Aminosäuren sind die Grundbausteine von Proteinen und damit essentiell für... Mehr anzeigen
Melde dich an, um den Inhalt zu sehenKostenlos!
Zugriff auf alle Dokumente
Verbessere deine Noten
Schließ dich Millionen Schülern an
Knowunity KI
Fächer
Triangle Congruence and Similarity Theorems
Triangle Properties and Classification
Linear Equations and Graphs
Geometric Angle Relationships
Trigonometric Functions and Identities
Equation Solving Techniques
Circle Geometry Fundamentals
Division Operations and Methods
Basic Differentiation Rules
Exponent and Logarithm Properties
Alle Themen anzeigen
Human Organ Systems
Reproductive Cell Cycles
Biological Sciences Subdisciplines
Cellular Energy Metabolism
Autotrophic Energy Processes
Inheritance Patterns and Principles
Biomolecular Structure and Organization
Cell Cycle and Division Mechanics
Cellular Organization and Development
Biological Structural Organization
Alle Themen anzeigen
Chemical Sciences and Applications
Atomic Structure and Composition
Molecular Electron Structure Representation
Atomic Electron Behavior
Matter Properties and Water
Mole Concept and Calculations
Gas Laws and Behavior
Periodic Table Organization
Chemical Thermodynamics Fundamentals
Chemical Bond Types and Properties
Alle Themen anzeigen
European Renaissance and Enlightenment
European Cultural Movements 800-1920
American Revolution Era 1763-1797
American Civil War 1861-1865
Global Imperial Systems
Mongol and Chinese Dynasties
U.S. Presidents and World Leaders
Historical Sources and Documentation
World Wars Era and Impact
World Religious Systems
Alle Themen anzeigen
Classic and Contemporary Novels
Literary Character Analysis
Rhetorical Theory and Practice
Classic Literary Narratives
Reading Analysis and Interpretation
Narrative Structure and Techniques
English Language Components
Influential English-Language Authors
Basic Sentence Structure
Narrative Voice and Perspective
Alle Themen anzeigen
1,362
•
Aktualisiert May 16, 2026
•
Lernzettel4you
@janina_wgik
Aminosäuren sind die Grundbausteine von Proteinen und damit essentiell für... Mehr anzeigen











Aminosäuren sind die fundamentalen Bausteine, aus denen Proteine aufgebaut werden. Sie spielen eine entscheidende Rolle in deinem Körper - von der Muskulatur, die du im Sportunterricht nutzt, bis hin zu den Enzymen, die deine Verdauung ermöglichen.
Als Aminocarbonsäuren besitzen sie mindestens eine Aminogruppe und eine Carboxylgruppe. Du kannst dir diese Struktur wie ein Puzzle vorstellen, bei dem verschiedene Seitenketten an ein gemeinsames Grundgerüst angehängt werden.
💡 Wusstest du? Die einfachste Aminosäure ist Glycin, die aufgrund ihrer kleinen Seitenkette (nur ein Wasserstoffatom) besonders flexibel ist.

Dieses Kapitel über Aminosäuren umfasst alle wichtigen Grundlagen, die du für dein Verständnis der Biochemie brauchst. Wir werden uns mit der Struktur, den verschiedenen Arten und ihren chemischen Eigenschaften befassen.
Die Themen reichen von allgemeinen Informationen über die grundlegende Struktur bis hin zu komplexeren Konzepten wie dem isoelektrischen Punkt. Das klingt vielleicht kompliziert, aber keine Sorge - wir gehen Schritt für Schritt vor.
Du wirst überrascht sein, wie viel du über diese lebenswichtigen Moleküle lernen wirst!

Aminosäuren sind Aminocarbonsäuren, manchmal auch als Amidosäuren bezeichnet. Sie bilden die grundlegenden Bausteine, aus denen alle Proteine in deinem Körper aufgebaut sind.
Chemisch betrachtet handelt es sich um Carbonsäuren, die mindestens eine Aminogruppe enthalten. Die einfachste Aminosäure ist Glycin, aber es gibt verschiedene Typen, die sich in ihrer Struktur unterscheiden.
Je nach Position der Aminogruppe unterscheidet man zwischen α-Aminosäuren (Aminogruppe am ersten Kohlenstoffatom nach der Carboxylgruppe), β-Aminosäuren (am zweiten) und γ-Aminosäuren (am dritten). In der Natur sind α-Aminosäuren am häufigsten.
💡 Merke: Für den Aufbau von Proteinen verwendet dein Körper hauptsächlich α-Aminosäuren!

Die α-Aminosäuren sind besonders wichtig, da sie als proteinogene Aminosäuren bezeichnet werden. Dies bedeutet, dass sie die Grundbausteine für Proteine in deinem Körper bilden.
Von den vielen existierenden α-Aminosäuren kommen etwa 20 regelmäßig in Proteinen vor. Du kannst dir diese wie die Buchstaben eines speziellen Alphabets vorstellen, aus dem der genetische Code alle Proteine "buchstabiert".
Ein besonderes Merkmal der meisten α-Aminosäuren ist ihr Chiralitätszentrum - ein Kohlenstoffatom mit vier verschiedenen Bindungspartnern. Dies führt zu räumlich unterschiedlichen Formen (wie deine linke und rechte Hand). Die einzige Ausnahme bildet Glycin, das statt einer komplexen Seitenkette nur ein Wasserstoffatom besitzt.
💡 Spannend: Die Chiralität von Aminosäuren ist entscheidend für ihre biologische Funktion - in der Natur kommen fast ausschließlich L-Aminosäuren vor!

Proteine sind für deinen Körper unverzichtbar und erfüllen zahlreiche lebenswichtige Funktionen. Sie tragen zum Muskelaufbau bei, was besonders für Sportbegeisterte interessant ist.
Als Antikörper spielen Proteine eine zentrale Rolle in deinem Immunsystem und schützen dich vor Krankheitserregern. Andere Proteine fungieren als Transportproteine, die lebenswichtige Stoffe wie Sauerstoff durch deinen Körper befördern.
Enzyme sind spezielle Proteine, die biochemische Reaktionen beschleunigen und steuern. Ohne sie würde dein Stoffwechsel praktisch zum Erliegen kommen. Zudem sind Proteine wesentliche Bestandteile beim Aufbau von Organen, Haut, Knochen, Haaren und Nägeln sowie für die Erhaltung und den Aufbau von Sehnen.
💡 Ein faszinierender Fakt: Jedes Protein in deinem Körper ist aus einer Kette von Aminosäuren aufgebaut, deren Reihenfolge durch deine Gene bestimmt wird!

Jede Aminosäure hat eine charakteristische Grundstruktur, die aus drei wesentlichen Komponenten besteht. Du kannst dir diese Struktur wie ein kleines Molekül mit drei "Armen" vorstellen.
Die Amino-Gruppe ist eine der Hauptkomponenten und gibt der Aminosäure ihren Namen. Sie kann Protonen aufnehmen und ist für viele chemische Reaktionen verantwortlich.
Die Carboxy-Gruppe bildet den zweiten wichtigen Bestandteil. Sie verleiht der Aminosäure ihre sauren Eigenschaften und kann Protonen abgeben.
Die Seitenkette (R) macht jede Aminosäure einzigartig. Sie bestimmt die spezifischen Eigenschaften wie Polarität, Ladung und Größe der Aminosäure und damit auch ihre Funktion im Protein.
💡 Tipp für Klausuren: Die Grundstruktur "H₂N-CH(R)-COOH" solltest du auswendig kennen - sie ist der Schlüssel zum Verständnis der Aminosäure-Chemie!

Die Seitenketten (R) der Aminosäuren bestimmen ihre chemischen Eigenschaften und damit ihr Verhalten in Proteinen. Sie lassen sich in vier Hauptgruppen einteilen.
Unpolare/hydrophobe Aminosäuren wie Alanin, Valin und Leucin meiden Wasser und befinden sich häufig im Inneren von Proteinen. Ihre Seitenketten bestehen hauptsächlich aus Kohlenwasserstoffketten oder -ringen.
Polare/neutrale Aminosäuren wie Serin, Threonin und Tyrosin enthalten funktionelle Gruppen (z.B. Hydroxylgruppen), die mit Wasser wechselwirken können. Sie befinden sich oft an der Oberfläche von Proteinen.
Basische Aminosäuren wie Lysin und Arginin tragen bei physiologischem pH-Wert positive Ladungen und spielen eine wichtige Rolle bei der Wechselwirkung mit negativ geladenen Molekülen wie DNA.
Saure Aminosäuren wie Glutaminsäure und Asparaginsäure tragen negative Ladungen und sind wichtig für Ionenbindungen innerhalb von Proteinen.
💡 Vergleich: Stell dir ein Protein wie ein gefaltetes T-Shirt vor - die hydrophoben Aminosäuren bilden die innere Schicht, während die polaren und geladenen an der Außenseite mit Wasser interagieren.

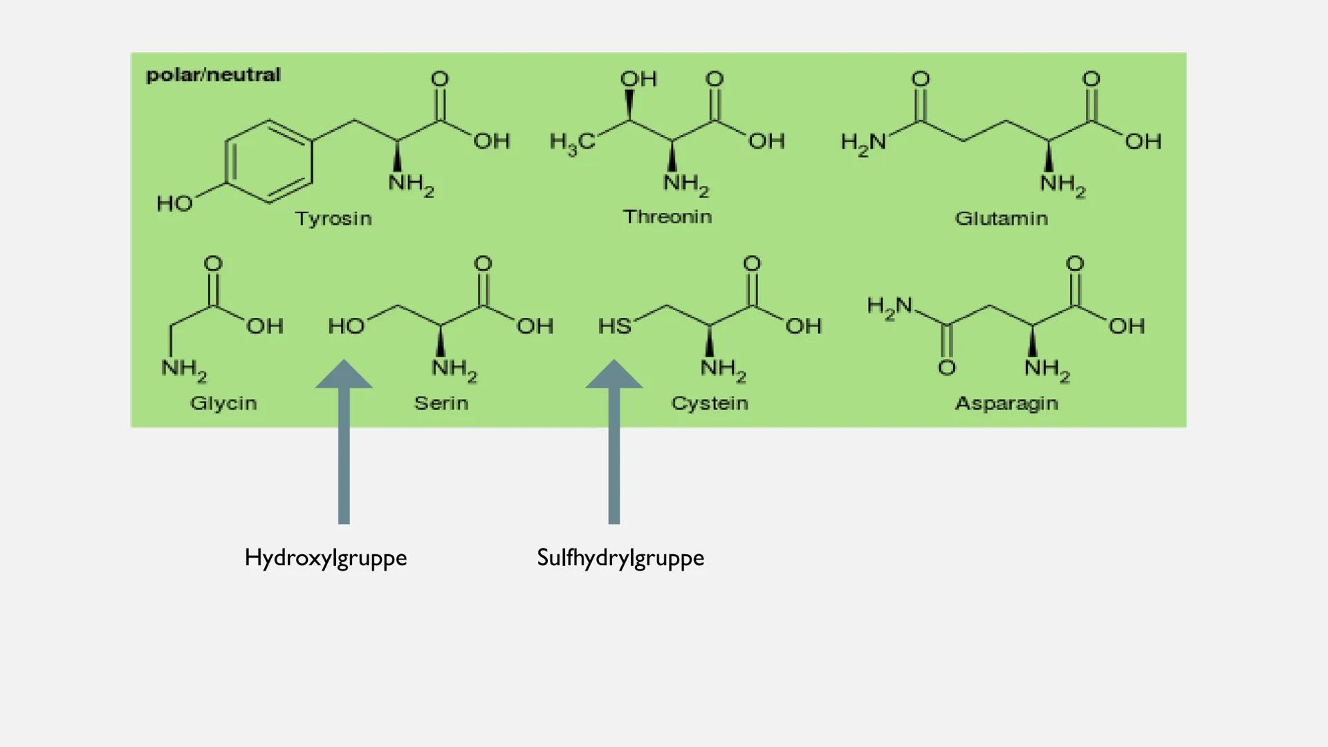
Polare Aminosäuren sind wie kleine Magnete, die mit Wasser interagieren können. Sie befinden sich oft an der Oberfläche von Proteinen, wo sie mit der wässrigen Umgebung in Kontakt kommen.
Tyrosin, Glycin, Serin und Threonin gehören zu dieser Gruppe. Sie enthalten funktionelle Gruppen wie Hydroxylgruppen , die Wasserstoffbrücken mit Wassermolekülen bilden können. Cystein mit seiner Sulfhydrylgruppe kann zudem wichtige Disulfidbrücken formen, die Proteine stabilisieren.
Glutamin und Asparagin sind ebenfalls polar und besitzen Amidgruppen in ihren Seitenketten. Diese Aminosäuren spielen eine wichtige Rolle bei der Faltung von Proteinen und deren Wechselwirkung mit anderen Molekülen.
💡 Praxistipp: Wenn du verstehen willst, warum sich Proteine so falten, wie sie es tun, achte auf die Verteilung polarer und unpolarer Aminosäuren - sie ist der Schlüssel zur dreidimensionalen Struktur!

Unpolare Aminosäuren sind die "wasserscheuen" Bausteine der Proteine. Ihre Seitenketten bestehen hauptsächlich aus Kohlenwasserstoffketten oder -ringen ohne polare Gruppen.
Alanin, Valin, Leucin und Isoleucin haben aliphatische (kettenförmige) Seitenketten und unterscheiden sich nur in der Anzahl und Anordnung ihrer Kohlenstoffatome. Diese Aminosäuren verleihen Proteinen Stabilität und bilden oft das hydrophobe Innere.
Phenylalanin und Tryptophan enthalten aromatische Ringsysteme, die ihnen besondere Eigenschaften verleihen. Sie können zum Beispiel an der Bindung von Arzneistoffen beteiligt sein. Prolin ist einzigartig, da seine Seitenkette einen Ring mit der Aminogruppe bildet, was die Proteinstruktur stark beeinflusst.
💡 Interessanter Fakt: In Membranproteinen sind hydrophobe Aminosäuren nach außen gerichtet, um mit den Fettsäuren der Zellmembran zu interagieren - genau umgekehrt wie bei wasserlöslichen Proteinen!

Basische Aminosäuren sind wie kleine positive Ladungsträger in Proteinen. Sie enthalten Stickstoffatome in ihren Seitenketten, die Protonen aus der Umgebung aufnehmen können.
Lysin besitzt eine zusätzliche Aminogruppe am Ende seiner Seitenkette, die bei physiologischem pH-Wert protoniert ist und damit positiv geladen. Diese positive Ladung ist wichtig für die Wechselwirkung mit negativ geladenen Molekülen wie DNA.
Arginin enthält eine Guanidingruppe, die ebenfalls positiv geladen ist und besonders stark basisch wirkt. Histidin mit seinem Imidazolring ist teilweise protoniert bei physiologischem pH und spielt eine wichtige Rolle in vielen Enzymen, wo es als Protonenüberträger fungiert.
💡 Klausurtipp: Achte auf den Unterschied zwischen basischen Aminosäuren und ihrer protonierten Form! Bei physiologischem pH (≈7,4) liegen Lysin und Arginin fast vollständig protoniert vor, während Histidin teilweise protoniert ist.
Unser KI-Begleiter ist ein speziell für Schüler entwickeltes KI-Tool, das mehr als nur Antworten bietet. Basierend auf Millionen von Knowunity-Inhalten liefert er relevante Informationen, personalisierte Lernpläne, Quizze und Inhalte direkt im Chat und passt sich deinem individuellen Lernweg an.
Du kannst die App im Google Play Store und im Apple App Store herunterladen.
Genau! Genieße kostenlosen Zugang zu Lerninhalten, vernetze dich mit anderen Schülern und hol dir sofortige Hilfe – alles direkt auf deinem Handy.
App Store
Google Play
Die App ist sehr einfach zu bedienen und gut gestaltet. Ich habe bisher alles gefunden, wonach ich gesucht habe, und konnte viel aus den Präsentationen lernen! Ich werde die App definitiv für ein Schulprojekt nutzen! Und natürlich hilft sie auch sehr als Inspiration.
Stefan S
iOS-Nutzer
Diese App ist wirklich super. Es gibt so viele Lernzettel und Hilfen [...]. Mein Problemfach ist zum Beispiel Französisch und die App hat so viele Möglichkeiten zur Hilfe. Dank dieser App habe ich mich in Französisch verbessert. Ich würde sie jedem empfehlen.
Samantha Klich
Android-Nutzerin
Wow, ich bin wirklich begeistert. Ich habe die App einfach mal ausprobiert, weil ich sie schon oft beworben gesehen habe und war absolut beeindruckt. Diese App ist DIE HILFE, die man für die Schule braucht und vor allem bietet sie so viele Dinge wie Übungen und Lernzettel, die mir persönlich SEHR geholfen haben.
Anna
iOS-Nutzerin
Beste App der Welt! Keine Worte, weil sie einfach zu gut ist
Thomas R
iOS-Nutzer
Einfach genial. Lässt mich 10x besser lernen, diese App ist eine glatte 10/10. Ich empfehle sie jedem. Ich kann Lernzettel anschauen und suchen. Ich kann sie im Fachordner speichern. Ich kann sie jederzeit wiederholen, wenn ich zurückkomme. Wenn du diese App noch nicht ausprobiert hast, verpasst du wirklich was.
Basil
Android-Nutzer
Diese App hat mich so viel selbstbewusster in meiner Klausurvorbereitung gemacht, nicht nur durch die Stärkung meines Selbstvertrauens durch die Features, die es dir ermöglichen, dich mit anderen zu vernetzen und dich weniger allein zu fühlen, sondern auch durch die Art, wie die App selbst darauf ausgerichtet ist, dass du dich besser fühlst. Sie ist einfach zu bedienen, macht Spaß und hilft jedem, der in irgendeiner Weise Schwierigkeiten hat.
David K
iOS-Nutzer
Die App ist einfach super! Ich muss nur das Thema in die Suche eingeben und bekomme sofort eine Antwort. Ich muss nicht mehr 10 YouTube-Videos schauen, um etwas zu verstehen, und spare dadurch richtig viel Zeit. Sehr empfehlenswert!
Sudenaz Ocak
Android-Nutzerin
In der Schule war ich echt schlecht in Mathe, aber dank der App bin ich jetzt besser geworden. Ich bin so dankbar, dass ihr die App gemacht habt.
Greenlight Bonnie
Android-Nutzerin
sehr zuverlässige App, um deine Ideen in Mathe, Englisch und anderen verwandten Themen zu verbessern. bitte nutze diese App, wenn du in bestimmten Bereichen Schwierigkeiten hast, diese App ist dafür der Schlüssel. wünschte, ich hätte früher eine Bewertung geschrieben. und sie ist auch kostenlos, also mach dir darüber keine Sorgen.
Rohan U
Android-Nutzer
Ich weiß, dass viele Apps gefälschte Accounts nutzen, um ihre Bewertungen zu pushen, aber diese App verdient das alles. Ursprünglich hatte ich eine 4 in meinen Englisch-Klausuren und dieses Mal habe ich eine 2 bekommen. Ich wusste erst drei Tage vor der Klausur von dieser App und sie hat mir SEHR geholfen. Bitte vertrau mir wirklich und nutze sie, denn ich bin sicher, dass auch du Fortschritte sehen wirst.
Xander S
iOS-Nutzer
DIE QUIZZE UND KARTEIKARTEN SIND SO NÜTZLICH UND ICH LIEBE Knowunity KI. ES IST AUCH BUCHSTÄBLICH WIE CHATGPT ABER SCHLAUER!! HAT MIR AUCH BEI MEINEN MASCARA-PROBLEMEN GEHOLFEN!! SOWIE BEI MEINEN ECHTEN FÄCHERN! NATÜRLICH 😍😁😲🤑💗✨🎀😮
Elisha
iOS-Nutzer
Diese App ist echt der Hammer. Ich finde Lernen so langweilig, aber diese App macht es so einfach, alles zu organisieren und dann kannst du die kostenlose KI bitten, dich abzufragen, so gut, und du kannst einfach deine eigenen Sachen hochladen. sehr empfehlenswert als jemand, der gerade Probeklausuren schreibt
Paul T
iOS-Nutzer
Die App ist sehr einfach zu bedienen und gut gestaltet. Ich habe bisher alles gefunden, wonach ich gesucht habe, und konnte viel aus den Präsentationen lernen! Ich werde die App definitiv für ein Schulprojekt nutzen! Und natürlich hilft sie auch sehr als Inspiration.
Stefan S
iOS-Nutzer
Diese App ist wirklich super. Es gibt so viele Lernzettel und Hilfen [...]. Mein Problemfach ist zum Beispiel Französisch und die App hat so viele Möglichkeiten zur Hilfe. Dank dieser App habe ich mich in Französisch verbessert. Ich würde sie jedem empfehlen.
Samantha Klich
Android-Nutzerin
Wow, ich bin wirklich begeistert. Ich habe die App einfach mal ausprobiert, weil ich sie schon oft beworben gesehen habe und war absolut beeindruckt. Diese App ist DIE HILFE, die man für die Schule braucht und vor allem bietet sie so viele Dinge wie Übungen und Lernzettel, die mir persönlich SEHR geholfen haben.
Anna
iOS-Nutzerin
Beste App der Welt! Keine Worte, weil sie einfach zu gut ist
Thomas R
iOS-Nutzer
Einfach genial. Lässt mich 10x besser lernen, diese App ist eine glatte 10/10. Ich empfehle sie jedem. Ich kann Lernzettel anschauen und suchen. Ich kann sie im Fachordner speichern. Ich kann sie jederzeit wiederholen, wenn ich zurückkomme. Wenn du diese App noch nicht ausprobiert hast, verpasst du wirklich was.
Basil
Android-Nutzer
Diese App hat mich so viel selbstbewusster in meiner Klausurvorbereitung gemacht, nicht nur durch die Stärkung meines Selbstvertrauens durch die Features, die es dir ermöglichen, dich mit anderen zu vernetzen und dich weniger allein zu fühlen, sondern auch durch die Art, wie die App selbst darauf ausgerichtet ist, dass du dich besser fühlst. Sie ist einfach zu bedienen, macht Spaß und hilft jedem, der in irgendeiner Weise Schwierigkeiten hat.
David K
iOS-Nutzer
Die App ist einfach super! Ich muss nur das Thema in die Suche eingeben und bekomme sofort eine Antwort. Ich muss nicht mehr 10 YouTube-Videos schauen, um etwas zu verstehen, und spare dadurch richtig viel Zeit. Sehr empfehlenswert!
Sudenaz Ocak
Android-Nutzerin
In der Schule war ich echt schlecht in Mathe, aber dank der App bin ich jetzt besser geworden. Ich bin so dankbar, dass ihr die App gemacht habt.
Greenlight Bonnie
Android-Nutzerin
sehr zuverlässige App, um deine Ideen in Mathe, Englisch und anderen verwandten Themen zu verbessern. bitte nutze diese App, wenn du in bestimmten Bereichen Schwierigkeiten hast, diese App ist dafür der Schlüssel. wünschte, ich hätte früher eine Bewertung geschrieben. und sie ist auch kostenlos, also mach dir darüber keine Sorgen.
Rohan U
Android-Nutzer
Ich weiß, dass viele Apps gefälschte Accounts nutzen, um ihre Bewertungen zu pushen, aber diese App verdient das alles. Ursprünglich hatte ich eine 4 in meinen Englisch-Klausuren und dieses Mal habe ich eine 2 bekommen. Ich wusste erst drei Tage vor der Klausur von dieser App und sie hat mir SEHR geholfen. Bitte vertrau mir wirklich und nutze sie, denn ich bin sicher, dass auch du Fortschritte sehen wirst.
Xander S
iOS-Nutzer
DIE QUIZZE UND KARTEIKARTEN SIND SO NÜTZLICH UND ICH LIEBE Knowunity KI. ES IST AUCH BUCHSTÄBLICH WIE CHATGPT ABER SCHLAUER!! HAT MIR AUCH BEI MEINEN MASCARA-PROBLEMEN GEHOLFEN!! SOWIE BEI MEINEN ECHTEN FÄCHERN! NATÜRLICH 😍😁😲🤑💗✨🎀😮
Elisha
iOS-Nutzer
Diese App ist echt der Hammer. Ich finde Lernen so langweilig, aber diese App macht es so einfach, alles zu organisieren und dann kannst du die kostenlose KI bitten, dich abzufragen, so gut, und du kannst einfach deine eigenen Sachen hochladen. sehr empfehlenswert als jemand, der gerade Probeklausuren schreibt
Paul T
iOS-Nutzer
Lernzettel4you
@janina_wgik
Aminosäuren sind die Grundbausteine von Proteinen und damit essentiell für zahlreiche lebenswichtige Funktionen in unserem Körper. Diese Verbindungen bestehen aus einer Amino- und einer Carboxygruppe sowie einer variablen Seitenkette, die ihre spezifischen Eigenschaften bestimmt.

Zugriff auf alle Dokumente
Verbessere deine Noten
Schließ dich Millionen Schülern an
Aminosäuren sind die fundamentalen Bausteine, aus denen Proteine aufgebaut werden. Sie spielen eine entscheidende Rolle in deinem Körper - von der Muskulatur, die du im Sportunterricht nutzt, bis hin zu den Enzymen, die deine Verdauung ermöglichen.
Als Aminocarbonsäuren besitzen sie mindestens eine Aminogruppe und eine Carboxylgruppe. Du kannst dir diese Struktur wie ein Puzzle vorstellen, bei dem verschiedene Seitenketten an ein gemeinsames Grundgerüst angehängt werden.
💡 Wusstest du? Die einfachste Aminosäure ist Glycin, die aufgrund ihrer kleinen Seitenkette (nur ein Wasserstoffatom) besonders flexibel ist.

Zugriff auf alle Dokumente
Verbessere deine Noten
Schließ dich Millionen Schülern an
Dieses Kapitel über Aminosäuren umfasst alle wichtigen Grundlagen, die du für dein Verständnis der Biochemie brauchst. Wir werden uns mit der Struktur, den verschiedenen Arten und ihren chemischen Eigenschaften befassen.
Die Themen reichen von allgemeinen Informationen über die grundlegende Struktur bis hin zu komplexeren Konzepten wie dem isoelektrischen Punkt. Das klingt vielleicht kompliziert, aber keine Sorge - wir gehen Schritt für Schritt vor.
Du wirst überrascht sein, wie viel du über diese lebenswichtigen Moleküle lernen wirst!

Zugriff auf alle Dokumente
Verbessere deine Noten
Schließ dich Millionen Schülern an
Aminosäuren sind Aminocarbonsäuren, manchmal auch als Amidosäuren bezeichnet. Sie bilden die grundlegenden Bausteine, aus denen alle Proteine in deinem Körper aufgebaut sind.
Chemisch betrachtet handelt es sich um Carbonsäuren, die mindestens eine Aminogruppe enthalten. Die einfachste Aminosäure ist Glycin, aber es gibt verschiedene Typen, die sich in ihrer Struktur unterscheiden.
Je nach Position der Aminogruppe unterscheidet man zwischen α-Aminosäuren (Aminogruppe am ersten Kohlenstoffatom nach der Carboxylgruppe), β-Aminosäuren (am zweiten) und γ-Aminosäuren (am dritten). In der Natur sind α-Aminosäuren am häufigsten.
💡 Merke: Für den Aufbau von Proteinen verwendet dein Körper hauptsächlich α-Aminosäuren!

Zugriff auf alle Dokumente
Verbessere deine Noten
Schließ dich Millionen Schülern an
Die α-Aminosäuren sind besonders wichtig, da sie als proteinogene Aminosäuren bezeichnet werden. Dies bedeutet, dass sie die Grundbausteine für Proteine in deinem Körper bilden.
Von den vielen existierenden α-Aminosäuren kommen etwa 20 regelmäßig in Proteinen vor. Du kannst dir diese wie die Buchstaben eines speziellen Alphabets vorstellen, aus dem der genetische Code alle Proteine "buchstabiert".
Ein besonderes Merkmal der meisten α-Aminosäuren ist ihr Chiralitätszentrum - ein Kohlenstoffatom mit vier verschiedenen Bindungspartnern. Dies führt zu räumlich unterschiedlichen Formen (wie deine linke und rechte Hand). Die einzige Ausnahme bildet Glycin, das statt einer komplexen Seitenkette nur ein Wasserstoffatom besitzt.
💡 Spannend: Die Chiralität von Aminosäuren ist entscheidend für ihre biologische Funktion - in der Natur kommen fast ausschließlich L-Aminosäuren vor!

Zugriff auf alle Dokumente
Verbessere deine Noten
Schließ dich Millionen Schülern an
Proteine sind für deinen Körper unverzichtbar und erfüllen zahlreiche lebenswichtige Funktionen. Sie tragen zum Muskelaufbau bei, was besonders für Sportbegeisterte interessant ist.
Als Antikörper spielen Proteine eine zentrale Rolle in deinem Immunsystem und schützen dich vor Krankheitserregern. Andere Proteine fungieren als Transportproteine, die lebenswichtige Stoffe wie Sauerstoff durch deinen Körper befördern.
Enzyme sind spezielle Proteine, die biochemische Reaktionen beschleunigen und steuern. Ohne sie würde dein Stoffwechsel praktisch zum Erliegen kommen. Zudem sind Proteine wesentliche Bestandteile beim Aufbau von Organen, Haut, Knochen, Haaren und Nägeln sowie für die Erhaltung und den Aufbau von Sehnen.
💡 Ein faszinierender Fakt: Jedes Protein in deinem Körper ist aus einer Kette von Aminosäuren aufgebaut, deren Reihenfolge durch deine Gene bestimmt wird!

Zugriff auf alle Dokumente
Verbessere deine Noten
Schließ dich Millionen Schülern an
Jede Aminosäure hat eine charakteristische Grundstruktur, die aus drei wesentlichen Komponenten besteht. Du kannst dir diese Struktur wie ein kleines Molekül mit drei "Armen" vorstellen.
Die Amino-Gruppe ist eine der Hauptkomponenten und gibt der Aminosäure ihren Namen. Sie kann Protonen aufnehmen und ist für viele chemische Reaktionen verantwortlich.
Die Carboxy-Gruppe bildet den zweiten wichtigen Bestandteil. Sie verleiht der Aminosäure ihre sauren Eigenschaften und kann Protonen abgeben.
Die Seitenkette (R) macht jede Aminosäure einzigartig. Sie bestimmt die spezifischen Eigenschaften wie Polarität, Ladung und Größe der Aminosäure und damit auch ihre Funktion im Protein.
💡 Tipp für Klausuren: Die Grundstruktur "H₂N-CH(R)-COOH" solltest du auswendig kennen - sie ist der Schlüssel zum Verständnis der Aminosäure-Chemie!

Zugriff auf alle Dokumente
Verbessere deine Noten
Schließ dich Millionen Schülern an
Die Seitenketten (R) der Aminosäuren bestimmen ihre chemischen Eigenschaften und damit ihr Verhalten in Proteinen. Sie lassen sich in vier Hauptgruppen einteilen.
Unpolare/hydrophobe Aminosäuren wie Alanin, Valin und Leucin meiden Wasser und befinden sich häufig im Inneren von Proteinen. Ihre Seitenketten bestehen hauptsächlich aus Kohlenwasserstoffketten oder -ringen.
Polare/neutrale Aminosäuren wie Serin, Threonin und Tyrosin enthalten funktionelle Gruppen (z.B. Hydroxylgruppen), die mit Wasser wechselwirken können. Sie befinden sich oft an der Oberfläche von Proteinen.
Basische Aminosäuren wie Lysin und Arginin tragen bei physiologischem pH-Wert positive Ladungen und spielen eine wichtige Rolle bei der Wechselwirkung mit negativ geladenen Molekülen wie DNA.
Saure Aminosäuren wie Glutaminsäure und Asparaginsäure tragen negative Ladungen und sind wichtig für Ionenbindungen innerhalb von Proteinen.
💡 Vergleich: Stell dir ein Protein wie ein gefaltetes T-Shirt vor - die hydrophoben Aminosäuren bilden die innere Schicht, während die polaren und geladenen an der Außenseite mit Wasser interagieren.

Zugriff auf alle Dokumente
Verbessere deine Noten
Schließ dich Millionen Schülern an
Polare Aminosäuren sind wie kleine Magnete, die mit Wasser interagieren können. Sie befinden sich oft an der Oberfläche von Proteinen, wo sie mit der wässrigen Umgebung in Kontakt kommen.
Tyrosin, Glycin, Serin und Threonin gehören zu dieser Gruppe. Sie enthalten funktionelle Gruppen wie Hydroxylgruppen , die Wasserstoffbrücken mit Wassermolekülen bilden können. Cystein mit seiner Sulfhydrylgruppe kann zudem wichtige Disulfidbrücken formen, die Proteine stabilisieren.
Glutamin und Asparagin sind ebenfalls polar und besitzen Amidgruppen in ihren Seitenketten. Diese Aminosäuren spielen eine wichtige Rolle bei der Faltung von Proteinen und deren Wechselwirkung mit anderen Molekülen.
💡 Praxistipp: Wenn du verstehen willst, warum sich Proteine so falten, wie sie es tun, achte auf die Verteilung polarer und unpolarer Aminosäuren - sie ist der Schlüssel zur dreidimensionalen Struktur!

Zugriff auf alle Dokumente
Verbessere deine Noten
Schließ dich Millionen Schülern an
Unpolare Aminosäuren sind die "wasserscheuen" Bausteine der Proteine. Ihre Seitenketten bestehen hauptsächlich aus Kohlenwasserstoffketten oder -ringen ohne polare Gruppen.
Alanin, Valin, Leucin und Isoleucin haben aliphatische (kettenförmige) Seitenketten und unterscheiden sich nur in der Anzahl und Anordnung ihrer Kohlenstoffatome. Diese Aminosäuren verleihen Proteinen Stabilität und bilden oft das hydrophobe Innere.
Phenylalanin und Tryptophan enthalten aromatische Ringsysteme, die ihnen besondere Eigenschaften verleihen. Sie können zum Beispiel an der Bindung von Arzneistoffen beteiligt sein. Prolin ist einzigartig, da seine Seitenkette einen Ring mit der Aminogruppe bildet, was die Proteinstruktur stark beeinflusst.
💡 Interessanter Fakt: In Membranproteinen sind hydrophobe Aminosäuren nach außen gerichtet, um mit den Fettsäuren der Zellmembran zu interagieren - genau umgekehrt wie bei wasserlöslichen Proteinen!

Zugriff auf alle Dokumente
Verbessere deine Noten
Schließ dich Millionen Schülern an
Basische Aminosäuren sind wie kleine positive Ladungsträger in Proteinen. Sie enthalten Stickstoffatome in ihren Seitenketten, die Protonen aus der Umgebung aufnehmen können.
Lysin besitzt eine zusätzliche Aminogruppe am Ende seiner Seitenkette, die bei physiologischem pH-Wert protoniert ist und damit positiv geladen. Diese positive Ladung ist wichtig für die Wechselwirkung mit negativ geladenen Molekülen wie DNA.
Arginin enthält eine Guanidingruppe, die ebenfalls positiv geladen ist und besonders stark basisch wirkt. Histidin mit seinem Imidazolring ist teilweise protoniert bei physiologischem pH und spielt eine wichtige Rolle in vielen Enzymen, wo es als Protonenüberträger fungiert.
💡 Klausurtipp: Achte auf den Unterschied zwischen basischen Aminosäuren und ihrer protonierten Form! Bei physiologischem pH (≈7,4) liegen Lysin und Arginin fast vollständig protoniert vor, während Histidin teilweise protoniert ist.
Unser KI-Begleiter ist ein speziell für Schüler entwickeltes KI-Tool, das mehr als nur Antworten bietet. Basierend auf Millionen von Knowunity-Inhalten liefert er relevante Informationen, personalisierte Lernpläne, Quizze und Inhalte direkt im Chat und passt sich deinem individuellen Lernweg an.
Du kannst die App im Google Play Store und im Apple App Store herunterladen.
Genau! Genieße kostenlosen Zugang zu Lerninhalten, vernetze dich mit anderen Schülern und hol dir sofortige Hilfe – alles direkt auf deinem Handy.
17
Smart Tools NEU
Verwandle diesen Lernzettel in: ✓ 50+ Übungsfragen ✓ Interaktive Karteikarten ✓ Komplette Probeklausur ✓ Aufsatzgliederungen
Diese Zusammenfassung behandelt die verschiedenen Strukturen von Aminosäuren, einschließlich Primär-, Sekundär-, Tertiär- und Quartärstruktur. Erfahren Sie mehr über Peptidbindungen, die Rolle von organischen Resten und die Klassifizierung von Aminosäuren nach Polarität und pH-Wert. Ideal für Studierende der Biochemie und Molekularbiologie.
Entdecken Sie die 20 proteinogenen Aminosäuren, ihre Struktur, Eigenschaften und die Rolle von Peptidbindungen in der Proteinsynthese. Diese Zusammenfassung bietet einen klaren Überblick über die Klassifizierung von Aminosäuren in sauer, basisch, polar und unpolar sowie deren Verhalten in verschiedenen pH-Milieus. Ideal für Studierende der Biochemie und Molekularbiologie.
Diese Zusammenfassung bietet einen umfassenden Überblick über die wichtigsten Konzepte zu Aminosäuren und Proteinen, einschließlich ihrer Struktur, Eigenschaften, Reaktionen und Nachweisverfahren. Ideal für die Abiturvorbereitung. Themen: Zwitterionen, Peptidbindungen, optische Aktivität, Massenwirkungsgesetz und Titrationskurven.
Entdecken Sie die grundlegenden Eigenschaften von Säuren gemäß der Arrhenius-Definition. Dieser Lernzettel behandelt die Dissoziation in Wasser, pH-Werte, Elektrolyse und wichtige Säuren wie Salzsäure und Schwefelsäure. Ideal für Chemie-Studierende, die sich auf Prüfungen vorbereiten oder ihr Wissen vertiefen möchten.
Entdecken Sie die vielseitigen Anwendungen und Eigenschaften von Sulfaten. Dieser Steckbrief behandelt die Verwendung von Ammoniumsulfat in der Landwirtschaft, Calciumsulfat im Bauwesen, und die Rolle von Bariumsulfat in der Medizin. Erfahren Sie mehr über die Löslichkeit, Gewinnung und die chemischen Reaktionen von Sulfaten. Ideal für Studierende der Chemie und verwandter Fachrichtungen.
Erfahre alles über den pH-Wert, seine Definitionen nach Arrhenius und Brönsted sowie die Bedeutung von pH-Indikatoren. Diese Zusammenfassung behandelt die pH-Skala, Ionenkonzentrationen, die Rolle des pH-Wertes in Gewässern, Böden und im menschlichen Körper. Zudem wird die Neutralisation und die Bildung von Salzen erklärt. Ideal für Chemie-Studierende und zur Vorbereitung auf Prüfungen.
App Store
Google Play
Die App ist sehr einfach zu bedienen und gut gestaltet. Ich habe bisher alles gefunden, wonach ich gesucht habe, und konnte viel aus den Präsentationen lernen! Ich werde die App definitiv für ein Schulprojekt nutzen! Und natürlich hilft sie auch sehr als Inspiration.
Stefan S
iOS-Nutzer
Diese App ist wirklich super. Es gibt so viele Lernzettel und Hilfen [...]. Mein Problemfach ist zum Beispiel Französisch und die App hat so viele Möglichkeiten zur Hilfe. Dank dieser App habe ich mich in Französisch verbessert. Ich würde sie jedem empfehlen.
Samantha Klich
Android-Nutzerin
Wow, ich bin wirklich begeistert. Ich habe die App einfach mal ausprobiert, weil ich sie schon oft beworben gesehen habe und war absolut beeindruckt. Diese App ist DIE HILFE, die man für die Schule braucht und vor allem bietet sie so viele Dinge wie Übungen und Lernzettel, die mir persönlich SEHR geholfen haben.
Anna
iOS-Nutzerin
Beste App der Welt! Keine Worte, weil sie einfach zu gut ist
Thomas R
iOS-Nutzer
Einfach genial. Lässt mich 10x besser lernen, diese App ist eine glatte 10/10. Ich empfehle sie jedem. Ich kann Lernzettel anschauen und suchen. Ich kann sie im Fachordner speichern. Ich kann sie jederzeit wiederholen, wenn ich zurückkomme. Wenn du diese App noch nicht ausprobiert hast, verpasst du wirklich was.
Basil
Android-Nutzer
Diese App hat mich so viel selbstbewusster in meiner Klausurvorbereitung gemacht, nicht nur durch die Stärkung meines Selbstvertrauens durch die Features, die es dir ermöglichen, dich mit anderen zu vernetzen und dich weniger allein zu fühlen, sondern auch durch die Art, wie die App selbst darauf ausgerichtet ist, dass du dich besser fühlst. Sie ist einfach zu bedienen, macht Spaß und hilft jedem, der in irgendeiner Weise Schwierigkeiten hat.
David K
iOS-Nutzer
Die App ist einfach super! Ich muss nur das Thema in die Suche eingeben und bekomme sofort eine Antwort. Ich muss nicht mehr 10 YouTube-Videos schauen, um etwas zu verstehen, und spare dadurch richtig viel Zeit. Sehr empfehlenswert!
Sudenaz Ocak
Android-Nutzerin
In der Schule war ich echt schlecht in Mathe, aber dank der App bin ich jetzt besser geworden. Ich bin so dankbar, dass ihr die App gemacht habt.
Greenlight Bonnie
Android-Nutzerin
sehr zuverlässige App, um deine Ideen in Mathe, Englisch und anderen verwandten Themen zu verbessern. bitte nutze diese App, wenn du in bestimmten Bereichen Schwierigkeiten hast, diese App ist dafür der Schlüssel. wünschte, ich hätte früher eine Bewertung geschrieben. und sie ist auch kostenlos, also mach dir darüber keine Sorgen.
Rohan U
Android-Nutzer
Ich weiß, dass viele Apps gefälschte Accounts nutzen, um ihre Bewertungen zu pushen, aber diese App verdient das alles. Ursprünglich hatte ich eine 4 in meinen Englisch-Klausuren und dieses Mal habe ich eine 2 bekommen. Ich wusste erst drei Tage vor der Klausur von dieser App und sie hat mir SEHR geholfen. Bitte vertrau mir wirklich und nutze sie, denn ich bin sicher, dass auch du Fortschritte sehen wirst.
Xander S
iOS-Nutzer
DIE QUIZZE UND KARTEIKARTEN SIND SO NÜTZLICH UND ICH LIEBE Knowunity KI. ES IST AUCH BUCHSTÄBLICH WIE CHATGPT ABER SCHLAUER!! HAT MIR AUCH BEI MEINEN MASCARA-PROBLEMEN GEHOLFEN!! SOWIE BEI MEINEN ECHTEN FÄCHERN! NATÜRLICH 😍😁😲🤑💗✨🎀😮
Elisha
iOS-Nutzer
Diese App ist echt der Hammer. Ich finde Lernen so langweilig, aber diese App macht es so einfach, alles zu organisieren und dann kannst du die kostenlose KI bitten, dich abzufragen, so gut, und du kannst einfach deine eigenen Sachen hochladen. sehr empfehlenswert als jemand, der gerade Probeklausuren schreibt
Paul T
iOS-Nutzer
Die App ist sehr einfach zu bedienen und gut gestaltet. Ich habe bisher alles gefunden, wonach ich gesucht habe, und konnte viel aus den Präsentationen lernen! Ich werde die App definitiv für ein Schulprojekt nutzen! Und natürlich hilft sie auch sehr als Inspiration.
Stefan S
iOS-Nutzer
Diese App ist wirklich super. Es gibt so viele Lernzettel und Hilfen [...]. Mein Problemfach ist zum Beispiel Französisch und die App hat so viele Möglichkeiten zur Hilfe. Dank dieser App habe ich mich in Französisch verbessert. Ich würde sie jedem empfehlen.
Samantha Klich
Android-Nutzerin
Wow, ich bin wirklich begeistert. Ich habe die App einfach mal ausprobiert, weil ich sie schon oft beworben gesehen habe und war absolut beeindruckt. Diese App ist DIE HILFE, die man für die Schule braucht und vor allem bietet sie so viele Dinge wie Übungen und Lernzettel, die mir persönlich SEHR geholfen haben.
Anna
iOS-Nutzerin
Beste App der Welt! Keine Worte, weil sie einfach zu gut ist
Thomas R
iOS-Nutzer
Einfach genial. Lässt mich 10x besser lernen, diese App ist eine glatte 10/10. Ich empfehle sie jedem. Ich kann Lernzettel anschauen und suchen. Ich kann sie im Fachordner speichern. Ich kann sie jederzeit wiederholen, wenn ich zurückkomme. Wenn du diese App noch nicht ausprobiert hast, verpasst du wirklich was.
Basil
Android-Nutzer
Diese App hat mich so viel selbstbewusster in meiner Klausurvorbereitung gemacht, nicht nur durch die Stärkung meines Selbstvertrauens durch die Features, die es dir ermöglichen, dich mit anderen zu vernetzen und dich weniger allein zu fühlen, sondern auch durch die Art, wie die App selbst darauf ausgerichtet ist, dass du dich besser fühlst. Sie ist einfach zu bedienen, macht Spaß und hilft jedem, der in irgendeiner Weise Schwierigkeiten hat.
David K
iOS-Nutzer
Die App ist einfach super! Ich muss nur das Thema in die Suche eingeben und bekomme sofort eine Antwort. Ich muss nicht mehr 10 YouTube-Videos schauen, um etwas zu verstehen, und spare dadurch richtig viel Zeit. Sehr empfehlenswert!
Sudenaz Ocak
Android-Nutzerin
In der Schule war ich echt schlecht in Mathe, aber dank der App bin ich jetzt besser geworden. Ich bin so dankbar, dass ihr die App gemacht habt.
Greenlight Bonnie
Android-Nutzerin
sehr zuverlässige App, um deine Ideen in Mathe, Englisch und anderen verwandten Themen zu verbessern. bitte nutze diese App, wenn du in bestimmten Bereichen Schwierigkeiten hast, diese App ist dafür der Schlüssel. wünschte, ich hätte früher eine Bewertung geschrieben. und sie ist auch kostenlos, also mach dir darüber keine Sorgen.
Rohan U
Android-Nutzer
Ich weiß, dass viele Apps gefälschte Accounts nutzen, um ihre Bewertungen zu pushen, aber diese App verdient das alles. Ursprünglich hatte ich eine 4 in meinen Englisch-Klausuren und dieses Mal habe ich eine 2 bekommen. Ich wusste erst drei Tage vor der Klausur von dieser App und sie hat mir SEHR geholfen. Bitte vertrau mir wirklich und nutze sie, denn ich bin sicher, dass auch du Fortschritte sehen wirst.
Xander S
iOS-Nutzer
DIE QUIZZE UND KARTEIKARTEN SIND SO NÜTZLICH UND ICH LIEBE Knowunity KI. ES IST AUCH BUCHSTÄBLICH WIE CHATGPT ABER SCHLAUER!! HAT MIR AUCH BEI MEINEN MASCARA-PROBLEMEN GEHOLFEN!! SOWIE BEI MEINEN ECHTEN FÄCHERN! NATÜRLICH 😍😁😲🤑💗✨🎀😮
Elisha
iOS-Nutzer
Diese App ist echt der Hammer. Ich finde Lernen so langweilig, aber diese App macht es so einfach, alles zu organisieren und dann kannst du die kostenlose KI bitten, dich abzufragen, so gut, und du kannst einfach deine eigenen Sachen hochladen. sehr empfehlenswert als jemand, der gerade Probeklausuren schreibt
Paul T
iOS-Nutzer