Die duale Berufsausbildung in Deutschland basiert auf einem System gegenseitiger... Mehr anzeigen
Melde dich an, um den Inhalt zu sehenKostenlos!
Zugriff auf alle Dokumente
Verbessere deine Noten
Schließ dich Millionen Schülern an
Knowunity KI
Fächer
Triangle Congruence and Similarity Theorems
Triangle Properties and Classification
Linear Equations and Graphs
Geometric Angle Relationships
Trigonometric Functions and Identities
Equation Solving Techniques
Circle Geometry Fundamentals
Division Operations and Methods
Basic Differentiation Rules
Exponent and Logarithm Properties
Alle Themen anzeigen
Human Organ Systems
Reproductive Cell Cycles
Biological Sciences Subdisciplines
Cellular Energy Metabolism
Autotrophic Energy Processes
Inheritance Patterns and Principles
Biomolecular Structure and Organization
Cell Cycle and Division Mechanics
Cellular Organization and Development
Biological Structural Organization
Alle Themen anzeigen
Chemical Sciences and Applications
Atomic Structure and Composition
Molecular Electron Structure Representation
Atomic Electron Behavior
Matter Properties and Water
Mole Concept and Calculations
Gas Laws and Behavior
Periodic Table Organization
Chemical Thermodynamics Fundamentals
Chemical Bond Types and Properties
Alle Themen anzeigen
European Renaissance and Enlightenment
European Cultural Movements 800-1920
American Revolution Era 1763-1797
American Civil War 1861-1865
Global Imperial Systems
Mongol and Chinese Dynasties
U.S. Presidents and World Leaders
Historical Sources and Documentation
World Wars Era and Impact
World Religious Systems
Alle Themen anzeigen
Classic and Contemporary Novels
Literary Character Analysis
Rhetorical Theory and Practice
Classic Literary Narratives
Reading Analysis and Interpretation
Narrative Structure and Techniques
English Language Components
Influential English-Language Authors
Basic Sentence Structure
Narrative Voice and Perspective
Alle Themen anzeigen
2,519
•
Aktualisiert Mar 22, 2026
•
Lisa
@lisa_01
Die duale Berufsausbildung in Deutschland basiert auf einem System gegenseitiger... Mehr anzeigen











Als Auszubildender hast du Pflichten, die im §13 BBiG festgelegt sind. Du musst übertragene Aufgaben sorgfältig ausführen, am Berufsschulunterricht teilnehmen und Weisungen im Rahmen der Ausbildung befolgen. Zudem solltest du Werkzeuge pfleglich behandeln, die Betriebsordnung beachten und über Geschäftsgeheimnisse Stillschweigen bewahren.
Dein Ausbilder hat ebenfalls Pflichten (§§ 14, 15, 17 BBiG). Er muss dafür sorgen, dass dir alle notwendigen Kenntnisse und Fertigkeiten vermittelt werden. Außerdem muss er kostenlos Ausbildungsmittel bereitstellen, dich zum Berufsschulbesuch anhalten und für Prüfungen freistellen.
Gut zu wissen: Der Ausbilder hat eine Fürsorgepflicht! Er darf dir nur Tätigkeiten übertragen, die dem Ausbildungszweck dienen und deinen körperlichen Kräften angemessen sind.
Zu den weiteren Pflichten des Ausbilders gehört die Zahlung einer angemessenen Vergütung, die Gewährung von jährlichem Urlaub und das Ausstellen eines Zeugnisses am Ende der Ausbildung. Überstunden müssen entweder besonders vergütet oder durch Freizeit ausgeglichen werden. Das faire Zusammenspiel dieser Rechte und Pflichten bildet die Grundlage für eine erfolgreiche Ausbildung.

Die duale Berufsausbildung verbindet praktische Erfahrungen im Betrieb mit theoretischem Unterricht in der Berufsschule. Dein Ausbildungsvertrag enthält alle wichtigen Informationen wie persönliche Daten, Vergütung, Arbeitszeit, Urlaubsanspruch, Ausbildungsdauer und Kündigungsbedingungen.
Während die Berufsschule für die theoretische Ausbildung und die Erweiterung deiner Allgemeinbildung zuständig ist, vermittelt der Ausbildungsbetrieb die praktischen Fähigkeiten und Fertigkeiten. Diese beiden Lernorte arbeiten Hand in Hand, um dir eine umfassende Berufsausbildung zu ermöglichen.
Die rechtlichen Grundlagen unterscheiden sich dabei: Die Berufsschule unterliegt den Schulgesetzen und Rahmenplänen des Kultusministeriums, während der Ausbildungsbetrieb nach dem Berufsbildungsgesetz (BBiG) und den Ausbildungsordnungen der zuständigen Kammern (z.B. IHK) arbeitet.
Wichtig für dich: Dein Ausbildungsvertrag wird nach Abschluss in das Verzeichnis der jeweiligen Kammer (z.B. IHK) eingetragen. Dies ist eine wichtige formale Voraussetzung für die Anerkennung deiner Ausbildung.

Das Berufsbildungsgesetz (BBiG) gilt für alle Auszubildenden, während das Jugendarbeitsschutzgesetz (JArbSchG) speziell Jugendliche unter 18 Jahren schützt. Wenn du unter 18 bist, gelten für dich also beide Gesetze gleichzeitig!
Das JArbSchG enthält ein Züchtigungsverbot (§31), das dich vor körperlichen Misshandlungen oder Gefährdungen schützt. Dein Ausbilder darf dir zudem keine alkoholischen Getränke oder Tabakwaren geben, wenn du noch nicht alt genug dafür bist.
Vor Beginn deiner Ausbildung musst du eine Erstuntersuchung nachweisen (§32). Diese ärztliche Untersuchung darf nicht älter als 14 Monate sein und soll sicherstellen, dass du gesundheitlich für die Ausbildung geeignet bist.
Besonders wichtig: Als Jugendlicher darfst du nicht mit gefährlichen Arbeiten (§22) betraut werden, die deine physische oder psychische Leistungsfähigkeit übersteigen oder mit besonderen Unfallgefahren verbunden sind. Auch Arbeiten mit extremen Temperaturen, schädlichen Einwirkungen wie Lärm oder Strahlung und gefährlichen Stoffen sind grundsätzlich verboten.
Es gibt jedoch Ausnahmen von diesem Verbot: Wenn bestimmte Arbeiten für dein Ausbildungsziel notwendig sind und dein Schutz gewährleistet ist, darfst du diese unter Aufsicht ausführen. In manchen Fällen ist dann eine betriebsärztliche Betreuung erforderlich.

Als jugendlicher Auszubildender darfst du laut §8 JArbSchG nicht länger als 8 Stunden täglich und 40 Stunden wöchentlich arbeiten. In Ausnahmefällen darf die tägliche Arbeitszeit auf 8,5 Stunden ausgedehnt werden, wenn sie an anderen Tagen entsprechend verkürzt wird.
Das Gesetz schreibt eine 5-Tage-Woche (§15) vor. Du darfst nur an fünf Tagen in der Woche beschäftigt werden, und die beiden freien Tage müssen aufeinanderfolgend sein. Außerdem musst du zwischen zwei Arbeitstagen mindestens 12 Stunden Freizeit (§13) haben.
Zwischen 20 Uhr und 6 Uhr gilt die Nachtruhe (§14). Für über 16-Jährige gibt es Ausnahmen: In Gaststätten darfst du bis 22 Uhr, im Mehrschichtbetrieb bis 23 Uhr und in Bäckereien ab 5 Uhr arbeiten.
Wichtig für deinen Alltag: Bei einer Arbeitszeit von 4,5 bis 6 Stunden steht dir eine Pause von 30 Minuten zu. Bei mehr als 6 Stunden sogar 60 Minuten. Die Pausen müssen mindestens 15 Minuten am Stück betragen und dürfen nicht am Anfang oder Ende der Arbeitszeit liegen.
Dein Urlaubsanspruch (§19) ist altersabhängig: Wenn du zu Jahresbeginn noch nicht 16 Jahre alt bist, hast du Anspruch auf mindestens 30 Tage Urlaub. Mit 16-17 Jahren sind es 27 Tage und mit 17-18 Jahren noch 25 Tage. Im Bergbau erhöht sich dieser Anspruch um weitere 3 Tage.

Das Jugendarbeitsschutzgesetz enthält viele Regelungen, die deinen Arbeitsalltag als junger Auszubildender betreffen. Hier sind die wichtigsten auf einen Blick:
Beim Thema Alkohol (§31) gilt: Unter 16 Jahren ist Alkohol komplett verboten, unter 18 Jahren darfst du keinen Branntwein konsumieren. Das Züchtigungsverbot (§31) schützt dich vor jeder Form von körperlicher Bestrafung.
Deine Arbeitszeit (§8) darf maximal 8 Stunden täglich und 40 Stunden wöchentlich betragen. In Ausnahmefällen sind 8,5 Stunden möglich, wenn ein Ausgleich erfolgt. Die Nachtruhe (§14) legt fest, dass du grundsätzlich nur zwischen 6:00 und 22:00 Uhr beschäftigt werden darfst.
Prüfungsrelevant: Für Pausen (§11) gilt: Bei 4,5 bis 6 Stunden Arbeitszeit stehen dir 30 Minuten Pause zu, bei mehr als 6 Stunden sogar 60 Minuten. Nach spätestens 4,5 Stunden muss eine Pause von mindestens 15 Minuten eingelegt werden.
Die 5-Tage-Woche (§15) garantiert dir zwei zusammenhängende Ruhetage, und zwischen zwei Arbeitstagen müssen mindestens 12 Stunden Freizeit (§13) liegen.
Vor Beginn der Ausbildung ist eine Erstuntersuchung (§32) erforderlich, die nicht älter als 14 Monate sein darf. Eine Nachuntersuchung folgt ein Jahr später. Besonders wichtig ist das Verbot gefährlicher Arbeiten (§22), um deine Gesundheit zu schützen.

Grundsätzlich gilt für Kündigungen eine Frist von vier Wochen (28 Tagen). Sie kann zum 15. oder zum Ende eines Monats ausgesprochen werden. Eine Ausnahme bildet die Probezeit, in der die Kündigungsfrist nur zwei Wochen beträgt.
Für Arbeitgeber gelten bei langjährigen Mitarbeitern verlängerte Kündigungsfristen: Ab 2 Jahren Betriebszugehörigkeit beträgt sie einen Monat zum Monatsende und steigt dann stufenweise an. Nach 20 Jahren sind es bereits 7 Monate. Für Arbeitnehmer bleibt es jedoch bei der gesetzlichen Kündigungsfrist.
Vor jeder Kündigung muss der Betriebsrat angehört werden. Geschieht dies nicht, ist die Kündigung unwirksam. Der Prozess läuft dann wie folgt ab:
Wichtig zu wissen: Wenn du gegen eine Kündigung vorgehen möchtest, musst du innerhalb von drei Wochen nach Erhalt der Kündigung Klage beim Arbeitsgericht einreichen. Verpasst du diese Frist, gilt die Kündigung automatisch als wirksam!
Eine Kündigung muss immer schriftlich erfolgen. Mündliche Kündigungen sind unwirksam und können ignoriert werden.

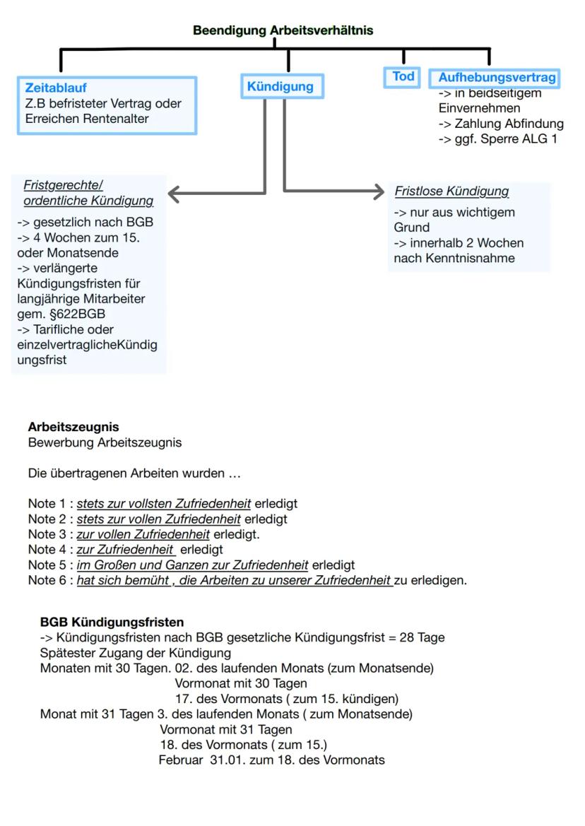
Ein Arbeitsverhältnis kann auf verschiedene Arten enden. Neben der Kündigung gibt es die Beendigung durch Zeitablauf (bei befristeten Verträgen), durch Tod des Arbeitnehmers oder durch einen Aufhebungsvertrag, der in beidseitigem Einvernehmen geschlossen wird.
Bei Kündigungen unterscheidet man zwischen fristgerechter (ordentlicher) Kündigung und fristloser Kündigung. Die fristgerechte Kündigung erfolgt mit den gesetzlichen Fristen (4 Wochen zum 15. oder Monatsende), während die fristlose Kündigung nur aus wichtigem Grund und innerhalb von zwei Wochen nach Kenntnisnahme des Grundes möglich ist.
Nach Ende eines Arbeitsverhältnisses hast du Anspruch auf ein Arbeitszeugnis. Die Formulierungen folgen dabei einem bestimmten Code:
Praxistipp: Bei der Berechnung von Kündigungsfristen nach BGB beachte: Der Tag des Zugangs der Kündigung zählt nicht zu den 28 Tagen! Beispiel: Kündigung am 2. März bedeutet bei einem 31-Tage-Monat letzter Arbeitstag am 31. März.
Bei einem Aufhebungsvertrag einigt man sich gemeinsam auf die Beendigung des Arbeitsverhältnisses. Oft wird eine Abfindung gezahlt, jedoch kann dies zu einer Sperre beim Arbeitslosengeld 1 führen.

Es gibt zwei Arten von Arbeitszeugnissen: Das einfache Arbeitszeugnis muss der Arbeitgeber verpflichtend ausstellen und enthält nur Angaben zu Art und Dauer der Beschäftigung. Das qualifizierte Arbeitszeugnis wird auf Wunsch des Arbeitnehmers ausgestellt und enthält zusätzlich Bewertungen zu Führung (Sozialverhalten) und Leistung (Arbeitsverhalten).
Ein qualifiziertes Zeugnis muss zwei wichtige Kriterien erfüllen: Es muss wohlwollend formuliert sein, aber gleichzeitig auch wahrheitsgemäß. Diese Balance ist oft schwierig und führt zu den bekannten "Zeugniscodes".
Die Grundlagen von Arbeitsverhältnissen basieren auf einem vierstufigen System:
Wichtig für deine Rechte: Jede höhere Ebene muss mindestens die Bedingungen der vorhergehenden Ebene erfüllen. Sie darf nur zu deinen Gunsten von ihr abweichen, nicht zu deinen Ungunsten!
Dieses Stufensystem sorgt dafür, dass deine Rechte auf mehreren Ebenen geschützt sind und gleichzeitig Flexibilität für individuelle Vereinbarungen besteht.

Der Arbeitsvertrag ist rechtlich eine besondere Art des Dienstvertrages nach §611 BGB. Er regelt den Austausch zwischen Entlohnung (Arbeitgeber) und Arbeitsleistung (Arbeitnehmer). Grundsätzlich ist er formfrei, muss also nicht schriftlich abgeschlossen werden. Allerdings gilt: Bei befristeten Arbeitsverträgen ist die Schriftform zwingend erforderlich!
Nach dem Nachweisgesetz muss der Arbeitgeber bei längeren Arbeitsverhältnissen (mehr als 1 Monat) die wesentlichen Vertragsbedingungen schriftlich festhalten. Dazu gehören Name und Anschrift, Art der Tätigkeit, Beginn und Dauer, Arbeitsort, Arbeitszeit, Vergütung, Urlaubsdauer und Kündigungsfristen.
Ein Arbeitsverhältnis kann mit einer Probezeit beginnen, die maximal 6 Monate dauern darf. Während dieser Zeit gilt eine verkürzte Kündigungsfrist von 2 Wochen, und es ist keine Begründung für eine Kündigung erforderlich.
Besonders wichtig: Bei einem befristeten Arbeitsvertrag gilt - wenn die Befristung nur wegen fehlender Schriftform unwirksam ist - das Arbeitsverhältnis als unbefristet, kann aber trotzdem regulär gekündigt werden.
Die Pflichten des Arbeitnehmers umfassen die Dienstleistungs- und Weisungspflicht, die Treupflicht (Verschwiegenheit, keine rufschädigenden Äußerungen) sowie das Wettbewerbsverbot. Der Arbeitgeber hat eine Fürsorgepflicht (Gesundheitsschutz, Sozialversicherungsanmeldung), muss das Entgelt rechtzeitig zahlen und Urlaub gewähren (mindestens 24 Werktage nach Bundesurlaubsgesetz).

Die gesetzliche Kündigungsfrist nach BGB beträgt 28 Tage. Dabei ist wichtig zu wissen, dass der Tag des Zugangs der Kündigung nicht zu diesen 28 Tagen zählt! Die Kündigung kann entweder zum Monatsende oder zum 15. eines Monats erfolgen.
Willst du zum Monatsende kündigen, muss die Kündigung spätestens zugehen:
Für eine Kündigung zum 15. eines Monats gilt:
Praxisbeispiel: Wenn du heute, am 12.05., eine Kündigung aussprichst, zählst du 28 Tage dazu und kommst auf den 09.06. Da das nach dem 15.06. liegt, wäre der letzte Arbeitstag der 30.06.
Weitere Beispiele:
Diese Berechnungsweise ist besonders wichtig, wenn du deinen Arbeitsplatz wechseln möchtest und den genauen Zeitpunkt deines Ausscheidens kennen musst.
Unser KI-Begleiter ist ein speziell für Schüler entwickeltes KI-Tool, das mehr als nur Antworten bietet. Basierend auf Millionen von Knowunity-Inhalten liefert er relevante Informationen, personalisierte Lernpläne, Quizze und Inhalte direkt im Chat und passt sich deinem individuellen Lernweg an.
Du kannst die App im Google Play Store und im Apple App Store herunterladen.
Genau! Genieße kostenlosen Zugang zu Lerninhalten, vernetze dich mit anderen Schülern und hol dir sofortige Hilfe – alles direkt auf deinem Handy.
App Store
Google Play
Die App ist sehr einfach zu bedienen und gut gestaltet. Ich habe bisher alles gefunden, wonach ich gesucht habe, und konnte viel aus den Präsentationen lernen! Ich werde die App definitiv für ein Schulprojekt nutzen! Und natürlich hilft sie auch sehr als Inspiration.
Stefan S
iOS-Nutzer
Diese App ist wirklich super. Es gibt so viele Lernzettel und Hilfen [...]. Mein Problemfach ist zum Beispiel Französisch und die App hat so viele Möglichkeiten zur Hilfe. Dank dieser App habe ich mich in Französisch verbessert. Ich würde sie jedem empfehlen.
Samantha Klich
Android-Nutzerin
Wow, ich bin wirklich begeistert. Ich habe die App einfach mal ausprobiert, weil ich sie schon oft beworben gesehen habe und war absolut beeindruckt. Diese App ist DIE HILFE, die man für die Schule braucht und vor allem bietet sie so viele Dinge wie Übungen und Lernzettel, die mir persönlich SEHR geholfen haben.
Anna
iOS-Nutzerin
Beste App der Welt! Keine Worte, weil sie einfach zu gut ist
Thomas R
iOS-Nutzer
Einfach genial. Lässt mich 10x besser lernen, diese App ist eine glatte 10/10. Ich empfehle sie jedem. Ich kann Lernzettel anschauen und suchen. Ich kann sie im Fachordner speichern. Ich kann sie jederzeit wiederholen, wenn ich zurückkomme. Wenn du diese App noch nicht ausprobiert hast, verpasst du wirklich was.
Basil
Android-Nutzer
Diese App hat mich so viel selbstbewusster in meiner Klausurvorbereitung gemacht, nicht nur durch die Stärkung meines Selbstvertrauens durch die Features, die es dir ermöglichen, dich mit anderen zu vernetzen und dich weniger allein zu fühlen, sondern auch durch die Art, wie die App selbst darauf ausgerichtet ist, dass du dich besser fühlst. Sie ist einfach zu bedienen, macht Spaß und hilft jedem, der in irgendeiner Weise Schwierigkeiten hat.
David K
iOS-Nutzer
Die App ist einfach super! Ich muss nur das Thema in die Suche eingeben und bekomme sofort eine Antwort. Ich muss nicht mehr 10 YouTube-Videos schauen, um etwas zu verstehen, und spare dadurch richtig viel Zeit. Sehr empfehlenswert!
Sudenaz Ocak
Android-Nutzerin
In der Schule war ich echt schlecht in Mathe, aber dank der App bin ich jetzt besser geworden. Ich bin so dankbar, dass ihr die App gemacht habt.
Greenlight Bonnie
Android-Nutzerin
sehr zuverlässige App, um deine Ideen in Mathe, Englisch und anderen verwandten Themen zu verbessern. bitte nutze diese App, wenn du in bestimmten Bereichen Schwierigkeiten hast, diese App ist dafür der Schlüssel. wünschte, ich hätte früher eine Bewertung geschrieben. und sie ist auch kostenlos, also mach dir darüber keine Sorgen.
Rohan U
Android-Nutzer
Ich weiß, dass viele Apps gefälschte Accounts nutzen, um ihre Bewertungen zu pushen, aber diese App verdient das alles. Ursprünglich hatte ich eine 4 in meinen Englisch-Klausuren und dieses Mal habe ich eine 2 bekommen. Ich wusste erst drei Tage vor der Klausur von dieser App und sie hat mir SEHR geholfen. Bitte vertrau mir wirklich und nutze sie, denn ich bin sicher, dass auch du Fortschritte sehen wirst.
Xander S
iOS-Nutzer
DIE QUIZZE UND KARTEIKARTEN SIND SO NÜTZLICH UND ICH LIEBE Knowunity KI. ES IST AUCH BUCHSTÄBLICH WIE CHATGPT ABER SCHLAUER!! HAT MIR AUCH BEI MEINEN MASCARA-PROBLEMEN GEHOLFEN!! SOWIE BEI MEINEN ECHTEN FÄCHERN! NATÜRLICH 😍😁😲🤑💗✨🎀😮
Elisha
iOS-Nutzer
Diese App ist echt der Hammer. Ich finde Lernen so langweilig, aber diese App macht es so einfach, alles zu organisieren und dann kannst du die kostenlose KI bitten, dich abzufragen, so gut, und du kannst einfach deine eigenen Sachen hochladen. sehr empfehlenswert als jemand, der gerade Probeklausuren schreibt
Paul T
iOS-Nutzer
Die App ist sehr einfach zu bedienen und gut gestaltet. Ich habe bisher alles gefunden, wonach ich gesucht habe, und konnte viel aus den Präsentationen lernen! Ich werde die App definitiv für ein Schulprojekt nutzen! Und natürlich hilft sie auch sehr als Inspiration.
Stefan S
iOS-Nutzer
Diese App ist wirklich super. Es gibt so viele Lernzettel und Hilfen [...]. Mein Problemfach ist zum Beispiel Französisch und die App hat so viele Möglichkeiten zur Hilfe. Dank dieser App habe ich mich in Französisch verbessert. Ich würde sie jedem empfehlen.
Samantha Klich
Android-Nutzerin
Wow, ich bin wirklich begeistert. Ich habe die App einfach mal ausprobiert, weil ich sie schon oft beworben gesehen habe und war absolut beeindruckt. Diese App ist DIE HILFE, die man für die Schule braucht und vor allem bietet sie so viele Dinge wie Übungen und Lernzettel, die mir persönlich SEHR geholfen haben.
Anna
iOS-Nutzerin
Beste App der Welt! Keine Worte, weil sie einfach zu gut ist
Thomas R
iOS-Nutzer
Einfach genial. Lässt mich 10x besser lernen, diese App ist eine glatte 10/10. Ich empfehle sie jedem. Ich kann Lernzettel anschauen und suchen. Ich kann sie im Fachordner speichern. Ich kann sie jederzeit wiederholen, wenn ich zurückkomme. Wenn du diese App noch nicht ausprobiert hast, verpasst du wirklich was.
Basil
Android-Nutzer
Diese App hat mich so viel selbstbewusster in meiner Klausurvorbereitung gemacht, nicht nur durch die Stärkung meines Selbstvertrauens durch die Features, die es dir ermöglichen, dich mit anderen zu vernetzen und dich weniger allein zu fühlen, sondern auch durch die Art, wie die App selbst darauf ausgerichtet ist, dass du dich besser fühlst. Sie ist einfach zu bedienen, macht Spaß und hilft jedem, der in irgendeiner Weise Schwierigkeiten hat.
David K
iOS-Nutzer
Die App ist einfach super! Ich muss nur das Thema in die Suche eingeben und bekomme sofort eine Antwort. Ich muss nicht mehr 10 YouTube-Videos schauen, um etwas zu verstehen, und spare dadurch richtig viel Zeit. Sehr empfehlenswert!
Sudenaz Ocak
Android-Nutzerin
In der Schule war ich echt schlecht in Mathe, aber dank der App bin ich jetzt besser geworden. Ich bin so dankbar, dass ihr die App gemacht habt.
Greenlight Bonnie
Android-Nutzerin
sehr zuverlässige App, um deine Ideen in Mathe, Englisch und anderen verwandten Themen zu verbessern. bitte nutze diese App, wenn du in bestimmten Bereichen Schwierigkeiten hast, diese App ist dafür der Schlüssel. wünschte, ich hätte früher eine Bewertung geschrieben. und sie ist auch kostenlos, also mach dir darüber keine Sorgen.
Rohan U
Android-Nutzer
Ich weiß, dass viele Apps gefälschte Accounts nutzen, um ihre Bewertungen zu pushen, aber diese App verdient das alles. Ursprünglich hatte ich eine 4 in meinen Englisch-Klausuren und dieses Mal habe ich eine 2 bekommen. Ich wusste erst drei Tage vor der Klausur von dieser App und sie hat mir SEHR geholfen. Bitte vertrau mir wirklich und nutze sie, denn ich bin sicher, dass auch du Fortschritte sehen wirst.
Xander S
iOS-Nutzer
DIE QUIZZE UND KARTEIKARTEN SIND SO NÜTZLICH UND ICH LIEBE Knowunity KI. ES IST AUCH BUCHSTÄBLICH WIE CHATGPT ABER SCHLAUER!! HAT MIR AUCH BEI MEINEN MASCARA-PROBLEMEN GEHOLFEN!! SOWIE BEI MEINEN ECHTEN FÄCHERN! NATÜRLICH 😍😁😲🤑💗✨🎀😮
Elisha
iOS-Nutzer
Diese App ist echt der Hammer. Ich finde Lernen so langweilig, aber diese App macht es so einfach, alles zu organisieren und dann kannst du die kostenlose KI bitten, dich abzufragen, so gut, und du kannst einfach deine eigenen Sachen hochladen. sehr empfehlenswert als jemand, der gerade Probeklausuren schreibt
Paul T
iOS-Nutzer
Lisa
@lisa_01
Die duale Berufsausbildung in Deutschland basiert auf einem System gegenseitiger Rechte und Pflichten. Sowohl Auszubildende als auch Ausbildende haben klar definierte Verantwortlichkeiten, die durch verschiedene Gesetze wie das Berufsbildungsgesetz (BBiG) und das Jugendarbeitsschutzgesetz (JArbSchG) geregelt sind. Diese Zusammenfassung erklärt dir... Mehr anzeigen

Zugriff auf alle Dokumente
Verbessere deine Noten
Schließ dich Millionen Schülern an
Als Auszubildender hast du Pflichten, die im §13 BBiG festgelegt sind. Du musst übertragene Aufgaben sorgfältig ausführen, am Berufsschulunterricht teilnehmen und Weisungen im Rahmen der Ausbildung befolgen. Zudem solltest du Werkzeuge pfleglich behandeln, die Betriebsordnung beachten und über Geschäftsgeheimnisse Stillschweigen bewahren.
Dein Ausbilder hat ebenfalls Pflichten (§§ 14, 15, 17 BBiG). Er muss dafür sorgen, dass dir alle notwendigen Kenntnisse und Fertigkeiten vermittelt werden. Außerdem muss er kostenlos Ausbildungsmittel bereitstellen, dich zum Berufsschulbesuch anhalten und für Prüfungen freistellen.
Gut zu wissen: Der Ausbilder hat eine Fürsorgepflicht! Er darf dir nur Tätigkeiten übertragen, die dem Ausbildungszweck dienen und deinen körperlichen Kräften angemessen sind.
Zu den weiteren Pflichten des Ausbilders gehört die Zahlung einer angemessenen Vergütung, die Gewährung von jährlichem Urlaub und das Ausstellen eines Zeugnisses am Ende der Ausbildung. Überstunden müssen entweder besonders vergütet oder durch Freizeit ausgeglichen werden. Das faire Zusammenspiel dieser Rechte und Pflichten bildet die Grundlage für eine erfolgreiche Ausbildung.

Zugriff auf alle Dokumente
Verbessere deine Noten
Schließ dich Millionen Schülern an
Die duale Berufsausbildung verbindet praktische Erfahrungen im Betrieb mit theoretischem Unterricht in der Berufsschule. Dein Ausbildungsvertrag enthält alle wichtigen Informationen wie persönliche Daten, Vergütung, Arbeitszeit, Urlaubsanspruch, Ausbildungsdauer und Kündigungsbedingungen.
Während die Berufsschule für die theoretische Ausbildung und die Erweiterung deiner Allgemeinbildung zuständig ist, vermittelt der Ausbildungsbetrieb die praktischen Fähigkeiten und Fertigkeiten. Diese beiden Lernorte arbeiten Hand in Hand, um dir eine umfassende Berufsausbildung zu ermöglichen.
Die rechtlichen Grundlagen unterscheiden sich dabei: Die Berufsschule unterliegt den Schulgesetzen und Rahmenplänen des Kultusministeriums, während der Ausbildungsbetrieb nach dem Berufsbildungsgesetz (BBiG) und den Ausbildungsordnungen der zuständigen Kammern (z.B. IHK) arbeitet.
Wichtig für dich: Dein Ausbildungsvertrag wird nach Abschluss in das Verzeichnis der jeweiligen Kammer (z.B. IHK) eingetragen. Dies ist eine wichtige formale Voraussetzung für die Anerkennung deiner Ausbildung.

Zugriff auf alle Dokumente
Verbessere deine Noten
Schließ dich Millionen Schülern an
Das Berufsbildungsgesetz (BBiG) gilt für alle Auszubildenden, während das Jugendarbeitsschutzgesetz (JArbSchG) speziell Jugendliche unter 18 Jahren schützt. Wenn du unter 18 bist, gelten für dich also beide Gesetze gleichzeitig!
Das JArbSchG enthält ein Züchtigungsverbot (§31), das dich vor körperlichen Misshandlungen oder Gefährdungen schützt. Dein Ausbilder darf dir zudem keine alkoholischen Getränke oder Tabakwaren geben, wenn du noch nicht alt genug dafür bist.
Vor Beginn deiner Ausbildung musst du eine Erstuntersuchung nachweisen (§32). Diese ärztliche Untersuchung darf nicht älter als 14 Monate sein und soll sicherstellen, dass du gesundheitlich für die Ausbildung geeignet bist.
Besonders wichtig: Als Jugendlicher darfst du nicht mit gefährlichen Arbeiten (§22) betraut werden, die deine physische oder psychische Leistungsfähigkeit übersteigen oder mit besonderen Unfallgefahren verbunden sind. Auch Arbeiten mit extremen Temperaturen, schädlichen Einwirkungen wie Lärm oder Strahlung und gefährlichen Stoffen sind grundsätzlich verboten.
Es gibt jedoch Ausnahmen von diesem Verbot: Wenn bestimmte Arbeiten für dein Ausbildungsziel notwendig sind und dein Schutz gewährleistet ist, darfst du diese unter Aufsicht ausführen. In manchen Fällen ist dann eine betriebsärztliche Betreuung erforderlich.

Zugriff auf alle Dokumente
Verbessere deine Noten
Schließ dich Millionen Schülern an
Als jugendlicher Auszubildender darfst du laut §8 JArbSchG nicht länger als 8 Stunden täglich und 40 Stunden wöchentlich arbeiten. In Ausnahmefällen darf die tägliche Arbeitszeit auf 8,5 Stunden ausgedehnt werden, wenn sie an anderen Tagen entsprechend verkürzt wird.
Das Gesetz schreibt eine 5-Tage-Woche (§15) vor. Du darfst nur an fünf Tagen in der Woche beschäftigt werden, und die beiden freien Tage müssen aufeinanderfolgend sein. Außerdem musst du zwischen zwei Arbeitstagen mindestens 12 Stunden Freizeit (§13) haben.
Zwischen 20 Uhr und 6 Uhr gilt die Nachtruhe (§14). Für über 16-Jährige gibt es Ausnahmen: In Gaststätten darfst du bis 22 Uhr, im Mehrschichtbetrieb bis 23 Uhr und in Bäckereien ab 5 Uhr arbeiten.
Wichtig für deinen Alltag: Bei einer Arbeitszeit von 4,5 bis 6 Stunden steht dir eine Pause von 30 Minuten zu. Bei mehr als 6 Stunden sogar 60 Minuten. Die Pausen müssen mindestens 15 Minuten am Stück betragen und dürfen nicht am Anfang oder Ende der Arbeitszeit liegen.
Dein Urlaubsanspruch (§19) ist altersabhängig: Wenn du zu Jahresbeginn noch nicht 16 Jahre alt bist, hast du Anspruch auf mindestens 30 Tage Urlaub. Mit 16-17 Jahren sind es 27 Tage und mit 17-18 Jahren noch 25 Tage. Im Bergbau erhöht sich dieser Anspruch um weitere 3 Tage.

Zugriff auf alle Dokumente
Verbessere deine Noten
Schließ dich Millionen Schülern an
Das Jugendarbeitsschutzgesetz enthält viele Regelungen, die deinen Arbeitsalltag als junger Auszubildender betreffen. Hier sind die wichtigsten auf einen Blick:
Beim Thema Alkohol (§31) gilt: Unter 16 Jahren ist Alkohol komplett verboten, unter 18 Jahren darfst du keinen Branntwein konsumieren. Das Züchtigungsverbot (§31) schützt dich vor jeder Form von körperlicher Bestrafung.
Deine Arbeitszeit (§8) darf maximal 8 Stunden täglich und 40 Stunden wöchentlich betragen. In Ausnahmefällen sind 8,5 Stunden möglich, wenn ein Ausgleich erfolgt. Die Nachtruhe (§14) legt fest, dass du grundsätzlich nur zwischen 6:00 und 22:00 Uhr beschäftigt werden darfst.
Prüfungsrelevant: Für Pausen (§11) gilt: Bei 4,5 bis 6 Stunden Arbeitszeit stehen dir 30 Minuten Pause zu, bei mehr als 6 Stunden sogar 60 Minuten. Nach spätestens 4,5 Stunden muss eine Pause von mindestens 15 Minuten eingelegt werden.
Die 5-Tage-Woche (§15) garantiert dir zwei zusammenhängende Ruhetage, und zwischen zwei Arbeitstagen müssen mindestens 12 Stunden Freizeit (§13) liegen.
Vor Beginn der Ausbildung ist eine Erstuntersuchung (§32) erforderlich, die nicht älter als 14 Monate sein darf. Eine Nachuntersuchung folgt ein Jahr später. Besonders wichtig ist das Verbot gefährlicher Arbeiten (§22), um deine Gesundheit zu schützen.

Zugriff auf alle Dokumente
Verbessere deine Noten
Schließ dich Millionen Schülern an
Grundsätzlich gilt für Kündigungen eine Frist von vier Wochen (28 Tagen). Sie kann zum 15. oder zum Ende eines Monats ausgesprochen werden. Eine Ausnahme bildet die Probezeit, in der die Kündigungsfrist nur zwei Wochen beträgt.
Für Arbeitgeber gelten bei langjährigen Mitarbeitern verlängerte Kündigungsfristen: Ab 2 Jahren Betriebszugehörigkeit beträgt sie einen Monat zum Monatsende und steigt dann stufenweise an. Nach 20 Jahren sind es bereits 7 Monate. Für Arbeitnehmer bleibt es jedoch bei der gesetzlichen Kündigungsfrist.
Vor jeder Kündigung muss der Betriebsrat angehört werden. Geschieht dies nicht, ist die Kündigung unwirksam. Der Prozess läuft dann wie folgt ab:
Wichtig zu wissen: Wenn du gegen eine Kündigung vorgehen möchtest, musst du innerhalb von drei Wochen nach Erhalt der Kündigung Klage beim Arbeitsgericht einreichen. Verpasst du diese Frist, gilt die Kündigung automatisch als wirksam!
Eine Kündigung muss immer schriftlich erfolgen. Mündliche Kündigungen sind unwirksam und können ignoriert werden.

Zugriff auf alle Dokumente
Verbessere deine Noten
Schließ dich Millionen Schülern an
Ein Arbeitsverhältnis kann auf verschiedene Arten enden. Neben der Kündigung gibt es die Beendigung durch Zeitablauf (bei befristeten Verträgen), durch Tod des Arbeitnehmers oder durch einen Aufhebungsvertrag, der in beidseitigem Einvernehmen geschlossen wird.
Bei Kündigungen unterscheidet man zwischen fristgerechter (ordentlicher) Kündigung und fristloser Kündigung. Die fristgerechte Kündigung erfolgt mit den gesetzlichen Fristen (4 Wochen zum 15. oder Monatsende), während die fristlose Kündigung nur aus wichtigem Grund und innerhalb von zwei Wochen nach Kenntnisnahme des Grundes möglich ist.
Nach Ende eines Arbeitsverhältnisses hast du Anspruch auf ein Arbeitszeugnis. Die Formulierungen folgen dabei einem bestimmten Code:
Praxistipp: Bei der Berechnung von Kündigungsfristen nach BGB beachte: Der Tag des Zugangs der Kündigung zählt nicht zu den 28 Tagen! Beispiel: Kündigung am 2. März bedeutet bei einem 31-Tage-Monat letzter Arbeitstag am 31. März.
Bei einem Aufhebungsvertrag einigt man sich gemeinsam auf die Beendigung des Arbeitsverhältnisses. Oft wird eine Abfindung gezahlt, jedoch kann dies zu einer Sperre beim Arbeitslosengeld 1 führen.

Zugriff auf alle Dokumente
Verbessere deine Noten
Schließ dich Millionen Schülern an
Es gibt zwei Arten von Arbeitszeugnissen: Das einfache Arbeitszeugnis muss der Arbeitgeber verpflichtend ausstellen und enthält nur Angaben zu Art und Dauer der Beschäftigung. Das qualifizierte Arbeitszeugnis wird auf Wunsch des Arbeitnehmers ausgestellt und enthält zusätzlich Bewertungen zu Führung (Sozialverhalten) und Leistung (Arbeitsverhalten).
Ein qualifiziertes Zeugnis muss zwei wichtige Kriterien erfüllen: Es muss wohlwollend formuliert sein, aber gleichzeitig auch wahrheitsgemäß. Diese Balance ist oft schwierig und führt zu den bekannten "Zeugniscodes".
Die Grundlagen von Arbeitsverhältnissen basieren auf einem vierstufigen System:
Wichtig für deine Rechte: Jede höhere Ebene muss mindestens die Bedingungen der vorhergehenden Ebene erfüllen. Sie darf nur zu deinen Gunsten von ihr abweichen, nicht zu deinen Ungunsten!
Dieses Stufensystem sorgt dafür, dass deine Rechte auf mehreren Ebenen geschützt sind und gleichzeitig Flexibilität für individuelle Vereinbarungen besteht.

Zugriff auf alle Dokumente
Verbessere deine Noten
Schließ dich Millionen Schülern an
Der Arbeitsvertrag ist rechtlich eine besondere Art des Dienstvertrages nach §611 BGB. Er regelt den Austausch zwischen Entlohnung (Arbeitgeber) und Arbeitsleistung (Arbeitnehmer). Grundsätzlich ist er formfrei, muss also nicht schriftlich abgeschlossen werden. Allerdings gilt: Bei befristeten Arbeitsverträgen ist die Schriftform zwingend erforderlich!
Nach dem Nachweisgesetz muss der Arbeitgeber bei längeren Arbeitsverhältnissen (mehr als 1 Monat) die wesentlichen Vertragsbedingungen schriftlich festhalten. Dazu gehören Name und Anschrift, Art der Tätigkeit, Beginn und Dauer, Arbeitsort, Arbeitszeit, Vergütung, Urlaubsdauer und Kündigungsfristen.
Ein Arbeitsverhältnis kann mit einer Probezeit beginnen, die maximal 6 Monate dauern darf. Während dieser Zeit gilt eine verkürzte Kündigungsfrist von 2 Wochen, und es ist keine Begründung für eine Kündigung erforderlich.
Besonders wichtig: Bei einem befristeten Arbeitsvertrag gilt - wenn die Befristung nur wegen fehlender Schriftform unwirksam ist - das Arbeitsverhältnis als unbefristet, kann aber trotzdem regulär gekündigt werden.
Die Pflichten des Arbeitnehmers umfassen die Dienstleistungs- und Weisungspflicht, die Treupflicht (Verschwiegenheit, keine rufschädigenden Äußerungen) sowie das Wettbewerbsverbot. Der Arbeitgeber hat eine Fürsorgepflicht (Gesundheitsschutz, Sozialversicherungsanmeldung), muss das Entgelt rechtzeitig zahlen und Urlaub gewähren (mindestens 24 Werktage nach Bundesurlaubsgesetz).

Zugriff auf alle Dokumente
Verbessere deine Noten
Schließ dich Millionen Schülern an
Die gesetzliche Kündigungsfrist nach BGB beträgt 28 Tage. Dabei ist wichtig zu wissen, dass der Tag des Zugangs der Kündigung nicht zu diesen 28 Tagen zählt! Die Kündigung kann entweder zum Monatsende oder zum 15. eines Monats erfolgen.
Willst du zum Monatsende kündigen, muss die Kündigung spätestens zugehen:
Für eine Kündigung zum 15. eines Monats gilt:
Praxisbeispiel: Wenn du heute, am 12.05., eine Kündigung aussprichst, zählst du 28 Tage dazu und kommst auf den 09.06. Da das nach dem 15.06. liegt, wäre der letzte Arbeitstag der 30.06.
Weitere Beispiele:
Diese Berechnungsweise ist besonders wichtig, wenn du deinen Arbeitsplatz wechseln möchtest und den genauen Zeitpunkt deines Ausscheidens kennen musst.
Unser KI-Begleiter ist ein speziell für Schüler entwickeltes KI-Tool, das mehr als nur Antworten bietet. Basierend auf Millionen von Knowunity-Inhalten liefert er relevante Informationen, personalisierte Lernpläne, Quizze und Inhalte direkt im Chat und passt sich deinem individuellen Lernweg an.
Du kannst die App im Google Play Store und im Apple App Store herunterladen.
Genau! Genieße kostenlosen Zugang zu Lerninhalten, vernetze dich mit anderen Schülern und hol dir sofortige Hilfe – alles direkt auf deinem Handy.
86
Smart Tools NEU
Verwandle diesen Lernzettel in: ✓ 50+ Übungsfragen ✓ Interaktive Karteikarten ✓ Komplette Probeklausur ✓ Aufsatzgliederungen
Entdecken Sie die wesentlichen Vorteile von Tarifverträgen für Arbeitnehmer und Arbeitgeber. Diese Zusammenfassung behandelt Aspekte wie Mindestarbeitsbedingungen, Planungssicherheit, Chancengleichheit und den Schutz vor Lohndumping. Ideal für Studierende der Arbeitsrecht und Wirtschaft. Typ: Zusammenfassung.
Erfahren Sie alles über Tarifverträge, ihre Arten und die verschiedenen Streikformen im deutschen Tarifrecht. Diese Zusammenfassung behandelt die wichtigsten Aspekte der Tarifautonomie, Lohn- und Manteltarifverträge sowie die Rechte und Pflichten während der Laufzeit von Tarifverträgen. Ideal für Studierende der Rechtswissenschaften und Wirtschaft.
Erfahren Sie alles über die Arbeits- und Sozialordnung in Deutschland, einschließlich der Tarifautonomie, staatlicher Schutzgesetze für Arbeitnehmer und der rechtlichen Rahmenbedingungen für Streiks. Diese Zusammenfassung behandelt die Vor- und Nachteile von Streiks sowie die Rechte und Pflichten der Arbeitnehmer. Ideal für Studierende, die sich mit dem Thema soziale Sicherheit und Arbeitsrecht auseinandersetzen.
Lerne die Grundlagen der Gehaltsabrechnung, einschließlich der Berechnung von Nettogehältern und der verschiedenen Abzüge wie Lohnsteuer, Renten- und Krankenversicherung. Diese Zusammenstellung bietet Beispiele und Erklärungen zu Steuerklassen und Abgaben, um ein besseres Verständnis für das soziale Sicherheitssystem zu entwickeln.
Diese Zusammenfassung behandelt die Einkommenssteuer in Deutschland, einschließlich der Definition, der Unterschiede zur Lohnsteuer und der sieben Einkommensarten. Ideal für Studierende, die sich mit den Grundlagen der Besteuerung vertraut machen möchten.
Detaillierte Präsentation über die Einkommensteuer, ihre Berechnung, Einkunftsarten und die Einkommensteuererklärung. Erfahren Sie, wie Betriebsausgaben den Gewinn mindern und welche Steuerklassen relevant sind. Ideal für Studierende, die sich mit Steuern und deren Auswirkungen auf das Einkommen auseinandersetzen möchten.
App Store
Google Play
Die App ist sehr einfach zu bedienen und gut gestaltet. Ich habe bisher alles gefunden, wonach ich gesucht habe, und konnte viel aus den Präsentationen lernen! Ich werde die App definitiv für ein Schulprojekt nutzen! Und natürlich hilft sie auch sehr als Inspiration.
Stefan S
iOS-Nutzer
Diese App ist wirklich super. Es gibt so viele Lernzettel und Hilfen [...]. Mein Problemfach ist zum Beispiel Französisch und die App hat so viele Möglichkeiten zur Hilfe. Dank dieser App habe ich mich in Französisch verbessert. Ich würde sie jedem empfehlen.
Samantha Klich
Android-Nutzerin
Wow, ich bin wirklich begeistert. Ich habe die App einfach mal ausprobiert, weil ich sie schon oft beworben gesehen habe und war absolut beeindruckt. Diese App ist DIE HILFE, die man für die Schule braucht und vor allem bietet sie so viele Dinge wie Übungen und Lernzettel, die mir persönlich SEHR geholfen haben.
Anna
iOS-Nutzerin
Beste App der Welt! Keine Worte, weil sie einfach zu gut ist
Thomas R
iOS-Nutzer
Einfach genial. Lässt mich 10x besser lernen, diese App ist eine glatte 10/10. Ich empfehle sie jedem. Ich kann Lernzettel anschauen und suchen. Ich kann sie im Fachordner speichern. Ich kann sie jederzeit wiederholen, wenn ich zurückkomme. Wenn du diese App noch nicht ausprobiert hast, verpasst du wirklich was.
Basil
Android-Nutzer
Diese App hat mich so viel selbstbewusster in meiner Klausurvorbereitung gemacht, nicht nur durch die Stärkung meines Selbstvertrauens durch die Features, die es dir ermöglichen, dich mit anderen zu vernetzen und dich weniger allein zu fühlen, sondern auch durch die Art, wie die App selbst darauf ausgerichtet ist, dass du dich besser fühlst. Sie ist einfach zu bedienen, macht Spaß und hilft jedem, der in irgendeiner Weise Schwierigkeiten hat.
David K
iOS-Nutzer
Die App ist einfach super! Ich muss nur das Thema in die Suche eingeben und bekomme sofort eine Antwort. Ich muss nicht mehr 10 YouTube-Videos schauen, um etwas zu verstehen, und spare dadurch richtig viel Zeit. Sehr empfehlenswert!
Sudenaz Ocak
Android-Nutzerin
In der Schule war ich echt schlecht in Mathe, aber dank der App bin ich jetzt besser geworden. Ich bin so dankbar, dass ihr die App gemacht habt.
Greenlight Bonnie
Android-Nutzerin
sehr zuverlässige App, um deine Ideen in Mathe, Englisch und anderen verwandten Themen zu verbessern. bitte nutze diese App, wenn du in bestimmten Bereichen Schwierigkeiten hast, diese App ist dafür der Schlüssel. wünschte, ich hätte früher eine Bewertung geschrieben. und sie ist auch kostenlos, also mach dir darüber keine Sorgen.
Rohan U
Android-Nutzer
Ich weiß, dass viele Apps gefälschte Accounts nutzen, um ihre Bewertungen zu pushen, aber diese App verdient das alles. Ursprünglich hatte ich eine 4 in meinen Englisch-Klausuren und dieses Mal habe ich eine 2 bekommen. Ich wusste erst drei Tage vor der Klausur von dieser App und sie hat mir SEHR geholfen. Bitte vertrau mir wirklich und nutze sie, denn ich bin sicher, dass auch du Fortschritte sehen wirst.
Xander S
iOS-Nutzer
DIE QUIZZE UND KARTEIKARTEN SIND SO NÜTZLICH UND ICH LIEBE Knowunity KI. ES IST AUCH BUCHSTÄBLICH WIE CHATGPT ABER SCHLAUER!! HAT MIR AUCH BEI MEINEN MASCARA-PROBLEMEN GEHOLFEN!! SOWIE BEI MEINEN ECHTEN FÄCHERN! NATÜRLICH 😍😁😲🤑💗✨🎀😮
Elisha
iOS-Nutzer
Diese App ist echt der Hammer. Ich finde Lernen so langweilig, aber diese App macht es so einfach, alles zu organisieren und dann kannst du die kostenlose KI bitten, dich abzufragen, so gut, und du kannst einfach deine eigenen Sachen hochladen. sehr empfehlenswert als jemand, der gerade Probeklausuren schreibt
Paul T
iOS-Nutzer
Die App ist sehr einfach zu bedienen und gut gestaltet. Ich habe bisher alles gefunden, wonach ich gesucht habe, und konnte viel aus den Präsentationen lernen! Ich werde die App definitiv für ein Schulprojekt nutzen! Und natürlich hilft sie auch sehr als Inspiration.
Stefan S
iOS-Nutzer
Diese App ist wirklich super. Es gibt so viele Lernzettel und Hilfen [...]. Mein Problemfach ist zum Beispiel Französisch und die App hat so viele Möglichkeiten zur Hilfe. Dank dieser App habe ich mich in Französisch verbessert. Ich würde sie jedem empfehlen.
Samantha Klich
Android-Nutzerin
Wow, ich bin wirklich begeistert. Ich habe die App einfach mal ausprobiert, weil ich sie schon oft beworben gesehen habe und war absolut beeindruckt. Diese App ist DIE HILFE, die man für die Schule braucht und vor allem bietet sie so viele Dinge wie Übungen und Lernzettel, die mir persönlich SEHR geholfen haben.
Anna
iOS-Nutzerin
Beste App der Welt! Keine Worte, weil sie einfach zu gut ist
Thomas R
iOS-Nutzer
Einfach genial. Lässt mich 10x besser lernen, diese App ist eine glatte 10/10. Ich empfehle sie jedem. Ich kann Lernzettel anschauen und suchen. Ich kann sie im Fachordner speichern. Ich kann sie jederzeit wiederholen, wenn ich zurückkomme. Wenn du diese App noch nicht ausprobiert hast, verpasst du wirklich was.
Basil
Android-Nutzer
Diese App hat mich so viel selbstbewusster in meiner Klausurvorbereitung gemacht, nicht nur durch die Stärkung meines Selbstvertrauens durch die Features, die es dir ermöglichen, dich mit anderen zu vernetzen und dich weniger allein zu fühlen, sondern auch durch die Art, wie die App selbst darauf ausgerichtet ist, dass du dich besser fühlst. Sie ist einfach zu bedienen, macht Spaß und hilft jedem, der in irgendeiner Weise Schwierigkeiten hat.
David K
iOS-Nutzer
Die App ist einfach super! Ich muss nur das Thema in die Suche eingeben und bekomme sofort eine Antwort. Ich muss nicht mehr 10 YouTube-Videos schauen, um etwas zu verstehen, und spare dadurch richtig viel Zeit. Sehr empfehlenswert!
Sudenaz Ocak
Android-Nutzerin
In der Schule war ich echt schlecht in Mathe, aber dank der App bin ich jetzt besser geworden. Ich bin so dankbar, dass ihr die App gemacht habt.
Greenlight Bonnie
Android-Nutzerin
sehr zuverlässige App, um deine Ideen in Mathe, Englisch und anderen verwandten Themen zu verbessern. bitte nutze diese App, wenn du in bestimmten Bereichen Schwierigkeiten hast, diese App ist dafür der Schlüssel. wünschte, ich hätte früher eine Bewertung geschrieben. und sie ist auch kostenlos, also mach dir darüber keine Sorgen.
Rohan U
Android-Nutzer
Ich weiß, dass viele Apps gefälschte Accounts nutzen, um ihre Bewertungen zu pushen, aber diese App verdient das alles. Ursprünglich hatte ich eine 4 in meinen Englisch-Klausuren und dieses Mal habe ich eine 2 bekommen. Ich wusste erst drei Tage vor der Klausur von dieser App und sie hat mir SEHR geholfen. Bitte vertrau mir wirklich und nutze sie, denn ich bin sicher, dass auch du Fortschritte sehen wirst.
Xander S
iOS-Nutzer
DIE QUIZZE UND KARTEIKARTEN SIND SO NÜTZLICH UND ICH LIEBE Knowunity KI. ES IST AUCH BUCHSTÄBLICH WIE CHATGPT ABER SCHLAUER!! HAT MIR AUCH BEI MEINEN MASCARA-PROBLEMEN GEHOLFEN!! SOWIE BEI MEINEN ECHTEN FÄCHERN! NATÜRLICH 😍😁😲🤑💗✨🎀😮
Elisha
iOS-Nutzer
Diese App ist echt der Hammer. Ich finde Lernen so langweilig, aber diese App macht es so einfach, alles zu organisieren und dann kannst du die kostenlose KI bitten, dich abzufragen, so gut, und du kannst einfach deine eigenen Sachen hochladen. sehr empfehlenswert als jemand, der gerade Probeklausuren schreibt
Paul T
iOS-Nutzer