Zahlenfolgen sind ein zentrales Thema in der Analysis der 11.... Mehr anzeigen
Melde dich an, um den Inhalt zu sehenKostenlos!
Zugriff auf alle Dokumente
Verbessere deine Noten
Schließ dich Millionen Schülern an
Knowunity KI
Fächer
Triangle Congruence and Similarity Theorems
Triangle Properties and Classification
Linear Equations and Graphs
Geometric Angle Relationships
Trigonometric Functions and Identities
Equation Solving Techniques
Circle Geometry Fundamentals
Division Operations and Methods
Basic Differentiation Rules
Exponent and Logarithm Properties
Alle Themen anzeigen
Human Organ Systems
Reproductive Cell Cycles
Biological Sciences Subdisciplines
Cellular Energy Metabolism
Autotrophic Energy Processes
Inheritance Patterns and Principles
Biomolecular Structure and Organization
Cell Cycle and Division Mechanics
Cellular Organization and Development
Biological Structural Organization
Alle Themen anzeigen
Chemical Sciences and Applications
Atomic Structure and Composition
Molecular Electron Structure Representation
Atomic Electron Behavior
Matter Properties and Water
Mole Concept and Calculations
Gas Laws and Behavior
Periodic Table Organization
Chemical Thermodynamics Fundamentals
Chemical Bond Types and Properties
Alle Themen anzeigen
European Renaissance and Enlightenment
European Cultural Movements 800-1920
American Revolution Era 1763-1797
American Civil War 1861-1865
Global Imperial Systems
Mongol and Chinese Dynasties
U.S. Presidents and World Leaders
Historical Sources and Documentation
World Wars Era and Impact
World Religious Systems
Alle Themen anzeigen
Classic and Contemporary Novels
Literary Character Analysis
Rhetorical Theory and Practice
Classic Literary Narratives
Reading Analysis and Interpretation
Narrative Structure and Techniques
English Language Components
Influential English-Language Authors
Basic Sentence Structure
Narrative Voice and Perspective
Alle Themen anzeigen
747
•
Aktualisiert Mar 17, 2026
•
Nicola
@nicola_dpye
Zahlenfolgen sind ein zentrales Thema in der Analysis der 11.... Mehr anzeigen





Zahlenfolgen sind im Grunde nur Listen von Zahlen in einer bestimmten Reihenfolge - wie 4, 6, 8, 10, ... Du ordnest jeder natürlichen Zahl n eine reelle Zahl an zu. Das n-te Folgenglied an steht dabei an der n-ten Stelle.
Es gibt zwei Wege, Folgen zu beschreiben: Rekursiv bedeutet, dass du das erste Glied und eine Regel bekommst, wie du vom aktuellen zum nächsten Glied kommst. Bei der Folge 4, 6, 8, 10, ... wäre das: a₁ = 4 und a_{n+1} = aₙ + 2.
Explizit ist praktischer - hier kriegst du eine fertige Formel und kannst jedes beliebige Glied sofort ausrechnen. Für dieselbe Folge wäre das aₙ = 2 + 2n.
Merktipp: Rekursiv = Schritt für Schritt, Explizit = Direkter Sprung zum Ziel!
Du kannst rekursive Folgen in explizite umwandeln, indem du Muster erkennst: Bei Addition wird aus dem konstanten Wert eine Multiplikation mit , bei Multiplikation wird der Faktor zur Potenz.

Arithmetische Folgen haben eine konstante Differenz d zwischen benachbarten Gliedern. Die Folge 7, 14, 21, 28, ... hat d = 7. Rekursiv schreibst du: a_{n+1} = aₙ + d, explizit: aₙ = a₁ + · d.
Geometrische Folgen haben einen konstanten Quotienten q zwischen benachbarten Gliedern. Bei 4, 8, 16, ... ist q = 2. Rekursiv: a_{n+1} = q · aₙ, explizit: aₙ = a₁ · q^{n-1}.
Beim Graphen von Zahlenfolgen trägst du n auf der x-Achse und aₙ auf der y-Achse ein. Wichtig: Die Punkte werden NICHT verbunden, da nur natürliche Zahlen für n erlaubt sind!
Praxis-Tipp: Arithmetisch = immer gleich dazu addieren, Geometrisch = immer mit dem gleichen Faktor multiplizieren!

Stell dir vor, du legst um eine Zahl g einen beliebig schmalen Streifen. Wenn ab einem bestimmten Folgenglied alle weiteren in diesem Streifen liegen, dann ist g der Grenzwert der Folge. Schreibweise: lim_{n→∞} (aₙ) = g.
Eine konvergente Folge hat einen Grenzwert, eine Nullfolge konvergiert gegen 0. Das ist immer konvergent und super wichtig für Rechnungen!
Die Grenzwertsätze helfen dir bei komplizierteren Folgen: Du kannst Grenzwerte von Summen, Differenzen, Produkten und Quotienten einzeln berechnen und dann zusammensetzen.
Wichtig: Grenzwertsätze funktionieren nur bei konvergenten Folgen!
Beim Kürzen von Brüchen mit n-Potenzen kürzt du immer mit der höchsten n-Potenz. Beispiel: Bei / kürzt du mit n², und Terme wie 4/n gehen gegen 0.

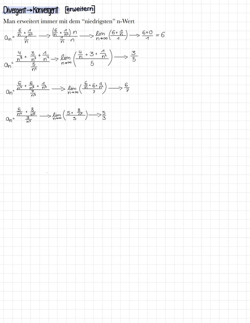
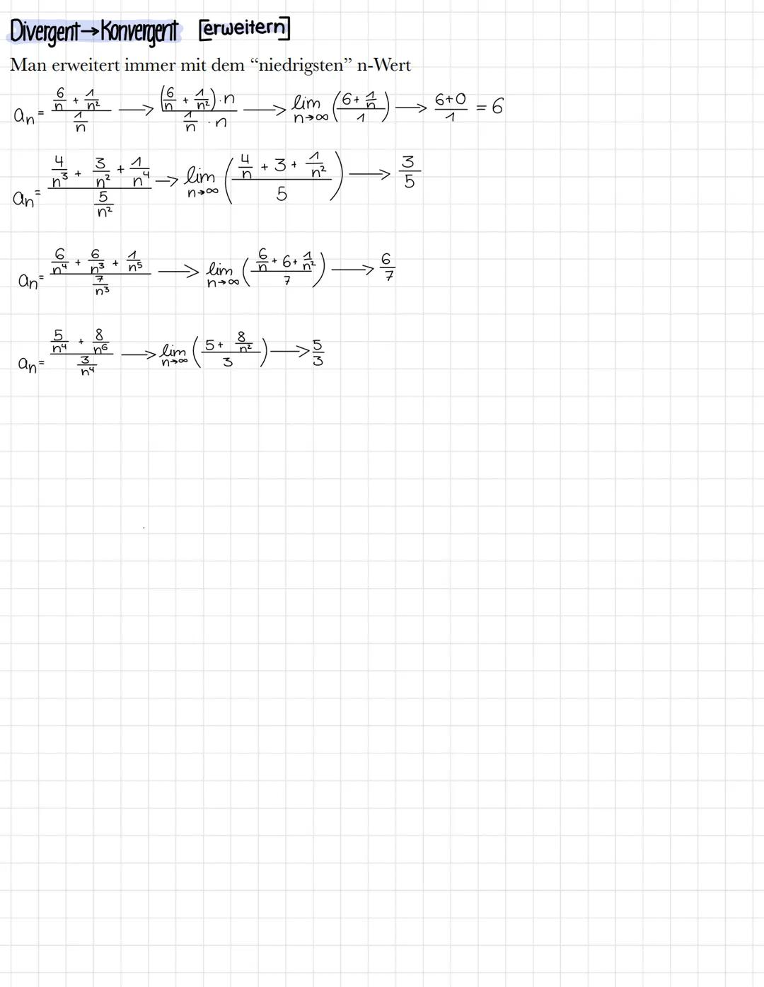
Manchmal hast du Summen von Brüchen wie 6/n + 4/n². Hier erweiterst du mit der niedrigsten n-Potenz im Nenner - also mit n.
Das wird dann zu: /(n·n²) = /n³. Jetzt kannst du wieder mit der höchsten Potenz (n³) kürzen.
Bei Folgen wie 4/n³ + 3/n² + 4/n gehst du genauso vor: Erweitern mit n (der niedrigsten Potenz), dann normal kürzen.
Strategie: Erweitern macht aus mehreren Brüchen einen einzigen - dann kannst du die normalen Kürzungsregeln anwenden!
Diese Technik ist besonders nützlich, wenn du verschiedene n-Potenzen in den Nennern hast und einen gemeinsamen Grenzwert finden musst.
Unser KI-Begleiter ist ein speziell für Schüler entwickeltes KI-Tool, das mehr als nur Antworten bietet. Basierend auf Millionen von Knowunity-Inhalten liefert er relevante Informationen, personalisierte Lernpläne, Quizze und Inhalte direkt im Chat und passt sich deinem individuellen Lernweg an.
Du kannst die App im Google Play Store und im Apple App Store herunterladen.
Genau! Genieße kostenlosen Zugang zu Lerninhalten, vernetze dich mit anderen Schülern und hol dir sofortige Hilfe – alles direkt auf deinem Handy.
App Store
Google Play
Die App ist sehr einfach zu bedienen und gut gestaltet. Ich habe bisher alles gefunden, wonach ich gesucht habe, und konnte viel aus den Präsentationen lernen! Ich werde die App definitiv für ein Schulprojekt nutzen! Und natürlich hilft sie auch sehr als Inspiration.
Stefan S
iOS-Nutzer
Diese App ist wirklich super. Es gibt so viele Lernzettel und Hilfen [...]. Mein Problemfach ist zum Beispiel Französisch und die App hat so viele Möglichkeiten zur Hilfe. Dank dieser App habe ich mich in Französisch verbessert. Ich würde sie jedem empfehlen.
Samantha Klich
Android-Nutzerin
Wow, ich bin wirklich begeistert. Ich habe die App einfach mal ausprobiert, weil ich sie schon oft beworben gesehen habe und war absolut beeindruckt. Diese App ist DIE HILFE, die man für die Schule braucht und vor allem bietet sie so viele Dinge wie Übungen und Lernzettel, die mir persönlich SEHR geholfen haben.
Anna
iOS-Nutzerin
Beste App der Welt! Keine Worte, weil sie einfach zu gut ist
Thomas R
iOS-Nutzer
Einfach genial. Lässt mich 10x besser lernen, diese App ist eine glatte 10/10. Ich empfehle sie jedem. Ich kann Lernzettel anschauen und suchen. Ich kann sie im Fachordner speichern. Ich kann sie jederzeit wiederholen, wenn ich zurückkomme. Wenn du diese App noch nicht ausprobiert hast, verpasst du wirklich was.
Basil
Android-Nutzer
Diese App hat mich so viel selbstbewusster in meiner Klausurvorbereitung gemacht, nicht nur durch die Stärkung meines Selbstvertrauens durch die Features, die es dir ermöglichen, dich mit anderen zu vernetzen und dich weniger allein zu fühlen, sondern auch durch die Art, wie die App selbst darauf ausgerichtet ist, dass du dich besser fühlst. Sie ist einfach zu bedienen, macht Spaß und hilft jedem, der in irgendeiner Weise Schwierigkeiten hat.
David K
iOS-Nutzer
Die App ist einfach super! Ich muss nur das Thema in die Suche eingeben und bekomme sofort eine Antwort. Ich muss nicht mehr 10 YouTube-Videos schauen, um etwas zu verstehen, und spare dadurch richtig viel Zeit. Sehr empfehlenswert!
Sudenaz Ocak
Android-Nutzerin
In der Schule war ich echt schlecht in Mathe, aber dank der App bin ich jetzt besser geworden. Ich bin so dankbar, dass ihr die App gemacht habt.
Greenlight Bonnie
Android-Nutzerin
sehr zuverlässige App, um deine Ideen in Mathe, Englisch und anderen verwandten Themen zu verbessern. bitte nutze diese App, wenn du in bestimmten Bereichen Schwierigkeiten hast, diese App ist dafür der Schlüssel. wünschte, ich hätte früher eine Bewertung geschrieben. und sie ist auch kostenlos, also mach dir darüber keine Sorgen.
Rohan U
Android-Nutzer
Ich weiß, dass viele Apps gefälschte Accounts nutzen, um ihre Bewertungen zu pushen, aber diese App verdient das alles. Ursprünglich hatte ich eine 4 in meinen Englisch-Klausuren und dieses Mal habe ich eine 2 bekommen. Ich wusste erst drei Tage vor der Klausur von dieser App und sie hat mir SEHR geholfen. Bitte vertrau mir wirklich und nutze sie, denn ich bin sicher, dass auch du Fortschritte sehen wirst.
Xander S
iOS-Nutzer
DIE QUIZZE UND KARTEIKARTEN SIND SO NÜTZLICH UND ICH LIEBE Knowunity KI. ES IST AUCH BUCHSTÄBLICH WIE CHATGPT ABER SCHLAUER!! HAT MIR AUCH BEI MEINEN MASCARA-PROBLEMEN GEHOLFEN!! SOWIE BEI MEINEN ECHTEN FÄCHERN! NATÜRLICH 😍😁😲🤑💗✨🎀😮
Elisha
iOS-Nutzer
Diese App ist echt der Hammer. Ich finde Lernen so langweilig, aber diese App macht es so einfach, alles zu organisieren und dann kannst du die kostenlose KI bitten, dich abzufragen, so gut, und du kannst einfach deine eigenen Sachen hochladen. sehr empfehlenswert als jemand, der gerade Probeklausuren schreibt
Paul T
iOS-Nutzer
Die App ist sehr einfach zu bedienen und gut gestaltet. Ich habe bisher alles gefunden, wonach ich gesucht habe, und konnte viel aus den Präsentationen lernen! Ich werde die App definitiv für ein Schulprojekt nutzen! Und natürlich hilft sie auch sehr als Inspiration.
Stefan S
iOS-Nutzer
Diese App ist wirklich super. Es gibt so viele Lernzettel und Hilfen [...]. Mein Problemfach ist zum Beispiel Französisch und die App hat so viele Möglichkeiten zur Hilfe. Dank dieser App habe ich mich in Französisch verbessert. Ich würde sie jedem empfehlen.
Samantha Klich
Android-Nutzerin
Wow, ich bin wirklich begeistert. Ich habe die App einfach mal ausprobiert, weil ich sie schon oft beworben gesehen habe und war absolut beeindruckt. Diese App ist DIE HILFE, die man für die Schule braucht und vor allem bietet sie so viele Dinge wie Übungen und Lernzettel, die mir persönlich SEHR geholfen haben.
Anna
iOS-Nutzerin
Beste App der Welt! Keine Worte, weil sie einfach zu gut ist
Thomas R
iOS-Nutzer
Einfach genial. Lässt mich 10x besser lernen, diese App ist eine glatte 10/10. Ich empfehle sie jedem. Ich kann Lernzettel anschauen und suchen. Ich kann sie im Fachordner speichern. Ich kann sie jederzeit wiederholen, wenn ich zurückkomme. Wenn du diese App noch nicht ausprobiert hast, verpasst du wirklich was.
Basil
Android-Nutzer
Diese App hat mich so viel selbstbewusster in meiner Klausurvorbereitung gemacht, nicht nur durch die Stärkung meines Selbstvertrauens durch die Features, die es dir ermöglichen, dich mit anderen zu vernetzen und dich weniger allein zu fühlen, sondern auch durch die Art, wie die App selbst darauf ausgerichtet ist, dass du dich besser fühlst. Sie ist einfach zu bedienen, macht Spaß und hilft jedem, der in irgendeiner Weise Schwierigkeiten hat.
David K
iOS-Nutzer
Die App ist einfach super! Ich muss nur das Thema in die Suche eingeben und bekomme sofort eine Antwort. Ich muss nicht mehr 10 YouTube-Videos schauen, um etwas zu verstehen, und spare dadurch richtig viel Zeit. Sehr empfehlenswert!
Sudenaz Ocak
Android-Nutzerin
In der Schule war ich echt schlecht in Mathe, aber dank der App bin ich jetzt besser geworden. Ich bin so dankbar, dass ihr die App gemacht habt.
Greenlight Bonnie
Android-Nutzerin
sehr zuverlässige App, um deine Ideen in Mathe, Englisch und anderen verwandten Themen zu verbessern. bitte nutze diese App, wenn du in bestimmten Bereichen Schwierigkeiten hast, diese App ist dafür der Schlüssel. wünschte, ich hätte früher eine Bewertung geschrieben. und sie ist auch kostenlos, also mach dir darüber keine Sorgen.
Rohan U
Android-Nutzer
Ich weiß, dass viele Apps gefälschte Accounts nutzen, um ihre Bewertungen zu pushen, aber diese App verdient das alles. Ursprünglich hatte ich eine 4 in meinen Englisch-Klausuren und dieses Mal habe ich eine 2 bekommen. Ich wusste erst drei Tage vor der Klausur von dieser App und sie hat mir SEHR geholfen. Bitte vertrau mir wirklich und nutze sie, denn ich bin sicher, dass auch du Fortschritte sehen wirst.
Xander S
iOS-Nutzer
DIE QUIZZE UND KARTEIKARTEN SIND SO NÜTZLICH UND ICH LIEBE Knowunity KI. ES IST AUCH BUCHSTÄBLICH WIE CHATGPT ABER SCHLAUER!! HAT MIR AUCH BEI MEINEN MASCARA-PROBLEMEN GEHOLFEN!! SOWIE BEI MEINEN ECHTEN FÄCHERN! NATÜRLICH 😍😁😲🤑💗✨🎀😮
Elisha
iOS-Nutzer
Diese App ist echt der Hammer. Ich finde Lernen so langweilig, aber diese App macht es so einfach, alles zu organisieren und dann kannst du die kostenlose KI bitten, dich abzufragen, so gut, und du kannst einfach deine eigenen Sachen hochladen. sehr empfehlenswert als jemand, der gerade Probeklausuren schreibt
Paul T
iOS-Nutzer
Nicola
@nicola_dpye
Zahlenfolgen sind ein zentrales Thema in der Analysis der 11. Klasse - und ehrlich gesagt, viel einfacher als sie zunächst aussehen! Du lernst hier, wie man mathematische Folgen beschreibt, berechnet und analysiert, was dir später bei Funktionen und Grenzwerten richtig... Mehr anzeigen

Zugriff auf alle Dokumente
Verbessere deine Noten
Schließ dich Millionen Schülern an
Zahlenfolgen sind im Grunde nur Listen von Zahlen in einer bestimmten Reihenfolge - wie 4, 6, 8, 10, ... Du ordnest jeder natürlichen Zahl n eine reelle Zahl an zu. Das n-te Folgenglied an steht dabei an der n-ten Stelle.
Es gibt zwei Wege, Folgen zu beschreiben: Rekursiv bedeutet, dass du das erste Glied und eine Regel bekommst, wie du vom aktuellen zum nächsten Glied kommst. Bei der Folge 4, 6, 8, 10, ... wäre das: a₁ = 4 und a_{n+1} = aₙ + 2.
Explizit ist praktischer - hier kriegst du eine fertige Formel und kannst jedes beliebige Glied sofort ausrechnen. Für dieselbe Folge wäre das aₙ = 2 + 2n.
Merktipp: Rekursiv = Schritt für Schritt, Explizit = Direkter Sprung zum Ziel!
Du kannst rekursive Folgen in explizite umwandeln, indem du Muster erkennst: Bei Addition wird aus dem konstanten Wert eine Multiplikation mit , bei Multiplikation wird der Faktor zur Potenz.

Zugriff auf alle Dokumente
Verbessere deine Noten
Schließ dich Millionen Schülern an
Arithmetische Folgen haben eine konstante Differenz d zwischen benachbarten Gliedern. Die Folge 7, 14, 21, 28, ... hat d = 7. Rekursiv schreibst du: a_{n+1} = aₙ + d, explizit: aₙ = a₁ + · d.
Geometrische Folgen haben einen konstanten Quotienten q zwischen benachbarten Gliedern. Bei 4, 8, 16, ... ist q = 2. Rekursiv: a_{n+1} = q · aₙ, explizit: aₙ = a₁ · q^{n-1}.
Beim Graphen von Zahlenfolgen trägst du n auf der x-Achse und aₙ auf der y-Achse ein. Wichtig: Die Punkte werden NICHT verbunden, da nur natürliche Zahlen für n erlaubt sind!
Praxis-Tipp: Arithmetisch = immer gleich dazu addieren, Geometrisch = immer mit dem gleichen Faktor multiplizieren!

Zugriff auf alle Dokumente
Verbessere deine Noten
Schließ dich Millionen Schülern an
Stell dir vor, du legst um eine Zahl g einen beliebig schmalen Streifen. Wenn ab einem bestimmten Folgenglied alle weiteren in diesem Streifen liegen, dann ist g der Grenzwert der Folge. Schreibweise: lim_{n→∞} (aₙ) = g.
Eine konvergente Folge hat einen Grenzwert, eine Nullfolge konvergiert gegen 0. Das ist immer konvergent und super wichtig für Rechnungen!
Die Grenzwertsätze helfen dir bei komplizierteren Folgen: Du kannst Grenzwerte von Summen, Differenzen, Produkten und Quotienten einzeln berechnen und dann zusammensetzen.
Wichtig: Grenzwertsätze funktionieren nur bei konvergenten Folgen!
Beim Kürzen von Brüchen mit n-Potenzen kürzt du immer mit der höchsten n-Potenz. Beispiel: Bei / kürzt du mit n², und Terme wie 4/n gehen gegen 0.

Zugriff auf alle Dokumente
Verbessere deine Noten
Schließ dich Millionen Schülern an
Manchmal hast du Summen von Brüchen wie 6/n + 4/n². Hier erweiterst du mit der niedrigsten n-Potenz im Nenner - also mit n.
Das wird dann zu: /(n·n²) = /n³. Jetzt kannst du wieder mit der höchsten Potenz (n³) kürzen.
Bei Folgen wie 4/n³ + 3/n² + 4/n gehst du genauso vor: Erweitern mit n (der niedrigsten Potenz), dann normal kürzen.
Strategie: Erweitern macht aus mehreren Brüchen einen einzigen - dann kannst du die normalen Kürzungsregeln anwenden!
Diese Technik ist besonders nützlich, wenn du verschiedene n-Potenzen in den Nennern hast und einen gemeinsamen Grenzwert finden musst.
Unser KI-Begleiter ist ein speziell für Schüler entwickeltes KI-Tool, das mehr als nur Antworten bietet. Basierend auf Millionen von Knowunity-Inhalten liefert er relevante Informationen, personalisierte Lernpläne, Quizze und Inhalte direkt im Chat und passt sich deinem individuellen Lernweg an.
Du kannst die App im Google Play Store und im Apple App Store herunterladen.
Genau! Genieße kostenlosen Zugang zu Lerninhalten, vernetze dich mit anderen Schülern und hol dir sofortige Hilfe – alles direkt auf deinem Handy.
11
Smart Tools NEU
Verwandle diesen Lernzettel in: ✓ 50+ Übungsfragen ✓ Interaktive Karteikarten ✓ Komplette Probeklausur ✓ Aufsatzgliederungen
Erfahren Sie alles über die Produktregel in der Differentiation. Diese Zusammenfassung bietet eine klare Definition, die Ableitungsformel und zahlreiche Beispiele zur Anwendung der Produktregel. Ideal für Studierende, die ihre Kenntnisse in der Mathematik vertiefen möchten.
Erfahre alles über quadratische Funktionen: Definitionsbereich, Wertebereich, Nullstellen und die Anwendung der PQ-Formel. Diese Zusammenfassung bietet eine klare Erklärung der Normalform, Scheitelpunktform und der Berechnung von Funktionsgleichungen. Ideal für Schüler, die sich auf Prüfungen vorbereiten oder ihr Wissen vertiefen möchten.
Diese Zusammenfassung deckt alle wichtigen Themen für das Mathe-Abitur ab, einschließlich Analysis, Geometrie und Stochastik. Ideal für Leistungskurse und Grundkurse. Enthält wichtige Konzepte wie Ableitungen, Integrale, Wahrscheinlichkeitsverteilungen und mehr. Perfekt zur Vorbereitung auf Prüfungen.
Erfahre alles über graphisches Ableiten, Nullstellenbestimmung, Potenz- und quadratische Funktionen. Diese Zusammenfassung behandelt Ableitungsregeln, die mittlere und momentane Änderungsrate sowie die Symmetrien von Funktionen. Ideal für Gymnasiasten zur Vorbereitung auf Prüfungen.
Dieser Lernzettel behandelt die wichtigsten Konzepte zu Funktionen, einschließlich der Bestimmung von Differenzquotienten, mittlerer Änderungsrate, Symmetrieeigenschaften und Nullstellen. Ideal für Studierende der Mathematik, die sich auf Prüfungen vorbereiten oder ihr Verständnis vertiefen möchten.
Diese Anleitung bietet eine Schritt-für-Schritt-Methode zur Lösung von Steckbriefaufgaben in der Mathematik. Erfahren Sie, wie Sie Funktionsgleichungen aufstellen, Bedingungen umwandeln und Gleichungssysteme lösen, um Infektionspunkte und andere wichtige Eigenschaften zu bestimmen. Ideal für Schüler, die ihre Fähigkeiten in der Funktionsanalyse verbessern möchten.
App Store
Google Play
Die App ist sehr einfach zu bedienen und gut gestaltet. Ich habe bisher alles gefunden, wonach ich gesucht habe, und konnte viel aus den Präsentationen lernen! Ich werde die App definitiv für ein Schulprojekt nutzen! Und natürlich hilft sie auch sehr als Inspiration.
Stefan S
iOS-Nutzer
Diese App ist wirklich super. Es gibt so viele Lernzettel und Hilfen [...]. Mein Problemfach ist zum Beispiel Französisch und die App hat so viele Möglichkeiten zur Hilfe. Dank dieser App habe ich mich in Französisch verbessert. Ich würde sie jedem empfehlen.
Samantha Klich
Android-Nutzerin
Wow, ich bin wirklich begeistert. Ich habe die App einfach mal ausprobiert, weil ich sie schon oft beworben gesehen habe und war absolut beeindruckt. Diese App ist DIE HILFE, die man für die Schule braucht und vor allem bietet sie so viele Dinge wie Übungen und Lernzettel, die mir persönlich SEHR geholfen haben.
Anna
iOS-Nutzerin
Beste App der Welt! Keine Worte, weil sie einfach zu gut ist
Thomas R
iOS-Nutzer
Einfach genial. Lässt mich 10x besser lernen, diese App ist eine glatte 10/10. Ich empfehle sie jedem. Ich kann Lernzettel anschauen und suchen. Ich kann sie im Fachordner speichern. Ich kann sie jederzeit wiederholen, wenn ich zurückkomme. Wenn du diese App noch nicht ausprobiert hast, verpasst du wirklich was.
Basil
Android-Nutzer
Diese App hat mich so viel selbstbewusster in meiner Klausurvorbereitung gemacht, nicht nur durch die Stärkung meines Selbstvertrauens durch die Features, die es dir ermöglichen, dich mit anderen zu vernetzen und dich weniger allein zu fühlen, sondern auch durch die Art, wie die App selbst darauf ausgerichtet ist, dass du dich besser fühlst. Sie ist einfach zu bedienen, macht Spaß und hilft jedem, der in irgendeiner Weise Schwierigkeiten hat.
David K
iOS-Nutzer
Die App ist einfach super! Ich muss nur das Thema in die Suche eingeben und bekomme sofort eine Antwort. Ich muss nicht mehr 10 YouTube-Videos schauen, um etwas zu verstehen, und spare dadurch richtig viel Zeit. Sehr empfehlenswert!
Sudenaz Ocak
Android-Nutzerin
In der Schule war ich echt schlecht in Mathe, aber dank der App bin ich jetzt besser geworden. Ich bin so dankbar, dass ihr die App gemacht habt.
Greenlight Bonnie
Android-Nutzerin
sehr zuverlässige App, um deine Ideen in Mathe, Englisch und anderen verwandten Themen zu verbessern. bitte nutze diese App, wenn du in bestimmten Bereichen Schwierigkeiten hast, diese App ist dafür der Schlüssel. wünschte, ich hätte früher eine Bewertung geschrieben. und sie ist auch kostenlos, also mach dir darüber keine Sorgen.
Rohan U
Android-Nutzer
Ich weiß, dass viele Apps gefälschte Accounts nutzen, um ihre Bewertungen zu pushen, aber diese App verdient das alles. Ursprünglich hatte ich eine 4 in meinen Englisch-Klausuren und dieses Mal habe ich eine 2 bekommen. Ich wusste erst drei Tage vor der Klausur von dieser App und sie hat mir SEHR geholfen. Bitte vertrau mir wirklich und nutze sie, denn ich bin sicher, dass auch du Fortschritte sehen wirst.
Xander S
iOS-Nutzer
DIE QUIZZE UND KARTEIKARTEN SIND SO NÜTZLICH UND ICH LIEBE Knowunity KI. ES IST AUCH BUCHSTÄBLICH WIE CHATGPT ABER SCHLAUER!! HAT MIR AUCH BEI MEINEN MASCARA-PROBLEMEN GEHOLFEN!! SOWIE BEI MEINEN ECHTEN FÄCHERN! NATÜRLICH 😍😁😲🤑💗✨🎀😮
Elisha
iOS-Nutzer
Diese App ist echt der Hammer. Ich finde Lernen so langweilig, aber diese App macht es so einfach, alles zu organisieren und dann kannst du die kostenlose KI bitten, dich abzufragen, so gut, und du kannst einfach deine eigenen Sachen hochladen. sehr empfehlenswert als jemand, der gerade Probeklausuren schreibt
Paul T
iOS-Nutzer
Die App ist sehr einfach zu bedienen und gut gestaltet. Ich habe bisher alles gefunden, wonach ich gesucht habe, und konnte viel aus den Präsentationen lernen! Ich werde die App definitiv für ein Schulprojekt nutzen! Und natürlich hilft sie auch sehr als Inspiration.
Stefan S
iOS-Nutzer
Diese App ist wirklich super. Es gibt so viele Lernzettel und Hilfen [...]. Mein Problemfach ist zum Beispiel Französisch und die App hat so viele Möglichkeiten zur Hilfe. Dank dieser App habe ich mich in Französisch verbessert. Ich würde sie jedem empfehlen.
Samantha Klich
Android-Nutzerin
Wow, ich bin wirklich begeistert. Ich habe die App einfach mal ausprobiert, weil ich sie schon oft beworben gesehen habe und war absolut beeindruckt. Diese App ist DIE HILFE, die man für die Schule braucht und vor allem bietet sie so viele Dinge wie Übungen und Lernzettel, die mir persönlich SEHR geholfen haben.
Anna
iOS-Nutzerin
Beste App der Welt! Keine Worte, weil sie einfach zu gut ist
Thomas R
iOS-Nutzer
Einfach genial. Lässt mich 10x besser lernen, diese App ist eine glatte 10/10. Ich empfehle sie jedem. Ich kann Lernzettel anschauen und suchen. Ich kann sie im Fachordner speichern. Ich kann sie jederzeit wiederholen, wenn ich zurückkomme. Wenn du diese App noch nicht ausprobiert hast, verpasst du wirklich was.
Basil
Android-Nutzer
Diese App hat mich so viel selbstbewusster in meiner Klausurvorbereitung gemacht, nicht nur durch die Stärkung meines Selbstvertrauens durch die Features, die es dir ermöglichen, dich mit anderen zu vernetzen und dich weniger allein zu fühlen, sondern auch durch die Art, wie die App selbst darauf ausgerichtet ist, dass du dich besser fühlst. Sie ist einfach zu bedienen, macht Spaß und hilft jedem, der in irgendeiner Weise Schwierigkeiten hat.
David K
iOS-Nutzer
Die App ist einfach super! Ich muss nur das Thema in die Suche eingeben und bekomme sofort eine Antwort. Ich muss nicht mehr 10 YouTube-Videos schauen, um etwas zu verstehen, und spare dadurch richtig viel Zeit. Sehr empfehlenswert!
Sudenaz Ocak
Android-Nutzerin
In der Schule war ich echt schlecht in Mathe, aber dank der App bin ich jetzt besser geworden. Ich bin so dankbar, dass ihr die App gemacht habt.
Greenlight Bonnie
Android-Nutzerin
sehr zuverlässige App, um deine Ideen in Mathe, Englisch und anderen verwandten Themen zu verbessern. bitte nutze diese App, wenn du in bestimmten Bereichen Schwierigkeiten hast, diese App ist dafür der Schlüssel. wünschte, ich hätte früher eine Bewertung geschrieben. und sie ist auch kostenlos, also mach dir darüber keine Sorgen.
Rohan U
Android-Nutzer
Ich weiß, dass viele Apps gefälschte Accounts nutzen, um ihre Bewertungen zu pushen, aber diese App verdient das alles. Ursprünglich hatte ich eine 4 in meinen Englisch-Klausuren und dieses Mal habe ich eine 2 bekommen. Ich wusste erst drei Tage vor der Klausur von dieser App und sie hat mir SEHR geholfen. Bitte vertrau mir wirklich und nutze sie, denn ich bin sicher, dass auch du Fortschritte sehen wirst.
Xander S
iOS-Nutzer
DIE QUIZZE UND KARTEIKARTEN SIND SO NÜTZLICH UND ICH LIEBE Knowunity KI. ES IST AUCH BUCHSTÄBLICH WIE CHATGPT ABER SCHLAUER!! HAT MIR AUCH BEI MEINEN MASCARA-PROBLEMEN GEHOLFEN!! SOWIE BEI MEINEN ECHTEN FÄCHERN! NATÜRLICH 😍😁😲🤑💗✨🎀😮
Elisha
iOS-Nutzer
Diese App ist echt der Hammer. Ich finde Lernen so langweilig, aber diese App macht es so einfach, alles zu organisieren und dann kannst du die kostenlose KI bitten, dich abzufragen, so gut, und du kannst einfach deine eigenen Sachen hochladen. sehr empfehlenswert als jemand, der gerade Probeklausuren schreibt
Paul T
iOS-Nutzer