Du musst eine Kurvendiskussion machen und weißt nicht, wo du... Mehr anzeigen
Melde dich an, um den Inhalt zu sehenKostenlos!
Zugriff auf alle Dokumente
Verbessere deine Noten
Schließ dich Millionen Schülern an
Knowunity KI
Fächer
Triangle Congruence and Similarity Theorems
Triangle Properties and Classification
Linear Equations and Graphs
Geometric Angle Relationships
Trigonometric Functions and Identities
Equation Solving Techniques
Circle Geometry Fundamentals
Division Operations and Methods
Basic Differentiation Rules
Exponent and Logarithm Properties
Alle Themen anzeigen
Human Organ Systems
Reproductive Cell Cycles
Biological Sciences Subdisciplines
Cellular Energy Metabolism
Autotrophic Energy Processes
Inheritance Patterns and Principles
Biomolecular Structure and Organization
Cell Cycle and Division Mechanics
Cellular Organization and Development
Biological Structural Organization
Alle Themen anzeigen
Chemical Sciences and Applications
Atomic Structure and Composition
Molecular Electron Structure Representation
Atomic Electron Behavior
Matter Properties and Water
Mole Concept and Calculations
Gas Laws and Behavior
Periodic Table Organization
Chemical Thermodynamics Fundamentals
Chemical Bond Types and Properties
Alle Themen anzeigen
European Renaissance and Enlightenment
European Cultural Movements 800-1920
American Revolution Era 1763-1797
American Civil War 1861-1865
Global Imperial Systems
Mongol and Chinese Dynasties
U.S. Presidents and World Leaders
Historical Sources and Documentation
World Wars Era and Impact
World Religious Systems
Alle Themen anzeigen
Classic and Contemporary Novels
Literary Character Analysis
Rhetorical Theory and Practice
Classic Literary Narratives
Reading Analysis and Interpretation
Narrative Structure and Techniques
English Language Components
Influential English-Language Authors
Basic Sentence Structure
Narrative Voice and Perspective
Alle Themen anzeigen
649
•
Aktualisiert May 3, 2026
•
Bashar Rojava
@bashar.rojava
Du musst eine Kurvendiskussion machen und weißt nicht, wo du... Mehr anzeigen







Jede Kurvendiskussion startet mit dem Definitionsbereich - das sind einfach alle x-Werte, die du in deine Funktion einsetzen darfst. Bei ganzrationalen Funktionen (wie x² oder x³) ist das immer ganz ℝ, also alle reellen Zahlen.
Bei der Symmetrie checkst du, ob deine Funktion spiegelbar ist. Achsensymmetrie hast du, wenn alle Hochzahlen gerade sind (wie x², x⁴). Punktsymmetrie gibt's nur bei ungeraden Hochzahlen (x, x³, x⁵) und ohne Konstantenzahl am Ende.
Merktipp: Gerade Hochzahlen = Achsensymmetrie, ungerade = Punktsymmetrie!
Gemischte Hochzahlen bedeuten keine Symmetrie - dann ist die Funktion einfach unsymmetrisch.

Das Verhalten im Unendlichen zeigt dir, wohin der Graph läuft. Schau dir die höchste Hochzahl und deren Vorzeichen an. Bei geraden Hochzahlen geht's entweder nach +∞/+∞ oder -∞/-∞. Bei ungeraden läuft's entgegengesetzt: +∞/-∞ oder -∞/+∞.
Den y-Achsenabschnitt findest du mega einfach: Setze x = 0 in deine Funktion ein. Das Ergebnis ist der y-Wert, wo der Graph die y-Achse schneidet.
Beispiel: f(x) = 4x² + 3x - 6 → f(0) = -6, also Sy(0|-6)
Diese beiden Schritte geben dir schon eine grobe Vorstellung vom Aussehen deines Graphen.

Ableitungen bildest du mit einer simplen Regel: Hochzahl mal Koeffizient, dann Hochzahl minus 1. Konstanten fallen komplett weg! Aus 3x³ wird 9x², aus x wird 1.
Für Extrempunkte setzt du die erste Ableitung gleich null: f'(x) = 0. Die Lösungen sind deine x-Werte der Extremstellen.
Um herauszufinden, ob's ein Hoch- oder Tiefpunkt ist, setzt du diese x-Werte in die zweite Ableitung ein. Ist f''(x) > 0, hast du einen Tiefpunkt. Ist f''(x) < 0, einen Hochpunkt.
Eselsbrücke: Positiv = Tiefpunkt (lächelndes Gesicht), negativ = Hochpunkt (trauriges Gesicht)
Den y-Wert kriegst du, indem du den x-Wert in die ursprüngliche Funktion einsetzt.

Wendepunkte findest du, indem du f''(x) = 0 setzt. Diese Stellen zeigen, wo sich die Krümmung des Graphen ändert. Zur Kontrolle setzt du die gefundenen x-Werte in die dritte Ableitung ein - ist f'''(x) ≠ 0, hast du wirklich einen Wendepunkt.
Der Wertebereich gibt alle möglichen y-Werte an, die deine Funktion erreichen kann. Das hängt von den Extrempunkten und dem Verhalten im Unendlichen ab.
Tipp: Wendepunkte sind oft Sattelpunkte - der Graph wechselt von einer Linkskurve zu einer Rechtskurve oder umgekehrt.
Diese Informationen vervollständigen deine Kurvendiskussion und geben dir ein komplettes Bild der Funktion.

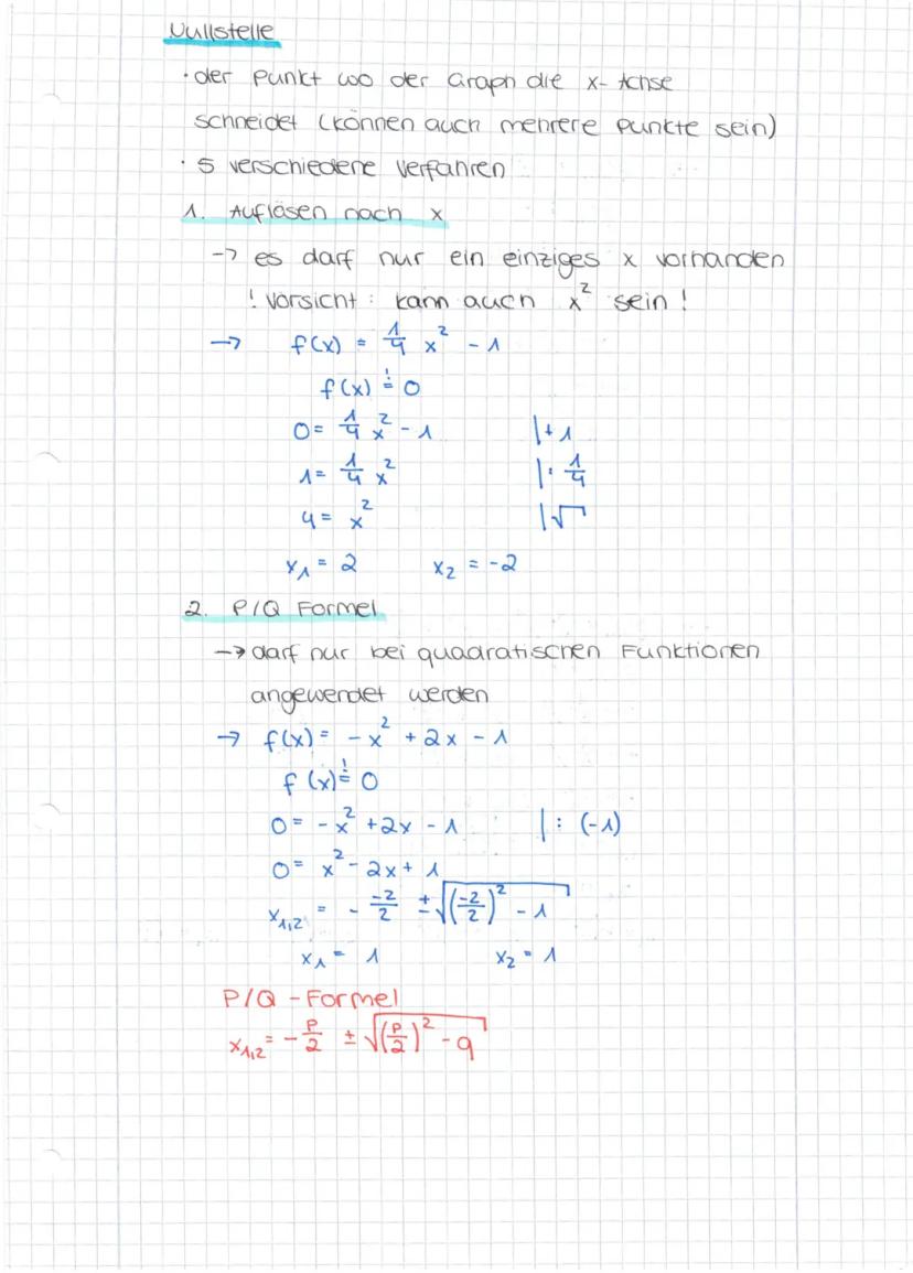
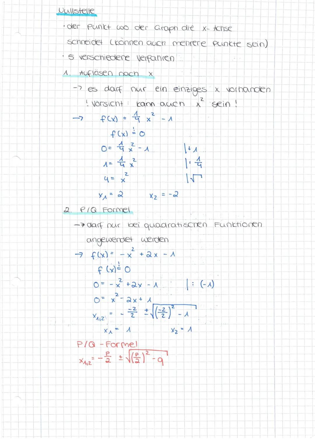
Nullstellen sind die Punkte, wo dein Graph die x-Achse schneidet - also wo f(x) = 0 ist. Es gibt verschiedene Lösungsverfahren je nach Funktionstyp.
Auflösen nach x funktioniert, wenn nur eine x-Größe da ist. Bei f(x) = ¼x² - 1 setzt du gleich null und löst nach x auf. Vergiss nicht die Wurzel am Ende - dann kriegst du meist zwei Lösungen!
Die p-q-Formel brauchst du bei quadratischen Funktionen der Form x² + px + q = 0. Die Formel kennst du: x₁,₂ = -p/2 ± √.
Wichtig: Bring deine Gleichung erst in die Normalform, bevor du die p-q-Formel anwendest!
Diese beiden Methoden decken schon viele Standardfälle ab.

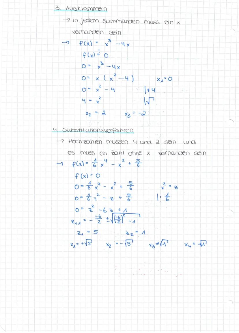
Ausklammern hilft dir, wenn in jedem Summanden ein x steht. Du ziehst das x vor die Klammer: x³ - 4x = x. Dann hast du x₁ = 0 und löst x² - 4 = 0 separat.
Das Substitutionsverfahren verwendest du bei biquadratischen Gleichungen (Hochzahlen 4 und 2). Du ersetzt x² durch z, löst die entstehende quadratische Gleichung und rechnest am Ende zurück.
Beispiel: x⁴ - 5x² + 6 = 0 wird zu z² - 5z + 6 = 0
Nach dem Lösen für z rechnest du x = ±√z für jede Lösung. So kriegst du bis zu vier Nullstellen bei einer Gleichung vierten Grades.
Diese Verfahren reichen für fast alle Schulaufgaben aus!
Unser KI-Begleiter ist ein speziell für Schüler entwickeltes KI-Tool, das mehr als nur Antworten bietet. Basierend auf Millionen von Knowunity-Inhalten liefert er relevante Informationen, personalisierte Lernpläne, Quizze und Inhalte direkt im Chat und passt sich deinem individuellen Lernweg an.
Du kannst die App im Google Play Store und im Apple App Store herunterladen.
Genau! Genieße kostenlosen Zugang zu Lerninhalten, vernetze dich mit anderen Schülern und hol dir sofortige Hilfe – alles direkt auf deinem Handy.
App Store
Google Play
Die App ist sehr einfach zu bedienen und gut gestaltet. Ich habe bisher alles gefunden, wonach ich gesucht habe, und konnte viel aus den Präsentationen lernen! Ich werde die App definitiv für ein Schulprojekt nutzen! Und natürlich hilft sie auch sehr als Inspiration.
Stefan S
iOS-Nutzer
Diese App ist wirklich super. Es gibt so viele Lernzettel und Hilfen [...]. Mein Problemfach ist zum Beispiel Französisch und die App hat so viele Möglichkeiten zur Hilfe. Dank dieser App habe ich mich in Französisch verbessert. Ich würde sie jedem empfehlen.
Samantha Klich
Android-Nutzerin
Wow, ich bin wirklich begeistert. Ich habe die App einfach mal ausprobiert, weil ich sie schon oft beworben gesehen habe und war absolut beeindruckt. Diese App ist DIE HILFE, die man für die Schule braucht und vor allem bietet sie so viele Dinge wie Übungen und Lernzettel, die mir persönlich SEHR geholfen haben.
Anna
iOS-Nutzerin
Beste App der Welt! Keine Worte, weil sie einfach zu gut ist
Thomas R
iOS-Nutzer
Einfach genial. Lässt mich 10x besser lernen, diese App ist eine glatte 10/10. Ich empfehle sie jedem. Ich kann Lernzettel anschauen und suchen. Ich kann sie im Fachordner speichern. Ich kann sie jederzeit wiederholen, wenn ich zurückkomme. Wenn du diese App noch nicht ausprobiert hast, verpasst du wirklich was.
Basil
Android-Nutzer
Diese App hat mich so viel selbstbewusster in meiner Klausurvorbereitung gemacht, nicht nur durch die Stärkung meines Selbstvertrauens durch die Features, die es dir ermöglichen, dich mit anderen zu vernetzen und dich weniger allein zu fühlen, sondern auch durch die Art, wie die App selbst darauf ausgerichtet ist, dass du dich besser fühlst. Sie ist einfach zu bedienen, macht Spaß und hilft jedem, der in irgendeiner Weise Schwierigkeiten hat.
David K
iOS-Nutzer
Die App ist einfach super! Ich muss nur das Thema in die Suche eingeben und bekomme sofort eine Antwort. Ich muss nicht mehr 10 YouTube-Videos schauen, um etwas zu verstehen, und spare dadurch richtig viel Zeit. Sehr empfehlenswert!
Sudenaz Ocak
Android-Nutzerin
In der Schule war ich echt schlecht in Mathe, aber dank der App bin ich jetzt besser geworden. Ich bin so dankbar, dass ihr die App gemacht habt.
Greenlight Bonnie
Android-Nutzerin
sehr zuverlässige App, um deine Ideen in Mathe, Englisch und anderen verwandten Themen zu verbessern. bitte nutze diese App, wenn du in bestimmten Bereichen Schwierigkeiten hast, diese App ist dafür der Schlüssel. wünschte, ich hätte früher eine Bewertung geschrieben. und sie ist auch kostenlos, also mach dir darüber keine Sorgen.
Rohan U
Android-Nutzer
Ich weiß, dass viele Apps gefälschte Accounts nutzen, um ihre Bewertungen zu pushen, aber diese App verdient das alles. Ursprünglich hatte ich eine 4 in meinen Englisch-Klausuren und dieses Mal habe ich eine 2 bekommen. Ich wusste erst drei Tage vor der Klausur von dieser App und sie hat mir SEHR geholfen. Bitte vertrau mir wirklich und nutze sie, denn ich bin sicher, dass auch du Fortschritte sehen wirst.
Xander S
iOS-Nutzer
DIE QUIZZE UND KARTEIKARTEN SIND SO NÜTZLICH UND ICH LIEBE Knowunity KI. ES IST AUCH BUCHSTÄBLICH WIE CHATGPT ABER SCHLAUER!! HAT MIR AUCH BEI MEINEN MASCARA-PROBLEMEN GEHOLFEN!! SOWIE BEI MEINEN ECHTEN FÄCHERN! NATÜRLICH 😍😁😲🤑💗✨🎀😮
Elisha
iOS-Nutzer
Diese App ist echt der Hammer. Ich finde Lernen so langweilig, aber diese App macht es so einfach, alles zu organisieren und dann kannst du die kostenlose KI bitten, dich abzufragen, so gut, und du kannst einfach deine eigenen Sachen hochladen. sehr empfehlenswert als jemand, der gerade Probeklausuren schreibt
Paul T
iOS-Nutzer
Die App ist sehr einfach zu bedienen und gut gestaltet. Ich habe bisher alles gefunden, wonach ich gesucht habe, und konnte viel aus den Präsentationen lernen! Ich werde die App definitiv für ein Schulprojekt nutzen! Und natürlich hilft sie auch sehr als Inspiration.
Stefan S
iOS-Nutzer
Diese App ist wirklich super. Es gibt so viele Lernzettel und Hilfen [...]. Mein Problemfach ist zum Beispiel Französisch und die App hat so viele Möglichkeiten zur Hilfe. Dank dieser App habe ich mich in Französisch verbessert. Ich würde sie jedem empfehlen.
Samantha Klich
Android-Nutzerin
Wow, ich bin wirklich begeistert. Ich habe die App einfach mal ausprobiert, weil ich sie schon oft beworben gesehen habe und war absolut beeindruckt. Diese App ist DIE HILFE, die man für die Schule braucht und vor allem bietet sie so viele Dinge wie Übungen und Lernzettel, die mir persönlich SEHR geholfen haben.
Anna
iOS-Nutzerin
Beste App der Welt! Keine Worte, weil sie einfach zu gut ist
Thomas R
iOS-Nutzer
Einfach genial. Lässt mich 10x besser lernen, diese App ist eine glatte 10/10. Ich empfehle sie jedem. Ich kann Lernzettel anschauen und suchen. Ich kann sie im Fachordner speichern. Ich kann sie jederzeit wiederholen, wenn ich zurückkomme. Wenn du diese App noch nicht ausprobiert hast, verpasst du wirklich was.
Basil
Android-Nutzer
Diese App hat mich so viel selbstbewusster in meiner Klausurvorbereitung gemacht, nicht nur durch die Stärkung meines Selbstvertrauens durch die Features, die es dir ermöglichen, dich mit anderen zu vernetzen und dich weniger allein zu fühlen, sondern auch durch die Art, wie die App selbst darauf ausgerichtet ist, dass du dich besser fühlst. Sie ist einfach zu bedienen, macht Spaß und hilft jedem, der in irgendeiner Weise Schwierigkeiten hat.
David K
iOS-Nutzer
Die App ist einfach super! Ich muss nur das Thema in die Suche eingeben und bekomme sofort eine Antwort. Ich muss nicht mehr 10 YouTube-Videos schauen, um etwas zu verstehen, und spare dadurch richtig viel Zeit. Sehr empfehlenswert!
Sudenaz Ocak
Android-Nutzerin
In der Schule war ich echt schlecht in Mathe, aber dank der App bin ich jetzt besser geworden. Ich bin so dankbar, dass ihr die App gemacht habt.
Greenlight Bonnie
Android-Nutzerin
sehr zuverlässige App, um deine Ideen in Mathe, Englisch und anderen verwandten Themen zu verbessern. bitte nutze diese App, wenn du in bestimmten Bereichen Schwierigkeiten hast, diese App ist dafür der Schlüssel. wünschte, ich hätte früher eine Bewertung geschrieben. und sie ist auch kostenlos, also mach dir darüber keine Sorgen.
Rohan U
Android-Nutzer
Ich weiß, dass viele Apps gefälschte Accounts nutzen, um ihre Bewertungen zu pushen, aber diese App verdient das alles. Ursprünglich hatte ich eine 4 in meinen Englisch-Klausuren und dieses Mal habe ich eine 2 bekommen. Ich wusste erst drei Tage vor der Klausur von dieser App und sie hat mir SEHR geholfen. Bitte vertrau mir wirklich und nutze sie, denn ich bin sicher, dass auch du Fortschritte sehen wirst.
Xander S
iOS-Nutzer
DIE QUIZZE UND KARTEIKARTEN SIND SO NÜTZLICH UND ICH LIEBE Knowunity KI. ES IST AUCH BUCHSTÄBLICH WIE CHATGPT ABER SCHLAUER!! HAT MIR AUCH BEI MEINEN MASCARA-PROBLEMEN GEHOLFEN!! SOWIE BEI MEINEN ECHTEN FÄCHERN! NATÜRLICH 😍😁😲🤑💗✨🎀😮
Elisha
iOS-Nutzer
Diese App ist echt der Hammer. Ich finde Lernen so langweilig, aber diese App macht es so einfach, alles zu organisieren und dann kannst du die kostenlose KI bitten, dich abzufragen, so gut, und du kannst einfach deine eigenen Sachen hochladen. sehr empfehlenswert als jemand, der gerade Probeklausuren schreibt
Paul T
iOS-Nutzer
Bashar Rojava
@bashar.rojava
Du musst eine Kurvendiskussion machen und weißt nicht, wo du anfangen sollst? Keine Panik! Eine Kurvendiskussion ist eigentlich nur eine systematische Untersuchung einer Funktion nach bestimmten Eigenschaften. Mit den richtigen Schritten wird das zum Kinderspiel.

Zugriff auf alle Dokumente
Verbessere deine Noten
Schließ dich Millionen Schülern an
Jede Kurvendiskussion startet mit dem Definitionsbereich - das sind einfach alle x-Werte, die du in deine Funktion einsetzen darfst. Bei ganzrationalen Funktionen (wie x² oder x³) ist das immer ganz ℝ, also alle reellen Zahlen.
Bei der Symmetrie checkst du, ob deine Funktion spiegelbar ist. Achsensymmetrie hast du, wenn alle Hochzahlen gerade sind (wie x², x⁴). Punktsymmetrie gibt's nur bei ungeraden Hochzahlen (x, x³, x⁵) und ohne Konstantenzahl am Ende.
Merktipp: Gerade Hochzahlen = Achsensymmetrie, ungerade = Punktsymmetrie!
Gemischte Hochzahlen bedeuten keine Symmetrie - dann ist die Funktion einfach unsymmetrisch.

Zugriff auf alle Dokumente
Verbessere deine Noten
Schließ dich Millionen Schülern an
Das Verhalten im Unendlichen zeigt dir, wohin der Graph läuft. Schau dir die höchste Hochzahl und deren Vorzeichen an. Bei geraden Hochzahlen geht's entweder nach +∞/+∞ oder -∞/-∞. Bei ungeraden läuft's entgegengesetzt: +∞/-∞ oder -∞/+∞.
Den y-Achsenabschnitt findest du mega einfach: Setze x = 0 in deine Funktion ein. Das Ergebnis ist der y-Wert, wo der Graph die y-Achse schneidet.
Beispiel: f(x) = 4x² + 3x - 6 → f(0) = -6, also Sy(0|-6)
Diese beiden Schritte geben dir schon eine grobe Vorstellung vom Aussehen deines Graphen.

Zugriff auf alle Dokumente
Verbessere deine Noten
Schließ dich Millionen Schülern an
Ableitungen bildest du mit einer simplen Regel: Hochzahl mal Koeffizient, dann Hochzahl minus 1. Konstanten fallen komplett weg! Aus 3x³ wird 9x², aus x wird 1.
Für Extrempunkte setzt du die erste Ableitung gleich null: f'(x) = 0. Die Lösungen sind deine x-Werte der Extremstellen.
Um herauszufinden, ob's ein Hoch- oder Tiefpunkt ist, setzt du diese x-Werte in die zweite Ableitung ein. Ist f''(x) > 0, hast du einen Tiefpunkt. Ist f''(x) < 0, einen Hochpunkt.
Eselsbrücke: Positiv = Tiefpunkt (lächelndes Gesicht), negativ = Hochpunkt (trauriges Gesicht)
Den y-Wert kriegst du, indem du den x-Wert in die ursprüngliche Funktion einsetzt.

Zugriff auf alle Dokumente
Verbessere deine Noten
Schließ dich Millionen Schülern an
Wendepunkte findest du, indem du f''(x) = 0 setzt. Diese Stellen zeigen, wo sich die Krümmung des Graphen ändert. Zur Kontrolle setzt du die gefundenen x-Werte in die dritte Ableitung ein - ist f'''(x) ≠ 0, hast du wirklich einen Wendepunkt.
Der Wertebereich gibt alle möglichen y-Werte an, die deine Funktion erreichen kann. Das hängt von den Extrempunkten und dem Verhalten im Unendlichen ab.
Tipp: Wendepunkte sind oft Sattelpunkte - der Graph wechselt von einer Linkskurve zu einer Rechtskurve oder umgekehrt.
Diese Informationen vervollständigen deine Kurvendiskussion und geben dir ein komplettes Bild der Funktion.

Zugriff auf alle Dokumente
Verbessere deine Noten
Schließ dich Millionen Schülern an
Nullstellen sind die Punkte, wo dein Graph die x-Achse schneidet - also wo f(x) = 0 ist. Es gibt verschiedene Lösungsverfahren je nach Funktionstyp.
Auflösen nach x funktioniert, wenn nur eine x-Größe da ist. Bei f(x) = ¼x² - 1 setzt du gleich null und löst nach x auf. Vergiss nicht die Wurzel am Ende - dann kriegst du meist zwei Lösungen!
Die p-q-Formel brauchst du bei quadratischen Funktionen der Form x² + px + q = 0. Die Formel kennst du: x₁,₂ = -p/2 ± √.
Wichtig: Bring deine Gleichung erst in die Normalform, bevor du die p-q-Formel anwendest!
Diese beiden Methoden decken schon viele Standardfälle ab.

Zugriff auf alle Dokumente
Verbessere deine Noten
Schließ dich Millionen Schülern an
Ausklammern hilft dir, wenn in jedem Summanden ein x steht. Du ziehst das x vor die Klammer: x³ - 4x = x. Dann hast du x₁ = 0 und löst x² - 4 = 0 separat.
Das Substitutionsverfahren verwendest du bei biquadratischen Gleichungen (Hochzahlen 4 und 2). Du ersetzt x² durch z, löst die entstehende quadratische Gleichung und rechnest am Ende zurück.
Beispiel: x⁴ - 5x² + 6 = 0 wird zu z² - 5z + 6 = 0
Nach dem Lösen für z rechnest du x = ±√z für jede Lösung. So kriegst du bis zu vier Nullstellen bei einer Gleichung vierten Grades.
Diese Verfahren reichen für fast alle Schulaufgaben aus!
Unser KI-Begleiter ist ein speziell für Schüler entwickeltes KI-Tool, das mehr als nur Antworten bietet. Basierend auf Millionen von Knowunity-Inhalten liefert er relevante Informationen, personalisierte Lernpläne, Quizze und Inhalte direkt im Chat und passt sich deinem individuellen Lernweg an.
Du kannst die App im Google Play Store und im Apple App Store herunterladen.
Genau! Genieße kostenlosen Zugang zu Lerninhalten, vernetze dich mit anderen Schülern und hol dir sofortige Hilfe – alles direkt auf deinem Handy.
11
Smart Tools NEU
Verwandle diesen Lernzettel in: ✓ 50+ Übungsfragen ✓ Interaktive Karteikarten ✓ Komplette Probeklausur ✓ Aufsatzgliederungen
Mathematik GK Klausur, Klasse 12, 12 Punkte
Erfahren Sie, wie Sie Extrempunkte und Wendepunkte mit Ableitungen berechnen. Diese Zusammenfassung behandelt die 1. und 2. Ableitung, das Vorzeichenwechselkriterium und die Grenzkostenfunktion. Ideal für Studierende, die sich auf Klausuren vorbereiten.
Diese detaillierte Anleitung zur Kurvenfindung behandelt die Anwendung der Differenzierung, das Verhalten von Krümmungen und die Bestimmung von Funktionseigenschaften. Erfahren Sie, wie Sie eine Funktion 3. Grades aufstellen und charakteristische Punkte wie Hoch- und Wendepunkte identifizieren. Ideal für Studierende der Mathematik, die ihre Kenntnisse in der Kurvenanalyse vertiefen möchten.
Erfahren Sie, wie man den Differenzquotienten und die Ableitungen zur Bestimmung von Extremstellen und Wendepunkten berechnet. Diese Zusammenfassung behandelt die Grundlagen der Differenzierung, die Anwendung auf Kurvendiskussionen und die Analyse von Funktionen. Ideal für Studierende der Mathematik und Naturwissenschaften.
Entdecken Sie die Kriterien für Wendepunkte und Sattelpunkte in Funktionen. Diese Zusammenfassung behandelt die notwendigen und hinreichenden Bedingungen für Wendepunkte, die Rolle der zweiten Ableitung und deren Einfluss auf das Krümmungsverhalten von Graphen. Ideal für Studierende der Mathematik, die sich mit Differenzierung und Kurvenanalyse beschäftigen.
Diese Zusammenfassung behandelt die wesentlichen Konzepte der Differential- und Integralrechnung, einschließlich Ableitungen, Integrale, Exponential- und Logarithmusfunktionen sowie die Berechnung von Extrempunkten und Wendepunkten. Ideal für die Vorbereitung auf das Abitur. Themen: Änderungsraten, Flächenberechnung zwischen Graphen, und die Anwendung der Regeln der Integration.
App Store
Google Play
Die App ist sehr einfach zu bedienen und gut gestaltet. Ich habe bisher alles gefunden, wonach ich gesucht habe, und konnte viel aus den Präsentationen lernen! Ich werde die App definitiv für ein Schulprojekt nutzen! Und natürlich hilft sie auch sehr als Inspiration.
Stefan S
iOS-Nutzer
Diese App ist wirklich super. Es gibt so viele Lernzettel und Hilfen [...]. Mein Problemfach ist zum Beispiel Französisch und die App hat so viele Möglichkeiten zur Hilfe. Dank dieser App habe ich mich in Französisch verbessert. Ich würde sie jedem empfehlen.
Samantha Klich
Android-Nutzerin
Wow, ich bin wirklich begeistert. Ich habe die App einfach mal ausprobiert, weil ich sie schon oft beworben gesehen habe und war absolut beeindruckt. Diese App ist DIE HILFE, die man für die Schule braucht und vor allem bietet sie so viele Dinge wie Übungen und Lernzettel, die mir persönlich SEHR geholfen haben.
Anna
iOS-Nutzerin
Beste App der Welt! Keine Worte, weil sie einfach zu gut ist
Thomas R
iOS-Nutzer
Einfach genial. Lässt mich 10x besser lernen, diese App ist eine glatte 10/10. Ich empfehle sie jedem. Ich kann Lernzettel anschauen und suchen. Ich kann sie im Fachordner speichern. Ich kann sie jederzeit wiederholen, wenn ich zurückkomme. Wenn du diese App noch nicht ausprobiert hast, verpasst du wirklich was.
Basil
Android-Nutzer
Diese App hat mich so viel selbstbewusster in meiner Klausurvorbereitung gemacht, nicht nur durch die Stärkung meines Selbstvertrauens durch die Features, die es dir ermöglichen, dich mit anderen zu vernetzen und dich weniger allein zu fühlen, sondern auch durch die Art, wie die App selbst darauf ausgerichtet ist, dass du dich besser fühlst. Sie ist einfach zu bedienen, macht Spaß und hilft jedem, der in irgendeiner Weise Schwierigkeiten hat.
David K
iOS-Nutzer
Die App ist einfach super! Ich muss nur das Thema in die Suche eingeben und bekomme sofort eine Antwort. Ich muss nicht mehr 10 YouTube-Videos schauen, um etwas zu verstehen, und spare dadurch richtig viel Zeit. Sehr empfehlenswert!
Sudenaz Ocak
Android-Nutzerin
In der Schule war ich echt schlecht in Mathe, aber dank der App bin ich jetzt besser geworden. Ich bin so dankbar, dass ihr die App gemacht habt.
Greenlight Bonnie
Android-Nutzerin
sehr zuverlässige App, um deine Ideen in Mathe, Englisch und anderen verwandten Themen zu verbessern. bitte nutze diese App, wenn du in bestimmten Bereichen Schwierigkeiten hast, diese App ist dafür der Schlüssel. wünschte, ich hätte früher eine Bewertung geschrieben. und sie ist auch kostenlos, also mach dir darüber keine Sorgen.
Rohan U
Android-Nutzer
Ich weiß, dass viele Apps gefälschte Accounts nutzen, um ihre Bewertungen zu pushen, aber diese App verdient das alles. Ursprünglich hatte ich eine 4 in meinen Englisch-Klausuren und dieses Mal habe ich eine 2 bekommen. Ich wusste erst drei Tage vor der Klausur von dieser App und sie hat mir SEHR geholfen. Bitte vertrau mir wirklich und nutze sie, denn ich bin sicher, dass auch du Fortschritte sehen wirst.
Xander S
iOS-Nutzer
DIE QUIZZE UND KARTEIKARTEN SIND SO NÜTZLICH UND ICH LIEBE Knowunity KI. ES IST AUCH BUCHSTÄBLICH WIE CHATGPT ABER SCHLAUER!! HAT MIR AUCH BEI MEINEN MASCARA-PROBLEMEN GEHOLFEN!! SOWIE BEI MEINEN ECHTEN FÄCHERN! NATÜRLICH 😍😁😲🤑💗✨🎀😮
Elisha
iOS-Nutzer
Diese App ist echt der Hammer. Ich finde Lernen so langweilig, aber diese App macht es so einfach, alles zu organisieren und dann kannst du die kostenlose KI bitten, dich abzufragen, so gut, und du kannst einfach deine eigenen Sachen hochladen. sehr empfehlenswert als jemand, der gerade Probeklausuren schreibt
Paul T
iOS-Nutzer
Die App ist sehr einfach zu bedienen und gut gestaltet. Ich habe bisher alles gefunden, wonach ich gesucht habe, und konnte viel aus den Präsentationen lernen! Ich werde die App definitiv für ein Schulprojekt nutzen! Und natürlich hilft sie auch sehr als Inspiration.
Stefan S
iOS-Nutzer
Diese App ist wirklich super. Es gibt so viele Lernzettel und Hilfen [...]. Mein Problemfach ist zum Beispiel Französisch und die App hat so viele Möglichkeiten zur Hilfe. Dank dieser App habe ich mich in Französisch verbessert. Ich würde sie jedem empfehlen.
Samantha Klich
Android-Nutzerin
Wow, ich bin wirklich begeistert. Ich habe die App einfach mal ausprobiert, weil ich sie schon oft beworben gesehen habe und war absolut beeindruckt. Diese App ist DIE HILFE, die man für die Schule braucht und vor allem bietet sie so viele Dinge wie Übungen und Lernzettel, die mir persönlich SEHR geholfen haben.
Anna
iOS-Nutzerin
Beste App der Welt! Keine Worte, weil sie einfach zu gut ist
Thomas R
iOS-Nutzer
Einfach genial. Lässt mich 10x besser lernen, diese App ist eine glatte 10/10. Ich empfehle sie jedem. Ich kann Lernzettel anschauen und suchen. Ich kann sie im Fachordner speichern. Ich kann sie jederzeit wiederholen, wenn ich zurückkomme. Wenn du diese App noch nicht ausprobiert hast, verpasst du wirklich was.
Basil
Android-Nutzer
Diese App hat mich so viel selbstbewusster in meiner Klausurvorbereitung gemacht, nicht nur durch die Stärkung meines Selbstvertrauens durch die Features, die es dir ermöglichen, dich mit anderen zu vernetzen und dich weniger allein zu fühlen, sondern auch durch die Art, wie die App selbst darauf ausgerichtet ist, dass du dich besser fühlst. Sie ist einfach zu bedienen, macht Spaß und hilft jedem, der in irgendeiner Weise Schwierigkeiten hat.
David K
iOS-Nutzer
Die App ist einfach super! Ich muss nur das Thema in die Suche eingeben und bekomme sofort eine Antwort. Ich muss nicht mehr 10 YouTube-Videos schauen, um etwas zu verstehen, und spare dadurch richtig viel Zeit. Sehr empfehlenswert!
Sudenaz Ocak
Android-Nutzerin
In der Schule war ich echt schlecht in Mathe, aber dank der App bin ich jetzt besser geworden. Ich bin so dankbar, dass ihr die App gemacht habt.
Greenlight Bonnie
Android-Nutzerin
sehr zuverlässige App, um deine Ideen in Mathe, Englisch und anderen verwandten Themen zu verbessern. bitte nutze diese App, wenn du in bestimmten Bereichen Schwierigkeiten hast, diese App ist dafür der Schlüssel. wünschte, ich hätte früher eine Bewertung geschrieben. und sie ist auch kostenlos, also mach dir darüber keine Sorgen.
Rohan U
Android-Nutzer
Ich weiß, dass viele Apps gefälschte Accounts nutzen, um ihre Bewertungen zu pushen, aber diese App verdient das alles. Ursprünglich hatte ich eine 4 in meinen Englisch-Klausuren und dieses Mal habe ich eine 2 bekommen. Ich wusste erst drei Tage vor der Klausur von dieser App und sie hat mir SEHR geholfen. Bitte vertrau mir wirklich und nutze sie, denn ich bin sicher, dass auch du Fortschritte sehen wirst.
Xander S
iOS-Nutzer
DIE QUIZZE UND KARTEIKARTEN SIND SO NÜTZLICH UND ICH LIEBE Knowunity KI. ES IST AUCH BUCHSTÄBLICH WIE CHATGPT ABER SCHLAUER!! HAT MIR AUCH BEI MEINEN MASCARA-PROBLEMEN GEHOLFEN!! SOWIE BEI MEINEN ECHTEN FÄCHERN! NATÜRLICH 😍😁😲🤑💗✨🎀😮
Elisha
iOS-Nutzer
Diese App ist echt der Hammer. Ich finde Lernen so langweilig, aber diese App macht es so einfach, alles zu organisieren und dann kannst du die kostenlose KI bitten, dich abzufragen, so gut, und du kannst einfach deine eigenen Sachen hochladen. sehr empfehlenswert als jemand, der gerade Probeklausuren schreibt
Paul T
iOS-Nutzer