App öffnen

Fächer

2.011

12. Jan. 2026

30 Seiten

Wassermangel in Spanien: Karten, Lösungen und die Dürre 2024

D

David

@david_fa9f5b

Spanien kämpft aktuell mit einer der schwersten Wasserknappheitseiner Geschichte,... Mehr anzeigen

Page 1
Page 1
Page 2
Page 2
Page 3
Page 4
Page 5
Page 6
Page 7
Page 8
1 / 10
Wassermangel in
Spanien
Präsentation von Lara Künkler und David Girnstein Spanien an der Spitze des Trinkwasserverbrauchs (in der EU)
O
Hohe

Umweltauswirkungen und regionale Herausforderungen

Die Dürre Spanien Karte zeigt deutliche Problemzonen. Besonders betroffen sind Regionen wie Almería und Katalonien. Die falsche Bewässerungspraxis führt zu weitreichenden Umweltproblemen:

Definition: Bodenversalzung entsteht durch übermäßige Bewässerung und führt zur Anreicherung von Salzen im Boden, wodurch dieser für die Landwirtschaft unbrauchbar wird.

Der Wassermangel Katalonien aktuell zeigt sich besonders in der Verschmutzung des Grundwassers. Etwa 21% der Wasserproben überschreiten die EU-Grenzwerte für Nitrat. Zusätzlich verschärft der Golfplatztourismus die Situation - ein einzelner Golfplatz verbraucht so viel Wasser wie eine Kleinstadt mit 10.000-20.000 Einwohnern.

Die Wassermangel Andalusien aktuell Situation wird durch klimatische Veränderungen verschärft. Seit 2014 verzeichnet die Region bis zu 25% weniger Niederschläge als in den Vorjahren, wobei 2017 als eines der heißesten Jahre seit Beginn der Aufzeichnungen gilt.

Wassermangel in
Spanien
Präsentation von Lara Künkler und David Girnstein Spanien an der Spitze des Trinkwasserverbrauchs (in der EU)
O
Hohe

Wassermangel in Spanien: Aktuelle Situation und Herausforderungen

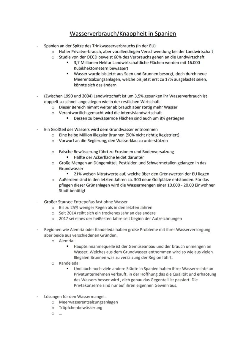
Die Wassermangel Spanien aktuell Situation hat sich in den letzten Jahren dramatisch verschärft. Spanien steht an der Spitze des Trinkwasserverbrauchs in der Europäischen Union, wobei der größte Teil des Wasserverbrauchs auf die Landwirtschaft Spanien entfällt. Nach Studien der OECD werden etwa 60% des gesamten Wasserverbrauchs für landwirtschaftliche Zwecke verwendet.

Hinweis: Die spanische Landwirtschaft bewässert etwa 3,7 Millionen Hektar Fläche mit rund 16.000 Kubikhektometern Wasser jährlich.

Besonders problematisch ist die Entwicklung der Wasserknappheit Spanien Tourismus. Während die landwirtschaftliche Fläche zwischen 1990 und 2004 um 3,5% zurückging, stieg der Wasserverbrauch in diesem Sektor doppelt so schnell wie in anderen Wirtschaftsbereichen. Die Intensivlandwirtschaft wird als Hauptverursacher genannt, deren Bewässerungsflächen um 8% zugenommen haben.

Ein besonders kritischer Aspekt der Spanien Wassermangel 2024 Situation ist die illegale Wasserentnahme. Es existieren schätzungsweise eine halbe Million nicht registrierter Brunnen, wobei etwa 90% nicht ordnungsgemäß erfasst sind. Der Regierung wird vorgeworfen, diesen "Wasserklau" stillschweigend zu dulden.

Wassermangel in
Spanien
Präsentation von Lara Künkler und David Girnstein Spanien an der Spitze des Trinkwasserverbrauchs (in der EU)
O
Hohe

Klimawandel und langfristige Perspektiven

Der Klimawandel verschärft die Wasser Spanien aktuell Situation zusehends. Prognosen zeigen, dass die Temperaturerhöhung in Spanien über dem globalen Durchschnitt liegen wird:

Highlight: Bis 2100 wird ein Temperaturanstieg von 1,1 bis 6,4 Grad erwartet, was die Wasserknappheit weiter verschärfen könnte.

Die Dürre in Spanien vorbei zu erklären wäre verfrüht. Vielmehr müssen langfristige Strategien entwickelt werden, die den steigenden CO₂-Ausstoß und die Übernutzung natürlicher Wasserspeicher adressieren. Besonders die Regionen um Málaga und andere südspanische Gebiete benötigen nachhaltige Wassermanagementkonzepte.

Die Herausforderungen des Spanien Wassermangel 2023 werden sich auch 2024 fortsetzen, weshalb verstärkte Anstrengungen im Bereich Wassereinsparung und effiziente Nutzung erforderlich sind.

Wassermangel in
Spanien
Präsentation von Lara Künkler und David Girnstein Spanien an der Spitze des Trinkwasserverbrauchs (in der EU)
O
Hohe

Lösungsansätze und Zukunftsperspektiven

Die Wassermangel Spanien Lösungen konzentrieren sich auf mehrere Bereiche:

Beispiel: Die Meerwasserentsalzung Spanien wird als wichtige Technologie zur Bekämpfung des Wassermangels eingesetzt, ist aber bisher nur zu 17% ausgelastet.

Die Industrie Spanien entwickelt zunehmend nachhaltige Bewässerungstechnologien wie Tröpfchenbewässerung. Diese Methode kann den Wasserverbrauch in der Landwirtschaft deutlich reduzieren und gleichzeitig die Effizienz der Wassernutzung steigern.

Für die Zukunft der Wasserknappheit Spanien Tourismus werden verstärkt integrierte Lösungsansätze diskutiert, die sowohl die Bedürfnisse der Tourismusindustrie als auch die nachhaltige Wassernutzung berücksichtigen.

Wassermangel in
Spanien
Präsentation von Lara Künkler und David Girnstein Spanien an der Spitze des Trinkwasserverbrauchs (in der EU)
O
Hohe

Wasserkrise in Spanien: Aktuelle Entwicklungen und Herausforderungen

Die Wassermangel Spanien aktuell Situation hat sich 2023-2024 dramatisch verschärft. Besonders die Landwirtschaft Spanien steht vor existenziellen Herausforderungen, da etwa 70% des verfügbaren Wassers in diesem Sektor verbraucht werden. Die steigende Durchschnittstemperatur und der kontinuierliche Rückgang der Niederschläge haben zu einer beschleunigten Desertifikation geführt, von der bereits 40% der spanischen Landfläche betroffen sind.

Hinweis: Die Desertifikation schreitet in Spanien mit alarmierender Geschwindigkeit voran. Besonders betroffen sind die Regionen Andalusien und Katalonien, wo der Wassermangel aktuell besonders ausgeprägt ist.

Die Wasserknappheit Spanien Tourismus Problematik zeigt sich besonders deutlich in Regionen wie Málaga, wo der Konflikt zwischen touristischer Nutzung und landwirtschaftlichem Bedarf zunimmt. Ein Temperaturanstieg von nur 1,3% hat bereits drastische Auswirkungen auf die Wasserverfügbarkeit und betrifft etwa 250.000 Beschäftigte direkt in ihrer Existenz.

Die Industrie Spanien verbraucht etwa 20% des verfügbaren Wassers, während private Haushalte mit 10% den geringsten Anteil haben. Besonders problematisch ist die Situation in der intensiven Landwirtschaft, wo veraltete Bewässerungsmethoden und übermäßige Grundwasserentnahme die Ressourcen zusätzlich belasten.

Wassermangel in
Spanien
Präsentation von Lara Künkler und David Girnstein Spanien an der Spitze des Trinkwasserverbrauchs (in der EU)
O
Hohe

Lösungsansätze und Zukunftsperspektiven für Spaniens Wasserkrise

Die Wassermangel Spanien Lösungen konzentrieren sich zunehmend auf nachhaltige Technologien wie die Meerwasserentsalzung Spanien. Diese Maßnahmen sind besonders wichtig, da die aktuelle Dürre Spanien Karte zeigt, dass große Teile des Landes von extremer Trockenheit betroffen sind.

Definition: Die Meerwasserentsalzung ist ein technischer Prozess, bei dem Meerwasser in Trinkwasser umgewandelt wird. Spanien ist europaweit führend in dieser Technologie.

Der Spanien Wassermangel 2024 erfordert ein Umdenken in der Landwirtschaft. Moderne Bewässerungssysteme und wassersparende Anbaumethoden werden zunehmend wichtiger. Die Wassermangel Spanien Karte zeigt deutlich, dass besonders die südlichen Regionen von der Wasserknappheit betroffen sind.

Die Aussage "Dürre in Spanien vorbei" ist leider verfrüht, da langfristige Lösungen und strukturelle Änderungen notwendig sind. Der Katalonien Wassermangel 2024 und Wassermangel Andalusien aktuell zeigen, dass regionale Unterschiede bei der Wasserversorgung bestehen und spezifische Lösungsansätze erforderlich sind.

Wassermangel in
Spanien
Präsentation von Lara Künkler und David Girnstein Spanien an der Spitze des Trinkwasserverbrauchs (in der EU)
O
Hohe

Wassermangel in Spanien

Diese Präsentation von Lara Künkler und David Girnstein befasst sich mit dem akuten Wassermangel in Spanien. Spanien steht an der Spitze des Trinkwasserverbrauchs in der EU, wobei der Großteil des Verbrauchs auf die Landwirtschaft entfällt. Eine OECD-Studie belegt, dass 60% des Wasserverbrauchs der Landwirtschaft zuzuschreiben sind.

Highlight: 3,7 Millionen Hektar landwirtschaftliche Flächen werden mit 16.000 Kubikhektometern Wasser bewässert.

Der Wasserverbrauch in der Landwirtschaft ist trotz sinkender Flächen stark angestiegen, was auf die Intensivlandwirtschaft zurückgeführt wird. Ein großes Problem stellen auch die etwa eine halbe Million illegaler Brunnen dar, von denen 90% nicht richtig registriert sind.

Vocabulary: Kubikhektometer - Eine Maßeinheit für Wasservolumen, die einem Würfel mit einer Kantenlänge von 100 Metern entspricht.

Die falsche Bewässerung führt zu Erosionen und Bodenversalzung, wovon die Hälfte der Ackerfläche betroffen ist. Zusätzlich gelangen große Mengen an Düngemitteln und Schadstoffen ins Grundwasser.

Example: 21% der Grundwasservorkommen weisen Nitratwerte auf, die über den EU-Grenzwerten liegen.

Der Klimawandel verschärft die Situation zusätzlich. Seit 2014 reiht sich ein trockenes Jahr an das andere, mit bis zu 25% weniger Niederschlag als in früheren Jahren.

Als Lösungsansätze werden Meerwasserentsalzungsanlagen und Tröpfchenbewässerung genannt.

Wassermangel in
Spanien
Präsentation von Lara Künkler und David Girnstein Spanien an der Spitze des Trinkwasserverbrauchs (in der EU)
O
Hohe
Wassermangel in
Spanien
Präsentation von Lara Künkler und David Girnstein Spanien an der Spitze des Trinkwasserverbrauchs (in der EU)
O
Hohe
Wassermangel in
Spanien
Präsentation von Lara Künkler und David Girnstein Spanien an der Spitze des Trinkwasserverbrauchs (in der EU)
O
Hohe


Wir dachten, du würdest nie fragen...

Was ist der Knowunity KI-Begleiter?

Unser KI-Begleiter ist speziell auf die Bedürfnisse von Schülern zugeschnitten. Basierend auf den Millionen von Inhalten, die wir auf der Plattform haben, können wir den Schülern wirklich sinnvolle und relevante Antworten geben. Aber es geht nicht nur um Antworten, sondern der Begleiter führt die Schüler auch durch ihre täglichen Lernherausforderungen, mit personalisierten Lernplänen, Quizfragen oder Inhalten im Chat und einer 100% Personalisierung basierend auf den Fähigkeiten und Entwicklungen der Schüler.

Wo kann ich mir die Knowunity-App herunterladen?

Du kannst dir die App im Google Play Store und im Apple App Store herunterladen.

Ist Knowunity wirklich kostenlos?

Ja, du hast kostenlosen Zugriff auf Inhalte in der App und auf unseren KI-Begleiter. Zum Freischalten bestimmter Features in der App kannst du Knowunity Pro erwerben.

Beliebteste Inhalte in Geographie/Erdkunde

Beliebteste Inhalte

Nichts passendes dabei? Erkunde andere Fachbereiche.

Schüler:innen lieben uns — und du wirst es auch.

4.9/5

App Store

4.8/5

Google Play

Die App ist sehr leicht und gut gestaltet. Habe bis jetzt alles gefunden, nachdem ich gesucht habe und aus den Präsentationen echt viel lernen können! Die App werde ich auf jeden Fall für eine Klassenarbeit verwenden! Und als eigene Inspiration hilft sie natürlich auch sehr.

Stefan S

iOS user

Diese App ist wirklich echt super. Es gibt so viele Lernzettel und Hilfen, […]. Mein Problemfach ist zum Beispiel Französisch und die App hat mega viel Auswahl für Hilfe. Dank dieser App habe ich mich in Französisch verbessert. Ich würde diese jedem weiterempfehlen.

Samantha Klich

Android user

Wow ich bin wirklich komplett baff. Habe die App nur mal so ausprobiert, weil ich es schon oft in der Werbung gesehen habe und war absolut geschockt. Diese App ist DIE HILFE, die man sich für die Schule wünscht und vor allem werden so viele Sachen angeboten, wie z.B. Ausarbeitungen und Merkblätter, welche mir persönlich SEHR weitergeholfen haben.

Anna

iOS user

Ich finde Knowunity so grandios. Ich lerne wirklich für alles damit. Es gibt so viele verschiedene Lernzettel, die sehr gut erklärt sind!

Jana V

iOS user

Ich liebe diese App sie hilft mir vor jeder Arbeit kann Aufgaben kontrollieren sowie lösen und ist wirklich vielfältig verwendbar. Man kann mit diesem Fuchs auch normal reden so wie Probleme im echten Leben besprechen und er hilft einem. Wirklich sehr gut diese App kann ich nur weiter empfehlen, gerade für Menschen die etwas länger brauchen etwas zu verstehen!

Lena M

Android user

Ich finde Knowunity ist eine super App. Für die Schule ist sie ideal , wegen den Lernzetteln, Quizen und dem AI. Das gute an AI ist , dass er nicht direkt nur die Lösung ausspuckt sondern einen Weg zeigt wie man darauf kommt. Manchmal gibt er einem auch nur einen Tipp damit man selbst darauf kommt . Mir hilft Knowunity persönlich sehr viel und ich kann sie nur weiterempfehlen ☺️

Timo S

iOS user

Die App ist einfach super! Ich muss nur in die Suchleiste mein Thema eintragen und ich checke es sehr schnell. Ich muss nicht mehr 10 YouTube Videos gucken, um etwas zu verstehen und somit spare ich mir meine Zeit. Einfach zu empfehlen!!

Sudenaz Ocak

Android user

Diese App hat mich echt verbessert! In der Schule war ich richtig schlecht in Mathe und dank der App kann ich besser Mathe! Ich bin so dankbar, dass ihr die App gemacht habt.

Greenlight Bonnie

Android user

Ich benutze Knowunity schon sehr lange und meine Noten haben sich verbessert die App hilft mir bei Mathe,Englisch u.s.w. Ich bekomme Hilfe wenn ich sie brauche und bekomme sogar Glückwünsche für meine Arbeit Deswegen von mir 5 Sterne🫶🏼

Julia S

Android user

Also die App hat mir echt in super vielen Fächern geholfen! Ich hatte in der Mathe Arbeit davor eine 3+ und habe nur durch den School GPT und die Lernzettek auf der App eine 1-3 in Mathe geschafft…Ich bin Mega glücklich darüber also ja wircklich eine super App zum lernen und es spart sehr viel Heit dass man mehr Freizeit hat!

Marcus B

iOS user

DIE QUIZZES UND KARTEIKARTEN SIND SO NÜTZLICH UND ICH LIEBE Knowunity KI. ES IST AUCH BUCHSTÄBLICH WIE CHATGPT NUR SCHLAUER!! HAT MIR SOGAR BEI MEINEN MASCARA PROBLEMEN GEHOLFEN!! GENAUSO WIE BEI MEINEN ECHTEN FÄCHERN! OFFENSICHTLICH 😍😁😲🤑💗✨🎀😮

Sarah L

Android user

Hatte noch nie so viel Spaß beim Lernen und der School Bot macht super Aufschriebe die man Herunterladen kann total Übersichtlich und Lehreich. Bin begeistert.

Hans T

iOS user

Die App ist sehr leicht und gut gestaltet. Habe bis jetzt alles gefunden, nachdem ich gesucht habe und aus den Präsentationen echt viel lernen können! Die App werde ich auf jeden Fall für eine Klassenarbeit verwenden! Und als eigene Inspiration hilft sie natürlich auch sehr.

Stefan S

iOS user

Diese App ist wirklich echt super. Es gibt so viele Lernzettel und Hilfen, […]. Mein Problemfach ist zum Beispiel Französisch und die App hat mega viel Auswahl für Hilfe. Dank dieser App habe ich mich in Französisch verbessert. Ich würde diese jedem weiterempfehlen.

Samantha Klich

Android user

Wow ich bin wirklich komplett baff. Habe die App nur mal so ausprobiert, weil ich es schon oft in der Werbung gesehen habe und war absolut geschockt. Diese App ist DIE HILFE, die man sich für die Schule wünscht und vor allem werden so viele Sachen angeboten, wie z.B. Ausarbeitungen und Merkblätter, welche mir persönlich SEHR weitergeholfen haben.

Anna

iOS user

Ich finde Knowunity so grandios. Ich lerne wirklich für alles damit. Es gibt so viele verschiedene Lernzettel, die sehr gut erklärt sind!

Jana V

iOS user

Ich liebe diese App sie hilft mir vor jeder Arbeit kann Aufgaben kontrollieren sowie lösen und ist wirklich vielfältig verwendbar. Man kann mit diesem Fuchs auch normal reden so wie Probleme im echten Leben besprechen und er hilft einem. Wirklich sehr gut diese App kann ich nur weiter empfehlen, gerade für Menschen die etwas länger brauchen etwas zu verstehen!

Lena M

Android user

Ich finde Knowunity ist eine super App. Für die Schule ist sie ideal , wegen den Lernzetteln, Quizen und dem AI. Das gute an AI ist , dass er nicht direkt nur die Lösung ausspuckt sondern einen Weg zeigt wie man darauf kommt. Manchmal gibt er einem auch nur einen Tipp damit man selbst darauf kommt . Mir hilft Knowunity persönlich sehr viel und ich kann sie nur weiterempfehlen ☺️

Timo S

iOS user

Die App ist einfach super! Ich muss nur in die Suchleiste mein Thema eintragen und ich checke es sehr schnell. Ich muss nicht mehr 10 YouTube Videos gucken, um etwas zu verstehen und somit spare ich mir meine Zeit. Einfach zu empfehlen!!

Sudenaz Ocak

Android user

Diese App hat mich echt verbessert! In der Schule war ich richtig schlecht in Mathe und dank der App kann ich besser Mathe! Ich bin so dankbar, dass ihr die App gemacht habt.

Greenlight Bonnie

Android user

Ich benutze Knowunity schon sehr lange und meine Noten haben sich verbessert die App hilft mir bei Mathe,Englisch u.s.w. Ich bekomme Hilfe wenn ich sie brauche und bekomme sogar Glückwünsche für meine Arbeit Deswegen von mir 5 Sterne🫶🏼

Julia S

Android user

Also die App hat mir echt in super vielen Fächern geholfen! Ich hatte in der Mathe Arbeit davor eine 3+ und habe nur durch den School GPT und die Lernzettek auf der App eine 1-3 in Mathe geschafft…Ich bin Mega glücklich darüber also ja wircklich eine super App zum lernen und es spart sehr viel Heit dass man mehr Freizeit hat!

Marcus B

iOS user

DIE QUIZZES UND KARTEIKARTEN SIND SO NÜTZLICH UND ICH LIEBE Knowunity KI. ES IST AUCH BUCHSTÄBLICH WIE CHATGPT NUR SCHLAUER!! HAT MIR SOGAR BEI MEINEN MASCARA PROBLEMEN GEHOLFEN!! GENAUSO WIE BEI MEINEN ECHTEN FÄCHERN! OFFENSICHTLICH 😍😁😲🤑💗✨🎀😮

Sarah L

Android user

Hatte noch nie so viel Spaß beim Lernen und der School Bot macht super Aufschriebe die man Herunterladen kann total Übersichtlich und Lehreich. Bin begeistert.

Hans T

iOS user

 

Geographie/Erdkunde

2.011

12. Jan. 2026

30 Seiten

Wassermangel in Spanien: Karten, Lösungen und die Dürre 2024

D

David

@david_fa9f5b

Spanien kämpft aktuell mit einer der schwersten Wasserknappheit seiner Geschichte, die besonders die Regionen Katalonien und Andalusien betrifft.

Die anhaltende Dürre in Spanien hat weitreichende Auswirkungen auf verschiedene Wirtschaftssektoren. Die Landwirtschaft Spanienleidet besonders unter den Folgen des Wassermangels, da... Mehr anzeigen

Wassermangel in
Spanien
Präsentation von Lara Künkler und David Girnstein Spanien an der Spitze des Trinkwasserverbrauchs (in der EU)
O
Hohe

Melde dich an, um den Inhalt freizuschaltenEs ist kostenlos!

Zugriff auf alle Dokumente

Verbessere deine Noten

Werde Teil der Community

Mit der Anmeldung akzeptierst du die Nutzungsbedingungen und die Datenschutzrichtlinie

Umweltauswirkungen und regionale Herausforderungen

Die Dürre Spanien Karte zeigt deutliche Problemzonen. Besonders betroffen sind Regionen wie Almería und Katalonien. Die falsche Bewässerungspraxis führt zu weitreichenden Umweltproblemen:

Definition: Bodenversalzung entsteht durch übermäßige Bewässerung und führt zur Anreicherung von Salzen im Boden, wodurch dieser für die Landwirtschaft unbrauchbar wird.

Der Wassermangel Katalonien aktuell zeigt sich besonders in der Verschmutzung des Grundwassers. Etwa 21% der Wasserproben überschreiten die EU-Grenzwerte für Nitrat. Zusätzlich verschärft der Golfplatztourismus die Situation - ein einzelner Golfplatz verbraucht so viel Wasser wie eine Kleinstadt mit 10.000-20.000 Einwohnern.

Die Wassermangel Andalusien aktuell Situation wird durch klimatische Veränderungen verschärft. Seit 2014 verzeichnet die Region bis zu 25% weniger Niederschläge als in den Vorjahren, wobei 2017 als eines der heißesten Jahre seit Beginn der Aufzeichnungen gilt.

Wassermangel in
Spanien
Präsentation von Lara Künkler und David Girnstein Spanien an der Spitze des Trinkwasserverbrauchs (in der EU)
O
Hohe

Melde dich an, um den Inhalt freizuschaltenEs ist kostenlos!

Zugriff auf alle Dokumente

Verbessere deine Noten

Werde Teil der Community

Mit der Anmeldung akzeptierst du die Nutzungsbedingungen und die Datenschutzrichtlinie

Wassermangel in Spanien: Aktuelle Situation und Herausforderungen

Die Wassermangel Spanien aktuell Situation hat sich in den letzten Jahren dramatisch verschärft. Spanien steht an der Spitze des Trinkwasserverbrauchs in der Europäischen Union, wobei der größte Teil des Wasserverbrauchs auf die Landwirtschaft Spanien entfällt. Nach Studien der OECD werden etwa 60% des gesamten Wasserverbrauchs für landwirtschaftliche Zwecke verwendet.

Hinweis: Die spanische Landwirtschaft bewässert etwa 3,7 Millionen Hektar Fläche mit rund 16.000 Kubikhektometern Wasser jährlich.

Besonders problematisch ist die Entwicklung der Wasserknappheit Spanien Tourismus. Während die landwirtschaftliche Fläche zwischen 1990 und 2004 um 3,5% zurückging, stieg der Wasserverbrauch in diesem Sektor doppelt so schnell wie in anderen Wirtschaftsbereichen. Die Intensivlandwirtschaft wird als Hauptverursacher genannt, deren Bewässerungsflächen um 8% zugenommen haben.

Ein besonders kritischer Aspekt der Spanien Wassermangel 2024 Situation ist die illegale Wasserentnahme. Es existieren schätzungsweise eine halbe Million nicht registrierter Brunnen, wobei etwa 90% nicht ordnungsgemäß erfasst sind. Der Regierung wird vorgeworfen, diesen "Wasserklau" stillschweigend zu dulden.

Wassermangel in
Spanien
Präsentation von Lara Künkler und David Girnstein Spanien an der Spitze des Trinkwasserverbrauchs (in der EU)
O
Hohe

Melde dich an, um den Inhalt freizuschaltenEs ist kostenlos!

Zugriff auf alle Dokumente

Verbessere deine Noten

Werde Teil der Community

Mit der Anmeldung akzeptierst du die Nutzungsbedingungen und die Datenschutzrichtlinie

Klimawandel und langfristige Perspektiven

Der Klimawandel verschärft die Wasser Spanien aktuell Situation zusehends. Prognosen zeigen, dass die Temperaturerhöhung in Spanien über dem globalen Durchschnitt liegen wird:

Highlight: Bis 2100 wird ein Temperaturanstieg von 1,1 bis 6,4 Grad erwartet, was die Wasserknappheit weiter verschärfen könnte.

Die Dürre in Spanien vorbei zu erklären wäre verfrüht. Vielmehr müssen langfristige Strategien entwickelt werden, die den steigenden CO₂-Ausstoß und die Übernutzung natürlicher Wasserspeicher adressieren. Besonders die Regionen um Málaga und andere südspanische Gebiete benötigen nachhaltige Wassermanagementkonzepte.

Die Herausforderungen des Spanien Wassermangel 2023 werden sich auch 2024 fortsetzen, weshalb verstärkte Anstrengungen im Bereich Wassereinsparung und effiziente Nutzung erforderlich sind.

Wassermangel in
Spanien
Präsentation von Lara Künkler und David Girnstein Spanien an der Spitze des Trinkwasserverbrauchs (in der EU)
O
Hohe

Melde dich an, um den Inhalt freizuschaltenEs ist kostenlos!

Zugriff auf alle Dokumente

Verbessere deine Noten

Werde Teil der Community

Mit der Anmeldung akzeptierst du die Nutzungsbedingungen und die Datenschutzrichtlinie

Lösungsansätze und Zukunftsperspektiven

Die Wassermangel Spanien Lösungen konzentrieren sich auf mehrere Bereiche:

Beispiel: Die Meerwasserentsalzung Spanien wird als wichtige Technologie zur Bekämpfung des Wassermangels eingesetzt, ist aber bisher nur zu 17% ausgelastet.

Die Industrie Spanien entwickelt zunehmend nachhaltige Bewässerungstechnologien wie Tröpfchenbewässerung. Diese Methode kann den Wasserverbrauch in der Landwirtschaft deutlich reduzieren und gleichzeitig die Effizienz der Wassernutzung steigern.

Für die Zukunft der Wasserknappheit Spanien Tourismus werden verstärkt integrierte Lösungsansätze diskutiert, die sowohl die Bedürfnisse der Tourismusindustrie als auch die nachhaltige Wassernutzung berücksichtigen.

Wassermangel in
Spanien
Präsentation von Lara Künkler und David Girnstein Spanien an der Spitze des Trinkwasserverbrauchs (in der EU)
O
Hohe

Melde dich an, um den Inhalt freizuschaltenEs ist kostenlos!

Zugriff auf alle Dokumente

Verbessere deine Noten

Werde Teil der Community

Mit der Anmeldung akzeptierst du die Nutzungsbedingungen und die Datenschutzrichtlinie

Wasserkrise in Spanien: Aktuelle Entwicklungen und Herausforderungen

Die Wassermangel Spanien aktuell Situation hat sich 2023-2024 dramatisch verschärft. Besonders die Landwirtschaft Spanien steht vor existenziellen Herausforderungen, da etwa 70% des verfügbaren Wassers in diesem Sektor verbraucht werden. Die steigende Durchschnittstemperatur und der kontinuierliche Rückgang der Niederschläge haben zu einer beschleunigten Desertifikation geführt, von der bereits 40% der spanischen Landfläche betroffen sind.

Hinweis: Die Desertifikation schreitet in Spanien mit alarmierender Geschwindigkeit voran. Besonders betroffen sind die Regionen Andalusien und Katalonien, wo der Wassermangel aktuell besonders ausgeprägt ist.

Die Wasserknappheit Spanien Tourismus Problematik zeigt sich besonders deutlich in Regionen wie Málaga, wo der Konflikt zwischen touristischer Nutzung und landwirtschaftlichem Bedarf zunimmt. Ein Temperaturanstieg von nur 1,3% hat bereits drastische Auswirkungen auf die Wasserverfügbarkeit und betrifft etwa 250.000 Beschäftigte direkt in ihrer Existenz.

Die Industrie Spanien verbraucht etwa 20% des verfügbaren Wassers, während private Haushalte mit 10% den geringsten Anteil haben. Besonders problematisch ist die Situation in der intensiven Landwirtschaft, wo veraltete Bewässerungsmethoden und übermäßige Grundwasserentnahme die Ressourcen zusätzlich belasten.

Wassermangel in
Spanien
Präsentation von Lara Künkler und David Girnstein Spanien an der Spitze des Trinkwasserverbrauchs (in der EU)
O
Hohe

Melde dich an, um den Inhalt freizuschaltenEs ist kostenlos!

Zugriff auf alle Dokumente

Verbessere deine Noten

Werde Teil der Community

Mit der Anmeldung akzeptierst du die Nutzungsbedingungen und die Datenschutzrichtlinie

Lösungsansätze und Zukunftsperspektiven für Spaniens Wasserkrise

Die Wassermangel Spanien Lösungen konzentrieren sich zunehmend auf nachhaltige Technologien wie die Meerwasserentsalzung Spanien. Diese Maßnahmen sind besonders wichtig, da die aktuelle Dürre Spanien Karte zeigt, dass große Teile des Landes von extremer Trockenheit betroffen sind.

Definition: Die Meerwasserentsalzung ist ein technischer Prozess, bei dem Meerwasser in Trinkwasser umgewandelt wird. Spanien ist europaweit führend in dieser Technologie.

Der Spanien Wassermangel 2024 erfordert ein Umdenken in der Landwirtschaft. Moderne Bewässerungssysteme und wassersparende Anbaumethoden werden zunehmend wichtiger. Die Wassermangel Spanien Karte zeigt deutlich, dass besonders die südlichen Regionen von der Wasserknappheit betroffen sind.

Die Aussage "Dürre in Spanien vorbei" ist leider verfrüht, da langfristige Lösungen und strukturelle Änderungen notwendig sind. Der Katalonien Wassermangel 2024 und Wassermangel Andalusien aktuell zeigen, dass regionale Unterschiede bei der Wasserversorgung bestehen und spezifische Lösungsansätze erforderlich sind.

Wassermangel in
Spanien
Präsentation von Lara Künkler und David Girnstein Spanien an der Spitze des Trinkwasserverbrauchs (in der EU)
O
Hohe

Melde dich an, um den Inhalt freizuschaltenEs ist kostenlos!

Zugriff auf alle Dokumente

Verbessere deine Noten

Werde Teil der Community

Mit der Anmeldung akzeptierst du die Nutzungsbedingungen und die Datenschutzrichtlinie

Wassermangel in Spanien

Diese Präsentation von Lara Künkler und David Girnstein befasst sich mit dem akuten Wassermangel in Spanien. Spanien steht an der Spitze des Trinkwasserverbrauchs in der EU, wobei der Großteil des Verbrauchs auf die Landwirtschaft entfällt. Eine OECD-Studie belegt, dass 60% des Wasserverbrauchs der Landwirtschaft zuzuschreiben sind.

Highlight: 3,7 Millionen Hektar landwirtschaftliche Flächen werden mit 16.000 Kubikhektometern Wasser bewässert.

Der Wasserverbrauch in der Landwirtschaft ist trotz sinkender Flächen stark angestiegen, was auf die Intensivlandwirtschaft zurückgeführt wird. Ein großes Problem stellen auch die etwa eine halbe Million illegaler Brunnen dar, von denen 90% nicht richtig registriert sind.

Vocabulary: Kubikhektometer - Eine Maßeinheit für Wasservolumen, die einem Würfel mit einer Kantenlänge von 100 Metern entspricht.

Die falsche Bewässerung führt zu Erosionen und Bodenversalzung, wovon die Hälfte der Ackerfläche betroffen ist. Zusätzlich gelangen große Mengen an Düngemitteln und Schadstoffen ins Grundwasser.

Example: 21% der Grundwasservorkommen weisen Nitratwerte auf, die über den EU-Grenzwerten liegen.

Der Klimawandel verschärft die Situation zusätzlich. Seit 2014 reiht sich ein trockenes Jahr an das andere, mit bis zu 25% weniger Niederschlag als in früheren Jahren.

Als Lösungsansätze werden Meerwasserentsalzungsanlagen und Tröpfchenbewässerung genannt.

Wassermangel in
Spanien
Präsentation von Lara Künkler und David Girnstein Spanien an der Spitze des Trinkwasserverbrauchs (in der EU)
O
Hohe

Melde dich an, um den Inhalt freizuschaltenEs ist kostenlos!

Zugriff auf alle Dokumente

Verbessere deine Noten

Werde Teil der Community

Mit der Anmeldung akzeptierst du die Nutzungsbedingungen und die Datenschutzrichtlinie

Wassermangel in
Spanien
Präsentation von Lara Künkler und David Girnstein Spanien an der Spitze des Trinkwasserverbrauchs (in der EU)
O
Hohe

Melde dich an, um den Inhalt freizuschaltenEs ist kostenlos!

Zugriff auf alle Dokumente

Verbessere deine Noten

Werde Teil der Community

Mit der Anmeldung akzeptierst du die Nutzungsbedingungen und die Datenschutzrichtlinie

Wassermangel in
Spanien
Präsentation von Lara Künkler und David Girnstein Spanien an der Spitze des Trinkwasserverbrauchs (in der EU)
O
Hohe

Melde dich an, um den Inhalt freizuschaltenEs ist kostenlos!

Zugriff auf alle Dokumente

Verbessere deine Noten

Werde Teil der Community

Mit der Anmeldung akzeptierst du die Nutzungsbedingungen und die Datenschutzrichtlinie

Wir dachten, du würdest nie fragen...

Was ist der Knowunity KI-Begleiter?

Unser KI-Begleiter ist speziell auf die Bedürfnisse von Schülern zugeschnitten. Basierend auf den Millionen von Inhalten, die wir auf der Plattform haben, können wir den Schülern wirklich sinnvolle und relevante Antworten geben. Aber es geht nicht nur um Antworten, sondern der Begleiter führt die Schüler auch durch ihre täglichen Lernherausforderungen, mit personalisierten Lernplänen, Quizfragen oder Inhalten im Chat und einer 100% Personalisierung basierend auf den Fähigkeiten und Entwicklungen der Schüler.

Wo kann ich mir die Knowunity-App herunterladen?

Du kannst dir die App im Google Play Store und im Apple App Store herunterladen.

Ist Knowunity wirklich kostenlos?

Ja, du hast kostenlosen Zugriff auf Inhalte in der App und auf unseren KI-Begleiter. Zum Freischalten bestimmter Features in der App kannst du Knowunity Pro erwerben.

66

Smarte Tools NEU

Verwandle diese Notizen in: ✓ 50+ Übungsaufgaben ✓ Interaktive Karteikarten ✓ Vollständige Probeklausur ✓ Aufsatz-Gliederungen

Probeklausur
Quiz
Flashcards
Aufsatz

Ähnliche Inhalte

Ursachen und Folgen schlechter Regierungsführung

Diese Zusammenfassung behandelt die Ursachen und Folgen schlechter Regierungsführung, einschließlich Themen wie Intransparenz, Korruption, und deren Auswirkungen auf die Wirtschaft und Umwelt. Ideal für Studierende der Politikwissenschaft, die sich mit den Herausforderungen der Governance auseinandersetzen möchten.

Geographie/ErdkundeGeographie/Erdkunde
11

Tourismusmodelle und Potenziale

Diese Zusammenfassung bietet einen umfassenden Überblick über verschiedene Tourismusmodelle, deren Entwicklung und das touristische Potenzial in unterschiedlichen Regionen, einschließlich der Alpen und Kaunertal. Sie behandelt nachhaltigen Tourismus, Massentourismus und die Auswirkungen auf die Wirtschaft und Umwelt. Ideal für das Abitur im Fach Erdkunde.

Geographie/ErdkundeGeographie/Erdkunde
12

Nachhaltigkeit und Raumnutzung

Entdecken Sie die Konzepte der Raumnutzung und deren Einfluss auf die Nachhaltigkeit. Diese Zusammenfassung behandelt wichtige Begriffe, Modelle der Nachhaltigkeit, die Ziele der nachhaltigen Entwicklung sowie die Auswirkungen anthropogener Aktivitäten auf die Umwelt. Ideal für Studierende der Umweltwissenschaften und Geografie.

Geographie/ErdkundeGeographie/Erdkunde
11

Erdkunde Abitur 2022: Schlüsselkonzepte

Dieser Lernzettel bietet eine umfassende Übersicht über zentrale Themen für das Erdkunde-Abitur 2022 in Hessen. Er behandelt wichtige Konzepte wie Bodenbildung, nachhaltige Entwicklung, Gentrifizierung, Fracking, globale Disparitäten und die Rolle von Rohstoffen. Ideal für die Vorbereitung auf das schriftliche Abitur. Enthält auch Informationen zu den Dimensionen der Nachhaltigkeit, den Human Development Index (HDI) und die Auswirkungen der Globalisierung.

Geographie/ErdkundeGeographie/Erdkunde
13

Nachhaltiger Tourismus: Chancen & Risiken

Entdecken Sie die Vorteile und Nachteile des nachhaltigen Tourismus. Diese Zusammenfassung behandelt das touristische Potenzial, die verschiedenen Arten des Tourismus, die Ursachen des Massentourismus sowie die Butler- und Vorlaufer-Modelle. Ideal für Klausurvorbereitungen und das Verständnis der ökologischen, ökonomischen und sozialen Aspekte des Tourismus.

Geographie/ErdkundeGeographie/Erdkunde
12

Nachhaltigkeit des Kakaoanbaus

Diese Klausur behandelt die Einflüsse des Kakaoanbaus auf die Ökosysteme der Elfenbeinküste. Sie umfasst die klimatischen Voraussetzungen für den Kakaoanbau, die Veränderungen des tropischen Regenwaldes und eine Beurteilung der Nachhaltigkeit des Anbaus. Ideal für Geographie-Studierende, die sich mit ökologischen und ökonomischen Aspekten des Kakaoanbaus auseinandersetzen möchten.

Geographie/ErdkundeGeographie/Erdkunde
11

Beliebteste Inhalte in Geographie/Erdkunde

Beliebteste Inhalte

Nichts passendes dabei? Erkunde andere Fachbereiche.

Schüler:innen lieben uns — und du wirst es auch.

4.9/5

App Store

4.8/5

Google Play

Die App ist sehr leicht und gut gestaltet. Habe bis jetzt alles gefunden, nachdem ich gesucht habe und aus den Präsentationen echt viel lernen können! Die App werde ich auf jeden Fall für eine Klassenarbeit verwenden! Und als eigene Inspiration hilft sie natürlich auch sehr.

Stefan S

iOS user

Diese App ist wirklich echt super. Es gibt so viele Lernzettel und Hilfen, […]. Mein Problemfach ist zum Beispiel Französisch und die App hat mega viel Auswahl für Hilfe. Dank dieser App habe ich mich in Französisch verbessert. Ich würde diese jedem weiterempfehlen.

Samantha Klich

Android user

Wow ich bin wirklich komplett baff. Habe die App nur mal so ausprobiert, weil ich es schon oft in der Werbung gesehen habe und war absolut geschockt. Diese App ist DIE HILFE, die man sich für die Schule wünscht und vor allem werden so viele Sachen angeboten, wie z.B. Ausarbeitungen und Merkblätter, welche mir persönlich SEHR weitergeholfen haben.

Anna

iOS user

Ich finde Knowunity so grandios. Ich lerne wirklich für alles damit. Es gibt so viele verschiedene Lernzettel, die sehr gut erklärt sind!

Jana V

iOS user

Ich liebe diese App sie hilft mir vor jeder Arbeit kann Aufgaben kontrollieren sowie lösen und ist wirklich vielfältig verwendbar. Man kann mit diesem Fuchs auch normal reden so wie Probleme im echten Leben besprechen und er hilft einem. Wirklich sehr gut diese App kann ich nur weiter empfehlen, gerade für Menschen die etwas länger brauchen etwas zu verstehen!

Lena M

Android user

Ich finde Knowunity ist eine super App. Für die Schule ist sie ideal , wegen den Lernzetteln, Quizen und dem AI. Das gute an AI ist , dass er nicht direkt nur die Lösung ausspuckt sondern einen Weg zeigt wie man darauf kommt. Manchmal gibt er einem auch nur einen Tipp damit man selbst darauf kommt . Mir hilft Knowunity persönlich sehr viel und ich kann sie nur weiterempfehlen ☺️

Timo S

iOS user

Die App ist einfach super! Ich muss nur in die Suchleiste mein Thema eintragen und ich checke es sehr schnell. Ich muss nicht mehr 10 YouTube Videos gucken, um etwas zu verstehen und somit spare ich mir meine Zeit. Einfach zu empfehlen!!

Sudenaz Ocak

Android user

Diese App hat mich echt verbessert! In der Schule war ich richtig schlecht in Mathe und dank der App kann ich besser Mathe! Ich bin so dankbar, dass ihr die App gemacht habt.

Greenlight Bonnie

Android user

Ich benutze Knowunity schon sehr lange und meine Noten haben sich verbessert die App hilft mir bei Mathe,Englisch u.s.w. Ich bekomme Hilfe wenn ich sie brauche und bekomme sogar Glückwünsche für meine Arbeit Deswegen von mir 5 Sterne🫶🏼

Julia S

Android user

Also die App hat mir echt in super vielen Fächern geholfen! Ich hatte in der Mathe Arbeit davor eine 3+ und habe nur durch den School GPT und die Lernzettek auf der App eine 1-3 in Mathe geschafft…Ich bin Mega glücklich darüber also ja wircklich eine super App zum lernen und es spart sehr viel Heit dass man mehr Freizeit hat!

Marcus B

iOS user

DIE QUIZZES UND KARTEIKARTEN SIND SO NÜTZLICH UND ICH LIEBE Knowunity KI. ES IST AUCH BUCHSTÄBLICH WIE CHATGPT NUR SCHLAUER!! HAT MIR SOGAR BEI MEINEN MASCARA PROBLEMEN GEHOLFEN!! GENAUSO WIE BEI MEINEN ECHTEN FÄCHERN! OFFENSICHTLICH 😍😁😲🤑💗✨🎀😮

Sarah L

Android user

Hatte noch nie so viel Spaß beim Lernen und der School Bot macht super Aufschriebe die man Herunterladen kann total Übersichtlich und Lehreich. Bin begeistert.

Hans T

iOS user

Die App ist sehr leicht und gut gestaltet. Habe bis jetzt alles gefunden, nachdem ich gesucht habe und aus den Präsentationen echt viel lernen können! Die App werde ich auf jeden Fall für eine Klassenarbeit verwenden! Und als eigene Inspiration hilft sie natürlich auch sehr.

Stefan S

iOS user

Diese App ist wirklich echt super. Es gibt so viele Lernzettel und Hilfen, […]. Mein Problemfach ist zum Beispiel Französisch und die App hat mega viel Auswahl für Hilfe. Dank dieser App habe ich mich in Französisch verbessert. Ich würde diese jedem weiterempfehlen.

Samantha Klich

Android user

Wow ich bin wirklich komplett baff. Habe die App nur mal so ausprobiert, weil ich es schon oft in der Werbung gesehen habe und war absolut geschockt. Diese App ist DIE HILFE, die man sich für die Schule wünscht und vor allem werden so viele Sachen angeboten, wie z.B. Ausarbeitungen und Merkblätter, welche mir persönlich SEHR weitergeholfen haben.

Anna

iOS user

Ich finde Knowunity so grandios. Ich lerne wirklich für alles damit. Es gibt so viele verschiedene Lernzettel, die sehr gut erklärt sind!

Jana V

iOS user

Ich liebe diese App sie hilft mir vor jeder Arbeit kann Aufgaben kontrollieren sowie lösen und ist wirklich vielfältig verwendbar. Man kann mit diesem Fuchs auch normal reden so wie Probleme im echten Leben besprechen und er hilft einem. Wirklich sehr gut diese App kann ich nur weiter empfehlen, gerade für Menschen die etwas länger brauchen etwas zu verstehen!

Lena M

Android user

Ich finde Knowunity ist eine super App. Für die Schule ist sie ideal , wegen den Lernzetteln, Quizen und dem AI. Das gute an AI ist , dass er nicht direkt nur die Lösung ausspuckt sondern einen Weg zeigt wie man darauf kommt. Manchmal gibt er einem auch nur einen Tipp damit man selbst darauf kommt . Mir hilft Knowunity persönlich sehr viel und ich kann sie nur weiterempfehlen ☺️

Timo S

iOS user

Die App ist einfach super! Ich muss nur in die Suchleiste mein Thema eintragen und ich checke es sehr schnell. Ich muss nicht mehr 10 YouTube Videos gucken, um etwas zu verstehen und somit spare ich mir meine Zeit. Einfach zu empfehlen!!

Sudenaz Ocak

Android user

Diese App hat mich echt verbessert! In der Schule war ich richtig schlecht in Mathe und dank der App kann ich besser Mathe! Ich bin so dankbar, dass ihr die App gemacht habt.

Greenlight Bonnie

Android user

Ich benutze Knowunity schon sehr lange und meine Noten haben sich verbessert die App hilft mir bei Mathe,Englisch u.s.w. Ich bekomme Hilfe wenn ich sie brauche und bekomme sogar Glückwünsche für meine Arbeit Deswegen von mir 5 Sterne🫶🏼

Julia S

Android user

Also die App hat mir echt in super vielen Fächern geholfen! Ich hatte in der Mathe Arbeit davor eine 3+ und habe nur durch den School GPT und die Lernzettek auf der App eine 1-3 in Mathe geschafft…Ich bin Mega glücklich darüber also ja wircklich eine super App zum lernen und es spart sehr viel Heit dass man mehr Freizeit hat!

Marcus B

iOS user

DIE QUIZZES UND KARTEIKARTEN SIND SO NÜTZLICH UND ICH LIEBE Knowunity KI. ES IST AUCH BUCHSTÄBLICH WIE CHATGPT NUR SCHLAUER!! HAT MIR SOGAR BEI MEINEN MASCARA PROBLEMEN GEHOLFEN!! GENAUSO WIE BEI MEINEN ECHTEN FÄCHERN! OFFENSICHTLICH 😍😁😲🤑💗✨🎀😮

Sarah L

Android user

Hatte noch nie so viel Spaß beim Lernen und der School Bot macht super Aufschriebe die man Herunterladen kann total Übersichtlich und Lehreich. Bin begeistert.

Hans T

iOS user