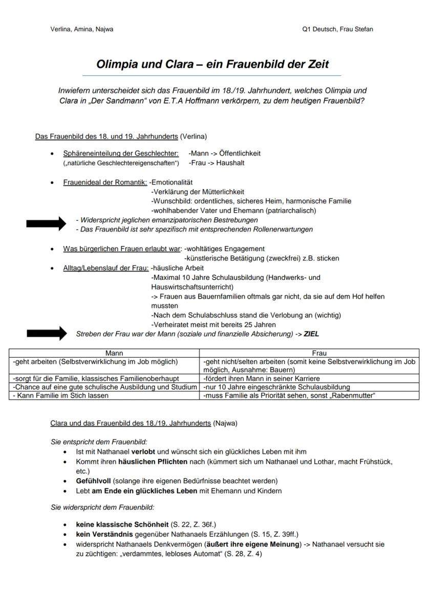
E.T.A. Hoffmanns „Der Sandmann" zeigt dir zwei komplett gegensätzliche Frauentypen:... Mehr anzeigen
Melde dich an, um den Inhalt zu sehenKostenlos!
Zugriff auf alle Dokumente
Verbessere deine Noten
Schließ dich Millionen Schülern an
Knowunity KI
Fächer
Triangle Congruence and Similarity Theorems
Triangle Properties and Classification
Linear Equations and Graphs
Geometric Angle Relationships
Trigonometric Functions and Identities
Equation Solving Techniques
Circle Geometry Fundamentals
Division Operations and Methods
Basic Differentiation Rules
Exponent and Logarithm Properties
Alle Themen anzeigen
Human Organ Systems
Reproductive Cell Cycles
Biological Sciences Subdisciplines
Cellular Energy Metabolism
Autotrophic Energy Processes
Inheritance Patterns and Principles
Biomolecular Structure and Organization
Cell Cycle and Division Mechanics
Cellular Organization and Development
Biological Structural Organization
Alle Themen anzeigen
Chemical Sciences and Applications
Atomic Structure and Composition
Molecular Electron Structure Representation
Atomic Electron Behavior
Matter Properties and Water
Mole Concept and Calculations
Gas Laws and Behavior
Periodic Table Organization
Chemical Thermodynamics Fundamentals
Chemical Bond Types and Properties
Alle Themen anzeigen
European Renaissance and Enlightenment
European Cultural Movements 800-1920
American Revolution Era 1763-1797
American Civil War 1861-1865
Global Imperial Systems
Mongol and Chinese Dynasties
U.S. Presidents and World Leaders
Historical Sources and Documentation
World Wars Era and Impact
World Religious Systems
Alle Themen anzeigen
Classic and Contemporary Novels
Literary Character Analysis
Rhetorical Theory and Practice
Classic Literary Narratives
Reading Analysis and Interpretation
Narrative Structure and Techniques
English Language Components
Influential English-Language Authors
Basic Sentence Structure
Narrative Voice and Perspective
Alle Themen anzeigen
3,750
•
Aktualisiert Apr 15, 2026
•
Amina
@aminarex
E.T.A. Hoffmanns „Der Sandmann" zeigt dir zwei komplett gegensätzliche Frauentypen:... Mehr anzeigen




Clara verkörpert einen Wendepunkt zwischen altem und neuem Frauenbild. Sie denkt rational und logisch – zum Beispiel sucht sie hinter Nathanaels Wahnsinn eine wissenschaftliche Erklärung, statt einfach zu akzeptieren.
Was Clara besonders macht: Sie widerspricht ihrem Verlobten und äußert offen ihre Meinung. Das war für Frauen ihrer Zeit ziemlich mutig! Ihr Name bedeutet übrigens „die Helle" oder „die Klare" – perfekt für eine Figur, die für Aufklärung und Vernunft steht.
Clara entspricht dem traditionellen Frauenbild, bricht aber gleichzeitig damit. Sie zeigt Interesse an wissenschaftlichen Themen und lässt sich nicht einfach den Mund verbieten.
Merke dir: Clara ist ein Hybrid zwischen dem alten und dem modernen Frauenbild – sie respektiert Traditionen, denkt aber selbstständig.

Olimpia ist ein Automat – und genau das macht Hoffmanns Kritik so scharf. Sie spiegelt das romantische Frauenideal perfekt wider: schön, stumm und ohne eigene Meinung.
Nathanael findet sie „herrlich" und „himmlisch", weil sie niemals seine Gedichte kritisiert. Sie hört nur zu und nickt – mehr wird von ihr nicht erwartet. Olimpia bewegt sich nicht selbstständig und bleibt immer an derselben Stelle sitzen.
Der Clou: Als Automat hat sie keinen Charakter und dient nur als Objekt männlicher Blicke. Hoffmann zeigt damit, dass das damalige Frauenideal so unrealistisch war, dass nur eine Maschine es erfüllen konnte.
Die scheiternde Beziehung zwischen Nathanael und Olimpia funktioniert als Weckruf: Echte Liebe braucht zwei denkende Menschen, nicht einen Mann und sein perfektes Objekt.
Wichtig: Olimpia ist Hoffmanns Metapher dafür, wie absurd und unmenschlich das Frauenideal seiner Zeit war.

Nathanael verkörpert den typischen Romantiker mit Studium und Selbstverwirklichungschancen – Privilegien, die Frauen verwehrt blieben. Seine Position als Mann ermöglicht ihm Bildung und Karriere.
Das heutige Frauenbild unterscheidet sich drastisch vom 18./19. Jahrhundert. Frauen können Berufe wählen, sind finanziell unabhängiger und müssen nicht mehr nur „perfekte Ehefrauen" sein. Seit den 1960er Jahren hat sich viel verändert.
Trotzdem existieren noch Probleme: ungleiche Bezahlung, schwerere Aufstiegschancen und Sexualisierung. In manchen Ländern mit starkem religiösem Einfluss ähnelt das Frauenbild noch immer dem von Olimpias Zeit.
Clara bleibt aktuell – sie zeigt, wie eine moderne Frau sein kann: meinungsstark, rational, aber trotzdem liebevoll. Hoffmanns Kritik war seiner Zeit weit voraus!
Fazit: Hoffmann nutzte Olimpia als Warnung vor einem unmenschlichen Frauenideal und machte Clara zum Vorbild für Emanzipation.
Unser KI-Begleiter ist ein speziell für Schüler entwickeltes KI-Tool, das mehr als nur Antworten bietet. Basierend auf Millionen von Knowunity-Inhalten liefert er relevante Informationen, personalisierte Lernpläne, Quizze und Inhalte direkt im Chat und passt sich deinem individuellen Lernweg an.
Du kannst die App im Google Play Store und im Apple App Store herunterladen.
Genau! Genieße kostenlosen Zugang zu Lerninhalten, vernetze dich mit anderen Schülern und hol dir sofortige Hilfe – alles direkt auf deinem Handy.
App Store
Google Play
Die App ist sehr einfach zu bedienen und gut gestaltet. Ich habe bisher alles gefunden, wonach ich gesucht habe, und konnte viel aus den Präsentationen lernen! Ich werde die App definitiv für ein Schulprojekt nutzen! Und natürlich hilft sie auch sehr als Inspiration.
Stefan S
iOS-Nutzer
Diese App ist wirklich super. Es gibt so viele Lernzettel und Hilfen [...]. Mein Problemfach ist zum Beispiel Französisch und die App hat so viele Möglichkeiten zur Hilfe. Dank dieser App habe ich mich in Französisch verbessert. Ich würde sie jedem empfehlen.
Samantha Klich
Android-Nutzerin
Wow, ich bin wirklich begeistert. Ich habe die App einfach mal ausprobiert, weil ich sie schon oft beworben gesehen habe und war absolut beeindruckt. Diese App ist DIE HILFE, die man für die Schule braucht und vor allem bietet sie so viele Dinge wie Übungen und Lernzettel, die mir persönlich SEHR geholfen haben.
Anna
iOS-Nutzerin
Beste App der Welt! Keine Worte, weil sie einfach zu gut ist
Thomas R
iOS-Nutzer
Einfach genial. Lässt mich 10x besser lernen, diese App ist eine glatte 10/10. Ich empfehle sie jedem. Ich kann Lernzettel anschauen und suchen. Ich kann sie im Fachordner speichern. Ich kann sie jederzeit wiederholen, wenn ich zurückkomme. Wenn du diese App noch nicht ausprobiert hast, verpasst du wirklich was.
Basil
Android-Nutzer
Diese App hat mich so viel selbstbewusster in meiner Klausurvorbereitung gemacht, nicht nur durch die Stärkung meines Selbstvertrauens durch die Features, die es dir ermöglichen, dich mit anderen zu vernetzen und dich weniger allein zu fühlen, sondern auch durch die Art, wie die App selbst darauf ausgerichtet ist, dass du dich besser fühlst. Sie ist einfach zu bedienen, macht Spaß und hilft jedem, der in irgendeiner Weise Schwierigkeiten hat.
David K
iOS-Nutzer
Die App ist einfach super! Ich muss nur das Thema in die Suche eingeben und bekomme sofort eine Antwort. Ich muss nicht mehr 10 YouTube-Videos schauen, um etwas zu verstehen, und spare dadurch richtig viel Zeit. Sehr empfehlenswert!
Sudenaz Ocak
Android-Nutzerin
In der Schule war ich echt schlecht in Mathe, aber dank der App bin ich jetzt besser geworden. Ich bin so dankbar, dass ihr die App gemacht habt.
Greenlight Bonnie
Android-Nutzerin
sehr zuverlässige App, um deine Ideen in Mathe, Englisch und anderen verwandten Themen zu verbessern. bitte nutze diese App, wenn du in bestimmten Bereichen Schwierigkeiten hast, diese App ist dafür der Schlüssel. wünschte, ich hätte früher eine Bewertung geschrieben. und sie ist auch kostenlos, also mach dir darüber keine Sorgen.
Rohan U
Android-Nutzer
Ich weiß, dass viele Apps gefälschte Accounts nutzen, um ihre Bewertungen zu pushen, aber diese App verdient das alles. Ursprünglich hatte ich eine 4 in meinen Englisch-Klausuren und dieses Mal habe ich eine 2 bekommen. Ich wusste erst drei Tage vor der Klausur von dieser App und sie hat mir SEHR geholfen. Bitte vertrau mir wirklich und nutze sie, denn ich bin sicher, dass auch du Fortschritte sehen wirst.
Xander S
iOS-Nutzer
DIE QUIZZE UND KARTEIKARTEN SIND SO NÜTZLICH UND ICH LIEBE Knowunity KI. ES IST AUCH BUCHSTÄBLICH WIE CHATGPT ABER SCHLAUER!! HAT MIR AUCH BEI MEINEN MASCARA-PROBLEMEN GEHOLFEN!! SOWIE BEI MEINEN ECHTEN FÄCHERN! NATÜRLICH 😍😁😲🤑💗✨🎀😮
Elisha
iOS-Nutzer
Diese App ist echt der Hammer. Ich finde Lernen so langweilig, aber diese App macht es so einfach, alles zu organisieren und dann kannst du die kostenlose KI bitten, dich abzufragen, so gut, und du kannst einfach deine eigenen Sachen hochladen. sehr empfehlenswert als jemand, der gerade Probeklausuren schreibt
Paul T
iOS-Nutzer
Die App ist sehr einfach zu bedienen und gut gestaltet. Ich habe bisher alles gefunden, wonach ich gesucht habe, und konnte viel aus den Präsentationen lernen! Ich werde die App definitiv für ein Schulprojekt nutzen! Und natürlich hilft sie auch sehr als Inspiration.
Stefan S
iOS-Nutzer
Diese App ist wirklich super. Es gibt so viele Lernzettel und Hilfen [...]. Mein Problemfach ist zum Beispiel Französisch und die App hat so viele Möglichkeiten zur Hilfe. Dank dieser App habe ich mich in Französisch verbessert. Ich würde sie jedem empfehlen.
Samantha Klich
Android-Nutzerin
Wow, ich bin wirklich begeistert. Ich habe die App einfach mal ausprobiert, weil ich sie schon oft beworben gesehen habe und war absolut beeindruckt. Diese App ist DIE HILFE, die man für die Schule braucht und vor allem bietet sie so viele Dinge wie Übungen und Lernzettel, die mir persönlich SEHR geholfen haben.
Anna
iOS-Nutzerin
Beste App der Welt! Keine Worte, weil sie einfach zu gut ist
Thomas R
iOS-Nutzer
Einfach genial. Lässt mich 10x besser lernen, diese App ist eine glatte 10/10. Ich empfehle sie jedem. Ich kann Lernzettel anschauen und suchen. Ich kann sie im Fachordner speichern. Ich kann sie jederzeit wiederholen, wenn ich zurückkomme. Wenn du diese App noch nicht ausprobiert hast, verpasst du wirklich was.
Basil
Android-Nutzer
Diese App hat mich so viel selbstbewusster in meiner Klausurvorbereitung gemacht, nicht nur durch die Stärkung meines Selbstvertrauens durch die Features, die es dir ermöglichen, dich mit anderen zu vernetzen und dich weniger allein zu fühlen, sondern auch durch die Art, wie die App selbst darauf ausgerichtet ist, dass du dich besser fühlst. Sie ist einfach zu bedienen, macht Spaß und hilft jedem, der in irgendeiner Weise Schwierigkeiten hat.
David K
iOS-Nutzer
Die App ist einfach super! Ich muss nur das Thema in die Suche eingeben und bekomme sofort eine Antwort. Ich muss nicht mehr 10 YouTube-Videos schauen, um etwas zu verstehen, und spare dadurch richtig viel Zeit. Sehr empfehlenswert!
Sudenaz Ocak
Android-Nutzerin
In der Schule war ich echt schlecht in Mathe, aber dank der App bin ich jetzt besser geworden. Ich bin so dankbar, dass ihr die App gemacht habt.
Greenlight Bonnie
Android-Nutzerin
sehr zuverlässige App, um deine Ideen in Mathe, Englisch und anderen verwandten Themen zu verbessern. bitte nutze diese App, wenn du in bestimmten Bereichen Schwierigkeiten hast, diese App ist dafür der Schlüssel. wünschte, ich hätte früher eine Bewertung geschrieben. und sie ist auch kostenlos, also mach dir darüber keine Sorgen.
Rohan U
Android-Nutzer
Ich weiß, dass viele Apps gefälschte Accounts nutzen, um ihre Bewertungen zu pushen, aber diese App verdient das alles. Ursprünglich hatte ich eine 4 in meinen Englisch-Klausuren und dieses Mal habe ich eine 2 bekommen. Ich wusste erst drei Tage vor der Klausur von dieser App und sie hat mir SEHR geholfen. Bitte vertrau mir wirklich und nutze sie, denn ich bin sicher, dass auch du Fortschritte sehen wirst.
Xander S
iOS-Nutzer
DIE QUIZZE UND KARTEIKARTEN SIND SO NÜTZLICH UND ICH LIEBE Knowunity KI. ES IST AUCH BUCHSTÄBLICH WIE CHATGPT ABER SCHLAUER!! HAT MIR AUCH BEI MEINEN MASCARA-PROBLEMEN GEHOLFEN!! SOWIE BEI MEINEN ECHTEN FÄCHERN! NATÜRLICH 😍😁😲🤑💗✨🎀😮
Elisha
iOS-Nutzer
Diese App ist echt der Hammer. Ich finde Lernen so langweilig, aber diese App macht es so einfach, alles zu organisieren und dann kannst du die kostenlose KI bitten, dich abzufragen, so gut, und du kannst einfach deine eigenen Sachen hochladen. sehr empfehlenswert als jemand, der gerade Probeklausuren schreibt
Paul T
iOS-Nutzer
Amina
@aminarex
E.T.A. Hoffmanns „Der Sandmann" zeigt dir zwei komplett gegensätzliche Frauentypen: die perfekte, aber leblose Olimpia und die selbstbewusste Clara. Diese Figuren spiegeln das Frauenbild des 18./19. Jahrhunderts wider und zeigen, wie kritisch Hoffmann gesellschaftliche Normen seiner Zeit betrachtete.

Zugriff auf alle Dokumente
Verbessere deine Noten
Schließ dich Millionen Schülern an
Clara verkörpert einen Wendepunkt zwischen altem und neuem Frauenbild. Sie denkt rational und logisch – zum Beispiel sucht sie hinter Nathanaels Wahnsinn eine wissenschaftliche Erklärung, statt einfach zu akzeptieren.
Was Clara besonders macht: Sie widerspricht ihrem Verlobten und äußert offen ihre Meinung. Das war für Frauen ihrer Zeit ziemlich mutig! Ihr Name bedeutet übrigens „die Helle" oder „die Klare" – perfekt für eine Figur, die für Aufklärung und Vernunft steht.
Clara entspricht dem traditionellen Frauenbild, bricht aber gleichzeitig damit. Sie zeigt Interesse an wissenschaftlichen Themen und lässt sich nicht einfach den Mund verbieten.
Merke dir: Clara ist ein Hybrid zwischen dem alten und dem modernen Frauenbild – sie respektiert Traditionen, denkt aber selbstständig.

Zugriff auf alle Dokumente
Verbessere deine Noten
Schließ dich Millionen Schülern an
Olimpia ist ein Automat – und genau das macht Hoffmanns Kritik so scharf. Sie spiegelt das romantische Frauenideal perfekt wider: schön, stumm und ohne eigene Meinung.
Nathanael findet sie „herrlich" und „himmlisch", weil sie niemals seine Gedichte kritisiert. Sie hört nur zu und nickt – mehr wird von ihr nicht erwartet. Olimpia bewegt sich nicht selbstständig und bleibt immer an derselben Stelle sitzen.
Der Clou: Als Automat hat sie keinen Charakter und dient nur als Objekt männlicher Blicke. Hoffmann zeigt damit, dass das damalige Frauenideal so unrealistisch war, dass nur eine Maschine es erfüllen konnte.
Die scheiternde Beziehung zwischen Nathanael und Olimpia funktioniert als Weckruf: Echte Liebe braucht zwei denkende Menschen, nicht einen Mann und sein perfektes Objekt.
Wichtig: Olimpia ist Hoffmanns Metapher dafür, wie absurd und unmenschlich das Frauenideal seiner Zeit war.

Zugriff auf alle Dokumente
Verbessere deine Noten
Schließ dich Millionen Schülern an
Nathanael verkörpert den typischen Romantiker mit Studium und Selbstverwirklichungschancen – Privilegien, die Frauen verwehrt blieben. Seine Position als Mann ermöglicht ihm Bildung und Karriere.
Das heutige Frauenbild unterscheidet sich drastisch vom 18./19. Jahrhundert. Frauen können Berufe wählen, sind finanziell unabhängiger und müssen nicht mehr nur „perfekte Ehefrauen" sein. Seit den 1960er Jahren hat sich viel verändert.
Trotzdem existieren noch Probleme: ungleiche Bezahlung, schwerere Aufstiegschancen und Sexualisierung. In manchen Ländern mit starkem religiösem Einfluss ähnelt das Frauenbild noch immer dem von Olimpias Zeit.
Clara bleibt aktuell – sie zeigt, wie eine moderne Frau sein kann: meinungsstark, rational, aber trotzdem liebevoll. Hoffmanns Kritik war seiner Zeit weit voraus!
Fazit: Hoffmann nutzte Olimpia als Warnung vor einem unmenschlichen Frauenideal und machte Clara zum Vorbild für Emanzipation.
Unser KI-Begleiter ist ein speziell für Schüler entwickeltes KI-Tool, das mehr als nur Antworten bietet. Basierend auf Millionen von Knowunity-Inhalten liefert er relevante Informationen, personalisierte Lernpläne, Quizze und Inhalte direkt im Chat und passt sich deinem individuellen Lernweg an.
Du kannst die App im Google Play Store und im Apple App Store herunterladen.
Genau! Genieße kostenlosen Zugang zu Lerninhalten, vernetze dich mit anderen Schülern und hol dir sofortige Hilfe – alles direkt auf deinem Handy.
125
Smart Tools NEU
Verwandle diesen Lernzettel in: ✓ 50+ Übungsfragen ✓ Interaktive Karteikarten ✓ Komplette Probeklausur ✓ Aufsatzgliederungen
Dieser Lernzettel bietet eine umfassende Anleitung zur Dramenanalyse von Lessings 'Emilia Galotti'. Er umfasst die Struktur einer Analyse, zentrale Konflikte, Charakteranalysen und sprachliche Strategien. Ideal für Studierende, die sich auf Prüfungen vorbereiten oder ihre Analysefähigkeiten verbessern möchten.
Diese detaillierte Analyse des Dialogs aus Aufzug I, Auftritt 6 des Dramas 'Emilia Galotti' von Gotthold Ephraim Lessing beleuchtet die komplexen Themen von Macht, Liebe und Loyalität zwischen dem Prinzen Hettore Gonzaga und seinem Kammerherrn Marinelli. Erfahren Sie, wie die unterschiedlichen Ansichten über Liebe und Politik die Beziehung der Charaktere prägen und welche emotionalen Konflikte im Zentrum der Handlung stehen. Ideal für Studierende der Literaturwissenschaft und Theateranalyse.
Diese Analyse beleuchtet die komplexe Beziehung zwischen Emilia und Philipp in 'Tauben im Gras'. Es werden zentrale Themen wie Selbstzweifel, materielle Verluste und psychische Konflikte behandelt. Die Charakterstudie zeigt Emilias innere Zerrissenheit und Philips ambivalente Haltung. Ideal für Studierende der Literaturwissenschaft, die sich mit nachkriegsdeutscher Literatur und Charakteranalysen beschäftigen.
Diese detaillierte Analyse der dramatischen Szene aus 'Emilia Galotti' von G.E. Lessing bietet einen Überblick über zentrale Begriffe der Dramengattung, den Aufbau des Dramas und die Hauptfiguren. Erfahren Sie mehr über die Konflikte zwischen Adel und Bürgertum sowie die Charakterentwicklung im Kontext der Aufklärung. Ideal für die Vorbereitung auf Prüfungen und das Verständnis der dramatischen Struktur.
Diese Analyse vergleicht die Charaktere Prinz und Odoardo aus 'Emilia Galotti'. Sie beleuchtet ihre unterschiedlichen Lebensbereiche, Konflikte und Beziehungen, insbesondere zu Emilia. Ideal für Studierende, die die Dynamik zwischen den Figuren und deren gesellschaftliche Rollen verstehen möchten.
Analysiere den 8. Auftritt im 3. Aufzug von Lessings 'Emilia Galotti', in dem Claudia Galotti Marinelli als Mörder entlarvt. Diese Szene verdeutlicht die Themen der Aufklärung, den Konflikt zwischen Adel und Bürgertum sowie Claudias Entwicklung von einer unterwürfigen Frau zu einer starken, beschützenden Mutter. Die Analyse umfasst sprachliche Mittel, dramatische Strukturen und die gesellschaftlichen Implikationen der Handlung.
App Store
Google Play
Die App ist sehr einfach zu bedienen und gut gestaltet. Ich habe bisher alles gefunden, wonach ich gesucht habe, und konnte viel aus den Präsentationen lernen! Ich werde die App definitiv für ein Schulprojekt nutzen! Und natürlich hilft sie auch sehr als Inspiration.
Stefan S
iOS-Nutzer
Diese App ist wirklich super. Es gibt so viele Lernzettel und Hilfen [...]. Mein Problemfach ist zum Beispiel Französisch und die App hat so viele Möglichkeiten zur Hilfe. Dank dieser App habe ich mich in Französisch verbessert. Ich würde sie jedem empfehlen.
Samantha Klich
Android-Nutzerin
Wow, ich bin wirklich begeistert. Ich habe die App einfach mal ausprobiert, weil ich sie schon oft beworben gesehen habe und war absolut beeindruckt. Diese App ist DIE HILFE, die man für die Schule braucht und vor allem bietet sie so viele Dinge wie Übungen und Lernzettel, die mir persönlich SEHR geholfen haben.
Anna
iOS-Nutzerin
Beste App der Welt! Keine Worte, weil sie einfach zu gut ist
Thomas R
iOS-Nutzer
Einfach genial. Lässt mich 10x besser lernen, diese App ist eine glatte 10/10. Ich empfehle sie jedem. Ich kann Lernzettel anschauen und suchen. Ich kann sie im Fachordner speichern. Ich kann sie jederzeit wiederholen, wenn ich zurückkomme. Wenn du diese App noch nicht ausprobiert hast, verpasst du wirklich was.
Basil
Android-Nutzer
Diese App hat mich so viel selbstbewusster in meiner Klausurvorbereitung gemacht, nicht nur durch die Stärkung meines Selbstvertrauens durch die Features, die es dir ermöglichen, dich mit anderen zu vernetzen und dich weniger allein zu fühlen, sondern auch durch die Art, wie die App selbst darauf ausgerichtet ist, dass du dich besser fühlst. Sie ist einfach zu bedienen, macht Spaß und hilft jedem, der in irgendeiner Weise Schwierigkeiten hat.
David K
iOS-Nutzer
Die App ist einfach super! Ich muss nur das Thema in die Suche eingeben und bekomme sofort eine Antwort. Ich muss nicht mehr 10 YouTube-Videos schauen, um etwas zu verstehen, und spare dadurch richtig viel Zeit. Sehr empfehlenswert!
Sudenaz Ocak
Android-Nutzerin
In der Schule war ich echt schlecht in Mathe, aber dank der App bin ich jetzt besser geworden. Ich bin so dankbar, dass ihr die App gemacht habt.
Greenlight Bonnie
Android-Nutzerin
sehr zuverlässige App, um deine Ideen in Mathe, Englisch und anderen verwandten Themen zu verbessern. bitte nutze diese App, wenn du in bestimmten Bereichen Schwierigkeiten hast, diese App ist dafür der Schlüssel. wünschte, ich hätte früher eine Bewertung geschrieben. und sie ist auch kostenlos, also mach dir darüber keine Sorgen.
Rohan U
Android-Nutzer
Ich weiß, dass viele Apps gefälschte Accounts nutzen, um ihre Bewertungen zu pushen, aber diese App verdient das alles. Ursprünglich hatte ich eine 4 in meinen Englisch-Klausuren und dieses Mal habe ich eine 2 bekommen. Ich wusste erst drei Tage vor der Klausur von dieser App und sie hat mir SEHR geholfen. Bitte vertrau mir wirklich und nutze sie, denn ich bin sicher, dass auch du Fortschritte sehen wirst.
Xander S
iOS-Nutzer
DIE QUIZZE UND KARTEIKARTEN SIND SO NÜTZLICH UND ICH LIEBE Knowunity KI. ES IST AUCH BUCHSTÄBLICH WIE CHATGPT ABER SCHLAUER!! HAT MIR AUCH BEI MEINEN MASCARA-PROBLEMEN GEHOLFEN!! SOWIE BEI MEINEN ECHTEN FÄCHERN! NATÜRLICH 😍😁😲🤑💗✨🎀😮
Elisha
iOS-Nutzer
Diese App ist echt der Hammer. Ich finde Lernen so langweilig, aber diese App macht es so einfach, alles zu organisieren und dann kannst du die kostenlose KI bitten, dich abzufragen, so gut, und du kannst einfach deine eigenen Sachen hochladen. sehr empfehlenswert als jemand, der gerade Probeklausuren schreibt
Paul T
iOS-Nutzer
Die App ist sehr einfach zu bedienen und gut gestaltet. Ich habe bisher alles gefunden, wonach ich gesucht habe, und konnte viel aus den Präsentationen lernen! Ich werde die App definitiv für ein Schulprojekt nutzen! Und natürlich hilft sie auch sehr als Inspiration.
Stefan S
iOS-Nutzer
Diese App ist wirklich super. Es gibt so viele Lernzettel und Hilfen [...]. Mein Problemfach ist zum Beispiel Französisch und die App hat so viele Möglichkeiten zur Hilfe. Dank dieser App habe ich mich in Französisch verbessert. Ich würde sie jedem empfehlen.
Samantha Klich
Android-Nutzerin
Wow, ich bin wirklich begeistert. Ich habe die App einfach mal ausprobiert, weil ich sie schon oft beworben gesehen habe und war absolut beeindruckt. Diese App ist DIE HILFE, die man für die Schule braucht und vor allem bietet sie so viele Dinge wie Übungen und Lernzettel, die mir persönlich SEHR geholfen haben.
Anna
iOS-Nutzerin
Beste App der Welt! Keine Worte, weil sie einfach zu gut ist
Thomas R
iOS-Nutzer
Einfach genial. Lässt mich 10x besser lernen, diese App ist eine glatte 10/10. Ich empfehle sie jedem. Ich kann Lernzettel anschauen und suchen. Ich kann sie im Fachordner speichern. Ich kann sie jederzeit wiederholen, wenn ich zurückkomme. Wenn du diese App noch nicht ausprobiert hast, verpasst du wirklich was.
Basil
Android-Nutzer
Diese App hat mich so viel selbstbewusster in meiner Klausurvorbereitung gemacht, nicht nur durch die Stärkung meines Selbstvertrauens durch die Features, die es dir ermöglichen, dich mit anderen zu vernetzen und dich weniger allein zu fühlen, sondern auch durch die Art, wie die App selbst darauf ausgerichtet ist, dass du dich besser fühlst. Sie ist einfach zu bedienen, macht Spaß und hilft jedem, der in irgendeiner Weise Schwierigkeiten hat.
David K
iOS-Nutzer
Die App ist einfach super! Ich muss nur das Thema in die Suche eingeben und bekomme sofort eine Antwort. Ich muss nicht mehr 10 YouTube-Videos schauen, um etwas zu verstehen, und spare dadurch richtig viel Zeit. Sehr empfehlenswert!
Sudenaz Ocak
Android-Nutzerin
In der Schule war ich echt schlecht in Mathe, aber dank der App bin ich jetzt besser geworden. Ich bin so dankbar, dass ihr die App gemacht habt.
Greenlight Bonnie
Android-Nutzerin
sehr zuverlässige App, um deine Ideen in Mathe, Englisch und anderen verwandten Themen zu verbessern. bitte nutze diese App, wenn du in bestimmten Bereichen Schwierigkeiten hast, diese App ist dafür der Schlüssel. wünschte, ich hätte früher eine Bewertung geschrieben. und sie ist auch kostenlos, also mach dir darüber keine Sorgen.
Rohan U
Android-Nutzer
Ich weiß, dass viele Apps gefälschte Accounts nutzen, um ihre Bewertungen zu pushen, aber diese App verdient das alles. Ursprünglich hatte ich eine 4 in meinen Englisch-Klausuren und dieses Mal habe ich eine 2 bekommen. Ich wusste erst drei Tage vor der Klausur von dieser App und sie hat mir SEHR geholfen. Bitte vertrau mir wirklich und nutze sie, denn ich bin sicher, dass auch du Fortschritte sehen wirst.
Xander S
iOS-Nutzer
DIE QUIZZE UND KARTEIKARTEN SIND SO NÜTZLICH UND ICH LIEBE Knowunity KI. ES IST AUCH BUCHSTÄBLICH WIE CHATGPT ABER SCHLAUER!! HAT MIR AUCH BEI MEINEN MASCARA-PROBLEMEN GEHOLFEN!! SOWIE BEI MEINEN ECHTEN FÄCHERN! NATÜRLICH 😍😁😲🤑💗✨🎀😮
Elisha
iOS-Nutzer
Diese App ist echt der Hammer. Ich finde Lernen so langweilig, aber diese App macht es so einfach, alles zu organisieren und dann kannst du die kostenlose KI bitten, dich abzufragen, so gut, und du kannst einfach deine eigenen Sachen hochladen. sehr empfehlenswert als jemand, der gerade Probeklausuren schreibt
Paul T
iOS-Nutzer