Harmonische Schwingungen sind überall um uns herum - vom Pendel... Mehr anzeigen
Melde dich an, um den Inhalt zu sehenKostenlos!
Zugriff auf alle Dokumente
Verbessere deine Noten
Schließ dich Millionen Schülern an
Knowunity KI
Fächer
Triangle Congruence and Similarity Theorems
Triangle Properties and Classification
Linear Equations and Graphs
Geometric Angle Relationships
Trigonometric Functions and Identities
Equation Solving Techniques
Circle Geometry Fundamentals
Division Operations and Methods
Basic Differentiation Rules
Exponent and Logarithm Properties
Alle Themen anzeigen
Human Organ Systems
Reproductive Cell Cycles
Biological Sciences Subdisciplines
Cellular Energy Metabolism
Autotrophic Energy Processes
Inheritance Patterns and Principles
Biomolecular Structure and Organization
Cell Cycle and Division Mechanics
Cellular Organization and Development
Biological Structural Organization
Alle Themen anzeigen
Chemical Sciences and Applications
Atomic Structure and Composition
Molecular Electron Structure Representation
Atomic Electron Behavior
Matter Properties and Water
Mole Concept and Calculations
Gas Laws and Behavior
Periodic Table Organization
Chemical Thermodynamics Fundamentals
Chemical Bond Types and Properties
Alle Themen anzeigen
European Renaissance and Enlightenment
European Cultural Movements 800-1920
American Revolution Era 1763-1797
American Civil War 1861-1865
Global Imperial Systems
Mongol and Chinese Dynasties
U.S. Presidents and World Leaders
Historical Sources and Documentation
World Wars Era and Impact
World Religious Systems
Alle Themen anzeigen
Classic and Contemporary Novels
Literary Character Analysis
Rhetorical Theory and Practice
Classic Literary Narratives
Reading Analysis and Interpretation
Narrative Structure and Techniques
English Language Components
Influential English-Language Authors
Basic Sentence Structure
Narrative Voice and Perspective
Alle Themen anzeigen
1,229
•
Aktualisiert Mar 9, 2026
•
DerProfi
@derstreber2.0
Harmonische Schwingungen sind überall um uns herum - vom Pendel... Mehr anzeigen








Fadenpendel sind ziemlich cool, weil sie eine wichtige Eigenschaft haben: Die Schwingungsdauer hängt überhaupt nicht von der Masse der Kugel ab! Egal ob du eine schwere oder leichte Kugel anhängst - die Zeit für eine komplette Schwingung bleibt gleich.
Das liegt an der Formel für die Periodendauer: T = 2π√. Hier siehst du: nur die Fadenlänge l und die Erdbeschleunigung g spielen eine Rolle - die Masse m kommt gar nicht vor.
Wenn du die Fadenlänge änderst, entsteht ein linearer Zusammenhang zwischen T² und l. Das bedeutet: doppelte Länge = doppeltes T². Diese Beziehung hilft dir sogar herauszufinden, ob ein Experiment auf der Erde oder auf dem Mond stattgefunden hat.
Merktipp: Bei kleinen Auslenkungen ist die Schwingungsdauer eines Fadenpendels vollkommen unabhängig von der Masse!

Das Feder-Schwere-Pendel kombiniert zwei Kräfte: die Federkraft und die Gewichtskraft. In der Ruhelage sind diese beiden Kräfte im Gleichgewicht, deshalb hängt die Feder schon etwas durch.
Die Masse berechnest du mit der Formel T = 2π√, umgestellt nach m. Die Federkonstante D und die Periodendauer T kennst du ja bereits aus der Aufgabe.
Bei der Differentialgleichung m·s̈(t) + D·s(t) = 0 ist die Lösung eine Kosinus-Funktion: s(t) = A·cos(ωt). Die Anfangsbedingungen bestimmen dabei die Amplitude A und die Phasenverschiebung.
Praxistipp: Die maximale Federkraft tritt immer bei der größten Auslenkung auf - das ist der Punkt, wo die Feder am stärksten gedehnt oder gestaucht ist!

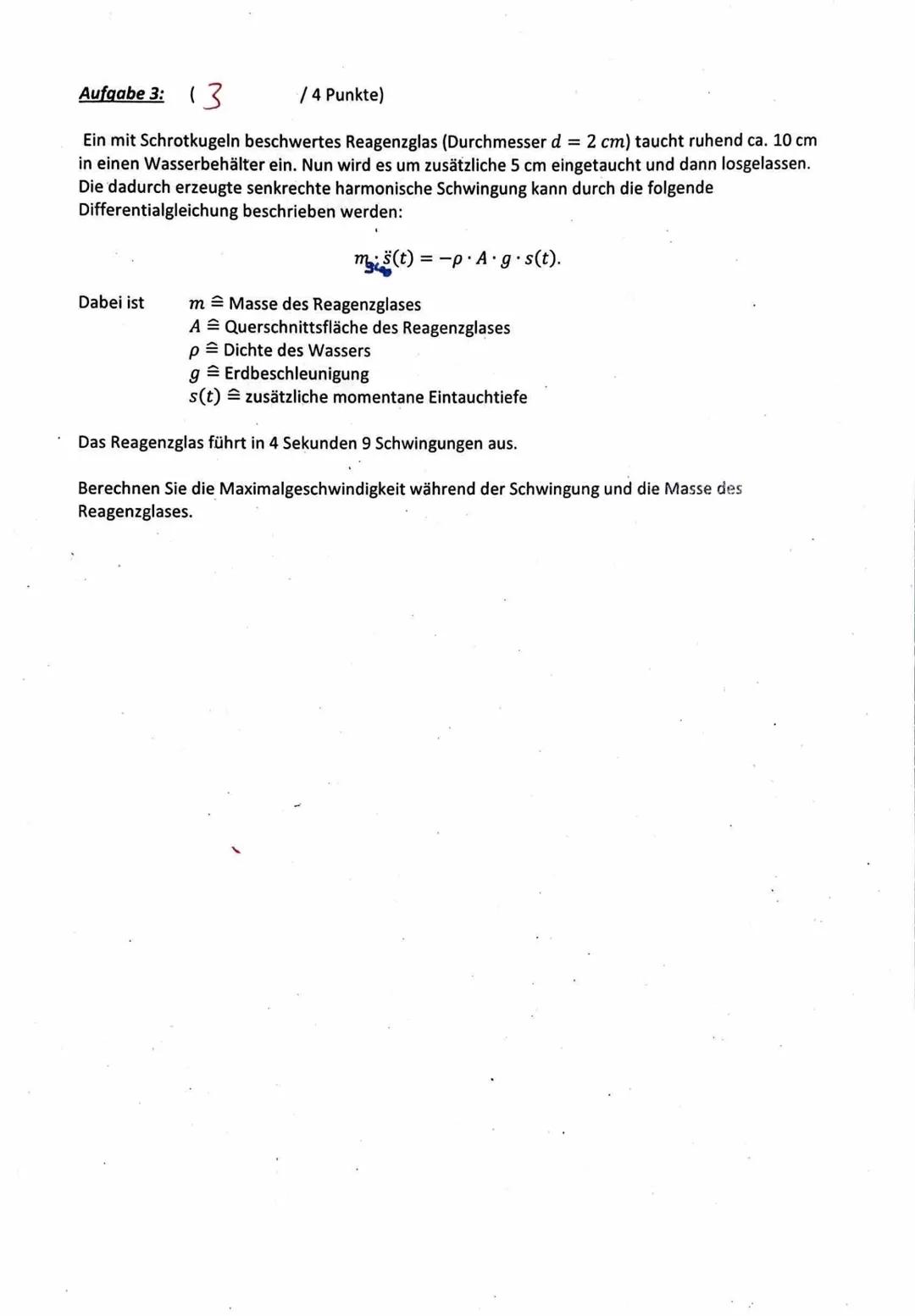
Hier wird's richtig spannend: Ein Reagenzglas schwimmt und schwingt dabei harmonisch auf und ab! Das funktioniert durch den Auftrieb des Wassers - je tiefer das Glas eintaucht, desto stärker drückt es das Wasser nach oben.
Die Rückstellkraft entsteht durch die Dichte ρ des Wassers, die Querschnittsfläche A des Glases und natürlich die Schwerkraft g. Diese Größen bestimmen, wie schnell das Glas schwingt.
Mit 9 Schwingungen in 4 Sekunden erhältst du eine Periodendauer von T = 4s/9 ≈ 0,44s. Daraus kannst du sowohl die Maximalgeschwindigkeit als auch die Masse des Reagenzglases berechnen.
Physik-Hack: Bei Auftriebsschwingungen wirkt das verdrängte Wasservolumen wie eine "Federkonstante" - je größer die Eintauchfläche, desto härter die "Feder"!

Die richtige Antwort bei der Masse-Abhängigkeit ist eindeutig: Eine horizontale Gerade zeigt, dass die Schwingungsdauer konstant bleibt. Das ist das Geniale am Fadenpendel - völlig unabhängig vom Gewicht der Kugel.
Beim T²-l-Diagramm erkennst du eine schöne Gerade durch den Ursprung. Das bestätigt die theoretische Vorhersage T² ∝ l perfekt. Die Steigung der Geraden gibt dir sogar Aufschluss über die Erdbeschleunigung.
Die Erdmessung funktioniert, weil die Steigung 4π²/g beträgt. Auf dem Mond wäre g nur 1/6 so groß, also die Steigung 6-mal größer. Da die Steigung hier normal aussieht, fand die Messung definitiv auf der Erde statt.
Clever: Das Fadelpendel ist praktisch eine "Gravitationswaage" - du kannst damit die örtliche Erdbeschleunigung messen!

Bei der Massenberechnung nutzt du die Formel T = 2π√ und stellst nach m um: m = D·T²/(4π²). Mit D = 20 N/m und T = 1,2 s erhältst du m ≈ 0,73 kg.
Die Ruhelage findest du über das Kräftegleichgewicht: mg = D·x. Die entspannte Feder wird also um x = mg/D ≈ 0,37 m verlängert, bis Gewichts- und Federkraft sich ausgleichen.
Für die Differentialgleichung ist der Ansatz s(t) = A·cos(ωt) goldrichtig. Mit den Anfangsbedingungen wird A = 0,09 m und ω = 2π/T.
Mathe-Trick: Bei harmonischen Schwingungen ist die Geschwindigkeit maximal, wenn die Auslenkung null ist - und umgekehrt!

Diagramm A ist korrekt, weil es eine negative Sinus-Funktion zeigt. Da s(t) = A·cos(ωt) ist, wird v(t) = -Aω·sin(ωt). Bei t = 0 startet die Geschwindigkeit bei null - das passt perfekt zu unseren Anfangsbedingungen.
Diagramm B und C fallen durch, weil sie positive Sinus-Funktionen zeigen oder die Nullstellen an den falschen Stellen haben. Die Physik lässt sich nicht austricksen - die mathematischen Zusammenhänge müssen stimmen.
Die Geschwindigkeitsamplitude berechnest du mit vₘₐₓ = A·ω = 0,09 m · ≈ 0,47 m/s. Das ist die höchste Geschwindigkeit, die das Pendel beim Durchgang durch die Ruhelage erreicht.
Denkhilfe: Stelle dir vor, du schaukelst - am höchsten Punkt bist du langsam, in der Mitte am schnellsten!

Die Periodendauer berechnest du aus den gegebenen Werten: T = 4 s / 9 Schwingungen ≈ 0,44 s. Das ist ziemlich schnell für so eine Schwingung!
Für die Maximalgeschwindigkeit gilt vₘₐₓ = A·ω, wobei A = 0,05 m (die zusätzliche Eintauchtiefe) und ω = 2π/T ist. Das ergibt etwa vₘₐₓ ≈ 0,71 m/s.
Die Masse des Reagenzglases erhältst du aus der Differentialgleichung: m = ρ·A·g·T²/(4π²). Mit ρ = 1000 kg/m³, A = π·(0,01 m)², g = 9,81 m/s² und T = 0,44 s kommst du auf eine sehr kleine Masse.
Realitätscheck: Die winzige berechnete Masse zeigt, dass das Reagenzglas praktisch leer sein muss - nur mit wenigen Schrotkugeln beschwert!
Unser KI-Begleiter ist ein speziell für Schüler entwickeltes KI-Tool, das mehr als nur Antworten bietet. Basierend auf Millionen von Knowunity-Inhalten liefert er relevante Informationen, personalisierte Lernpläne, Quizze und Inhalte direkt im Chat und passt sich deinem individuellen Lernweg an.
Du kannst die App im Google Play Store und im Apple App Store herunterladen.
Genau! Genieße kostenlosen Zugang zu Lerninhalten, vernetze dich mit anderen Schülern und hol dir sofortige Hilfe – alles direkt auf deinem Handy.
App Store
Google Play
Die App ist sehr einfach zu bedienen und gut gestaltet. Ich habe bisher alles gefunden, wonach ich gesucht habe, und konnte viel aus den Präsentationen lernen! Ich werde die App definitiv für ein Schulprojekt nutzen! Und natürlich hilft sie auch sehr als Inspiration.
Stefan S
iOS-Nutzer
Diese App ist wirklich super. Es gibt so viele Lernzettel und Hilfen [...]. Mein Problemfach ist zum Beispiel Französisch und die App hat so viele Möglichkeiten zur Hilfe. Dank dieser App habe ich mich in Französisch verbessert. Ich würde sie jedem empfehlen.
Samantha Klich
Android-Nutzerin
Wow, ich bin wirklich begeistert. Ich habe die App einfach mal ausprobiert, weil ich sie schon oft beworben gesehen habe und war absolut beeindruckt. Diese App ist DIE HILFE, die man für die Schule braucht und vor allem bietet sie so viele Dinge wie Übungen und Lernzettel, die mir persönlich SEHR geholfen haben.
Anna
iOS-Nutzerin
Beste App der Welt! Keine Worte, weil sie einfach zu gut ist
Thomas R
iOS-Nutzer
Einfach genial. Lässt mich 10x besser lernen, diese App ist eine glatte 10/10. Ich empfehle sie jedem. Ich kann Lernzettel anschauen und suchen. Ich kann sie im Fachordner speichern. Ich kann sie jederzeit wiederholen, wenn ich zurückkomme. Wenn du diese App noch nicht ausprobiert hast, verpasst du wirklich was.
Basil
Android-Nutzer
Diese App hat mich so viel selbstbewusster in meiner Klausurvorbereitung gemacht, nicht nur durch die Stärkung meines Selbstvertrauens durch die Features, die es dir ermöglichen, dich mit anderen zu vernetzen und dich weniger allein zu fühlen, sondern auch durch die Art, wie die App selbst darauf ausgerichtet ist, dass du dich besser fühlst. Sie ist einfach zu bedienen, macht Spaß und hilft jedem, der in irgendeiner Weise Schwierigkeiten hat.
David K
iOS-Nutzer
Die App ist einfach super! Ich muss nur das Thema in die Suche eingeben und bekomme sofort eine Antwort. Ich muss nicht mehr 10 YouTube-Videos schauen, um etwas zu verstehen, und spare dadurch richtig viel Zeit. Sehr empfehlenswert!
Sudenaz Ocak
Android-Nutzerin
In der Schule war ich echt schlecht in Mathe, aber dank der App bin ich jetzt besser geworden. Ich bin so dankbar, dass ihr die App gemacht habt.
Greenlight Bonnie
Android-Nutzerin
sehr zuverlässige App, um deine Ideen in Mathe, Englisch und anderen verwandten Themen zu verbessern. bitte nutze diese App, wenn du in bestimmten Bereichen Schwierigkeiten hast, diese App ist dafür der Schlüssel. wünschte, ich hätte früher eine Bewertung geschrieben. und sie ist auch kostenlos, also mach dir darüber keine Sorgen.
Rohan U
Android-Nutzer
Ich weiß, dass viele Apps gefälschte Accounts nutzen, um ihre Bewertungen zu pushen, aber diese App verdient das alles. Ursprünglich hatte ich eine 4 in meinen Englisch-Klausuren und dieses Mal habe ich eine 2 bekommen. Ich wusste erst drei Tage vor der Klausur von dieser App und sie hat mir SEHR geholfen. Bitte vertrau mir wirklich und nutze sie, denn ich bin sicher, dass auch du Fortschritte sehen wirst.
Xander S
iOS-Nutzer
DIE QUIZZE UND KARTEIKARTEN SIND SO NÜTZLICH UND ICH LIEBE Knowunity KI. ES IST AUCH BUCHSTÄBLICH WIE CHATGPT ABER SCHLAUER!! HAT MIR AUCH BEI MEINEN MASCARA-PROBLEMEN GEHOLFEN!! SOWIE BEI MEINEN ECHTEN FÄCHERN! NATÜRLICH 😍😁😲🤑💗✨🎀😮
Elisha
iOS-Nutzer
Diese App ist echt der Hammer. Ich finde Lernen so langweilig, aber diese App macht es so einfach, alles zu organisieren und dann kannst du die kostenlose KI bitten, dich abzufragen, so gut, und du kannst einfach deine eigenen Sachen hochladen. sehr empfehlenswert als jemand, der gerade Probeklausuren schreibt
Paul T
iOS-Nutzer
Die App ist sehr einfach zu bedienen und gut gestaltet. Ich habe bisher alles gefunden, wonach ich gesucht habe, und konnte viel aus den Präsentationen lernen! Ich werde die App definitiv für ein Schulprojekt nutzen! Und natürlich hilft sie auch sehr als Inspiration.
Stefan S
iOS-Nutzer
Diese App ist wirklich super. Es gibt so viele Lernzettel und Hilfen [...]. Mein Problemfach ist zum Beispiel Französisch und die App hat so viele Möglichkeiten zur Hilfe. Dank dieser App habe ich mich in Französisch verbessert. Ich würde sie jedem empfehlen.
Samantha Klich
Android-Nutzerin
Wow, ich bin wirklich begeistert. Ich habe die App einfach mal ausprobiert, weil ich sie schon oft beworben gesehen habe und war absolut beeindruckt. Diese App ist DIE HILFE, die man für die Schule braucht und vor allem bietet sie so viele Dinge wie Übungen und Lernzettel, die mir persönlich SEHR geholfen haben.
Anna
iOS-Nutzerin
Beste App der Welt! Keine Worte, weil sie einfach zu gut ist
Thomas R
iOS-Nutzer
Einfach genial. Lässt mich 10x besser lernen, diese App ist eine glatte 10/10. Ich empfehle sie jedem. Ich kann Lernzettel anschauen und suchen. Ich kann sie im Fachordner speichern. Ich kann sie jederzeit wiederholen, wenn ich zurückkomme. Wenn du diese App noch nicht ausprobiert hast, verpasst du wirklich was.
Basil
Android-Nutzer
Diese App hat mich so viel selbstbewusster in meiner Klausurvorbereitung gemacht, nicht nur durch die Stärkung meines Selbstvertrauens durch die Features, die es dir ermöglichen, dich mit anderen zu vernetzen und dich weniger allein zu fühlen, sondern auch durch die Art, wie die App selbst darauf ausgerichtet ist, dass du dich besser fühlst. Sie ist einfach zu bedienen, macht Spaß und hilft jedem, der in irgendeiner Weise Schwierigkeiten hat.
David K
iOS-Nutzer
Die App ist einfach super! Ich muss nur das Thema in die Suche eingeben und bekomme sofort eine Antwort. Ich muss nicht mehr 10 YouTube-Videos schauen, um etwas zu verstehen, und spare dadurch richtig viel Zeit. Sehr empfehlenswert!
Sudenaz Ocak
Android-Nutzerin
In der Schule war ich echt schlecht in Mathe, aber dank der App bin ich jetzt besser geworden. Ich bin so dankbar, dass ihr die App gemacht habt.
Greenlight Bonnie
Android-Nutzerin
sehr zuverlässige App, um deine Ideen in Mathe, Englisch und anderen verwandten Themen zu verbessern. bitte nutze diese App, wenn du in bestimmten Bereichen Schwierigkeiten hast, diese App ist dafür der Schlüssel. wünschte, ich hätte früher eine Bewertung geschrieben. und sie ist auch kostenlos, also mach dir darüber keine Sorgen.
Rohan U
Android-Nutzer
Ich weiß, dass viele Apps gefälschte Accounts nutzen, um ihre Bewertungen zu pushen, aber diese App verdient das alles. Ursprünglich hatte ich eine 4 in meinen Englisch-Klausuren und dieses Mal habe ich eine 2 bekommen. Ich wusste erst drei Tage vor der Klausur von dieser App und sie hat mir SEHR geholfen. Bitte vertrau mir wirklich und nutze sie, denn ich bin sicher, dass auch du Fortschritte sehen wirst.
Xander S
iOS-Nutzer
DIE QUIZZE UND KARTEIKARTEN SIND SO NÜTZLICH UND ICH LIEBE Knowunity KI. ES IST AUCH BUCHSTÄBLICH WIE CHATGPT ABER SCHLAUER!! HAT MIR AUCH BEI MEINEN MASCARA-PROBLEMEN GEHOLFEN!! SOWIE BEI MEINEN ECHTEN FÄCHERN! NATÜRLICH 😍😁😲🤑💗✨🎀😮
Elisha
iOS-Nutzer
Diese App ist echt der Hammer. Ich finde Lernen so langweilig, aber diese App macht es so einfach, alles zu organisieren und dann kannst du die kostenlose KI bitten, dich abzufragen, so gut, und du kannst einfach deine eigenen Sachen hochladen. sehr empfehlenswert als jemand, der gerade Probeklausuren schreibt
Paul T
iOS-Nutzer
DerProfi
@derstreber2.0
Harmonische Schwingungen sind überall um uns herum - vom Pendel der alten Wanduhr bis zur Gitarrensaite. Diese Klassenarbeit zeigt dir, wie du die wichtigsten Gesetzmäßigkeiten von Pendeln und Federschwingern verstehst und berechnest.

Zugriff auf alle Dokumente
Verbessere deine Noten
Schließ dich Millionen Schülern an
Fadenpendel sind ziemlich cool, weil sie eine wichtige Eigenschaft haben: Die Schwingungsdauer hängt überhaupt nicht von der Masse der Kugel ab! Egal ob du eine schwere oder leichte Kugel anhängst - die Zeit für eine komplette Schwingung bleibt gleich.
Das liegt an der Formel für die Periodendauer: T = 2π√. Hier siehst du: nur die Fadenlänge l und die Erdbeschleunigung g spielen eine Rolle - die Masse m kommt gar nicht vor.
Wenn du die Fadenlänge änderst, entsteht ein linearer Zusammenhang zwischen T² und l. Das bedeutet: doppelte Länge = doppeltes T². Diese Beziehung hilft dir sogar herauszufinden, ob ein Experiment auf der Erde oder auf dem Mond stattgefunden hat.
Merktipp: Bei kleinen Auslenkungen ist die Schwingungsdauer eines Fadenpendels vollkommen unabhängig von der Masse!

Zugriff auf alle Dokumente
Verbessere deine Noten
Schließ dich Millionen Schülern an
Das Feder-Schwere-Pendel kombiniert zwei Kräfte: die Federkraft und die Gewichtskraft. In der Ruhelage sind diese beiden Kräfte im Gleichgewicht, deshalb hängt die Feder schon etwas durch.
Die Masse berechnest du mit der Formel T = 2π√, umgestellt nach m. Die Federkonstante D und die Periodendauer T kennst du ja bereits aus der Aufgabe.
Bei der Differentialgleichung m·s̈(t) + D·s(t) = 0 ist die Lösung eine Kosinus-Funktion: s(t) = A·cos(ωt). Die Anfangsbedingungen bestimmen dabei die Amplitude A und die Phasenverschiebung.
Praxistipp: Die maximale Federkraft tritt immer bei der größten Auslenkung auf - das ist der Punkt, wo die Feder am stärksten gedehnt oder gestaucht ist!

Zugriff auf alle Dokumente
Verbessere deine Noten
Schließ dich Millionen Schülern an
Hier wird's richtig spannend: Ein Reagenzglas schwimmt und schwingt dabei harmonisch auf und ab! Das funktioniert durch den Auftrieb des Wassers - je tiefer das Glas eintaucht, desto stärker drückt es das Wasser nach oben.
Die Rückstellkraft entsteht durch die Dichte ρ des Wassers, die Querschnittsfläche A des Glases und natürlich die Schwerkraft g. Diese Größen bestimmen, wie schnell das Glas schwingt.
Mit 9 Schwingungen in 4 Sekunden erhältst du eine Periodendauer von T = 4s/9 ≈ 0,44s. Daraus kannst du sowohl die Maximalgeschwindigkeit als auch die Masse des Reagenzglases berechnen.
Physik-Hack: Bei Auftriebsschwingungen wirkt das verdrängte Wasservolumen wie eine "Federkonstante" - je größer die Eintauchfläche, desto härter die "Feder"!

Zugriff auf alle Dokumente
Verbessere deine Noten
Schließ dich Millionen Schülern an
Die richtige Antwort bei der Masse-Abhängigkeit ist eindeutig: Eine horizontale Gerade zeigt, dass die Schwingungsdauer konstant bleibt. Das ist das Geniale am Fadenpendel - völlig unabhängig vom Gewicht der Kugel.
Beim T²-l-Diagramm erkennst du eine schöne Gerade durch den Ursprung. Das bestätigt die theoretische Vorhersage T² ∝ l perfekt. Die Steigung der Geraden gibt dir sogar Aufschluss über die Erdbeschleunigung.
Die Erdmessung funktioniert, weil die Steigung 4π²/g beträgt. Auf dem Mond wäre g nur 1/6 so groß, also die Steigung 6-mal größer. Da die Steigung hier normal aussieht, fand die Messung definitiv auf der Erde statt.
Clever: Das Fadelpendel ist praktisch eine "Gravitationswaage" - du kannst damit die örtliche Erdbeschleunigung messen!

Zugriff auf alle Dokumente
Verbessere deine Noten
Schließ dich Millionen Schülern an
Bei der Massenberechnung nutzt du die Formel T = 2π√ und stellst nach m um: m = D·T²/(4π²). Mit D = 20 N/m und T = 1,2 s erhältst du m ≈ 0,73 kg.
Die Ruhelage findest du über das Kräftegleichgewicht: mg = D·x. Die entspannte Feder wird also um x = mg/D ≈ 0,37 m verlängert, bis Gewichts- und Federkraft sich ausgleichen.
Für die Differentialgleichung ist der Ansatz s(t) = A·cos(ωt) goldrichtig. Mit den Anfangsbedingungen wird A = 0,09 m und ω = 2π/T.
Mathe-Trick: Bei harmonischen Schwingungen ist die Geschwindigkeit maximal, wenn die Auslenkung null ist - und umgekehrt!

Zugriff auf alle Dokumente
Verbessere deine Noten
Schließ dich Millionen Schülern an
Diagramm A ist korrekt, weil es eine negative Sinus-Funktion zeigt. Da s(t) = A·cos(ωt) ist, wird v(t) = -Aω·sin(ωt). Bei t = 0 startet die Geschwindigkeit bei null - das passt perfekt zu unseren Anfangsbedingungen.
Diagramm B und C fallen durch, weil sie positive Sinus-Funktionen zeigen oder die Nullstellen an den falschen Stellen haben. Die Physik lässt sich nicht austricksen - die mathematischen Zusammenhänge müssen stimmen.
Die Geschwindigkeitsamplitude berechnest du mit vₘₐₓ = A·ω = 0,09 m · ≈ 0,47 m/s. Das ist die höchste Geschwindigkeit, die das Pendel beim Durchgang durch die Ruhelage erreicht.
Denkhilfe: Stelle dir vor, du schaukelst - am höchsten Punkt bist du langsam, in der Mitte am schnellsten!

Zugriff auf alle Dokumente
Verbessere deine Noten
Schließ dich Millionen Schülern an
Die Periodendauer berechnest du aus den gegebenen Werten: T = 4 s / 9 Schwingungen ≈ 0,44 s. Das ist ziemlich schnell für so eine Schwingung!
Für die Maximalgeschwindigkeit gilt vₘₐₓ = A·ω, wobei A = 0,05 m (die zusätzliche Eintauchtiefe) und ω = 2π/T ist. Das ergibt etwa vₘₐₓ ≈ 0,71 m/s.
Die Masse des Reagenzglases erhältst du aus der Differentialgleichung: m = ρ·A·g·T²/(4π²). Mit ρ = 1000 kg/m³, A = π·(0,01 m)², g = 9,81 m/s² und T = 0,44 s kommst du auf eine sehr kleine Masse.
Realitätscheck: Die winzige berechnete Masse zeigt, dass das Reagenzglas praktisch leer sein muss - nur mit wenigen Schrotkugeln beschwert!
Unser KI-Begleiter ist ein speziell für Schüler entwickeltes KI-Tool, das mehr als nur Antworten bietet. Basierend auf Millionen von Knowunity-Inhalten liefert er relevante Informationen, personalisierte Lernpläne, Quizze und Inhalte direkt im Chat und passt sich deinem individuellen Lernweg an.
Du kannst die App im Google Play Store und im Apple App Store herunterladen.
Genau! Genieße kostenlosen Zugang zu Lerninhalten, vernetze dich mit anderen Schülern und hol dir sofortige Hilfe – alles direkt auf deinem Handy.
83
Smart Tools NEU
Verwandle diesen Lernzettel in: ✓ 50+ Übungsfragen ✓ Interaktive Karteikarten ✓ Komplette Probeklausur ✓ Aufsatzgliederungen
Entdecken Sie die Grundlagen mechanischer und optischer Wellen, einschließlich des Huygenschen Prinzips, der Interferenz am Doppelspalt und der Bedeutung des Farbspektrums. Diese Zusammenfassung bietet eine klare Erklärung der Wellenbewegung, der Lichtintensität und der Bedingungen für konstruktive und destruktive Interferenz. Ideal für Studierende der Physik, die sich auf Prüfungen vorbereiten oder ihr Wissen vertiefen möchten.
Entdecken Sie die Grundlagen der Quantenphysik durch wichtige Experimente wie den Franck-Hertz-Versuch, den Photoeffekt und die Elektronenbeugung. Erfahren Sie mehr über de Broglie-Wellen, das planksche Wirkungsquantum und die Funktionsweise von Dioden. Diese Zusammenfassung bietet eine klare Übersicht über die zentralen Konzepte und deren Anwendungen in der modernen Physik.
Diese Zusammenfassung behandelt die Entstehung, Ausbreitung und Eigenschaften mechanischer Wellen, einschließlich Schallwellen, stehender Wellen und Interferenzphänomene. Ideal für das Abitur Hessen 2023, bietet sie klare Erklärungen zu Schlüsselkonzepten wie dem Superpositionsprinzip, Resonanz und der Lichtinterferenz am Doppelspalt und Gitter.
Entdecken Sie die Grundlagen des Federpendels und der harmonischen Schwingungen in der Physik. Diese Zusammenfassung behandelt die Formeln für die Periodendauer, die Rückstellkraft und die Energieerhaltung in gedämpften Schwingungen sowie die Funktionsweise von elektrischen Schwingkreisen. Ideal für Studierende, die sich auf Klausuren vorbereiten oder ihr Wissen über Schwingungen vertiefen möchten.
Vertiefende Aufgaben zu Schwingungen, einschließlich der Anwendung von Hookes Gesetz, Berechnungen zur Federkonstanten, und die Analyse von Schwingungsbewegungen. Ideal für Studierende der Mechanik, die sich mit harmonischen Schwingungen und deren mathematischen Modellen auseinandersetzen möchten.
Erforschen Sie die Prinzipien der Interferenz und Beugung in der Wellenoptik. Diese Zusammenfassung behandelt das Doppelspalt-Experiment, die Intensitätsverteilung bei verschiedenen Beugungsobjekten und die Berechnung von Maxima und Minima. Ideal für Studierende, die sich auf Prüfungen vorbereiten oder ihr Verständnis der Wellenoptik vertiefen möchten.
App Store
Google Play
Die App ist sehr einfach zu bedienen und gut gestaltet. Ich habe bisher alles gefunden, wonach ich gesucht habe, und konnte viel aus den Präsentationen lernen! Ich werde die App definitiv für ein Schulprojekt nutzen! Und natürlich hilft sie auch sehr als Inspiration.
Stefan S
iOS-Nutzer
Diese App ist wirklich super. Es gibt so viele Lernzettel und Hilfen [...]. Mein Problemfach ist zum Beispiel Französisch und die App hat so viele Möglichkeiten zur Hilfe. Dank dieser App habe ich mich in Französisch verbessert. Ich würde sie jedem empfehlen.
Samantha Klich
Android-Nutzerin
Wow, ich bin wirklich begeistert. Ich habe die App einfach mal ausprobiert, weil ich sie schon oft beworben gesehen habe und war absolut beeindruckt. Diese App ist DIE HILFE, die man für die Schule braucht und vor allem bietet sie so viele Dinge wie Übungen und Lernzettel, die mir persönlich SEHR geholfen haben.
Anna
iOS-Nutzerin
Beste App der Welt! Keine Worte, weil sie einfach zu gut ist
Thomas R
iOS-Nutzer
Einfach genial. Lässt mich 10x besser lernen, diese App ist eine glatte 10/10. Ich empfehle sie jedem. Ich kann Lernzettel anschauen und suchen. Ich kann sie im Fachordner speichern. Ich kann sie jederzeit wiederholen, wenn ich zurückkomme. Wenn du diese App noch nicht ausprobiert hast, verpasst du wirklich was.
Basil
Android-Nutzer
Diese App hat mich so viel selbstbewusster in meiner Klausurvorbereitung gemacht, nicht nur durch die Stärkung meines Selbstvertrauens durch die Features, die es dir ermöglichen, dich mit anderen zu vernetzen und dich weniger allein zu fühlen, sondern auch durch die Art, wie die App selbst darauf ausgerichtet ist, dass du dich besser fühlst. Sie ist einfach zu bedienen, macht Spaß und hilft jedem, der in irgendeiner Weise Schwierigkeiten hat.
David K
iOS-Nutzer
Die App ist einfach super! Ich muss nur das Thema in die Suche eingeben und bekomme sofort eine Antwort. Ich muss nicht mehr 10 YouTube-Videos schauen, um etwas zu verstehen, und spare dadurch richtig viel Zeit. Sehr empfehlenswert!
Sudenaz Ocak
Android-Nutzerin
In der Schule war ich echt schlecht in Mathe, aber dank der App bin ich jetzt besser geworden. Ich bin so dankbar, dass ihr die App gemacht habt.
Greenlight Bonnie
Android-Nutzerin
sehr zuverlässige App, um deine Ideen in Mathe, Englisch und anderen verwandten Themen zu verbessern. bitte nutze diese App, wenn du in bestimmten Bereichen Schwierigkeiten hast, diese App ist dafür der Schlüssel. wünschte, ich hätte früher eine Bewertung geschrieben. und sie ist auch kostenlos, also mach dir darüber keine Sorgen.
Rohan U
Android-Nutzer
Ich weiß, dass viele Apps gefälschte Accounts nutzen, um ihre Bewertungen zu pushen, aber diese App verdient das alles. Ursprünglich hatte ich eine 4 in meinen Englisch-Klausuren und dieses Mal habe ich eine 2 bekommen. Ich wusste erst drei Tage vor der Klausur von dieser App und sie hat mir SEHR geholfen. Bitte vertrau mir wirklich und nutze sie, denn ich bin sicher, dass auch du Fortschritte sehen wirst.
Xander S
iOS-Nutzer
DIE QUIZZE UND KARTEIKARTEN SIND SO NÜTZLICH UND ICH LIEBE Knowunity KI. ES IST AUCH BUCHSTÄBLICH WIE CHATGPT ABER SCHLAUER!! HAT MIR AUCH BEI MEINEN MASCARA-PROBLEMEN GEHOLFEN!! SOWIE BEI MEINEN ECHTEN FÄCHERN! NATÜRLICH 😍😁😲🤑💗✨🎀😮
Elisha
iOS-Nutzer
Diese App ist echt der Hammer. Ich finde Lernen so langweilig, aber diese App macht es so einfach, alles zu organisieren und dann kannst du die kostenlose KI bitten, dich abzufragen, so gut, und du kannst einfach deine eigenen Sachen hochladen. sehr empfehlenswert als jemand, der gerade Probeklausuren schreibt
Paul T
iOS-Nutzer
Die App ist sehr einfach zu bedienen und gut gestaltet. Ich habe bisher alles gefunden, wonach ich gesucht habe, und konnte viel aus den Präsentationen lernen! Ich werde die App definitiv für ein Schulprojekt nutzen! Und natürlich hilft sie auch sehr als Inspiration.
Stefan S
iOS-Nutzer
Diese App ist wirklich super. Es gibt so viele Lernzettel und Hilfen [...]. Mein Problemfach ist zum Beispiel Französisch und die App hat so viele Möglichkeiten zur Hilfe. Dank dieser App habe ich mich in Französisch verbessert. Ich würde sie jedem empfehlen.
Samantha Klich
Android-Nutzerin
Wow, ich bin wirklich begeistert. Ich habe die App einfach mal ausprobiert, weil ich sie schon oft beworben gesehen habe und war absolut beeindruckt. Diese App ist DIE HILFE, die man für die Schule braucht und vor allem bietet sie so viele Dinge wie Übungen und Lernzettel, die mir persönlich SEHR geholfen haben.
Anna
iOS-Nutzerin
Beste App der Welt! Keine Worte, weil sie einfach zu gut ist
Thomas R
iOS-Nutzer
Einfach genial. Lässt mich 10x besser lernen, diese App ist eine glatte 10/10. Ich empfehle sie jedem. Ich kann Lernzettel anschauen und suchen. Ich kann sie im Fachordner speichern. Ich kann sie jederzeit wiederholen, wenn ich zurückkomme. Wenn du diese App noch nicht ausprobiert hast, verpasst du wirklich was.
Basil
Android-Nutzer
Diese App hat mich so viel selbstbewusster in meiner Klausurvorbereitung gemacht, nicht nur durch die Stärkung meines Selbstvertrauens durch die Features, die es dir ermöglichen, dich mit anderen zu vernetzen und dich weniger allein zu fühlen, sondern auch durch die Art, wie die App selbst darauf ausgerichtet ist, dass du dich besser fühlst. Sie ist einfach zu bedienen, macht Spaß und hilft jedem, der in irgendeiner Weise Schwierigkeiten hat.
David K
iOS-Nutzer
Die App ist einfach super! Ich muss nur das Thema in die Suche eingeben und bekomme sofort eine Antwort. Ich muss nicht mehr 10 YouTube-Videos schauen, um etwas zu verstehen, und spare dadurch richtig viel Zeit. Sehr empfehlenswert!
Sudenaz Ocak
Android-Nutzerin
In der Schule war ich echt schlecht in Mathe, aber dank der App bin ich jetzt besser geworden. Ich bin so dankbar, dass ihr die App gemacht habt.
Greenlight Bonnie
Android-Nutzerin
sehr zuverlässige App, um deine Ideen in Mathe, Englisch und anderen verwandten Themen zu verbessern. bitte nutze diese App, wenn du in bestimmten Bereichen Schwierigkeiten hast, diese App ist dafür der Schlüssel. wünschte, ich hätte früher eine Bewertung geschrieben. und sie ist auch kostenlos, also mach dir darüber keine Sorgen.
Rohan U
Android-Nutzer
Ich weiß, dass viele Apps gefälschte Accounts nutzen, um ihre Bewertungen zu pushen, aber diese App verdient das alles. Ursprünglich hatte ich eine 4 in meinen Englisch-Klausuren und dieses Mal habe ich eine 2 bekommen. Ich wusste erst drei Tage vor der Klausur von dieser App und sie hat mir SEHR geholfen. Bitte vertrau mir wirklich und nutze sie, denn ich bin sicher, dass auch du Fortschritte sehen wirst.
Xander S
iOS-Nutzer
DIE QUIZZE UND KARTEIKARTEN SIND SO NÜTZLICH UND ICH LIEBE Knowunity KI. ES IST AUCH BUCHSTÄBLICH WIE CHATGPT ABER SCHLAUER!! HAT MIR AUCH BEI MEINEN MASCARA-PROBLEMEN GEHOLFEN!! SOWIE BEI MEINEN ECHTEN FÄCHERN! NATÜRLICH 😍😁😲🤑💗✨🎀😮
Elisha
iOS-Nutzer
Diese App ist echt der Hammer. Ich finde Lernen so langweilig, aber diese App macht es so einfach, alles zu organisieren und dann kannst du die kostenlose KI bitten, dich abzufragen, so gut, und du kannst einfach deine eigenen Sachen hochladen. sehr empfehlenswert als jemand, der gerade Probeklausuren schreibt
Paul T
iOS-Nutzer