Soziale Ungleichheit begegnet dir jeden Tag - ob in der... Mehr anzeigen
Melde dich an, um den Inhalt zu sehenKostenlos!
Zugriff auf alle Dokumente
Verbessere deine Noten
Schließ dich Millionen Schülern an
Knowunity KI
Fächer
Triangle Congruence and Similarity Theorems
Triangle Properties and Classification
Linear Equations and Graphs
Geometric Angle Relationships
Trigonometric Functions and Identities
Equation Solving Techniques
Circle Geometry Fundamentals
Division Operations and Methods
Basic Differentiation Rules
Exponent and Logarithm Properties
Alle Themen anzeigen
Human Organ Systems
Reproductive Cell Cycles
Biological Sciences Subdisciplines
Cellular Energy Metabolism
Autotrophic Energy Processes
Inheritance Patterns and Principles
Biomolecular Structure and Organization
Cell Cycle and Division Mechanics
Cellular Organization and Development
Biological Structural Organization
Alle Themen anzeigen
Chemical Sciences and Applications
Atomic Structure and Composition
Molecular Electron Structure Representation
Atomic Electron Behavior
Matter Properties and Water
Mole Concept and Calculations
Gas Laws and Behavior
Periodic Table Organization
Chemical Thermodynamics Fundamentals
Chemical Bond Types and Properties
Alle Themen anzeigen
European Renaissance and Enlightenment
European Cultural Movements 800-1920
American Revolution Era 1763-1797
American Civil War 1861-1865
Global Imperial Systems
Mongol and Chinese Dynasties
U.S. Presidents and World Leaders
Historical Sources and Documentation
World Wars Era and Impact
World Religious Systems
Alle Themen anzeigen
Classic and Contemporary Novels
Literary Character Analysis
Rhetorical Theory and Practice
Classic Literary Narratives
Reading Analysis and Interpretation
Narrative Structure and Techniques
English Language Components
Influential English-Language Authors
Basic Sentence Structure
Narrative Voice and Perspective
Alle Themen anzeigen
2,441
•
Aktualisiert Mar 14, 2026
•
Jan
@jan2710
Soziale Ungleichheit begegnet dir jeden Tag - ob in der... Mehr anzeigen








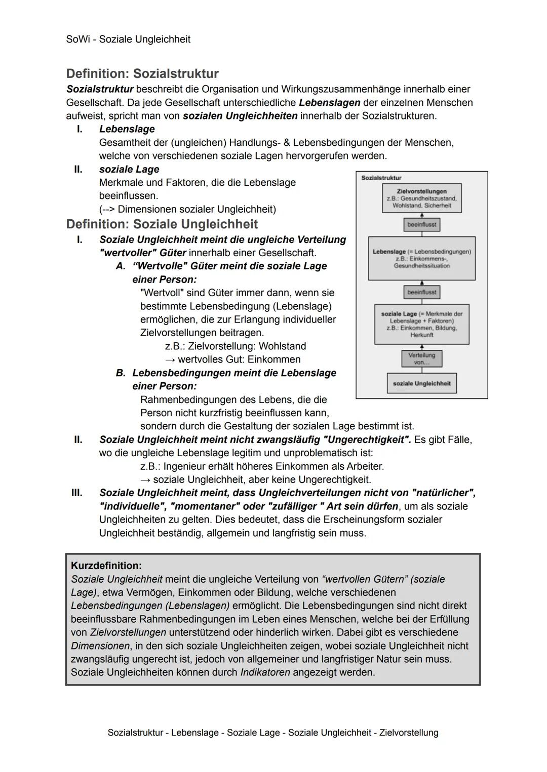
Stell dir vor, du und deine Freunde haben unterschiedlich viel Geld zur Verfügung - das ist soziale Ungleichheit in ihrer einfachsten Form. Sie beschreibt, wie "wertvolle Güter" wie Einkommen, Bildung oder Ansehen ungleich in der Gesellschaft verteilt sind.
Wichtig zu verstehen: Sozialstruktur ist wie das Gerüst einer Gesellschaft, das zeigt, wer welche Position hat. Deine soziale Lage umfasst alle Faktoren, die dein Leben beeinflussen - von deinem Elternhaus bis zu deinen Bildungschancen. Daraus ergibt sich deine Lebenslage - also die konkreten Bedingungen, unter denen du lebst.
Nicht jede Ungleichheit ist automatisch ungerecht. Dass ein Arzt mehr verdient als ein Verkäufer, gilt als legitim. Soziale Ungleichheit wird erst dann problematisch, wenn sie langfristig besteht und Menschen systematisch benachteiligt.
Merke dir: Soziale Ungleichheit muss beständig, allgemein und langfristig sein - nicht nur zufällig oder momentan.

Diese Dimensionen schaffen Hierarchien in unserer Gesellschaft und bestimmen deinen sozialen Status. Materieller Wohlstand ist oft das Erste, woran wir denken - wer hat wie viel Geld? Das Nettoäquivalenzeinkommen und der Gini-Koeffizient helfen dabei, Reichtum und Armut messbar zu machen.
Macht zeigt sich darin, wer wichtige Entscheidungen treffen kann. Denkst du an Politiker, Chefs großer Unternehmen oder andere Eliten. Eng damit verbunden ist Prestige - das Ansehen, das du in der Gesellschaft genießt. Status-Symbole wie teure Autos spielen dabei eine Rolle, werden aber immer unwichtiger.
Bildung ist dein Schlüssel zu vielen Chancen. Sie beeinflusst nicht nur dein Einkommen, sondern auch deine politische Teilhabe. Leider hängt der Bildungserfolg noch immer stark von der sozialen Herkunft ab. Die Erwerbstätigkeit schließlich entscheidet über deine wirtschaftliche Sicherheit - prekäre Arbeitsverhältnisse nehmen zu.
Gut zu wissen: Alle diese Dimensionen beeinflussen sich gegenseitig - mehr Bildung führt oft zu höherem Einkommen und mehr gesellschaftlichem Ansehen.

Während vertikale Ungleichheiten Hierarchien schaffen, zeigen horizontale Ungleichheiten, dass Menschen auf derselben gesellschaftlichen Ebene trotzdem unterschiedliche Lebensbedingungen haben. Diese Unterschiede sind oft weniger offensichtlich, aber genauso wichtig.
Soziale Sicherheit variiert stark - manche haben eine solide Altersvorsorge, andere leben von der Hand in den Mund. Arbeitsbedingungen unterscheiden sich dramatisch: Während einige im klimatisierten Büro arbeiten, sind andere Lärm und Gesundheitsrisiken ausgesetzt. Auch deine Freizeitbedingungen hängen von deinem verfügbaren Einkommen und deiner Arbeitszeit ab.
Wohnbedingungen prägen deinen Alltag erheblich - von der Größe deiner Wohnung bis hin zur Nachbarschaft. Soziale Beziehungen können von Integration bis hin zur Isolation reichen, was deine Lebensqualität stark beeinflusst.
Besonders problematisch ist die Ungleichbehandlung durch Vorurteile und Diskriminierung. Frauen verdienen immer noch weniger als Männer, Menschen mit Migrationshintergrund haben schlechtere Jobchancen.
Realitätscheck: Diese Ungleichheiten findest du überall - von unterschiedlichen Pausenzeiten bis hin zu verschiedenen Wohnvierteln in deiner Stadt.

Indikatoren sind wie Thermometer für gesellschaftliche Probleme - sie machen das Unsichtbare messbar. Ohne sie könntest du nicht beurteilen, ob soziale Ungleichheit zu- oder abnimmt. Sie helfen Politik und Wissenschaft, Probleme zu identifizieren und Lösungen zu entwickeln.
Der Gini-Koeffizient ist dabei besonders wichtig. Er misst, wie ungleich Einkommen oder Vermögen verteilt sind. Der Wert liegt zwischen 0 (perfekte Gleichheit) und 1 (maximale Ungleichheit). Ab 0,4 warnen Experten vor sozialen Spannungen. Die Lorenzkurve zeigt dabei grafisch, wie groß die Ungleichheit wirklich ist.
Quantilsverhältnisse vergleichen die reichsten mit den ärmsten 25% der Bevölkerung. Sie zeigen dir, um welchen Faktor die Wohlhabenden mehr haben. Das ist einfacher zu verstehen als komplexe Berechnungen.
Kritik gibt es trotzdem: Ein Indikator kann niemals die ganze Wahrheit zeigen. Deshalb nutzt man am besten mehrere zusammen, um ein vollständiges Bild zu bekommen.
Praxis-Tipp: Der Gini-Koeffizient ist klausurrelevant - verstehe die Lorenzkurve und du hast einen wichtigen Punkt sicher.

Das Nettoäquivalenzeinkommen klingt kompliziert, ist aber eigentlich logisch. Es zeigt dir, wie viel Geld ein Haushalt wirklich zur Verfügung hat - und berücksichtigt dabei, dass größere Haushalte Kostenvorteile haben. Ein Vierpersonenhaushalt braucht nicht viermal so viel wie eine Einzelperson.
Die Gewichtung ist einfach: Der erste Erwachsene zählt als 1,0. Jede weitere Person über 14 Jahre als 0,5, jedes Kind unter 14 als 0,3. Diese Zahlen basieren auf realen Ausgabenmustern von Haushalten.
Die Berechnung ist simpel: Teile das gesamte Haushaltseinkommen durch die Summe aller Gewichtungen. Das Beispiel zeigt es deutlich - eine vierköpfige Familie mit 3.000€ hat real nur 1.428€ pro "Äquivalenzperson" zur Verfügung.
Dieser Indikator ist wichtig für die Armutsmessung und Sozialplanung. Er zeigt genauer als das reine Haushaltseinkommen, wer wirklich gut oder schlecht dasteht.
Rechencheck: Übe die Formel mit verschiedenen Haushaltsgrößen - das kommt garantiert in der Klausur vor.

Soziale Exklusion bedeutet mehr als nur wenig Geld zu haben - es heißt, komplett aus der Gesellschaft ausgeschlossen zu werden. Betroffene Menschen haben nicht nur finanzielle Probleme, sondern können auch nicht mehr am normalen gesellschaftlichen Leben teilnehmen.
Die Ursachen sind vielfältig: Langzeitarbeitslosigkeit, Diskriminierung oder ein versagendes Sozialsystem. Die Folgen sind dramatisch - Betroffene verlieren oft den Mut und die Überzeugung, dass sich ihr Leben noch verbessern kann. Die Gesellschaft spaltet sich in Gewinner und Verlierer.
Armut wird in Deutschland bei unter 60% des Durchschnittseinkommens definiert. Etwa 26% wären theoretisch arm, aber der Sozialstaat reduziert diese Zahl auf 13% durch Transferleistungen. Trotzdem wächst die Kluft zwischen Arm und Reich weiter.
Besonders betroffen sind Alleinerziehende, Arbeitslose, Migranten und Kinder - jedes sechste Kind in Deutschland lebt in Armut. Das Schlimme: Armut vererbt sich oft von Generation zu Generation, weil sie Bildungschancen einschränkt.
Gesellschaftsrealität: Die Angst vor sozialem Abstieg ist in Deutschland stark gestiegen - das betrifft nicht nur die Unterschicht.

Unser KI-Begleiter ist ein speziell für Schüler entwickeltes KI-Tool, das mehr als nur Antworten bietet. Basierend auf Millionen von Knowunity-Inhalten liefert er relevante Informationen, personalisierte Lernpläne, Quizze und Inhalte direkt im Chat und passt sich deinem individuellen Lernweg an.
Du kannst die App im Google Play Store und im Apple App Store herunterladen.
Genau! Genieße kostenlosen Zugang zu Lerninhalten, vernetze dich mit anderen Schülern und hol dir sofortige Hilfe – alles direkt auf deinem Handy.
App Store
Google Play
Die App ist sehr einfach zu bedienen und gut gestaltet. Ich habe bisher alles gefunden, wonach ich gesucht habe, und konnte viel aus den Präsentationen lernen! Ich werde die App definitiv für ein Schulprojekt nutzen! Und natürlich hilft sie auch sehr als Inspiration.
Stefan S
iOS-Nutzer
Diese App ist wirklich super. Es gibt so viele Lernzettel und Hilfen [...]. Mein Problemfach ist zum Beispiel Französisch und die App hat so viele Möglichkeiten zur Hilfe. Dank dieser App habe ich mich in Französisch verbessert. Ich würde sie jedem empfehlen.
Samantha Klich
Android-Nutzerin
Wow, ich bin wirklich begeistert. Ich habe die App einfach mal ausprobiert, weil ich sie schon oft beworben gesehen habe und war absolut beeindruckt. Diese App ist DIE HILFE, die man für die Schule braucht und vor allem bietet sie so viele Dinge wie Übungen und Lernzettel, die mir persönlich SEHR geholfen haben.
Anna
iOS-Nutzerin
Beste App der Welt! Keine Worte, weil sie einfach zu gut ist
Thomas R
iOS-Nutzer
Einfach genial. Lässt mich 10x besser lernen, diese App ist eine glatte 10/10. Ich empfehle sie jedem. Ich kann Lernzettel anschauen und suchen. Ich kann sie im Fachordner speichern. Ich kann sie jederzeit wiederholen, wenn ich zurückkomme. Wenn du diese App noch nicht ausprobiert hast, verpasst du wirklich was.
Basil
Android-Nutzer
Diese App hat mich so viel selbstbewusster in meiner Klausurvorbereitung gemacht, nicht nur durch die Stärkung meines Selbstvertrauens durch die Features, die es dir ermöglichen, dich mit anderen zu vernetzen und dich weniger allein zu fühlen, sondern auch durch die Art, wie die App selbst darauf ausgerichtet ist, dass du dich besser fühlst. Sie ist einfach zu bedienen, macht Spaß und hilft jedem, der in irgendeiner Weise Schwierigkeiten hat.
David K
iOS-Nutzer
Die App ist einfach super! Ich muss nur das Thema in die Suche eingeben und bekomme sofort eine Antwort. Ich muss nicht mehr 10 YouTube-Videos schauen, um etwas zu verstehen, und spare dadurch richtig viel Zeit. Sehr empfehlenswert!
Sudenaz Ocak
Android-Nutzerin
In der Schule war ich echt schlecht in Mathe, aber dank der App bin ich jetzt besser geworden. Ich bin so dankbar, dass ihr die App gemacht habt.
Greenlight Bonnie
Android-Nutzerin
sehr zuverlässige App, um deine Ideen in Mathe, Englisch und anderen verwandten Themen zu verbessern. bitte nutze diese App, wenn du in bestimmten Bereichen Schwierigkeiten hast, diese App ist dafür der Schlüssel. wünschte, ich hätte früher eine Bewertung geschrieben. und sie ist auch kostenlos, also mach dir darüber keine Sorgen.
Rohan U
Android-Nutzer
Ich weiß, dass viele Apps gefälschte Accounts nutzen, um ihre Bewertungen zu pushen, aber diese App verdient das alles. Ursprünglich hatte ich eine 4 in meinen Englisch-Klausuren und dieses Mal habe ich eine 2 bekommen. Ich wusste erst drei Tage vor der Klausur von dieser App und sie hat mir SEHR geholfen. Bitte vertrau mir wirklich und nutze sie, denn ich bin sicher, dass auch du Fortschritte sehen wirst.
Xander S
iOS-Nutzer
DIE QUIZZE UND KARTEIKARTEN SIND SO NÜTZLICH UND ICH LIEBE Knowunity KI. ES IST AUCH BUCHSTÄBLICH WIE CHATGPT ABER SCHLAUER!! HAT MIR AUCH BEI MEINEN MASCARA-PROBLEMEN GEHOLFEN!! SOWIE BEI MEINEN ECHTEN FÄCHERN! NATÜRLICH 😍😁😲🤑💗✨🎀😮
Elisha
iOS-Nutzer
Diese App ist echt der Hammer. Ich finde Lernen so langweilig, aber diese App macht es so einfach, alles zu organisieren und dann kannst du die kostenlose KI bitten, dich abzufragen, so gut, und du kannst einfach deine eigenen Sachen hochladen. sehr empfehlenswert als jemand, der gerade Probeklausuren schreibt
Paul T
iOS-Nutzer
Die App ist sehr einfach zu bedienen und gut gestaltet. Ich habe bisher alles gefunden, wonach ich gesucht habe, und konnte viel aus den Präsentationen lernen! Ich werde die App definitiv für ein Schulprojekt nutzen! Und natürlich hilft sie auch sehr als Inspiration.
Stefan S
iOS-Nutzer
Diese App ist wirklich super. Es gibt so viele Lernzettel und Hilfen [...]. Mein Problemfach ist zum Beispiel Französisch und die App hat so viele Möglichkeiten zur Hilfe. Dank dieser App habe ich mich in Französisch verbessert. Ich würde sie jedem empfehlen.
Samantha Klich
Android-Nutzerin
Wow, ich bin wirklich begeistert. Ich habe die App einfach mal ausprobiert, weil ich sie schon oft beworben gesehen habe und war absolut beeindruckt. Diese App ist DIE HILFE, die man für die Schule braucht und vor allem bietet sie so viele Dinge wie Übungen und Lernzettel, die mir persönlich SEHR geholfen haben.
Anna
iOS-Nutzerin
Beste App der Welt! Keine Worte, weil sie einfach zu gut ist
Thomas R
iOS-Nutzer
Einfach genial. Lässt mich 10x besser lernen, diese App ist eine glatte 10/10. Ich empfehle sie jedem. Ich kann Lernzettel anschauen und suchen. Ich kann sie im Fachordner speichern. Ich kann sie jederzeit wiederholen, wenn ich zurückkomme. Wenn du diese App noch nicht ausprobiert hast, verpasst du wirklich was.
Basil
Android-Nutzer
Diese App hat mich so viel selbstbewusster in meiner Klausurvorbereitung gemacht, nicht nur durch die Stärkung meines Selbstvertrauens durch die Features, die es dir ermöglichen, dich mit anderen zu vernetzen und dich weniger allein zu fühlen, sondern auch durch die Art, wie die App selbst darauf ausgerichtet ist, dass du dich besser fühlst. Sie ist einfach zu bedienen, macht Spaß und hilft jedem, der in irgendeiner Weise Schwierigkeiten hat.
David K
iOS-Nutzer
Die App ist einfach super! Ich muss nur das Thema in die Suche eingeben und bekomme sofort eine Antwort. Ich muss nicht mehr 10 YouTube-Videos schauen, um etwas zu verstehen, und spare dadurch richtig viel Zeit. Sehr empfehlenswert!
Sudenaz Ocak
Android-Nutzerin
In der Schule war ich echt schlecht in Mathe, aber dank der App bin ich jetzt besser geworden. Ich bin so dankbar, dass ihr die App gemacht habt.
Greenlight Bonnie
Android-Nutzerin
sehr zuverlässige App, um deine Ideen in Mathe, Englisch und anderen verwandten Themen zu verbessern. bitte nutze diese App, wenn du in bestimmten Bereichen Schwierigkeiten hast, diese App ist dafür der Schlüssel. wünschte, ich hätte früher eine Bewertung geschrieben. und sie ist auch kostenlos, also mach dir darüber keine Sorgen.
Rohan U
Android-Nutzer
Ich weiß, dass viele Apps gefälschte Accounts nutzen, um ihre Bewertungen zu pushen, aber diese App verdient das alles. Ursprünglich hatte ich eine 4 in meinen Englisch-Klausuren und dieses Mal habe ich eine 2 bekommen. Ich wusste erst drei Tage vor der Klausur von dieser App und sie hat mir SEHR geholfen. Bitte vertrau mir wirklich und nutze sie, denn ich bin sicher, dass auch du Fortschritte sehen wirst.
Xander S
iOS-Nutzer
DIE QUIZZE UND KARTEIKARTEN SIND SO NÜTZLICH UND ICH LIEBE Knowunity KI. ES IST AUCH BUCHSTÄBLICH WIE CHATGPT ABER SCHLAUER!! HAT MIR AUCH BEI MEINEN MASCARA-PROBLEMEN GEHOLFEN!! SOWIE BEI MEINEN ECHTEN FÄCHERN! NATÜRLICH 😍😁😲🤑💗✨🎀😮
Elisha
iOS-Nutzer
Diese App ist echt der Hammer. Ich finde Lernen so langweilig, aber diese App macht es so einfach, alles zu organisieren und dann kannst du die kostenlose KI bitten, dich abzufragen, so gut, und du kannst einfach deine eigenen Sachen hochladen. sehr empfehlenswert als jemand, der gerade Probeklausuren schreibt
Paul T
iOS-Nutzer
Jan
@jan2710
Soziale Ungleichheit begegnet dir jeden Tag - ob in der Schule, im Job oder in den Medien. Es geht um die ungleiche Verteilung von "wertvollen" Gütern wie Geld, Bildung oder Macht in unserer Gesellschaft. Das ist nicht automatisch unfair, aber... Mehr anzeigen

Zugriff auf alle Dokumente
Verbessere deine Noten
Schließ dich Millionen Schülern an
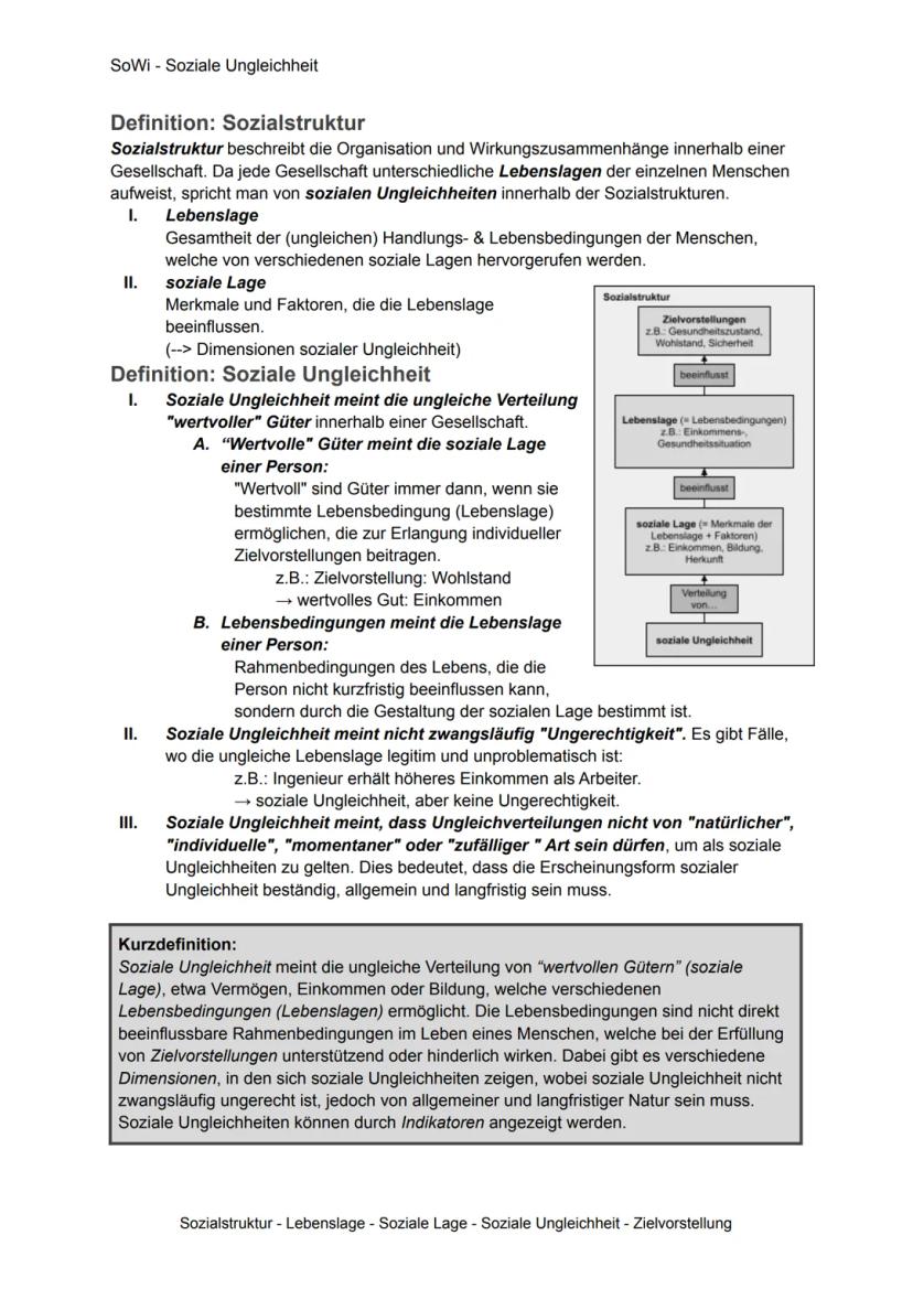
Stell dir vor, du und deine Freunde haben unterschiedlich viel Geld zur Verfügung - das ist soziale Ungleichheit in ihrer einfachsten Form. Sie beschreibt, wie "wertvolle Güter" wie Einkommen, Bildung oder Ansehen ungleich in der Gesellschaft verteilt sind.
Wichtig zu verstehen: Sozialstruktur ist wie das Gerüst einer Gesellschaft, das zeigt, wer welche Position hat. Deine soziale Lage umfasst alle Faktoren, die dein Leben beeinflussen - von deinem Elternhaus bis zu deinen Bildungschancen. Daraus ergibt sich deine Lebenslage - also die konkreten Bedingungen, unter denen du lebst.
Nicht jede Ungleichheit ist automatisch ungerecht. Dass ein Arzt mehr verdient als ein Verkäufer, gilt als legitim. Soziale Ungleichheit wird erst dann problematisch, wenn sie langfristig besteht und Menschen systematisch benachteiligt.
Merke dir: Soziale Ungleichheit muss beständig, allgemein und langfristig sein - nicht nur zufällig oder momentan.

Zugriff auf alle Dokumente
Verbessere deine Noten
Schließ dich Millionen Schülern an
Diese Dimensionen schaffen Hierarchien in unserer Gesellschaft und bestimmen deinen sozialen Status. Materieller Wohlstand ist oft das Erste, woran wir denken - wer hat wie viel Geld? Das Nettoäquivalenzeinkommen und der Gini-Koeffizient helfen dabei, Reichtum und Armut messbar zu machen.
Macht zeigt sich darin, wer wichtige Entscheidungen treffen kann. Denkst du an Politiker, Chefs großer Unternehmen oder andere Eliten. Eng damit verbunden ist Prestige - das Ansehen, das du in der Gesellschaft genießt. Status-Symbole wie teure Autos spielen dabei eine Rolle, werden aber immer unwichtiger.
Bildung ist dein Schlüssel zu vielen Chancen. Sie beeinflusst nicht nur dein Einkommen, sondern auch deine politische Teilhabe. Leider hängt der Bildungserfolg noch immer stark von der sozialen Herkunft ab. Die Erwerbstätigkeit schließlich entscheidet über deine wirtschaftliche Sicherheit - prekäre Arbeitsverhältnisse nehmen zu.
Gut zu wissen: Alle diese Dimensionen beeinflussen sich gegenseitig - mehr Bildung führt oft zu höherem Einkommen und mehr gesellschaftlichem Ansehen.

Zugriff auf alle Dokumente
Verbessere deine Noten
Schließ dich Millionen Schülern an
Während vertikale Ungleichheiten Hierarchien schaffen, zeigen horizontale Ungleichheiten, dass Menschen auf derselben gesellschaftlichen Ebene trotzdem unterschiedliche Lebensbedingungen haben. Diese Unterschiede sind oft weniger offensichtlich, aber genauso wichtig.
Soziale Sicherheit variiert stark - manche haben eine solide Altersvorsorge, andere leben von der Hand in den Mund. Arbeitsbedingungen unterscheiden sich dramatisch: Während einige im klimatisierten Büro arbeiten, sind andere Lärm und Gesundheitsrisiken ausgesetzt. Auch deine Freizeitbedingungen hängen von deinem verfügbaren Einkommen und deiner Arbeitszeit ab.
Wohnbedingungen prägen deinen Alltag erheblich - von der Größe deiner Wohnung bis hin zur Nachbarschaft. Soziale Beziehungen können von Integration bis hin zur Isolation reichen, was deine Lebensqualität stark beeinflusst.
Besonders problematisch ist die Ungleichbehandlung durch Vorurteile und Diskriminierung. Frauen verdienen immer noch weniger als Männer, Menschen mit Migrationshintergrund haben schlechtere Jobchancen.
Realitätscheck: Diese Ungleichheiten findest du überall - von unterschiedlichen Pausenzeiten bis hin zu verschiedenen Wohnvierteln in deiner Stadt.

Zugriff auf alle Dokumente
Verbessere deine Noten
Schließ dich Millionen Schülern an
Indikatoren sind wie Thermometer für gesellschaftliche Probleme - sie machen das Unsichtbare messbar. Ohne sie könntest du nicht beurteilen, ob soziale Ungleichheit zu- oder abnimmt. Sie helfen Politik und Wissenschaft, Probleme zu identifizieren und Lösungen zu entwickeln.
Der Gini-Koeffizient ist dabei besonders wichtig. Er misst, wie ungleich Einkommen oder Vermögen verteilt sind. Der Wert liegt zwischen 0 (perfekte Gleichheit) und 1 (maximale Ungleichheit). Ab 0,4 warnen Experten vor sozialen Spannungen. Die Lorenzkurve zeigt dabei grafisch, wie groß die Ungleichheit wirklich ist.
Quantilsverhältnisse vergleichen die reichsten mit den ärmsten 25% der Bevölkerung. Sie zeigen dir, um welchen Faktor die Wohlhabenden mehr haben. Das ist einfacher zu verstehen als komplexe Berechnungen.
Kritik gibt es trotzdem: Ein Indikator kann niemals die ganze Wahrheit zeigen. Deshalb nutzt man am besten mehrere zusammen, um ein vollständiges Bild zu bekommen.
Praxis-Tipp: Der Gini-Koeffizient ist klausurrelevant - verstehe die Lorenzkurve und du hast einen wichtigen Punkt sicher.

Zugriff auf alle Dokumente
Verbessere deine Noten
Schließ dich Millionen Schülern an
Das Nettoäquivalenzeinkommen klingt kompliziert, ist aber eigentlich logisch. Es zeigt dir, wie viel Geld ein Haushalt wirklich zur Verfügung hat - und berücksichtigt dabei, dass größere Haushalte Kostenvorteile haben. Ein Vierpersonenhaushalt braucht nicht viermal so viel wie eine Einzelperson.
Die Gewichtung ist einfach: Der erste Erwachsene zählt als 1,0. Jede weitere Person über 14 Jahre als 0,5, jedes Kind unter 14 als 0,3. Diese Zahlen basieren auf realen Ausgabenmustern von Haushalten.
Die Berechnung ist simpel: Teile das gesamte Haushaltseinkommen durch die Summe aller Gewichtungen. Das Beispiel zeigt es deutlich - eine vierköpfige Familie mit 3.000€ hat real nur 1.428€ pro "Äquivalenzperson" zur Verfügung.
Dieser Indikator ist wichtig für die Armutsmessung und Sozialplanung. Er zeigt genauer als das reine Haushaltseinkommen, wer wirklich gut oder schlecht dasteht.
Rechencheck: Übe die Formel mit verschiedenen Haushaltsgrößen - das kommt garantiert in der Klausur vor.

Zugriff auf alle Dokumente
Verbessere deine Noten
Schließ dich Millionen Schülern an
Soziale Exklusion bedeutet mehr als nur wenig Geld zu haben - es heißt, komplett aus der Gesellschaft ausgeschlossen zu werden. Betroffene Menschen haben nicht nur finanzielle Probleme, sondern können auch nicht mehr am normalen gesellschaftlichen Leben teilnehmen.
Die Ursachen sind vielfältig: Langzeitarbeitslosigkeit, Diskriminierung oder ein versagendes Sozialsystem. Die Folgen sind dramatisch - Betroffene verlieren oft den Mut und die Überzeugung, dass sich ihr Leben noch verbessern kann. Die Gesellschaft spaltet sich in Gewinner und Verlierer.
Armut wird in Deutschland bei unter 60% des Durchschnittseinkommens definiert. Etwa 26% wären theoretisch arm, aber der Sozialstaat reduziert diese Zahl auf 13% durch Transferleistungen. Trotzdem wächst die Kluft zwischen Arm und Reich weiter.
Besonders betroffen sind Alleinerziehende, Arbeitslose, Migranten und Kinder - jedes sechste Kind in Deutschland lebt in Armut. Das Schlimme: Armut vererbt sich oft von Generation zu Generation, weil sie Bildungschancen einschränkt.
Gesellschaftsrealität: Die Angst vor sozialem Abstieg ist in Deutschland stark gestiegen - das betrifft nicht nur die Unterschicht.

Zugriff auf alle Dokumente
Verbessere deine Noten
Schließ dich Millionen Schülern an
Unser KI-Begleiter ist ein speziell für Schüler entwickeltes KI-Tool, das mehr als nur Antworten bietet. Basierend auf Millionen von Knowunity-Inhalten liefert er relevante Informationen, personalisierte Lernpläne, Quizze und Inhalte direkt im Chat und passt sich deinem individuellen Lernweg an.
Du kannst die App im Google Play Store und im Apple App Store herunterladen.
Genau! Genieße kostenlosen Zugang zu Lerninhalten, vernetze dich mit anderen Schülern und hol dir sofortige Hilfe – alles direkt auf deinem Handy.
70
Smart Tools NEU
Verwandle diesen Lernzettel in: ✓ 50+ Übungsfragen ✓ Interaktive Karteikarten ✓ Komplette Probeklausur ✓ Aufsatzgliederungen
Diese Zusammenfassung behandelt die Konzepte der sozialen Ungleichheit, Gerechtigkeit und Chancengleichheit. Sie erklärt die verschiedenen Dimensionen sozialer Ungleichheit, wie Einkommensverteilung, Bildung und Macht, sowie die Begriffe absolute und relative Armut. Zudem wird der Gini-Koeffizient zur Messung von Vermögensungleichheit erläutert. Ideal für Studierende der Sozialwissenschaften, die sich auf Prüfungen vorbereiten oder ihr Wissen vertiefen möchten.
Diese Zusammenfassung behandelt die zentralen Aspekte des sozialen Wandels in Deutschland, einschließlich der Pluralisierung privater Lebensformen, demographischer Wandel, Bildungsexpansion, Wandel der Arbeitswelt und soziale Ungleichheit. Ideal für das mündliche Abitur und zur Vertiefung des Verständnisses sozialer Strukturen und Herausforderungen.
Diese umfassende Zusammenfassung behandelt zentrale Themen der Soziologie, einschließlich der Finanzierung des Sozialstaates, sozialer Ungleichheit, Armut und demografischen Wandel. Sie bietet Einblicke in die Reformen des Sozialstaates, die Rolle von Bildung und die Auswirkungen von Migration. Ideal für Schüler, die sich auf das Abitur im Fach Sozialwissenschaften vorbereiten.
Erforschen Sie das Modell der sozialen Lagen von Stefan Hradil, das soziale Ungleichheit in den Bereichen Einkommen, Bildung, Macht und neuen Dimensionen wie soziale Sicherheit und Gesundheitsversorgung analysiert. Diese Zusammenfassung bietet eine differenzierte Betrachtungsweise der sozialen Schichten und diskutiert die Vor- und Nachteile des Lagenmodells. Ideal für Studierende der Sozialwissenschaften.
Diese Zusammenfassung behandelt die verschiedenen Arten von Einkommen und Vermögen, die soziale Ungleichheit sowie deren Auswirkungen auf die Gesellschaft. Sie umfasst zentrale Konzepte wie relative und absolute Armut, soziale Milieus, den Gini-Koeffizienten und die Rolle des Wohlfahrtsstaates. Ideal für Studierende der Soziologie und Sozialwissenschaften, die sich mit den Theorien und Modellen sozialer Ungleichheit auseinandersetzen.
Erforschen Sie die Dimensionen sozialer Ungleichheit, einschließlich der Definitionen, Ursachen und Folgen. Analysieren Sie den materiellen Wohlstand durch Lorenzkurve und Gini-Koeffizienten sowie die Herausforderungen der Armutsdefinitionen und Kinderarmut. Entdecken Sie Maßnahmen zur Bekämpfung sozialer Ungleichheit und die Rolle von Bildungsungleichheit. Diese Zusammenfassung bietet einen umfassenden Überblick über Schicht- und Klassenmodelle.
App Store
Google Play
Die App ist sehr einfach zu bedienen und gut gestaltet. Ich habe bisher alles gefunden, wonach ich gesucht habe, und konnte viel aus den Präsentationen lernen! Ich werde die App definitiv für ein Schulprojekt nutzen! Und natürlich hilft sie auch sehr als Inspiration.
Stefan S
iOS-Nutzer
Diese App ist wirklich super. Es gibt so viele Lernzettel und Hilfen [...]. Mein Problemfach ist zum Beispiel Französisch und die App hat so viele Möglichkeiten zur Hilfe. Dank dieser App habe ich mich in Französisch verbessert. Ich würde sie jedem empfehlen.
Samantha Klich
Android-Nutzerin
Wow, ich bin wirklich begeistert. Ich habe die App einfach mal ausprobiert, weil ich sie schon oft beworben gesehen habe und war absolut beeindruckt. Diese App ist DIE HILFE, die man für die Schule braucht und vor allem bietet sie so viele Dinge wie Übungen und Lernzettel, die mir persönlich SEHR geholfen haben.
Anna
iOS-Nutzerin
Beste App der Welt! Keine Worte, weil sie einfach zu gut ist
Thomas R
iOS-Nutzer
Einfach genial. Lässt mich 10x besser lernen, diese App ist eine glatte 10/10. Ich empfehle sie jedem. Ich kann Lernzettel anschauen und suchen. Ich kann sie im Fachordner speichern. Ich kann sie jederzeit wiederholen, wenn ich zurückkomme. Wenn du diese App noch nicht ausprobiert hast, verpasst du wirklich was.
Basil
Android-Nutzer
Diese App hat mich so viel selbstbewusster in meiner Klausurvorbereitung gemacht, nicht nur durch die Stärkung meines Selbstvertrauens durch die Features, die es dir ermöglichen, dich mit anderen zu vernetzen und dich weniger allein zu fühlen, sondern auch durch die Art, wie die App selbst darauf ausgerichtet ist, dass du dich besser fühlst. Sie ist einfach zu bedienen, macht Spaß und hilft jedem, der in irgendeiner Weise Schwierigkeiten hat.
David K
iOS-Nutzer
Die App ist einfach super! Ich muss nur das Thema in die Suche eingeben und bekomme sofort eine Antwort. Ich muss nicht mehr 10 YouTube-Videos schauen, um etwas zu verstehen, und spare dadurch richtig viel Zeit. Sehr empfehlenswert!
Sudenaz Ocak
Android-Nutzerin
In der Schule war ich echt schlecht in Mathe, aber dank der App bin ich jetzt besser geworden. Ich bin so dankbar, dass ihr die App gemacht habt.
Greenlight Bonnie
Android-Nutzerin
sehr zuverlässige App, um deine Ideen in Mathe, Englisch und anderen verwandten Themen zu verbessern. bitte nutze diese App, wenn du in bestimmten Bereichen Schwierigkeiten hast, diese App ist dafür der Schlüssel. wünschte, ich hätte früher eine Bewertung geschrieben. und sie ist auch kostenlos, also mach dir darüber keine Sorgen.
Rohan U
Android-Nutzer
Ich weiß, dass viele Apps gefälschte Accounts nutzen, um ihre Bewertungen zu pushen, aber diese App verdient das alles. Ursprünglich hatte ich eine 4 in meinen Englisch-Klausuren und dieses Mal habe ich eine 2 bekommen. Ich wusste erst drei Tage vor der Klausur von dieser App und sie hat mir SEHR geholfen. Bitte vertrau mir wirklich und nutze sie, denn ich bin sicher, dass auch du Fortschritte sehen wirst.
Xander S
iOS-Nutzer
DIE QUIZZE UND KARTEIKARTEN SIND SO NÜTZLICH UND ICH LIEBE Knowunity KI. ES IST AUCH BUCHSTÄBLICH WIE CHATGPT ABER SCHLAUER!! HAT MIR AUCH BEI MEINEN MASCARA-PROBLEMEN GEHOLFEN!! SOWIE BEI MEINEN ECHTEN FÄCHERN! NATÜRLICH 😍😁😲🤑💗✨🎀😮
Elisha
iOS-Nutzer
Diese App ist echt der Hammer. Ich finde Lernen so langweilig, aber diese App macht es so einfach, alles zu organisieren und dann kannst du die kostenlose KI bitten, dich abzufragen, so gut, und du kannst einfach deine eigenen Sachen hochladen. sehr empfehlenswert als jemand, der gerade Probeklausuren schreibt
Paul T
iOS-Nutzer
Die App ist sehr einfach zu bedienen und gut gestaltet. Ich habe bisher alles gefunden, wonach ich gesucht habe, und konnte viel aus den Präsentationen lernen! Ich werde die App definitiv für ein Schulprojekt nutzen! Und natürlich hilft sie auch sehr als Inspiration.
Stefan S
iOS-Nutzer
Diese App ist wirklich super. Es gibt so viele Lernzettel und Hilfen [...]. Mein Problemfach ist zum Beispiel Französisch und die App hat so viele Möglichkeiten zur Hilfe. Dank dieser App habe ich mich in Französisch verbessert. Ich würde sie jedem empfehlen.
Samantha Klich
Android-Nutzerin
Wow, ich bin wirklich begeistert. Ich habe die App einfach mal ausprobiert, weil ich sie schon oft beworben gesehen habe und war absolut beeindruckt. Diese App ist DIE HILFE, die man für die Schule braucht und vor allem bietet sie so viele Dinge wie Übungen und Lernzettel, die mir persönlich SEHR geholfen haben.
Anna
iOS-Nutzerin
Beste App der Welt! Keine Worte, weil sie einfach zu gut ist
Thomas R
iOS-Nutzer
Einfach genial. Lässt mich 10x besser lernen, diese App ist eine glatte 10/10. Ich empfehle sie jedem. Ich kann Lernzettel anschauen und suchen. Ich kann sie im Fachordner speichern. Ich kann sie jederzeit wiederholen, wenn ich zurückkomme. Wenn du diese App noch nicht ausprobiert hast, verpasst du wirklich was.
Basil
Android-Nutzer
Diese App hat mich so viel selbstbewusster in meiner Klausurvorbereitung gemacht, nicht nur durch die Stärkung meines Selbstvertrauens durch die Features, die es dir ermöglichen, dich mit anderen zu vernetzen und dich weniger allein zu fühlen, sondern auch durch die Art, wie die App selbst darauf ausgerichtet ist, dass du dich besser fühlst. Sie ist einfach zu bedienen, macht Spaß und hilft jedem, der in irgendeiner Weise Schwierigkeiten hat.
David K
iOS-Nutzer
Die App ist einfach super! Ich muss nur das Thema in die Suche eingeben und bekomme sofort eine Antwort. Ich muss nicht mehr 10 YouTube-Videos schauen, um etwas zu verstehen, und spare dadurch richtig viel Zeit. Sehr empfehlenswert!
Sudenaz Ocak
Android-Nutzerin
In der Schule war ich echt schlecht in Mathe, aber dank der App bin ich jetzt besser geworden. Ich bin so dankbar, dass ihr die App gemacht habt.
Greenlight Bonnie
Android-Nutzerin
sehr zuverlässige App, um deine Ideen in Mathe, Englisch und anderen verwandten Themen zu verbessern. bitte nutze diese App, wenn du in bestimmten Bereichen Schwierigkeiten hast, diese App ist dafür der Schlüssel. wünschte, ich hätte früher eine Bewertung geschrieben. und sie ist auch kostenlos, also mach dir darüber keine Sorgen.
Rohan U
Android-Nutzer
Ich weiß, dass viele Apps gefälschte Accounts nutzen, um ihre Bewertungen zu pushen, aber diese App verdient das alles. Ursprünglich hatte ich eine 4 in meinen Englisch-Klausuren und dieses Mal habe ich eine 2 bekommen. Ich wusste erst drei Tage vor der Klausur von dieser App und sie hat mir SEHR geholfen. Bitte vertrau mir wirklich und nutze sie, denn ich bin sicher, dass auch du Fortschritte sehen wirst.
Xander S
iOS-Nutzer
DIE QUIZZE UND KARTEIKARTEN SIND SO NÜTZLICH UND ICH LIEBE Knowunity KI. ES IST AUCH BUCHSTÄBLICH WIE CHATGPT ABER SCHLAUER!! HAT MIR AUCH BEI MEINEN MASCARA-PROBLEMEN GEHOLFEN!! SOWIE BEI MEINEN ECHTEN FÄCHERN! NATÜRLICH 😍😁😲🤑💗✨🎀😮
Elisha
iOS-Nutzer
Diese App ist echt der Hammer. Ich finde Lernen so langweilig, aber diese App macht es so einfach, alles zu organisieren und dann kannst du die kostenlose KI bitten, dich abzufragen, so gut, und du kannst einfach deine eigenen Sachen hochladen. sehr empfehlenswert als jemand, der gerade Probeklausuren schreibt
Paul T
iOS-Nutzer