In der 11. Klasse werdet ihr intensiv mit verschiedenen Funktionstypen... Mehr anzeigen
Melde dich an, um den Inhalt zu sehenKostenlos!
Zugriff auf alle Dokumente
Verbessere deine Noten
Schließ dich Millionen Schülern an
Knowunity KI
Fächer
Triangle Congruence and Similarity Theorems
Triangle Properties and Classification
Linear Equations and Graphs
Geometric Angle Relationships
Trigonometric Functions and Identities
Equation Solving Techniques
Circle Geometry Fundamentals
Division Operations and Methods
Basic Differentiation Rules
Exponent and Logarithm Properties
Alle Themen anzeigen
Human Organ Systems
Reproductive Cell Cycles
Biological Sciences Subdisciplines
Cellular Energy Metabolism
Autotrophic Energy Processes
Inheritance Patterns and Principles
Biomolecular Structure and Organization
Cell Cycle and Division Mechanics
Cellular Organization and Development
Biological Structural Organization
Alle Themen anzeigen
Chemical Sciences and Applications
Atomic Structure and Composition
Molecular Electron Structure Representation
Atomic Electron Behavior
Matter Properties and Water
Mole Concept and Calculations
Gas Laws and Behavior
Periodic Table Organization
Chemical Thermodynamics Fundamentals
Chemical Bond Types and Properties
Alle Themen anzeigen
European Renaissance and Enlightenment
European Cultural Movements 800-1920
American Revolution Era 1763-1797
American Civil War 1861-1865
Global Imperial Systems
Mongol and Chinese Dynasties
U.S. Presidents and World Leaders
Historical Sources and Documentation
World Wars Era and Impact
World Religious Systems
Alle Themen anzeigen
Classic and Contemporary Novels
Literary Character Analysis
Rhetorical Theory and Practice
Classic Literary Narratives
Reading Analysis and Interpretation
Narrative Structure and Techniques
English Language Components
Influential English-Language Authors
Basic Sentence Structure
Narrative Voice and Perspective
Alle Themen anzeigen
394
•
Aktualisiert Mar 21, 2026
•
Leonie✌🏼
@abi.with.ipad
In der 11. Klasse werdet ihr intensiv mit verschiedenen Funktionstypen... Mehr anzeigen






Eine Funktion ist basically eine mathematische Beziehung, die jedem x-Wert genau einen y-Wert zuordnet. Ihr könnt sie als Graph darstellen und es gibt verschiedene Arten wie lineare, quadratische oder exponentielle Funktionen.
Lineare Funktionen folgen der Formel y = mx + b, wobei m die Steigung und b den y-Achsenabschnitt darstellt. Die Steigung m zeigt an, wie steil die Gerade verläuft, während b angibt, wo sie die y-Achse schneidet.
Um eine lineare Funktion zu zeichnen, erstellt ihr am besten eine Wertetabelle. Setzt verschiedene x-Werte ein und berechnet die zugehörigen y-Werte. Bei y = 2x + 1 erhaltet ihr beispielsweise für x = 1 den Wert y = 3, für x = 2 den Wert y = 5 und so weiter.
Merktipp: Bei f(x) = konstant verläuft die Gerade parallel zur x-Achse, bei x = konstant parallel zur y-Achse.
Für die Bestimmung von Geradengleichungen gibt es mehrere Varianten: das Lineare Gleichungssystem (LGS), die Punkt-Steigung-Form oder die Zwei-Punkte-Gleichung. Alle führen zum gleichen Ergebnis, nur der Rechenweg unterscheidet sich.

Zwei Geraden können sich auf drei verschiedene Arten zueinander verhalten, und das erkennt ihr an ihren Steigungen m und y-Achsenabschnitten b.
Parallele Geraden (g ∥ h) haben die gleiche Steigung m, aber unterschiedliche y-Achsenabschnitte. Sich schneidende Geraden haben verschiedene Steigungen. Identische Geraden (g ≡ h) haben sowohl gleiche Steigung als auch gleichen y-Achsenabschnitt.
Den Schnittpunkt zweier Geraden findet ihr, indem ihr beide Gleichungen gleichsetzt. Beispiel: 0,5x + 3 = 2x - 4. Nach dem Umformen erhaltet ihr x = 4⅔, das ihr dann in eine der Gleichungen einsetzt, um y zu berechnen.
Prüfungstrick: Kontrolliert euren Schnittpunkt, indem ihr beide Koordinaten in beide ursprünglichen Gleichungen einsetzt.
Für die Winkelberechnung zwischen zwei Geraden nutzt ihr die Arkustangens-Funktion: tan⁻¹(m). Berechnet beide Winkel zur x-Achse und bildet die Differenz. Wenn das Ergebnis größer als 90° ist, rechnet 180° - α, denn ihr braucht immer den kleineren Winkel.

Die Normalparabel f(x) = x² ist euer Ausgangspunkt für alle quadratischen Funktionen. Um Funktionswerte zu bestimmen, setzt ihr einfach den gewünschten y-Wert gleich x² und zieht die Wurzel.
Verschiebungen der Normalparabel funktionieren systematisch: f(x) = x² + b verschiebt um b Einheiten nach oben/unten. g(x) = ² verschiebt um a Einheiten nach rechts/links. Kombiniert ergibt das y = ² + b.
Bei Vorzeichen müsst ihr aufpassen: ² bedeutet 4 nach rechts, ² bedeutet 4 nach links. Das Vorzeichen in der Klammer ist umgekehrt zur tatsächlichen Verschiebungsrichtung.
Achtung: Bei g(x) = x² + 2x + 1 könnt ihr durch quadratische Ergänzung auf ² umformen und so die Verschiebung erkennen.
Streckungen entstehen durch den Faktor a vor x²: f(x) = ax². Bei |a| > 1 wird die Parabel gestreckt (steiler), bei 0 < |a| < 1 wird sie gestaucht (flacher). Ist a negativ, öffnet sich die Parabel nach unten.

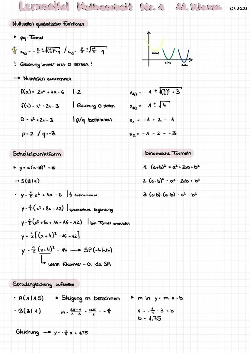
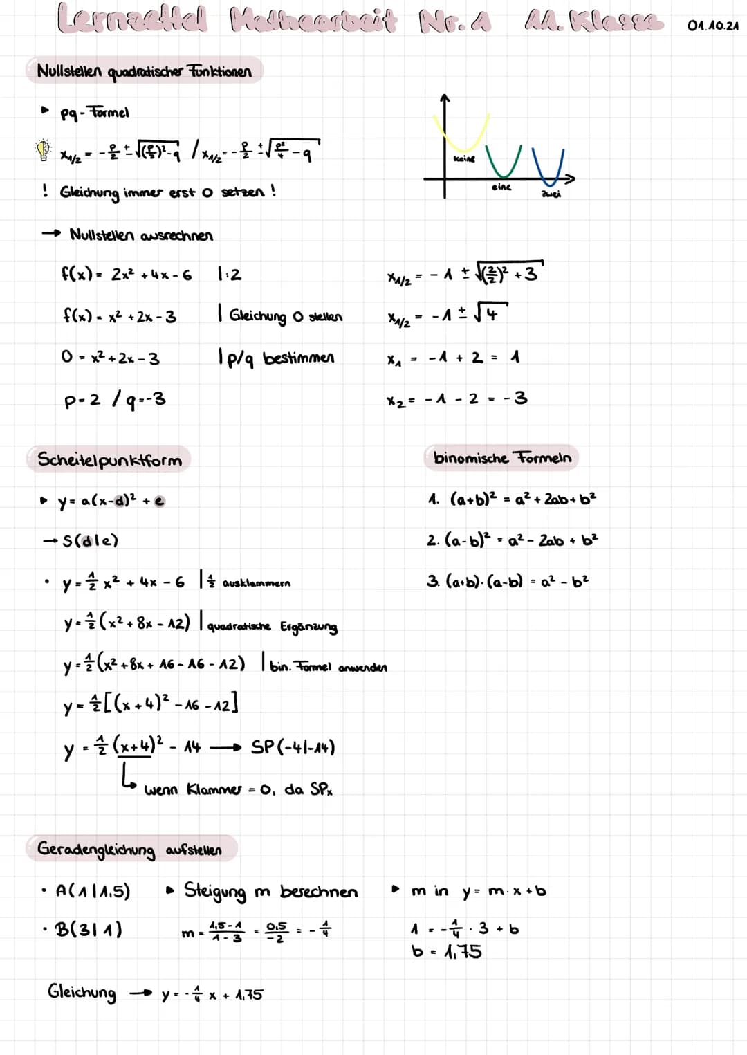
Nullstellen quadratischer Funktionen findet ihr mit der pq-Formel: x₁,₂ = -p/2 ± √. Wichtig: Bringt die Gleichung erst in die Form x² + px + q = 0, und wenn ein Faktor vor x² steht, teilt durch diesen.
Die Scheitelpunktform y = a² + e zeigt euch direkt den Scheitelpunkt S(d|e). Um von der Normalform dahin zu kommen, nutzt ihr die quadratische Ergänzung: Klammert den Faktor vor x² aus, ergänzt das Quadrat und wendet die binomische Formel an.
Beispiel: y = ½x² + 4x - 6 wird zu y = ½² - 14 mit Scheitelpunkt S(-4|-14). Der Trick: Wenn die Klammer null wird, habt ihr die x-Koordinate des Scheitelpunkts.
Formel-Check: Die drei binomischen Formeln solltet ihr auswendig können: (a±b)² = a² ± 2ab + b² und = a² - b².
Für Geradengleichungen mit zwei Punkten berechnet ihr zuerst die Steigung m = /, dann setzt ihr einen Punkt in y = mx + b ein, um b zu bestimmen.

Wenn eine Gerade eine Parabel schneidet, entstehen drei mögliche Situationen: Sekante (2 Schnittpunkte), Tangente (1 Schnittpunkt) oder Passante (0 Schnittpunkte).
Um Schnittpunkte zu finden, setzt ihr die Parabel- und Geradengleichung gleich. Beispiel: x² + 4x - 3 = 3x - 3 wird zu x² + x = 0. Mit der pq-Formel erhaltet ihr die x-Werte der Schnittpunkte.
Die x-Werte setzt ihr dann in eine der ursprünglichen Gleichungen ein, um die y-Koordinaten zu bekommen. Bei zwei Lösungen habt ihr eine Sekante, bei einer Lösung eine Tangente, bei keiner reellen Lösung eine Passante.
Parabelgleichungen bestimmt ihr mit drei Punkten und einem Gleichungssystem. Die allgemeine Form y = ax² + bx + c liefert euch drei Unbekannte, für die ihr drei Gleichungen mit den gegebenen Punkten aufstellt.
Übersicht: Ihr arbeitet mit der Normalform , der Scheitelpunktform und der Normalparabel - je nach Aufgabenstellung.
Unser KI-Begleiter ist ein speziell für Schüler entwickeltes KI-Tool, das mehr als nur Antworten bietet. Basierend auf Millionen von Knowunity-Inhalten liefert er relevante Informationen, personalisierte Lernpläne, Quizze und Inhalte direkt im Chat und passt sich deinem individuellen Lernweg an.
Du kannst die App im Google Play Store und im Apple App Store herunterladen.
Genau! Genieße kostenlosen Zugang zu Lerninhalten, vernetze dich mit anderen Schülern und hol dir sofortige Hilfe – alles direkt auf deinem Handy.
App Store
Google Play
Die App ist sehr einfach zu bedienen und gut gestaltet. Ich habe bisher alles gefunden, wonach ich gesucht habe, und konnte viel aus den Präsentationen lernen! Ich werde die App definitiv für ein Schulprojekt nutzen! Und natürlich hilft sie auch sehr als Inspiration.
Stefan S
iOS-Nutzer
Diese App ist wirklich super. Es gibt so viele Lernzettel und Hilfen [...]. Mein Problemfach ist zum Beispiel Französisch und die App hat so viele Möglichkeiten zur Hilfe. Dank dieser App habe ich mich in Französisch verbessert. Ich würde sie jedem empfehlen.
Samantha Klich
Android-Nutzerin
Wow, ich bin wirklich begeistert. Ich habe die App einfach mal ausprobiert, weil ich sie schon oft beworben gesehen habe und war absolut beeindruckt. Diese App ist DIE HILFE, die man für die Schule braucht und vor allem bietet sie so viele Dinge wie Übungen und Lernzettel, die mir persönlich SEHR geholfen haben.
Anna
iOS-Nutzerin
Beste App der Welt! Keine Worte, weil sie einfach zu gut ist
Thomas R
iOS-Nutzer
Einfach genial. Lässt mich 10x besser lernen, diese App ist eine glatte 10/10. Ich empfehle sie jedem. Ich kann Lernzettel anschauen und suchen. Ich kann sie im Fachordner speichern. Ich kann sie jederzeit wiederholen, wenn ich zurückkomme. Wenn du diese App noch nicht ausprobiert hast, verpasst du wirklich was.
Basil
Android-Nutzer
Diese App hat mich so viel selbstbewusster in meiner Klausurvorbereitung gemacht, nicht nur durch die Stärkung meines Selbstvertrauens durch die Features, die es dir ermöglichen, dich mit anderen zu vernetzen und dich weniger allein zu fühlen, sondern auch durch die Art, wie die App selbst darauf ausgerichtet ist, dass du dich besser fühlst. Sie ist einfach zu bedienen, macht Spaß und hilft jedem, der in irgendeiner Weise Schwierigkeiten hat.
David K
iOS-Nutzer
Die App ist einfach super! Ich muss nur das Thema in die Suche eingeben und bekomme sofort eine Antwort. Ich muss nicht mehr 10 YouTube-Videos schauen, um etwas zu verstehen, und spare dadurch richtig viel Zeit. Sehr empfehlenswert!
Sudenaz Ocak
Android-Nutzerin
In der Schule war ich echt schlecht in Mathe, aber dank der App bin ich jetzt besser geworden. Ich bin so dankbar, dass ihr die App gemacht habt.
Greenlight Bonnie
Android-Nutzerin
sehr zuverlässige App, um deine Ideen in Mathe, Englisch und anderen verwandten Themen zu verbessern. bitte nutze diese App, wenn du in bestimmten Bereichen Schwierigkeiten hast, diese App ist dafür der Schlüssel. wünschte, ich hätte früher eine Bewertung geschrieben. und sie ist auch kostenlos, also mach dir darüber keine Sorgen.
Rohan U
Android-Nutzer
Ich weiß, dass viele Apps gefälschte Accounts nutzen, um ihre Bewertungen zu pushen, aber diese App verdient das alles. Ursprünglich hatte ich eine 4 in meinen Englisch-Klausuren und dieses Mal habe ich eine 2 bekommen. Ich wusste erst drei Tage vor der Klausur von dieser App und sie hat mir SEHR geholfen. Bitte vertrau mir wirklich und nutze sie, denn ich bin sicher, dass auch du Fortschritte sehen wirst.
Xander S
iOS-Nutzer
DIE QUIZZE UND KARTEIKARTEN SIND SO NÜTZLICH UND ICH LIEBE Knowunity KI. ES IST AUCH BUCHSTÄBLICH WIE CHATGPT ABER SCHLAUER!! HAT MIR AUCH BEI MEINEN MASCARA-PROBLEMEN GEHOLFEN!! SOWIE BEI MEINEN ECHTEN FÄCHERN! NATÜRLICH 😍😁😲🤑💗✨🎀😮
Elisha
iOS-Nutzer
Diese App ist echt der Hammer. Ich finde Lernen so langweilig, aber diese App macht es so einfach, alles zu organisieren und dann kannst du die kostenlose KI bitten, dich abzufragen, so gut, und du kannst einfach deine eigenen Sachen hochladen. sehr empfehlenswert als jemand, der gerade Probeklausuren schreibt
Paul T
iOS-Nutzer
Die App ist sehr einfach zu bedienen und gut gestaltet. Ich habe bisher alles gefunden, wonach ich gesucht habe, und konnte viel aus den Präsentationen lernen! Ich werde die App definitiv für ein Schulprojekt nutzen! Und natürlich hilft sie auch sehr als Inspiration.
Stefan S
iOS-Nutzer
Diese App ist wirklich super. Es gibt so viele Lernzettel und Hilfen [...]. Mein Problemfach ist zum Beispiel Französisch und die App hat so viele Möglichkeiten zur Hilfe. Dank dieser App habe ich mich in Französisch verbessert. Ich würde sie jedem empfehlen.
Samantha Klich
Android-Nutzerin
Wow, ich bin wirklich begeistert. Ich habe die App einfach mal ausprobiert, weil ich sie schon oft beworben gesehen habe und war absolut beeindruckt. Diese App ist DIE HILFE, die man für die Schule braucht und vor allem bietet sie so viele Dinge wie Übungen und Lernzettel, die mir persönlich SEHR geholfen haben.
Anna
iOS-Nutzerin
Beste App der Welt! Keine Worte, weil sie einfach zu gut ist
Thomas R
iOS-Nutzer
Einfach genial. Lässt mich 10x besser lernen, diese App ist eine glatte 10/10. Ich empfehle sie jedem. Ich kann Lernzettel anschauen und suchen. Ich kann sie im Fachordner speichern. Ich kann sie jederzeit wiederholen, wenn ich zurückkomme. Wenn du diese App noch nicht ausprobiert hast, verpasst du wirklich was.
Basil
Android-Nutzer
Diese App hat mich so viel selbstbewusster in meiner Klausurvorbereitung gemacht, nicht nur durch die Stärkung meines Selbstvertrauens durch die Features, die es dir ermöglichen, dich mit anderen zu vernetzen und dich weniger allein zu fühlen, sondern auch durch die Art, wie die App selbst darauf ausgerichtet ist, dass du dich besser fühlst. Sie ist einfach zu bedienen, macht Spaß und hilft jedem, der in irgendeiner Weise Schwierigkeiten hat.
David K
iOS-Nutzer
Die App ist einfach super! Ich muss nur das Thema in die Suche eingeben und bekomme sofort eine Antwort. Ich muss nicht mehr 10 YouTube-Videos schauen, um etwas zu verstehen, und spare dadurch richtig viel Zeit. Sehr empfehlenswert!
Sudenaz Ocak
Android-Nutzerin
In der Schule war ich echt schlecht in Mathe, aber dank der App bin ich jetzt besser geworden. Ich bin so dankbar, dass ihr die App gemacht habt.
Greenlight Bonnie
Android-Nutzerin
sehr zuverlässige App, um deine Ideen in Mathe, Englisch und anderen verwandten Themen zu verbessern. bitte nutze diese App, wenn du in bestimmten Bereichen Schwierigkeiten hast, diese App ist dafür der Schlüssel. wünschte, ich hätte früher eine Bewertung geschrieben. und sie ist auch kostenlos, also mach dir darüber keine Sorgen.
Rohan U
Android-Nutzer
Ich weiß, dass viele Apps gefälschte Accounts nutzen, um ihre Bewertungen zu pushen, aber diese App verdient das alles. Ursprünglich hatte ich eine 4 in meinen Englisch-Klausuren und dieses Mal habe ich eine 2 bekommen. Ich wusste erst drei Tage vor der Klausur von dieser App und sie hat mir SEHR geholfen. Bitte vertrau mir wirklich und nutze sie, denn ich bin sicher, dass auch du Fortschritte sehen wirst.
Xander S
iOS-Nutzer
DIE QUIZZE UND KARTEIKARTEN SIND SO NÜTZLICH UND ICH LIEBE Knowunity KI. ES IST AUCH BUCHSTÄBLICH WIE CHATGPT ABER SCHLAUER!! HAT MIR AUCH BEI MEINEN MASCARA-PROBLEMEN GEHOLFEN!! SOWIE BEI MEINEN ECHTEN FÄCHERN! NATÜRLICH 😍😁😲🤑💗✨🎀😮
Elisha
iOS-Nutzer
Diese App ist echt der Hammer. Ich finde Lernen so langweilig, aber diese App macht es so einfach, alles zu organisieren und dann kannst du die kostenlose KI bitten, dich abzufragen, so gut, und du kannst einfach deine eigenen Sachen hochladen. sehr empfehlenswert als jemand, der gerade Probeklausuren schreibt
Paul T
iOS-Nutzer
Leonie✌🏼
@abi.with.ipad
In der 11. Klasse werdet ihr intensiv mit verschiedenen Funktionstypen arbeiten - von linearen bis hin zu quadratischen Funktionen. Diese Zusammenfassung zeigt euch die wichtigsten Konzepte und Rechenwege, die ihr für eure nächste Klassenarbeit drauf haben müsst.

Zugriff auf alle Dokumente
Verbessere deine Noten
Schließ dich Millionen Schülern an
Eine Funktion ist basically eine mathematische Beziehung, die jedem x-Wert genau einen y-Wert zuordnet. Ihr könnt sie als Graph darstellen und es gibt verschiedene Arten wie lineare, quadratische oder exponentielle Funktionen.
Lineare Funktionen folgen der Formel y = mx + b, wobei m die Steigung und b den y-Achsenabschnitt darstellt. Die Steigung m zeigt an, wie steil die Gerade verläuft, während b angibt, wo sie die y-Achse schneidet.
Um eine lineare Funktion zu zeichnen, erstellt ihr am besten eine Wertetabelle. Setzt verschiedene x-Werte ein und berechnet die zugehörigen y-Werte. Bei y = 2x + 1 erhaltet ihr beispielsweise für x = 1 den Wert y = 3, für x = 2 den Wert y = 5 und so weiter.
Merktipp: Bei f(x) = konstant verläuft die Gerade parallel zur x-Achse, bei x = konstant parallel zur y-Achse.
Für die Bestimmung von Geradengleichungen gibt es mehrere Varianten: das Lineare Gleichungssystem (LGS), die Punkt-Steigung-Form oder die Zwei-Punkte-Gleichung. Alle führen zum gleichen Ergebnis, nur der Rechenweg unterscheidet sich.

Zugriff auf alle Dokumente
Verbessere deine Noten
Schließ dich Millionen Schülern an
Zwei Geraden können sich auf drei verschiedene Arten zueinander verhalten, und das erkennt ihr an ihren Steigungen m und y-Achsenabschnitten b.
Parallele Geraden (g ∥ h) haben die gleiche Steigung m, aber unterschiedliche y-Achsenabschnitte. Sich schneidende Geraden haben verschiedene Steigungen. Identische Geraden (g ≡ h) haben sowohl gleiche Steigung als auch gleichen y-Achsenabschnitt.
Den Schnittpunkt zweier Geraden findet ihr, indem ihr beide Gleichungen gleichsetzt. Beispiel: 0,5x + 3 = 2x - 4. Nach dem Umformen erhaltet ihr x = 4⅔, das ihr dann in eine der Gleichungen einsetzt, um y zu berechnen.
Prüfungstrick: Kontrolliert euren Schnittpunkt, indem ihr beide Koordinaten in beide ursprünglichen Gleichungen einsetzt.
Für die Winkelberechnung zwischen zwei Geraden nutzt ihr die Arkustangens-Funktion: tan⁻¹(m). Berechnet beide Winkel zur x-Achse und bildet die Differenz. Wenn das Ergebnis größer als 90° ist, rechnet 180° - α, denn ihr braucht immer den kleineren Winkel.

Zugriff auf alle Dokumente
Verbessere deine Noten
Schließ dich Millionen Schülern an
Die Normalparabel f(x) = x² ist euer Ausgangspunkt für alle quadratischen Funktionen. Um Funktionswerte zu bestimmen, setzt ihr einfach den gewünschten y-Wert gleich x² und zieht die Wurzel.
Verschiebungen der Normalparabel funktionieren systematisch: f(x) = x² + b verschiebt um b Einheiten nach oben/unten. g(x) = ² verschiebt um a Einheiten nach rechts/links. Kombiniert ergibt das y = ² + b.
Bei Vorzeichen müsst ihr aufpassen: ² bedeutet 4 nach rechts, ² bedeutet 4 nach links. Das Vorzeichen in der Klammer ist umgekehrt zur tatsächlichen Verschiebungsrichtung.
Achtung: Bei g(x) = x² + 2x + 1 könnt ihr durch quadratische Ergänzung auf ² umformen und so die Verschiebung erkennen.
Streckungen entstehen durch den Faktor a vor x²: f(x) = ax². Bei |a| > 1 wird die Parabel gestreckt (steiler), bei 0 < |a| < 1 wird sie gestaucht (flacher). Ist a negativ, öffnet sich die Parabel nach unten.

Zugriff auf alle Dokumente
Verbessere deine Noten
Schließ dich Millionen Schülern an
Nullstellen quadratischer Funktionen findet ihr mit der pq-Formel: x₁,₂ = -p/2 ± √. Wichtig: Bringt die Gleichung erst in die Form x² + px + q = 0, und wenn ein Faktor vor x² steht, teilt durch diesen.
Die Scheitelpunktform y = a² + e zeigt euch direkt den Scheitelpunkt S(d|e). Um von der Normalform dahin zu kommen, nutzt ihr die quadratische Ergänzung: Klammert den Faktor vor x² aus, ergänzt das Quadrat und wendet die binomische Formel an.
Beispiel: y = ½x² + 4x - 6 wird zu y = ½² - 14 mit Scheitelpunkt S(-4|-14). Der Trick: Wenn die Klammer null wird, habt ihr die x-Koordinate des Scheitelpunkts.
Formel-Check: Die drei binomischen Formeln solltet ihr auswendig können: (a±b)² = a² ± 2ab + b² und = a² - b².
Für Geradengleichungen mit zwei Punkten berechnet ihr zuerst die Steigung m = /, dann setzt ihr einen Punkt in y = mx + b ein, um b zu bestimmen.

Zugriff auf alle Dokumente
Verbessere deine Noten
Schließ dich Millionen Schülern an
Wenn eine Gerade eine Parabel schneidet, entstehen drei mögliche Situationen: Sekante (2 Schnittpunkte), Tangente (1 Schnittpunkt) oder Passante (0 Schnittpunkte).
Um Schnittpunkte zu finden, setzt ihr die Parabel- und Geradengleichung gleich. Beispiel: x² + 4x - 3 = 3x - 3 wird zu x² + x = 0. Mit der pq-Formel erhaltet ihr die x-Werte der Schnittpunkte.
Die x-Werte setzt ihr dann in eine der ursprünglichen Gleichungen ein, um die y-Koordinaten zu bekommen. Bei zwei Lösungen habt ihr eine Sekante, bei einer Lösung eine Tangente, bei keiner reellen Lösung eine Passante.
Parabelgleichungen bestimmt ihr mit drei Punkten und einem Gleichungssystem. Die allgemeine Form y = ax² + bx + c liefert euch drei Unbekannte, für die ihr drei Gleichungen mit den gegebenen Punkten aufstellt.
Übersicht: Ihr arbeitet mit der Normalform , der Scheitelpunktform und der Normalparabel - je nach Aufgabenstellung.
Unser KI-Begleiter ist ein speziell für Schüler entwickeltes KI-Tool, das mehr als nur Antworten bietet. Basierend auf Millionen von Knowunity-Inhalten liefert er relevante Informationen, personalisierte Lernpläne, Quizze und Inhalte direkt im Chat und passt sich deinem individuellen Lernweg an.
Du kannst die App im Google Play Store und im Apple App Store herunterladen.
Genau! Genieße kostenlosen Zugang zu Lerninhalten, vernetze dich mit anderen Schülern und hol dir sofortige Hilfe – alles direkt auf deinem Handy.
5
Smart Tools NEU
Verwandle diesen Lernzettel in: ✓ 50+ Übungsfragen ✓ Interaktive Karteikarten ✓ Komplette Probeklausur ✓ Aufsatzgliederungen
Diese Zusammenfassung behandelt die Berechnung der Flächeninhalte zwischen den Funktionen f, g und h. Anhand von Beispielen auf Seite 72 und 86 werden die Methoden zur Bestimmung der Flächen zwischen Graphen erläutert. Ideal für Studierende, die sich mit Integralen und Flächenberechnungen in der Mathematik beschäftigen.
Diese Klausur umfasst die Analyse von Funktionstransformationen, quadratischen und exponentiellen Funktionen sowie deren Anwendungen in der Wahrscheinlichkeitstheorie. Erfahren Sie, wie man Funktionsgleichungen bestimmt, Wachstumsarten identifiziert und Graphen transformiert. Ideal für Schüler, die sich auf Mathematikprüfungen vorbereiten.
Diese Zusammenfassung behandelt die Grundlagen quadratischer Funktionen, einschließlich der verschobenen Normalparabel, der Scheitelpunktform und der Normalform der Funktionsgleichung. Erfahren Sie, wie man Nullstellen berechnet und wie man aus Punkten die Funktionsgleichung ableitet. Ideal für Mathematikstudenten, die ihre Kenntnisse in quadratischen Funktionen vertiefen möchten.
Entdecken Sie die Grundlagen linearer und quadratischer Funktionen, einschließlich der Berechnung von Funktionsgleichungen, Schnittpunkten zwischen Parabeln und Geraden sowie der Analyse von Potenzfunktionen. Diese Zusammenfassung bietet klare Erklärungen und Beispiele zur Unterstützung Ihrer Mathematikstudien.
Entdecken Sie die Berechnung von Nullstellen ganzrationaler Funktionen, einschließlich der Anwendung von Faktorisierung, Substitution und der PQ-Formel. Erfahren Sie mehr über Achsen- und Punktsymmetrie sowie Transformationen von Funktionen. Ideal für die Klausurvorbereitung in Mathematik.
Entdecken Sie die Eigenschaften quadratischer und ganzrationaler Funktionen, einschließlich Symmetrie (achsensymmetrisch und punktsymmetrisch), Transformationen (Stauchen, Strecken, Verschieben), Nullstellenberechnung und das Verhalten von Potenzfunktionen. Ideal für das Verständnis von Funktionsgraphen und deren Verhalten in der Nähe der Achsen.
App Store
Google Play
Die App ist sehr einfach zu bedienen und gut gestaltet. Ich habe bisher alles gefunden, wonach ich gesucht habe, und konnte viel aus den Präsentationen lernen! Ich werde die App definitiv für ein Schulprojekt nutzen! Und natürlich hilft sie auch sehr als Inspiration.
Stefan S
iOS-Nutzer
Diese App ist wirklich super. Es gibt so viele Lernzettel und Hilfen [...]. Mein Problemfach ist zum Beispiel Französisch und die App hat so viele Möglichkeiten zur Hilfe. Dank dieser App habe ich mich in Französisch verbessert. Ich würde sie jedem empfehlen.
Samantha Klich
Android-Nutzerin
Wow, ich bin wirklich begeistert. Ich habe die App einfach mal ausprobiert, weil ich sie schon oft beworben gesehen habe und war absolut beeindruckt. Diese App ist DIE HILFE, die man für die Schule braucht und vor allem bietet sie so viele Dinge wie Übungen und Lernzettel, die mir persönlich SEHR geholfen haben.
Anna
iOS-Nutzerin
Beste App der Welt! Keine Worte, weil sie einfach zu gut ist
Thomas R
iOS-Nutzer
Einfach genial. Lässt mich 10x besser lernen, diese App ist eine glatte 10/10. Ich empfehle sie jedem. Ich kann Lernzettel anschauen und suchen. Ich kann sie im Fachordner speichern. Ich kann sie jederzeit wiederholen, wenn ich zurückkomme. Wenn du diese App noch nicht ausprobiert hast, verpasst du wirklich was.
Basil
Android-Nutzer
Diese App hat mich so viel selbstbewusster in meiner Klausurvorbereitung gemacht, nicht nur durch die Stärkung meines Selbstvertrauens durch die Features, die es dir ermöglichen, dich mit anderen zu vernetzen und dich weniger allein zu fühlen, sondern auch durch die Art, wie die App selbst darauf ausgerichtet ist, dass du dich besser fühlst. Sie ist einfach zu bedienen, macht Spaß und hilft jedem, der in irgendeiner Weise Schwierigkeiten hat.
David K
iOS-Nutzer
Die App ist einfach super! Ich muss nur das Thema in die Suche eingeben und bekomme sofort eine Antwort. Ich muss nicht mehr 10 YouTube-Videos schauen, um etwas zu verstehen, und spare dadurch richtig viel Zeit. Sehr empfehlenswert!
Sudenaz Ocak
Android-Nutzerin
In der Schule war ich echt schlecht in Mathe, aber dank der App bin ich jetzt besser geworden. Ich bin so dankbar, dass ihr die App gemacht habt.
Greenlight Bonnie
Android-Nutzerin
sehr zuverlässige App, um deine Ideen in Mathe, Englisch und anderen verwandten Themen zu verbessern. bitte nutze diese App, wenn du in bestimmten Bereichen Schwierigkeiten hast, diese App ist dafür der Schlüssel. wünschte, ich hätte früher eine Bewertung geschrieben. und sie ist auch kostenlos, also mach dir darüber keine Sorgen.
Rohan U
Android-Nutzer
Ich weiß, dass viele Apps gefälschte Accounts nutzen, um ihre Bewertungen zu pushen, aber diese App verdient das alles. Ursprünglich hatte ich eine 4 in meinen Englisch-Klausuren und dieses Mal habe ich eine 2 bekommen. Ich wusste erst drei Tage vor der Klausur von dieser App und sie hat mir SEHR geholfen. Bitte vertrau mir wirklich und nutze sie, denn ich bin sicher, dass auch du Fortschritte sehen wirst.
Xander S
iOS-Nutzer
DIE QUIZZE UND KARTEIKARTEN SIND SO NÜTZLICH UND ICH LIEBE Knowunity KI. ES IST AUCH BUCHSTÄBLICH WIE CHATGPT ABER SCHLAUER!! HAT MIR AUCH BEI MEINEN MASCARA-PROBLEMEN GEHOLFEN!! SOWIE BEI MEINEN ECHTEN FÄCHERN! NATÜRLICH 😍😁😲🤑💗✨🎀😮
Elisha
iOS-Nutzer
Diese App ist echt der Hammer. Ich finde Lernen so langweilig, aber diese App macht es so einfach, alles zu organisieren und dann kannst du die kostenlose KI bitten, dich abzufragen, so gut, und du kannst einfach deine eigenen Sachen hochladen. sehr empfehlenswert als jemand, der gerade Probeklausuren schreibt
Paul T
iOS-Nutzer
Die App ist sehr einfach zu bedienen und gut gestaltet. Ich habe bisher alles gefunden, wonach ich gesucht habe, und konnte viel aus den Präsentationen lernen! Ich werde die App definitiv für ein Schulprojekt nutzen! Und natürlich hilft sie auch sehr als Inspiration.
Stefan S
iOS-Nutzer
Diese App ist wirklich super. Es gibt so viele Lernzettel und Hilfen [...]. Mein Problemfach ist zum Beispiel Französisch und die App hat so viele Möglichkeiten zur Hilfe. Dank dieser App habe ich mich in Französisch verbessert. Ich würde sie jedem empfehlen.
Samantha Klich
Android-Nutzerin
Wow, ich bin wirklich begeistert. Ich habe die App einfach mal ausprobiert, weil ich sie schon oft beworben gesehen habe und war absolut beeindruckt. Diese App ist DIE HILFE, die man für die Schule braucht und vor allem bietet sie so viele Dinge wie Übungen und Lernzettel, die mir persönlich SEHR geholfen haben.
Anna
iOS-Nutzerin
Beste App der Welt! Keine Worte, weil sie einfach zu gut ist
Thomas R
iOS-Nutzer
Einfach genial. Lässt mich 10x besser lernen, diese App ist eine glatte 10/10. Ich empfehle sie jedem. Ich kann Lernzettel anschauen und suchen. Ich kann sie im Fachordner speichern. Ich kann sie jederzeit wiederholen, wenn ich zurückkomme. Wenn du diese App noch nicht ausprobiert hast, verpasst du wirklich was.
Basil
Android-Nutzer
Diese App hat mich so viel selbstbewusster in meiner Klausurvorbereitung gemacht, nicht nur durch die Stärkung meines Selbstvertrauens durch die Features, die es dir ermöglichen, dich mit anderen zu vernetzen und dich weniger allein zu fühlen, sondern auch durch die Art, wie die App selbst darauf ausgerichtet ist, dass du dich besser fühlst. Sie ist einfach zu bedienen, macht Spaß und hilft jedem, der in irgendeiner Weise Schwierigkeiten hat.
David K
iOS-Nutzer
Die App ist einfach super! Ich muss nur das Thema in die Suche eingeben und bekomme sofort eine Antwort. Ich muss nicht mehr 10 YouTube-Videos schauen, um etwas zu verstehen, und spare dadurch richtig viel Zeit. Sehr empfehlenswert!
Sudenaz Ocak
Android-Nutzerin
In der Schule war ich echt schlecht in Mathe, aber dank der App bin ich jetzt besser geworden. Ich bin so dankbar, dass ihr die App gemacht habt.
Greenlight Bonnie
Android-Nutzerin
sehr zuverlässige App, um deine Ideen in Mathe, Englisch und anderen verwandten Themen zu verbessern. bitte nutze diese App, wenn du in bestimmten Bereichen Schwierigkeiten hast, diese App ist dafür der Schlüssel. wünschte, ich hätte früher eine Bewertung geschrieben. und sie ist auch kostenlos, also mach dir darüber keine Sorgen.
Rohan U
Android-Nutzer
Ich weiß, dass viele Apps gefälschte Accounts nutzen, um ihre Bewertungen zu pushen, aber diese App verdient das alles. Ursprünglich hatte ich eine 4 in meinen Englisch-Klausuren und dieses Mal habe ich eine 2 bekommen. Ich wusste erst drei Tage vor der Klausur von dieser App und sie hat mir SEHR geholfen. Bitte vertrau mir wirklich und nutze sie, denn ich bin sicher, dass auch du Fortschritte sehen wirst.
Xander S
iOS-Nutzer
DIE QUIZZE UND KARTEIKARTEN SIND SO NÜTZLICH UND ICH LIEBE Knowunity KI. ES IST AUCH BUCHSTÄBLICH WIE CHATGPT ABER SCHLAUER!! HAT MIR AUCH BEI MEINEN MASCARA-PROBLEMEN GEHOLFEN!! SOWIE BEI MEINEN ECHTEN FÄCHERN! NATÜRLICH 😍😁😲🤑💗✨🎀😮
Elisha
iOS-Nutzer
Diese App ist echt der Hammer. Ich finde Lernen so langweilig, aber diese App macht es so einfach, alles zu organisieren und dann kannst du die kostenlose KI bitten, dich abzufragen, so gut, und du kannst einfach deine eigenen Sachen hochladen. sehr empfehlenswert als jemand, der gerade Probeklausuren schreibt
Paul T
iOS-Nutzer