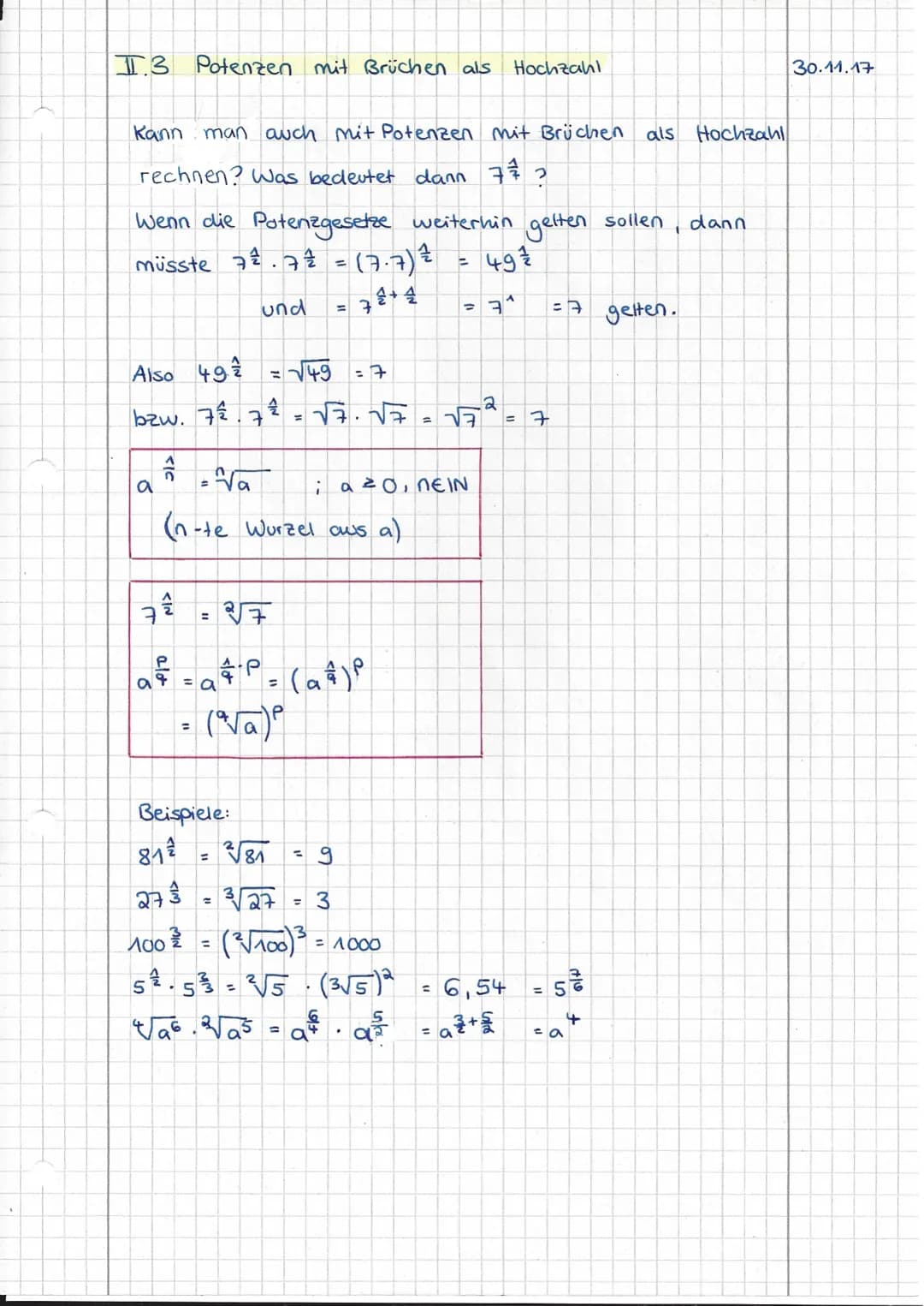
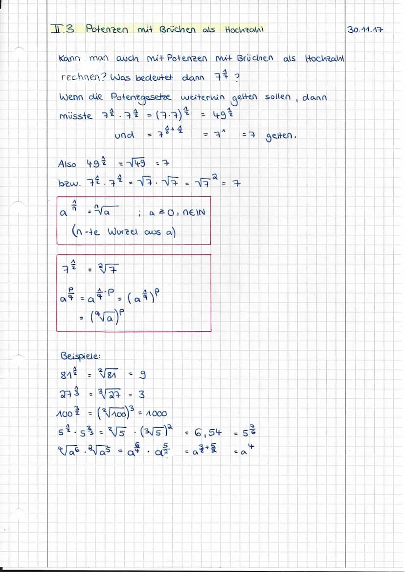
- Zehnerpotenzen - Potenzgesetze - Brüche und negative Hochzahlen - Potenzen mit Brüchen als Hochzahl - Potenzgleichungen - Bezeichnungen für große und kleine Zahlen Erklärungen, Beispiele und Regeln
Melde dich an, um den Inhalt freizuschaltenEs ist kostenlos!
Zugriff auf alle Dokumente
Verbessere deine Noten
Werde Teil der Community
Mit der Anmeldung akzeptierst du die Nutzungsbedingungen und die Datenschutzrichtlinie
















