thema in die Suche eingeben und bekomme sofort eine Antwort. Ich muss nicht mehr 10 YouTube-Videos schauen, um etwas zu verstehen, und spare dadurch richtig viel Zeit. Sehr empfehlenswert!
Sudenaz Ocak
Android-Nutzerin
In der Schule war ich echt schlecht in Mathe, aber dank der App bin ich jetzt besser geworden. Ich bin so dankbar, dass ihr die App gemacht habt.
Greenlight Bonnie
Android-Nutzerin
sehr zuverlässige App, um deine Ideen in Mathe, Englisch und anderen verwandten Themen zu verbessern. bitte nutze diese App, wenn du in bestimmten Bereichen Schwierigkeiten hast, diese App ist dafür der Schlüssel. wünschte, ich hätte früher eine Bewertung geschrieben. und sie ist auch kostenlos, also mach dir darüber keine Sorgen.
Rohan U
Android-Nutzer
Ich weiß, dass viele Apps gefälschte Accounts nutzen, um ihre Bewertungen zu pushen, aber diese App verdient das alles. Ursprünglich hatte ich eine 4 in meinen Englisch-Klausuren und dieses Mal habe ich eine 2 bekommen. Ich wusste erst drei Tage vor der Klausur von dieser App und sie hat mir SEHR geholfen. Bitte vertrau mir wirklich und nutze sie, denn ich bin sicher, dass auch du Fortschritte sehen wirst.
Xander S
iOS-Nutzer
DIE QUIZZE UND KARTEIKARTEN SIND SO NÜTZLICH UND ICH LIEBE Knowunity KI. ES IST AUCH BUCHSTÄBLICH WIE CHATGPT ABER SCHLAUER!! HAT MIR AUCH BEI MEINEN MASCARA-PROBLEMEN GEHOLFEN!! SOWIE BEI MEINEN ECHTEN FÄCHERN! NATÜRLICH 😍😁😲🤑💗✨🎀😮
Elisha
iOS-Nutzer
Diese App ist echt der Hammer. Ich finde Lernen so langweilig, aber diese App macht es so einfach, alles zu organisieren und dann kannst du die kostenlose KI bitten, dich abzufragen, so gut, und du kannst einfach deine eigenen Sachen hochladen. sehr empfehlenswert als jemand, der gerade Probeklausuren schreibt
Paul T
iOS-Nutzer
Die App ist sehr einfach zu bedienen und gut gestaltet. Ich habe bisher alles gefunden, wonach ich gesucht habe, und konnte viel aus den Präsentationen lernen! Ich werde die App definitiv für ein Schulprojekt nutzen! Und natürlich hilft sie auch sehr als Inspiration.
Stefan S
iOS-Nutzer
Diese App ist wirklich super. Es gibt so viele Lernzettel und Hilfen [...]. Mein Problemfach ist zum Beispiel Französisch und die App hat so viele Möglichkeiten zur Hilfe. Dank dieser App habe ich mich in Französisch verbessert. Ich würde sie jedem empfehlen.
Samantha Klich
Android-Nutzerin
Wow, ich bin wirklich begeistert. Ich habe die App einfach mal ausprobiert, weil ich sie schon oft beworben gesehen habe und war absolut beeindruckt. Diese App ist DIE HILFE, die man für die Schule braucht und vor allem bietet sie so viele Dinge wie Übungen und Lernzettel, die mir persönlich SEHR geholfen haben.
Anna
iOS-Nutzerin
Beste App der Welt! Keine Worte, weil sie einfach zu gut ist
Thomas R
iOS-Nutzer
Einfach genial. Lässt mich 10x besser lernen, diese App ist eine glatte 10/10. Ich empfehle sie jedem. Ich kann Lernzettel anschauen und suchen. Ich kann sie im Fachordner speichern. Ich kann sie jederzeit wiederholen, wenn ich zurückkomme. Wenn du diese App noch nicht ausprobiert hast, verpasst du wirklich was.
Basil
Android-Nutzer
Diese App hat mich so viel selbstbewusster in meiner Klausurvorbereitung gemacht, nicht nur durch die Stärkung meines Selbstvertrauens durch die Features, die es dir ermöglichen, dich mit anderen zu vernetzen und dich weniger allein zu fühlen, sondern auch durch die Art, wie die App selbst darauf ausgerichtet ist, dass du dich besser fühlst. Sie ist einfach zu bedienen, macht Spaß und hilft jedem, der in irgendeiner Weise Schwierigkeiten hat.
David K
iOS-Nutzer
Die App ist einfach super! Ich muss nur das Thema in die Suche eingeben und bekomme sofort eine Antwort. Ich muss nicht mehr 10 YouTube-Videos schauen, um etwas zu verstehen, und spare dadurch richtig viel Zeit. Sehr empfehlenswert!
Sudenaz Ocak
Android-Nutzerin
In der Schule war ich echt schlecht in Mathe, aber dank der App bin ich jetzt besser geworden. Ich bin so dankbar, dass ihr die App gemacht habt.
Greenlight Bonnie
Android-Nutzerin
sehr zuverlässige App, um deine Ideen in Mathe, Englisch und anderen verwandten Themen zu verbessern. bitte nutze diese App, wenn du in bestimmten Bereichen Schwierigkeiten hast, diese App ist dafür der Schlüssel. wünschte, ich hätte früher eine Bewertung geschrieben. und sie ist auch kostenlos, also mach dir darüber keine Sorgen.
Rohan U
Android-Nutzer
Ich weiß, dass viele Apps gefälschte Accounts nutzen, um ihre Bewertungen zu pushen, aber diese App verdient das alles. Ursprünglich hatte ich eine 4 in meinen Englisch-Klausuren und dieses Mal habe ich eine 2 bekommen. Ich wusste erst drei Tage vor der Klausur von dieser App und sie hat mir SEHR geholfen. Bitte vertrau mir wirklich und nutze sie, denn ich bin sicher, dass auch du Fortschritte sehen wirst.
Xander S
iOS-Nutzer
DIE QUIZZE UND KARTEIKARTEN SIND SO NÜTZLICH UND ICH LIEBE Knowunity KI. ES IST AUCH BUCHSTÄBLICH WIE CHATGPT ABER SCHLAUER!! HAT MIR AUCH BEI MEINEN MASCARA-PROBLEMEN GEHOLFEN!! SOWIE BEI MEINEN ECHTEN FÄCHERN! NATÜRLICH 😍😁😲🤑💗✨🎀😮
Elisha
iOS-Nutzer
Diese App ist echt der Hammer. Ich finde Lernen so langweilig, aber diese App macht es so einfach, alles zu organisieren und dann kannst du die kostenlose KI bitten, dich abzufragen, so gut, und du kannst einfach deine eigenen Sachen hochladen. sehr empfehlenswert als jemand, der gerade Probeklausuren schreibt
Paul T
iOS-Nutzer
Jana
@jana_znla
Säure-Base-Reaktionen sind grundlegende Vorgänge in der Chemie, bei denen es um den Austausch von Protonen geht. Hier findest du eine übersichtliche Zusammenfassung der wichtigsten Konzepte, die dir hilft, diese manchmal komplizierten Zusammenhänge besser zu verstehen und für deine Prüfungen gut... Mehr anzeigen

Zugriff auf alle Dokumente
Verbessere deine Noten
Schließ dich Millionen Schülern an
Eine Säure (HA) ist ein Protonendonator – sie gibt Protonen (H⁺) ab. Eine Base (B) funktioniert als Protonenakzeptor und nimmt Protonen auf. Diese Definition geht auf das Brønsted-Konzept zurück.
Bei Säure-Base-Reaktionen bilden sich sogenannte korrespondierende Säure-Base-Paare. Dabei handelt es sich um Teilchenpaare, die sich nur durch ein Proton unterscheiden. Beispiele sind NH₄⁺ & NH₃ oder CH₃COOH & CH₃COO⁻.
Ampholyte sind besonders interessante Teilchen, die je nach Reaktionspartner als Säure oder Base reagieren können. Beispiele dafür sind Wasser (H₂O), Ammoniak (NH₃) oder das Hydrogencarbonat-Ion (HCO₃⁻). Sie können sowohl Protonen aufnehmen als auch abgeben.
💡 Die Autoprotolyse des Wassers ist ein wichtiger Spezialfall, bei dem Wasser gleichzeitig als Säure und Base reagiert. Das Ionenprodukt K𝘸 = c(H₃O⁺)·c(OH⁻) = 10⁻¹⁴ mol²·l⁻² bei 25°C ist eine fundamentale Konstante in der Chemie.

Zugriff auf alle Dokumente
Verbessere deine Noten
Schließ dich Millionen Schülern an
Der pH-Wert gibt an, wie viele H⁺-Ionen bzw. Oxonium-Ionen (H₃O⁺) in einer Lösung vorhanden sind. Eine saure Lösung hat eine hohe Konzentration an H⁺-Ionen, die mit Wasser zu H₃O⁺ reagieren. Der pOH-Wert bezieht sich auf die Konzentration der OH⁻-Ionen in alkalischen Lösungen.
Beide Werte hängen zusammen: pH + pOH = 14. Bei starken Säuren (pKₛ < 4) berechnet man den pH-Wert mit pH = -log(c(HA)). Bei schwachen Säuren (pKₛ > 4) nutzt man die Formel pH = ½. Ähnliche Formeln gelten für den pOH-Wert.
Die Stärke einer Säure oder Base wird durch die Säurekonstante Kₛ bzw. die Basenkonstante K𝘣 ausgedrückt. Je größer der Kₛ-Wert, desto kleiner ist der pKₛ-Wert und desto stärker ist die Säure. Wichtig: Je stärker eine Säure, desto schwächer ist ihre korrespondierende Base.
🧪 Die pH-Skala reicht von 0 bis 14: Starke Säuren liegen zwischen 0-3, Essig etwa bei 3-4, reines Wasser bei 7 (neutral), Seife bei 9-10 und Abflussreiniger im stark basischen Bereich bei 13-14.

Zugriff auf alle Dokumente
Verbessere deine Noten
Schließ dich Millionen Schülern an
Pufferlösungen halten den pH-Wert konstant, auch wenn Säuren oder Basen in geringen Mengen zugegeben werden. Sie bestehen aus einer schwachen Säure/Base und ihrer korrespondierenden Base/Säure im Verhältnis von etwa 1:1.
Bei Zugabe von H₃O⁺ reagiert die Pufferbase (A⁻) mit den Oxonium-Ionen: H₃O⁺ + A⁻ → HA + H₂O. Bei Zugabe von OH⁻ reagiert die Puffersäure mit den Hydroxid-Ionen: OH⁻ + HA → A⁻ + H₂O. In beiden Fällen werden die zugeführten Ionen abgefangen und der pH-Wert bleibt nahezu konstant.
Für die Berechnung des pH-Werts einer Pufferlösung verwendet man die Henderson-Hasselbalch-Gleichung: pH = pKₛ(HA) + log. Diese Formel ermöglicht es auch, das Konzentrationsverhältnis der Pufferkomponenten für einen gewünschten pH-Wert zu berechnen.
🔬 Wichtige Puffersysteme sind der Acetatpuffer , der Hydrogencarbonatpuffer , der Phosphatpuffer und der Ammoniakpuffer . Der Phosphatpuffer spielt eine entscheidende Rolle in unserem Blut!

Zugriff auf alle Dokumente
Verbessere deine Noten
Schließ dich Millionen Schülern an
Indikatoren sind selbst schwache Säuren oder Basen, deren Molekülstruktur sich durch Abgabe oder Aufnahme eines Protons verändert, was zu einem Farbwechsel führt. Die Indikatorsäure (HInd) und ihre korrespondierende Base (Ind⁻) haben unterschiedliche Farben.
Der Farbumschlag eines Indikators erfolgt in einem bestimmten pH-Bereich, der etwa 2 pH-Einheiten um den pKₛ-Wert des Indikators liegt. Der pH-Wert kann mit der Formel pH = pKₛ(HInd) + log berechnet werden.
Für Säure-Base-Titrationen ist die Wahl des richtigen Indikators entscheidend. Der Umschlagsbereich muss im pH-Sprungbereich des Äquivalenzpunkts liegen. Beispielsweise eignet sich Phenolphthalein gut für die Titration von Essigsäure mit Natronlauge, da der Äquivalenzpunkt bei etwa pH 9 liegt.
📝 Beim Äquivalenzpunkt einer Titration sind die Stoffmengen der Säure und Base gleich . Die Titrationskurve zeigt hier einen steilen Anstieg, was bedeutet, dass sich der pH-Wert bei geringer Zugabe stark ändert – genau hier muss der Indikator umschlagen!

Zugriff auf alle Dokumente
Verbessere deine Noten
Schließ dich Millionen Schülern an
Bei der Titration reagiert die Säure HA mit Hydroxid-Ionen: HA(aq) + OH⁻(aq) → H₂O(l) + A⁻(aq). Der Äquivalenzpunkt (AP) ist erreicht, wenn genau so viel Base zugegeben wurde, dass die Säure vollständig neutralisiert ist. Am AP gilt: n(HA) = n(OH⁻).
Für die Berechnung der Stoffmenge nutzt man die Formel n = c · V, wobei n die Stoffmenge in mol, c die Konzentration in mol/l und V das Volumen in Liter ist. Die Masse kann über m = n · M berechnet werden, mit M als molare Masse in g/mol.
Bei mehrprotonigen Säuren wie Phosphorsäure (H₃PO₄) gibt es mehrere Protolysestufen und damit mehrere Äquivalenzpunkte in der Titrationskurve. Jede Stufe entspricht der Abgabe eines Protons (H₃PO₄ → H₂PO₄⁻ → HPO₄²⁻ → PO₄³⁻). Die pKₛ-Werte der verschiedenen Stufen unterscheiden sich deutlich voneinander.
⚠️ Nicht alle Äquivalenzpunkte einer mehrprotonigen Säure sind in der Titrationskurve gleich gut zu erkennen! Bei der Phosphorsäure ist der dritte AP bei pH ≈ 12,2 kaum sichtbar, da HPO₄²⁻ eine sehr schwache Säure ist und eher basisch reagiert.

Zugriff auf alle Dokumente
Verbessere deine Noten
Schließ dich Millionen Schülern an
Der Zusammenhang zwischen pH und pOH ist durch pH = 14 - pOH gegeben. Für starke Säuren (pKₛ < 4) berechnet man den pH-Wert mit pH = -log · c(HA), für schwache Säuren (pKₛ > 4) mit pH = ½ · .
Die Stärke einer Säure oder Base wird durch den pKₛ- bzw. pKᵦ-Wert angegeben: pKₛ(HA) = -log Kₛ(HA) und pKᵦ(B) = -log Kᵦ(B). Es gilt stets: pKₛ(HA) + pKᵦ(A⁻) = 14.
Für Pufferlösungen verwendet man die Henderson-Hasselbalch-Gleichung: pH = pKₛ(HA) + log. Bei Indikatoren gilt analog: pH = pKₛ(HInd) + log.
🔢 In Titrationen brauchst du folgende Formeln: n = c · V, m = n · M und c(HA) = n(HA)/V. Diese helfen dir, Stoffmengen, Konzentrationen und benötigte Volumina zu berechnen. Stelle dir vor, du musst berechnen, wie viel Natronlauge du für die vollständige Neutralisation einer Säurelösung brauchst!
Unser KI-Begleiter ist ein speziell für Schüler entwickeltes KI-Tool, das mehr als nur Antworten bietet. Basierend auf Millionen von Knowunity-Inhalten liefert er relevante Informationen, personalisierte Lernpläne, Quizze und Inhalte direkt im Chat und passt sich deinem individuellen Lernweg an.
Du kannst die App im Google Play Store und im Apple App Store herunterladen.
Genau! Genieße kostenlosen Zugang zu Lerninhalten, vernetze dich mit anderen Schülern und hol dir sofortige Hilfe – alles direkt auf deinem Handy.
24
Smart Tools NEU
Verwandle diesen Lernzettel in: ✓ 50+ Übungsfragen ✓ Interaktive Karteikarten ✓ Komplette Probeklausur ✓ Aufsatzgliederungen
Vertiefte Analyse der Säure-Base-Reaktionen mit Fokus auf Brönsted-Theorie, pH- und pOH-Wertberechnung, Ks/Kb sowie pKs/pKb-Werte. Enthält detaillierte Informationen zur Titrationskurve und den Einsatz von Indikatoren. Ideal für Studierende der Chemie, die ein umfassendes Verständnis der Säure-Base-Dynamik anstreben.
Erfahren Sie alles über chemisches Gleichgewicht, Säure-Base-Reaktionen und die Berechnung des pH-Werts. Diese Zusammenfassung behandelt das Prinzip von Le Chatelier, die Haber-Bosch-Synthese und Protolysegleichungen. Ideal für Studierende der Chemie, die sich auf Prüfungen vorbereiten oder ihr Wissen vertiefen möchten.
Entdecken Sie die verschiedenen Nachweisverfahren für Kohlenhydrate, einschließlich Fehling-Probe, Tollens-Probe, Seliwanow-Probe und GOD-Test. Erfahren Sie, wie diese Tests zur Identifizierung von Glucose, Fructose und anderen Zuckern eingesetzt werden und welche chemischen Reaktionen dabei ablaufen. Ideal für Chemie-Studierende und Prüfungsrelevante Inhalte.
Entdecken Sie die Grundlagen der Aminosäuren, einschließlich ihrer Klassifizierung, Zwitterionen, essentielle und proteinogene Aminosäuren. Erfahren Sie mehr über Peptidbindungen, die Struktur von Proteinen und die Rolle von Enzymen und Hormonen im Körper. Ideal für Studierende der Biochemie und Molekularbiologie.
Diese Zusammenfassung behandelt die Grundlagen der Säure-Base-Gleichgewichte, einschließlich der Autoprotolyse von Wasser, der Berechnung von pH-Werten und der elektrolytischen Dissoziation. Ideal für Chemie-Studierende, die sich auf Klausuren vorbereiten. Enthält wichtige Formeln, Versuchsbeobachtungen und Beispiele zur Anwendung der Brönsted-Theorie.
Erforschen Sie die Grundlagen der Säure-Base-Theorie, einschließlich der Berechnung von pH-Werten, der Protolyse und der Eigenschaften von starken und schwachen Säuren und Basen. Diese Zusammenfassung bietet eine klare Übersicht über die Konzepte der elektrolytischen Dissoziation, Autoprotolyse und korrespondierenden Säure-Base-Paare. Ideal für Studierende der Chemie.
App Store
Google Play
Die App ist sehr einfach zu bedienen und gut gestaltet. Ich habe bisher alles gefunden, wonach ich gesucht habe, und konnte viel aus den Präsentationen lernen! Ich werde die App definitiv für ein Schulprojekt nutzen! Und natürlich hilft sie auch sehr als Inspiration.
Stefan S
iOS-Nutzer
Diese App ist wirklich super. Es gibt so viele Lernzettel und Hilfen [...]. Mein Problemfach ist zum Beispiel Französisch und die App hat so viele Möglichkeiten zur Hilfe. Dank dieser App habe ich mich in Französisch verbessert. Ich würde sie jedem empfehlen.
Samantha Klich
Android-Nutzerin
Wow, ich bin wirklich begeistert. Ich habe die App einfach mal ausprobiert, weil ich sie schon oft beworben gesehen habe und war absolut beeindruckt. Diese App ist DIE HILFE, die man für die Schule braucht und vor allem bietet sie so viele Dinge wie Übungen und Lernzettel, die mir persönlich SEHR geholfen haben.
Anna
iOS-Nutzerin
Beste App der Welt! Keine Worte, weil sie einfach zu gut ist
Thomas R
iOS-Nutzer
Einfach genial. Lässt mich 10x besser lernen, diese App ist eine glatte 10/10. Ich empfehle sie jedem. Ich kann Lernzettel anschauen und suchen. Ich kann sie im Fachordner speichern. Ich kann sie jederzeit wiederholen, wenn ich zurückkomme. Wenn du diese App noch nicht ausprobiert hast, verpasst du wirklich was.
Basil
Android-Nutzer
Diese App hat mich so viel selbstbewusster in meiner Klausurvorbereitung gemacht, nicht nur durch die Stärkung meines Selbstvertrauens durch die Features, die es dir ermöglichen, dich mit anderen zu vernetzen und dich weniger allein zu fühlen, sondern auch durch die Art, wie die App selbst darauf ausgerichtet ist, dass du dich besser fühlst. Sie ist einfach zu bedienen, macht Spaß und hilft jedem, der in irgendeiner Weise Schwierigkeiten hat.
David K
iOS-Nutzer
Die App ist einfach super! Ich muss nur das Thema in die Suche eingeben und bekomme sofort eine Antwort. Ich muss nicht mehr 10 YouTube-Videos schauen, um etwas zu verstehen, und spare dadurch richtig viel Zeit. Sehr empfehlenswert!
Sudenaz Ocak
Android-Nutzerin
In der Schule war ich echt schlecht in Mathe, aber dank der App bin ich jetzt besser geworden. Ich bin so dankbar, dass ihr die App gemacht habt.
Greenlight Bonnie
Android-Nutzerin
sehr zuverlässige App, um deine Ideen in Mathe, Englisch und anderen verwandten Themen zu verbessern. bitte nutze diese App, wenn du in bestimmten Bereichen Schwierigkeiten hast, diese App ist dafür der Schlüssel. wünschte, ich hätte früher eine Bewertung geschrieben. und sie ist auch kostenlos, also mach dir darüber keine Sorgen.
Rohan U
Android-Nutzer
Ich weiß, dass viele Apps gefälschte Accounts nutzen, um ihre Bewertungen zu pushen, aber diese App verdient das alles. Ursprünglich hatte ich eine 4 in meinen Englisch-Klausuren und dieses Mal habe ich eine 2 bekommen. Ich wusste erst drei Tage vor der Klausur von dieser App und sie hat mir SEHR geholfen. Bitte vertrau mir wirklich und nutze sie, denn ich bin sicher, dass auch du Fortschritte sehen wirst.
Xander S
iOS-Nutzer
DIE QUIZZE UND KARTEIKARTEN SIND SO NÜTZLICH UND ICH LIEBE Knowunity KI. ES IST AUCH BUCHSTÄBLICH WIE CHATGPT ABER SCHLAUER!! HAT MIR AUCH BEI MEINEN MASCARA-PROBLEMEN GEHOLFEN!! SOWIE BEI MEINEN ECHTEN FÄCHERN! NATÜRLICH 😍😁😲🤑💗✨🎀😮
Elisha
iOS-Nutzer
Diese App ist echt der Hammer. Ich finde Lernen so langweilig, aber diese App macht es so einfach, alles zu organisieren und dann kannst du die kostenlose KI bitten, dich abzufragen, so gut, und du kannst einfach deine eigenen Sachen hochladen. sehr empfehlenswert als jemand, der gerade Probeklausuren schreibt
Paul T
iOS-Nutzer
Die App ist sehr einfach zu bedienen und gut gestaltet. Ich habe bisher alles gefunden, wonach ich gesucht habe, und konnte viel aus den Präsentationen lernen! Ich werde die App definitiv für ein Schulprojekt nutzen! Und natürlich hilft sie auch sehr als Inspiration.
Stefan S
iOS-Nutzer
Diese App ist wirklich super. Es gibt so viele Lernzettel und Hilfen [...]. Mein Problemfach ist zum Beispiel Französisch und die App hat so viele Möglichkeiten zur Hilfe. Dank dieser App habe ich mich in Französisch verbessert. Ich würde sie jedem empfehlen.
Samantha Klich
Android-Nutzerin
Wow, ich bin wirklich begeistert. Ich habe die App einfach mal ausprobiert, weil ich sie schon oft beworben gesehen habe und war absolut beeindruckt. Diese App ist DIE HILFE, die man für die Schule braucht und vor allem bietet sie so viele Dinge wie Übungen und Lernzettel, die mir persönlich SEHR geholfen haben.
Anna
iOS-Nutzerin
Beste App der Welt! Keine Worte, weil sie einfach zu gut ist
Thomas R
iOS-Nutzer
Einfach genial. Lässt mich 10x besser lernen, diese App ist eine glatte 10/10. Ich empfehle sie jedem. Ich kann Lernzettel anschauen und suchen. Ich kann sie im Fachordner speichern. Ich kann sie jederzeit wiederholen, wenn ich zurückkomme. Wenn du diese App noch nicht ausprobiert hast, verpasst du wirklich was.
Basil
Android-Nutzer
Diese App hat mich so viel selbstbewusster in meiner Klausurvorbereitung gemacht, nicht nur durch die Stärkung meines Selbstvertrauens durch die Features, die es dir ermöglichen, dich mit anderen zu vernetzen und dich weniger allein zu fühlen, sondern auch durch die Art, wie die App selbst darauf ausgerichtet ist, dass du dich besser fühlst. Sie ist einfach zu bedienen, macht Spaß und hilft jedem, der in irgendeiner Weise Schwierigkeiten hat.
David K
iOS-Nutzer
Die App ist einfach super! Ich muss nur das Thema in die Suche eingeben und bekomme sofort eine Antwort. Ich muss nicht mehr 10 YouTube-Videos schauen, um etwas zu verstehen, und spare dadurch richtig viel Zeit. Sehr empfehlenswert!
Sudenaz Ocak
Android-Nutzerin
In der Schule war ich echt schlecht in Mathe, aber dank der App bin ich jetzt besser geworden. Ich bin so dankbar, dass ihr die App gemacht habt.
Greenlight Bonnie
Android-Nutzerin
sehr zuverlässige App, um deine Ideen in Mathe, Englisch und anderen verwandten Themen zu verbessern. bitte nutze diese App, wenn du in bestimmten Bereichen Schwierigkeiten hast, diese App ist dafür der Schlüssel. wünschte, ich hätte früher eine Bewertung geschrieben. und sie ist auch kostenlos, also mach dir darüber keine Sorgen.
Rohan U
Android-Nutzer
Ich weiß, dass viele Apps gefälschte Accounts nutzen, um ihre Bewertungen zu pushen, aber diese App verdient das alles. Ursprünglich hatte ich eine 4 in meinen Englisch-Klausuren und dieses Mal habe ich eine 2 bekommen. Ich wusste erst drei Tage vor der Klausur von dieser App und sie hat mir SEHR geholfen. Bitte vertrau mir wirklich und nutze sie, denn ich bin sicher, dass auch du Fortschritte sehen wirst.
Xander S
iOS-Nutzer
DIE QUIZZE UND KARTEIKARTEN SIND SO NÜTZLICH UND ICH LIEBE Knowunity KI. ES IST AUCH BUCHSTÄBLICH WIE CHATGPT ABER SCHLAUER!! HAT MIR AUCH BEI MEINEN MASCARA-PROBLEMEN GEHOLFEN!! SOWIE BEI MEINEN ECHTEN FÄCHERN! NATÜRLICH 😍😁😲🤑💗✨🎀😮
Elisha
iOS-Nutzer
Diese App ist echt der Hammer. Ich finde Lernen so langweilig, aber diese App macht es so einfach, alles zu organisieren und dann kannst du die kostenlose KI bitten, dich abzufragen, so gut, und du kannst einfach deine eigenen Sachen hochladen. sehr empfehlenswert als jemand, der gerade Probeklausuren schreibt
Paul T
iOS-Nutzer